Abstract
Sugarcane demands large amounts of nutrients to reach a high level of productivity. Nutrients are generally supplied by mineral fertilizers, but their high costs and negative environmental impacts have generated interest in greater use of organic nutrient sources such as composted sewage sludge (CSS). In this study, we evaluated changes in soil chemical properties after the application of CSS or CSS/mineral fertilizer (MF) combinations to soil containing sugarcane seedlings under nursery conditions. Treatments included: T1: conventional mineral fertilization (MF) without application of CSS, T2: 100% of the recommended MF (06–30–24); T3: application of 2.5 Mg−1 CSS; T4: 5.0 Mg−1 CSS, T5: 7.5 Mg−1 CSS, T6: 2.5 Mg−1 CSS and 50% MF, T7: 5.0 Mg−1 CSS and 50% MF, T8: 7.5 Mg−1 CSS and 50% MF, T9: 2.5 Mg−1 CSS and 100% MF, T10: 5.0 Mg−1 CSS and 100% MF, T11: 7.5 Mg−1 CSS and 100% MF. Soil chemical properties were evaluated from the soil surface (0.0–0.25 m) and subsurface (0.25–0.50 m) horizons. The results showed that the increase in CSS application did not affect soil organic matter content at either depth, while Zn concentrations increased in the soil subsurface horizon. The application of CSS at 5.0 Mg ha−1 with or without 50% MF resulted in the highest pH values, sum of bases, cation-exchange capacity, P, K, Ca, Mg, Cu, and Zn in surface horizons. The use of CSS as an organic fertilizer in sugarcane nurseries improves soil fertility, reduces mineral fertilizer requirements, and, thus, facilitates the sustainable disposal of sewage sludge.
1. Introduction
Globally, Brazil is the largest producer and exporter of sugar (Saccharum spp.) and the second largest producer of ethanol [1]. Sugarcane was cultivated on 8.2 million hectares and yielded 569 million tons during the 2021/22 harvest season in Brazil. The State of São Paulo has the largest production area at 4.2 million hectares, which contributes to 50% of Brazilian sugarcane production [2]. Sugarcane plantations provide several environmental benefits, including improvements to soil fertility, enhanced soil nutrient and carbon cycling, and bioenergy production [3]. In 2020, there were 188 thousand hectares allocated to sugarcane seedling production in Brazil [1]. These seedlings are kept in nurseries for 9 to 12 months before being transplanted. Fertilizer management during this period is important so healthy sugarcane seedlings will be available for transplanting to the field [4,5,6].
Fertilization recommendations for sugarcane are based on expected productivity and soil nutrients concentrations. If the expected productivity exceeds 100 t−1, then 30 kg−1 of N, 120 kg−1 of P2O5, and 150 kg−1 of K2O, should be applied. If a low concentration of B, Cu, and Zn is found in soil, then application rates of 2, 4, and 5 kg−1 of each respective nutrient are recommended [7,8]. Most mineral fertilizers used in Brazil are imported at high market prices [9], which increases production costs in the sugarcane sector [10]. Thus, it is essential to search for alternative fertilizer sources that would reduce production costs.
Composted sewage sludge (CSS) is an organic fertilizer generated from the treatment of urban sewage in wastewater treatment plants (WTPs). Sewage sludge can contain considerable amounts of potentially toxic elements (PTE) and pathogenic agents (e.g., helminth eggs, protozoan cysts, Escherichia coli, etc.) [11]. However, composting can significantly decrease the pathogenic load and can stabilize PTE by organometallic formation, so that PTE are no longer available to plants [12]. Additionally, this technique stabilizes organic matter, resulting in a product that can be used safely and classified by national and international regulations as an organic fertilizer (vide infra). As a matter of fact, CSS contains large amounts of organic matter and plant nutrients, including N, P, and micronutrients [13]. Several studies have reported on the benefits that CSS can have on soil physical, chemical, and biological properties [14,15,16]. In this way, composting is a sustainable solution for companies managing sludge from WTPs [17,18]
The Brazilian government recently adopted Resolution No. 498/2020, which has established regulations concerning the use of sewage sludge in agriculture. Consequently, sewage sludge application to soil must follow the resolution’s agronomic criteria [19]. Accordingly, CSS is considered an organic fertilizer if it meets the standards imposed by the Ministry of Agriculture, Livestock and Food Supply (MAPA), Normative N°. 61/2020 [20], which establishes threshold values for pathogenic organisms and PTE concentrations.
