Abstract
To further improve the durability of cement-stabilized macadam and guarantee the use quality and sustainability of a semi-rigid base, the current study was carried out. With the help of a dry shrinkage test, temperature shrinkage test, freeze–thaw bending test, and fatigue test, the effect of incorporating PVA fiber on the deformation characteristics of cement-stabilized macadam was analyzed, and the changes in low-temperature residual toughness of the mixture before and after modification were compared. The low-temperature toughness of PVA fiber cement-stabilized macadam was evaluated with the help of the standard toughness evaluation method. The fatigue life prediction equation of PVA fiber cement-stabilized macadam was established based on the Weibull distribution. The results showed that PVA fiber can effectively improve the deformation characteristics, low-temperature toughness, and fatigue performance of cement-stabilized macadam. The low-temperature residual flexural tensile strength and low-temperature bearing capacity were increased by 10.3% and 55.3%, respectively. The residual toughness indices were increased by 58.6%, 88.1%, and 98.3% and the residual strength index was increased by more than 100%. The fatigue life was improved by 178~368% under different stress intensity ratios. The fatigue life values obeyed the two-parameter Weibull distribution, and the correlation between the fatigue life prediction equation and the measured data was significant. The fatigue life prediction error was between 0.03 and 4.9% under different stress intensity ratios.
1. Introduction
Cement-stabilized macadam has been widely used in pavement bases, due to its high bearing capacity and stiffness. Its anti-cracking, anti-deformation and durability directly affect the service life of the road [1,2,3]. Long-term research and engineering practice have found that cement-stabilized macadam is prone to cracking due to the lack of resistance to dry shrinkage, temperature shrinkage, and fatigue resistance, resulting in reflection cracks in the asphalt surface layer, which significantly affect the quality of road use. In this regard, current research usually incorporates fibers in cement-stabilized materials to enhance their durability, thus ensuring the sustainability of the semi-rigid base. The most commonly used fibers include steel fiber, carbon fiber, polypropylene fiber, and polyvinyl alcohol fiber. Polyvinyl alcohol fiber (PVA) has the advantages of high tensile strength, low elongation, and good bonding with cement-like materials, and its incorporation into cement-stabilized macadam can effectively improve early cracking problems [4,5,6,7]. This has increasingly led scholars to try to use PVA in cement-based materials.
In recent years, scholars have studied the durability performance of PVA fiber cement-based composites. Alam et al. investigated the fatigue performance of PVA fiber cement-based composites [8]. Zhang et al. and Kim et al. simulated the durability performance of PVA fiber cement concrete under a chloride salt environment [9,10]. Huang et al. and Zhang et al. analyzed the flexural toughness of PVA fiber cement-based composites using fracture toughness, instability toughness, and fracture energy [11,12,13]. Liu et al. evaluated the durability performance of PVA fiber cement-based composites using an adaptive network-based fuzzy inference system and constructed a structural framework for durability evaluation [14]. Li studied the effect of PVA fiber dosing and length on the shrinkage characteristics and fatigue performance of cement-stabilized macadam [15]. Yu et al. analyzed the fatigue performance of PVA fiber cement-stabilized macadam and established a cumulative fatigue life damage model [16]. Zhao et al. prepared PVA fiber cement-stabilized macadam with different PVA fiber lengths, doping amounts, and different cement contents and studied their shrinkage characteristics [17]. In summary, the current research on the durability of PVA fiber cement-based materials is mainly focused on PVA fiber cement concrete. Research on the durability of PVA fiber cement-stabilized macadam is relatively weak, mainly involving shrinkage characteristics and fatigue performance. The lack of in-depth systematic research on the bending toughness of PVA fiber cement-stabilized macadam and its evaluation, which is an important factor to ensure the durability of cement-stabilized macadam, and its performance decay directly affects the development and evolution of road performance. Therefore, it is necessary to carry out research related to the bending toughness of PVA fiber cement-stabilized macadam.
Based on this, this paper uses surface-treated PVA fibers in cement-stabilized macadam, deeply analyzes the effects of PVA fiber on the deformation characteristics and low-temperature toughness of cement-stabilized macadam and systematically evaluates the low-temperature residual toughness of PVA fiber cement-stabilized macadam. On this basis, this work further analyzes the durability performance of PVA fiber cement-stabilized macadam in combination with fatigue performance tests, and establishes the fatigue life prediction equation of PVA fiber cement-stabilized macadam based on Weibull distribution, so as to provide a useful reference for the durability improvement of PVA fiber cement-stabilized macadam.
2. Materials and Methods
2.1. Materials
PVA fiber with a length of 12 mm and diameter of 40 μm was selected. The fiber dose was 1 kg/m3, and the control group with a fiber dose of 0% was used for comparison. The fiber surface modifier used epibromohydrin. P.O 42.5 ordinary silicate cement was selected as the cement, and limestone was used as the main aggregate, and the relevant technical indices of the cement and aggregate all met the JTG/T F20-2015 [18]. Referring to the JTG/T F20-2015 [18], the gradation of the mix was C-B-3 and the grade curve is shown in Figure 1. The maximum dry density of cement-stabilized macadam is 2.28 g/cm3, and the optimum moisture content is 4.75% (Table 1).
Figure 1.
The cement-stabilized macadam grading curve.
Table 1.
Physical and mechanical properties of fiber parameters.
2.2. Fiber Surface Modification
The following chemical methods [19] were used to modify the surface of PVA fibers: ① the appropriate amount of PVA fiber and an appropriate amount of water were added into a beaker, stirring at high speed to form a suspension. ② Epibromohydrin solution was added dropwise and the solution pH was adjusted to be greater than 11 by adding the appropriate amount of NaOH. The reaction was left at room temperature for 5 h. ③ The fibers were filtered, washed, and dried.
2.3. Testing Methods
- (1)
- Dry shrinkage test
The dry shrinkage test was carried out according to JTG E51-2009 [20]. The water loss rate, dry shrinkage, dry shrinkage strain, dry shrinkage coefficient, and total dry shrinkage coefficient were calculated according to Equations (1)–(5), respectively.
where ωi is the ith water loss (%), δi is the ith observed shrinkage (mm), εi is the ith shrinkage strain (%), αdi is the ith dry shrinkage coefficient (%), mi is the ith standard specimen weighing mass (g), Xi,j is the reading of the jth micrometer at the ith test (mm), l is the length of the standard specimen (mm) and mp is the standard specimen after drying the constant amount (g).
- (2)
- Temperature shrinkage test
The temperature shrinkage test was carried out with reference to JTG E51-2009 [20]. The temperature shrinkage strain and temperature shrinkage coefficient were calculated according to Equations (6) and (7).
where li is the micrometer reading and average value of the ith temperature interval (mm), ti is the ith temperature interval set by the temperature control program (°C), l0 is the initial length of the specimen (mm) and ɛi is the average shrinkage strain of the ith temperature (%).
- (3)
- Freeze–thaw bending test
The freeze–thaw bending test was carried out with reference to T0858-2009 in JTG E51-2009 [20]. After the freeze–thaw cycle, the specimen was placed on the UTM for the three-point bending test. The flexural tensile strength and residual flexural tensile strength were calculated according to Equations (8) and (9).
where RS is the flexural tensile strength of the specimen (MPa), P is the damage limit load (MPa), L is the span (mm), b is the width of the specimen (mm), and h is the height of the specimen (mm).
where CYQ is the residual flexural tensile strength of the specimen after n freeze–thaw cycles (%), QDR is the flexural tensile strength of the specimen after n freeze–thaw cycles (MPa) and QC is the initial flexural tensile strength of the specimen before freeze–thaw cycles (MPa).
- (4)
- Fatigue test
The fatigue test was carried out according to T0856-2009 in JTG E51-2009 [20]. The fatigue life was used to characterize the fatigue performance of the material. The fatigue equation was calculated by the regression of Equation (10).
where N is the number of load actions, σ is the load (N), σ/S is the strength-stress ratio, S is the flexural tensile strength of the specimen (MPa), and a and b are regression coefficients.
- (5)
- Residual toughness evaluation
The standard toughness evaluation method was carried out for ASTM C1018-97 [21]. The toughness indices I5, I10, and I20 were used to evaluate the material toughness by the degree of deviation between the material and the ideal elastic–plastic body. The residual strength indices R5,10 and R10,20 were used to evaluate their plastic properties. Based on the measured load and deflection data, the residual toughness of PVA fiber cement-stabilized macadam was calculated according to the standard toughness evaluation method. The calculation steps are as follows.
① The area S1, S2, S3, and S4 enclosed by the corresponding load–deflection curve of the specimen at the corresponding deflection is calculated, where S1, S2, S3, and S4 are the areas enclosed by the first crack deflection δ to the origin, δ to 3δ, 3δ to 5.5δ and 5.5δ to 10.5δ regarding the load–deflection curves and the horizontal coordinate axis, respectively.
② The toughness indices I5, I10 and I20 are calculated according to Equations (11)–(15), respectively.
③ The residual strength indices R5,10 and R10,20 are calculated according to Equations (14) and (15).
3. Results and Discussion
3.1. Shrinkage Characteristics of PVA Fiber Cement-Stabilized Macadam
3.1.1. Dry Shrinkage Performance
The dry shrinkage test of cement-stabilized macadam was used to compare and analyze the effect of incorporating PVA fiber on the dry shrinkage performance of cement-stabilized macadam, as shown in Figure 2.
Figure 2.
Changes in the dry shrinkage properties of cement−stabilized macadam: (a) variation pattern of water loss rate with age; (b) coefficient/strain of dry shrinkage variation law with age.
In Figure 2a, both PVA fiber cement-stabilized macadam and ordinary cement-stabilized macadam show a trend of an increasing rate of water loss with age, then gradually slow down and stabilize. The rate of water loss in the first 10 days of the age of the mixture increased faster, among which the rate of water loss of PVA fiber cement-stabilized macadam was relatively faster. The cumulative rate of water loss of PVA fiber cement-stabilized macadam at the age of 28 days was 13.7% lower compared with ordinary cement-stabilized macadam.
In Figure 2b, the dry shrinkage coefficient of PVA fiber cement-stabilized macadam changes with age in the same way as the rate of water loss. The dry shrinkage strain increases rapidly from negative values in the first 3 days, and then gradually decreases and stabilizes. The dry shrinkage coefficient of PVA fiber cement-stabilized macadam is reduced by 16.4% compared with ordinary cement-stabilized macadam at the age of 28 days, which indicates that the incorporation of PVA significantly improves the dry shrinkage performance of cement-stabilized macadam. This is probably because the water originally adsorbed on the surface of the minerals and binders in the cement-stabilized macadam is partially adsorbed on the surface of the PVA fiber after the fiber is incorporated. The water on the surface of the fiber continued to dissipate with age. In turn, the rate of water loss and dry shrinkage strain increased rapidly in the early stage, and gradually leveled off with age.
3.1.2. Temperature Shrinkage Performance
The temperature shrinkage test of cement-stabilized macadam was used to compare and analyze the effect of incorporating PVA fiber on the temperature shrinkage performance of cement-stabilized macadam, with the help of the temperature shrinkage strain and temperature shrinkage coefficient, as shown in Figure 3.
Figure 3.
Changes in the temperature shrinkage performance of cement−stabilized macadam: (a) temperature shrinkage strain at different temperatures; (b) temperature shrinkage coefficient at different temperatures.
In Figure 3, the temperature shrinkage strain and temperature shrinkage coefficient of both types of cement-stabilized macadam decreased with decreasing temperature, when the temperature was higher than 20 °C. The temperature shrinkage strain and temperature shrinkage coefficient of the mixes increased significantly with decreasing temperature below 20 °C. The strain and coefficient of temperature shrinkage of ordinary cement-stabilized macadam are greater than PVA cement-stabilized macadam, and the rate of change of the curve is relatively large. The strain and coefficient of temperature shrinkage of the mix after incorporating PVA fiber decreased by 17.4~48.9% in the temperature range of −10~50 °C, among which the temperature shrinkage strain and temperature shrinkage coefficient of cement-stabilized macadam reached the minimum in the temperature range of 30~20 °C. A decrease of 17.4% was recorded after the incorporation of PVA fibers. The results showed that the low-temperature sensitivity of PVA fiber improved the temperature shrinkage of cement-stabilized macadam, due to the high- and low-temperature changes. In addition, the PVA fiber exerted a certain reinforcing effect and inhibited the early cracking of cement-stabilized macadam due to temperature shrinkage.
3.2. Low-Temperature Residual Toughness of PVA Fiber Cement-Stabilized Macadam
3.2.1. Low-Temperature Flexural Toughness
Cement-stabilized macadam should have good low-temperature toughness to withstand long-term environmental temperature changes, wet and dry conditions, freeze–thaw cycles, etc. [22,23,24]. Therefore, the freeze–thaw cycle and three-point bending test were used to compare and evaluate the changes in flexural tensile strength, bearing capacity, and deflection of PVA fiber cement-stabilized macadam before and after the freeze–thaw cycle, as shown in Figure 4, and the fracture patterns of the specimens are shown in Figure 5.
Figure 4.
Comparison of the toughness of different types of cement−stabilized macadam: (a) control group; (b) PVA group.
Figure 5.
Specimen fracture pattern: (a) ordinary cement−stabilized macadam; (b) PVA fiber cement−stabilized macadam.
From Figure 4, it can be observed that the bending toughness of cement-stabilized macadam significantly improved after the incorporation of PVA fiber. The flexural tensile strength without freeze–thaw and after freeze–thaw was increased by 47.9%, and 63.1%, respectively, and the residual flexural strength was increased by 10.3%. The bearing capacity of PVA fiber cement-stabilized macadam before freeze–thaw was increased by 46.6% compared with unadulterated fiber specimens and the bearing capacity decreased by 13.6% after freeze–thaw and increased by 55.3% compared with unadulterated fiber specimens. The deflection was reduced by 14.6% compared with unadulterated fiber specimens and decreased by 17.2% compared with unadulterated fiber specimens after freeze–thaw.
From Figure 5, according to the characteristics of the fracture surface, it can be found that the fracture surface of ordinary cement-stabilized macadam is close to a straight line, which shows the damage behavior of the aggregate and cement bonding interface. On the other hand, the fracture surface of PVA fiber cement-stabilized macadam is an irregular folded line, which indicates that fracture damage hysteresis has occurred during the fracture, and the fracture interface of the PVA fiber cement-stabilized macadam specimens displays pull-out fibers, which indicates that the fiber prolongs the critical state process of cement-stabilized macadam fractures, and the fiber force slows down the cracking rate of the specimens, meaning that the energy required for specimen cracking is increased. The frictional resistance between the PVA fibers and cement matrix plays a key role in resisting the rapid destruction of the load, which indicates that PVA fibers can effectively improve the low-temperature toughness of cement-stabilized macadam.
3.2.2. Residual Toughness Evaluation
To further quantify the effect of PVA fiber on the low-temperature toughness of cement-stabilized macadam, the low-temperature toughness of PVA fiber cement-stabilized macadam was systematically evaluated using the toughness indices I5, I10, I20, and residual strength indices R5,10 and R10,20 with the help of the ASTM C1018-97 standard toughness evaluation method, as shown in Figure 6 and Figure 7.
Figure 6.
Toughness index.
Figure 7.
Residual strength index.
From Figure 6 and Figure 7, it can be observed that the toughness index and residual strength index of cement-stabilized macadam increased significantly after mixing with PVA fiber. The toughness indices I5, I10, and I20 increased by 48.6%, 79.8%, and 97.7%, respectively, and the residual strength indices R5,10 and R10,20 increased by more than 100%. The toughness evaluation index of cement-stabilized macadam decreased to some extent after the freeze–thaw cycles. Among them, the toughness indices of PVA fiber cement-stabilized macadam I5, I10, and I20 decreased by 14.1%, 15.6%, and 19%, respectively, and the residual strength indices R5,10 and R10,20 decreased by 21.3% and 53.8%, respectively. The residual toughness indices increased by 58.6%, 88.1%, and 98.3%, respectively, compared with ordinary cement-stabilized macadam after freeze–thaw, and the residual strength index increased by more than 100%. This indicates that the strong decrease in the mixture is slowed down by the crack-arresting effect of the flexible fibers after the appearance of cracks, while more energy needs to be dissipated for further expansion of the cracks, thus effectively improving the flexural toughness of the cement-stabilized macadam.
3.3. Fatigue Performance Analysis of PVA Fiber Cement-Stabilized Macadam Based on Weibull Distribution
Cement-stabilized macadam needs to have sufficient fatigue resistance to withstand vehicle loading for a long period [25]. The indoor fatigue tests showed that the fatigue life of cement-stabilized macadam varied at the same stress level, and the test results were discrete; therefore, it was difficult to analyze the fatigue life at different stress levels. In recent years, mathematical analysis methods have been widely used in the field of engineering [26]. Therefore, to accurately and objectively compare the effects of PVA fibers on the fatigue life of cement-stabilized macadam at different stress levels, the fatigue life of the specimens of cement-stabilized macadam at 28 days was tested by using the linear regression method combined with Weibull distribution [27]. The reliability and the prediction equations of the fatigue life of cement-stabilized macadam were calculated according to Equations (16) and (17).
where i is the ith specimen number, and k is the number of specimens with the same stress level.
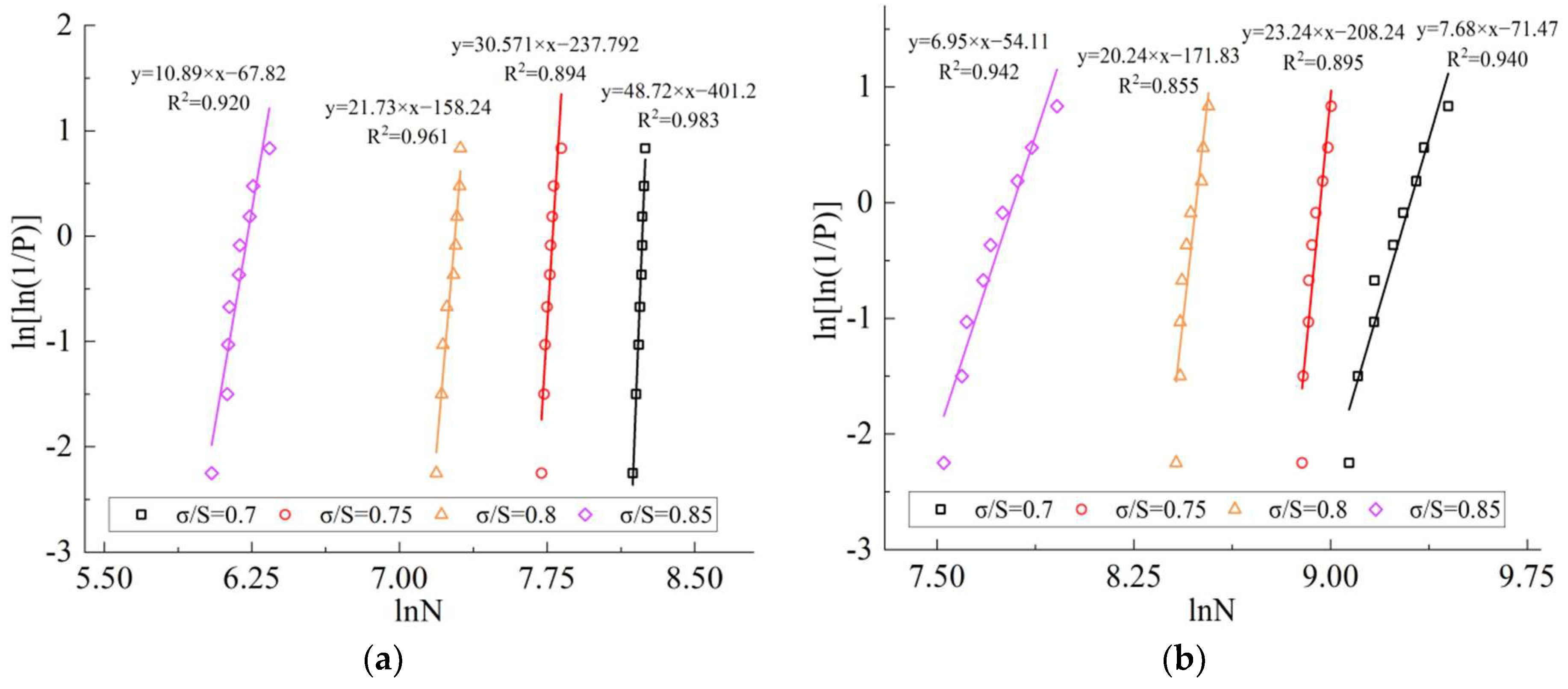
The fatigue life of cement-stabilized macadam under different stress intensity ratios was calculated by linear regression, as shown in Figure 8.
Figure 8.
Fatigue life Weibull distribution fitting comparison: (a) ordinary cement−stabilized macadam; (b) PVA fiber cement−stabilized macadam.
In Figure 8, the average fatigue life of PVA fiber cement-stabilized macadam improved between 178% and 368% compared with non-fiber cement-stabilized macadam for the stress intensity ratios of 0.7, 0.75, 0.8, and 0.85. Under the same stress level, the slope and intercept of the fitted equation of the fatigue life of cement-stabilized macadam with PVA fiber are relatively small. The fatigue life is less sensitive to the change in stress level, and the actual fatigue life of cement-stabilized macadam under four stress levels has a significant linear relationship with the fatigue life of Weibull distribution when the reliability is P, which shows that the fatigue life of cement-stabilized macadam obeys the two-parameter Weibull distribution. Therefore, the regression coefficients were substituted into Equation (16) to calculate the fatigue life versus reliability curves for different types of cement-stabilized macadam, which are shown in Figure 9.
Figure 9.
Reliability–fatigue life variation law: (a) ordinary cement−stabilized macadam; (b) PVA fiber cement−stabilized macadam.
In Figure 9, the fatigue life reliability of different cement-stabilized macadam under the same stress ratio gradually decreases with the increase in the number of load cycles. The fatigue life of PVA fiber cement-stabilized macadam is greater than ordinary cement-stabilized macadam at the same reliability. Compared with the measured fatigue life, the prediction error ranges from 0.3% to 4.9% at the stress ratio of 0.7, from 0.03% to 1.6% at the stress ratio of 0.75, from 0.3% to 2.2% at the stress ratio of 0.8, and from 0.12% to 3.5% at the stress ratio of 0.85. Therefore, suitable reliability should be determined for the fatigue-life analysis of cement-stabilized macadam in conjunction with the actual conditions.
Taking the fatigue life of cement-stabilized macadam at 50% and 95% reliability as an example, according to the fatigue equation recommended by T0856-1 from the JTG E51-2009 [20], the aforementioned Equation (10) can be established. Meanwhile, based on the Weibull distribution, the prediction equation for the fatigue life of cement-stabilized macadam is established as shown in Table 2, and the fitting results are shown in Figure 10.
Table 2.
Prediction equations for fatigue life of different cement-stabilized macadam mixes.
Figure 10.
Fatigue life fitting curve with different reliability indices: (a) 50% reliability; (b) 95% reliability.
In Figure 10, except for the prediction coefficient of the fatigue life of PVA fiber cement-stabilized macadam with 95% reliability, the coefficient of determination of all the equations is greater than 0.94, and the fatigue equation of cement-stabilized macadam has a strong correlation with the test results. The fatigue life of PVA fiber cement-stabilized macadam under different reliabilities is higher than ordinary cement-stabilized macadam, which indicates that PVA fiber can significantly improve the fatigue resistance of cement-stabilized macadam. In addition, the fatigue life of PVA fiber cement-stabilized macadam under different reliability levels has some differences, for instance, when the reliability level is reduced from 95% to 50%, the fatigue life increases by 1.3~5.1% under different stress ratios. Accordingly, the appropriate reliability should be selected to accurately analyze the fatigue life of cement-stabilized macadam by combining the material type, road grade, and stress state in practical applications.
4. Conclusions and Prospects
- (1)
- PVA fiber effectively improved the deformation characteristics and flexural toughness of cement-stabilized macadam. The cumulative water loss rate and dry shrinkage coefficient of PVA fiber cement-stabilized macadam decreased by 13.7% and 16.4%, respectively, when compared with those without fiber at 28 days of age. The strain and coefficient of temperature shrinkage of PVA fiber cement-stabilized macadam decreased by 17.4~48.9%, compared with those without fiber in the temperature range of −10~50 °C. The residual flexural tensile strength and low-temperature bearing capacity increased by 10.3% and 55.3%, respectively, after fiber incorporation. The deflection after the freeze–thaw cycle decreased by 17.2%, the residual toughness indices increased by 58.6%, 88.1%, and 98.3% and the residual strength index increased by more than 100%.
- (2)
- PVA fiber improved the fatigue performance of cement-stabilized macadam and its fatigue life obeyed the two-parameter Weibull distribution. Its fatigue life under different reliabilities was also higher than the specimens without fiber. The establishment of the prediction equation for the fatigue life of the mix under different reliabilities can reflect the improved effect of PVA fiber on the fatigue performance of cement-stabilized macadam more accurately.
- (3)
- In this study, the durability performance of PVA fiber cement-stabilized macadam was analyzed mainly based on indoor tests, and the flexural toughness and fatigue performance were evaluated by combining standard toughness evaluation methods and mathematical statistics, but the durability enhancement mechanism has not yet been investigated. In the future, the durability enhancement mechanism of PVA fiber cement-stabilized macadam must be investigated in depth, and a test road will be needed for long-term performance monitoring.
Author Contributions
Conceptualization, S.T. and C.W.; methodology, Q.Z.; validation, S.T.; formal analysis, F.C.; investigation, Y.H.; resources, C.W.; data curation, Q.Z.; writing—original draft preparation, S.T.; writing—review and editing, C.W.; supervision, F.C.; project administration, C.W. All authors have read and agreed to the published version of the manuscript.
Funding
This research was sponsored by the Innovation Capability Support Program of Shaanxi (No.2022TD-07).
Institutional Review Board Statement
Not applicable.
Informed Consent Statement
Not applicable.
Data Availability Statement
All data, models, and codes generated or used during the study appear in the published article.
Conflicts of Interest
The authors declare no conflict of interest.
References
- Wen, P.H.; Wang, C.H.; Song, L.; Niu, L.; Chen, H. Durability and Sustainability of Cement-Stabilized Materials Based on Utilization of Waste Materials: A Literature Review. Sustainability 2021, 13, 11610. [Google Scholar] [CrossRef]
- Wang, C.; Li, Y.; Wen, P.; Zeng, W.; Wang, X. A comprehensive review on mechanical properties of green controlled low strength materials. Constr. Build. Mater. 2023, 363, 129611. [Google Scholar] [CrossRef]
- Liu, L.Q.; Wang, C.H.; Liang, Q. Preparation of a Heat Insulation Bonding Layer for Roads and its Heat Insulation Effect. J. Clean. Prod. 2022, 365, 132828. [Google Scholar] [CrossRef]
- Farhan, A.H.; Dawson, A.R.; Thom, N.H. Recycled Hybrid Fiber-Reinforced & Cement-Stabilized Pavement Mixtures: Tensile Properties and Cracking Characterization. Constr. Build. Mater. 2018, 179, 488–499. [Google Scholar]
- Wei, J.; Wang, Y.; Li, X.; Jia, Z.; Qiao, S.; Zhang, Q.; Du, J. Effect of porosity and crack on the thermoelectric properties of expanded graphite/carbon fiber reinforced cement-based composites. Int. J. Energy Res. 2020, 44, 6885–6893. [Google Scholar] [CrossRef]
- Chen, Q.; Wang, C.H.; Li, Y.W.; Feng, L.; Huang, S. Performance Development of Polyurethane Elastomer Composites in Different Construction and Curing Environments. Constr. Build. Mater. 2023, 365, 130047. [Google Scholar] [CrossRef]
- Huang, Y.J. Composition Design and Performance Study of PVA Fibre Cement Stabilized Gravel Base. Master’s Thesis, Chang’an University, Xi’an, China, 2022. [Google Scholar]
- Alam, B.; Yaman, I.O. Fatigue Performance of PVA Fibre Reinforced Cementitious Composite Overlays. Int. J. Pavement Eng. 2019, 22, 822–828. [Google Scholar] [CrossRef]
- Zhang, P.; Yuan, P.; Guan, J.F.; Guo, J. Fracture Behavior of Multi-Scale Nano-SiO2 and Polyvinyl Alcohol Fiber Reinforced Cementitious Composites under the Complex Environments. Theor. Appl. Fract. Mech. 2022, 122, 103584. [Google Scholar] [CrossRef]
- Kim, K.W.; Yu, C.; Han, J.W.; Park, C.G. Strength and Durability of Rapid Set PVA Fiber Reinforced LMC for Pavement Repair. Polym. Polym. Compos. 2019, 27, 179–188. [Google Scholar] [CrossRef]
- Huang, Z.Q.; Xu, G.T.; Liu, X. Fracture Performance of PVA Fiber Cementitious Composites under Freeze-Thaw Cycles. J. Shenyang Univ. Technol. 2018, 40, 352–356. [Google Scholar]
- Zhang, P.; Wang, L.; Zheng, Y.X. Study on Flexural Toughness Properties of PVA Fiber Reinforced Nano-SiO2 Cement Composites. New Build. Mater. 2021, 48, 81–84. [Google Scholar]
- Zhang, P.; Kang, Y.L.; Guo, J.J. Fracture Properties of Nano-SiO2 and PVA Fiber Reinforced Cementitious Composites. J. Build. Mater. 2021, 24, 908–915. [Google Scholar]
- Liu, T.Y.; Zhang, P.; Li, Q.F.; Hu, S.W.; Ling, Y.F. Durability Assessment of PVA Fiber-Reinforced Cementitious Composite Containing Nano-SiO2 Using Adaptive Neuro-Fuzzy Inference System. Crystals 2020, 10, 347. [Google Scholar] [CrossRef]
- Li, Y.J. Study on Crack Resistance and Durability of Cement Stabilized Macadam Mixture with PVA Fiber. Highw. Eng. 2020, 45, 180–188+219. [Google Scholar]
- Yu, J.Y.; Liang, N.X.; Tong, P.; Tang, R.X. Fatigue Life Analysis of Polyvinyl Alcohol Fiber Modified Cement Stability Macadam Base Pavement. Bull. Chin. Ceram. Soc. 2019, 38, 2408–2413+2419. [Google Scholar]
- Zhao, Y.; Yang, X.; Zhang, Q.Y.; Liang, Y.; Xiang, Y.; Qin, M. Crack Resistance and Mechanical Properties of Polyvinyl Alcohol Fiber-Reinforced Cement-Stabilized Macadam Base. Adv. Civ. Eng. 2020, 2020, 6564076. [Google Scholar] [CrossRef]
- Wang, X.D. JTG/T F20-2015; Technical Guidelines for Construction of Highway Roadbases. Ministry of Transport of the People’s Republic of China: Beijing, China, 2015.
- Han, L.; Cai, H.F.; Chen, X.; Zheng, C.; Guo, W. Study of UHMWPE Fiber Surface Modification and the Properties of UHMWPE/Epoxy Composite. Polymers 2020, 12, 521. [Google Scholar] [CrossRef]
- Wang, X.D.; Li, M.J.; Sha, A.M.; Wang, S.Y.; Zhou, X.Y.; Shen, G.H.; Lu, K.J. JTG E51-2009; Test Methods of Material Stabilized with Inorganic Binders for Highway Engineering. Research Institute of Highway Ministry of Transport: Beijing, China, 2009.
- ASTM C1018-97; Standard Test Method for Flexural Toughness and First-Crack Strength of Fiber Reinforced Concrete (Using Beam with Third-Point Loading). ASTM: Philly, PA, USA, 1997.
- Chen, Q.; Wang, C.H.; Yu, S.X.; Song, Z.; Fu, H.; An, T. Low-Temperature Mechanical Properties of Polyurethane-Modified Waterborne Epoxy Resin for Pavement Coating. Int. J. Pavement Eng. 2022. [Google Scholar] [CrossRef]
- Gu, D.; Liu, H.; Gao, X.; Huang, D.; Zhang, W. Influence of Cyclic Wetting-Drying on the Shear Strength of Limestone with a Soft Interlayer. Rock Mech. Rock Eng. 2021, 54, 4369–4378. [Google Scholar] [CrossRef]
- Wang, L.Q.; Yin, Y.P.; Huang, B.L.; Dai, Z. Damage Evolution and Stability Analysis of the Jianchuandong Dangerous Rock Mass in the Three Gorges Reservoir Area. Eng. Geol. 2019, 265, 105439. [Google Scholar] [CrossRef]
- Wang, S.; Wang, C.H.; Yuan, H.Z.; Ji, X.; Yu, G.; Jia, X. Size Effect of Piezoelectric Energy Harvester for Road with High Efficiency Electrical Properties. Appl. Energy 2023, 330, 120379. [Google Scholar] [CrossRef]
- Wang, Z.Y.; Thomas, B.; Zhang, W.G.; Gu, D. A Novel Random Angular Bend (RAB) Algorithm and DEM Modeling of Thermal Cracking Responses of Sandstone. Geomech. Energy Environ. 2022, 32, 100335. [Google Scholar] [CrossRef]
- Jiang, Y.J.; Yuan, K.J.; Deng, C.Q.; Tian, T. Fatigue Performance of Cement-Stabilized Crushed Gravel Produced Using Vertical Vibration Compaction Method. J. Mater. Civ. Eng. 2020, 32, 04020318. [Google Scholar] [CrossRef]
Publisher’s Note: MDPI stays neutral with regard to jurisdictional claims in published maps and institutional affiliations. |
© 2022 by the authors. Licensee MDPI, Basel, Switzerland. This article is an open access article distributed under the terms and conditions of the Creative Commons Attribution (CC BY) license (https://creativecommons.org/licenses/by/4.0/).