While other studies have explored the use of CSS in agricultural and forestry soils, additional research is needed to evaluate CSS as a nutrient source in sugarcane production. Indeed, sugarcane demands large amounts of nutrients during its entire cultivation period to reach a high level of productivity. All macro- and micronutrients are supplied by mineral fertilizers, with high costs and negative environmental concerns. From this point of view, interest in greater use of organic, natural, and “unconventional” nutrient sources, such as CSS, is increasing worldwide. Research is needed to determine whether CSS can be a viable strategy for reducing costs and providing more sustainable agricultural management in the sugar and ethanol production sector of Brazil. Therefore, in this research, we aim to understand how CSS use in sugarcane seedling nursery production will affect soil fertility. We hypothesized that the application of CSS will improve soil fertility and reduce mineral fertilizer requirements for the crop. Our objective was to evaluate changes in soil fertility properties in a sugarcane seedling nursery after the application of CSS with or without mineral fertilizer.
2. Materials and Methods
2.1. Experimental Area
The experiment was conducted in a commercial nursery environment in the municipality of Suzanápolis, São Paulo, Brazil (20°28′47.40″ S and 51°4′33.14″ W with an altitude of 354 m above sea level) (Figure 1) from November 2019 to August 2020.
Figure 1.
Experimental area (a) and plots (b) schematic arrangement.
The climate of the region is Aw type (maximum rain in summer and autumn, dry in winter, and periodic rain) according to Köppen and Geiger classification [21]. Climatological data were collected during the study period (Supplementary File Figure S1).
Soils were investigated according to standard international methodologies [22] and classified as Latossolo Vermelho-Amarelo Distrófico típico [23], Xanthic Hapludox [24], and Rhodic Ferralsols [25]. The area had an eight-year history of sugarcane cultivation. Soil was collected at 0.0–0.25 m and 0.25–0.50 m and characterized for physical–chemical properties before CSS application (Table 1).
2.2. Experimental Design
The experiment was implemented using a randomized complete block design with 11 treatments and four replications. Each plot consisted of six rows spaced 1.5 m by 10 m (90 m2 per plot; 3960 m2 whole experimental area).
Eleven different treatments, combining CSS (wet basis), NPK (6–30–24), and mineral fertilizer (MF), were evaluated: T1 (control): without CSS and MF application; T2: 100% of the recommended MF (33 kg ha−1 of N, 165 kg ha−1 of P2O5, and 132 kg ha−1 of K2O); T3: 2.5 Mg ha−1 of CSS; T4: 5.0 Mg ha−1 of CSS; T5: 7.5 Mg ha−1 of CSS; T6: 2.5 Mg ha−1 of CSS + 50% of MF; T7: 5.0 Mg ha−1 of CSS + 50% of MF; T8: 7.5 Mg ha−1 of CSS + 50% of MF; T9: 2.5 Mg ha−1 of CSS + 100% of MF; T10: 5.0 Mg ha−1 of CSS + 100% of MF; and T11: 7.5 Mg ha−1 of CSS + 100% of MF. The applied CSS doses were based on recommendations by the CSS supplier [26]. The 100% MF was applied based on technical recommendations of Usina Vale do Paraná, State of São Paulo, Brazil.
Table 1.
Physical a and chemical b properties of soil collected from experimental area in the soil surface (0.0–0.25 m) and subsurface (0.25–0.50 m) horizons (mean ± SE, n = 3).
Table 1.
Physical a and chemical b properties of soil collected from experimental area in the soil surface (0.0–0.25 m) and subsurface (0.25–0.50 m) horizons (mean ± SE, n = 3).
| Attributes | Units | Depth (m) | |||||
|---|---|---|---|---|---|---|---|
| 0.0–0.25 | 0.25–0.50 | ||||||
| pH (CaCl2) | - | 5.2 | ± | 0.08 | 5.1 | ± | 0.12 |
| OM | g dm−3 | 12.7 | ± | 0.47 | 12.0 | ± | 0.82 |
| P | mg dm−3 | 1.3 | ± | 0.47 | 2.7 | ± | 1.70 |
| K+ | mmolc dm−3 | 1.2 | ± | 0.05 | 1.2 | ± | 0.05 |
| Ca2+ | mmolc dm−3 | 15.7 | ± | 5.25 | 17.3 | ± | 5.44 |
| Mg2+ | mmolc dm−3 | 8.7 | ± | 0.47 | 10.7 | ± | 0.47 |
| Al3+ | mmolc dm−3 | 0.7 | ± | 0.94 | 1.7 | ± | 1.25 |
| H + Al | mmolc dm−3 | 16.7 | ± | 2.36 | 16.0 | ± | 1.41 |
| SB | mmolc dm−3 | 25.5 | ± | 5.51 | 29.2 | ± | 5.73 |
| S-SO4 | mg dm−3 | 2.0 | ± | 0.00 | 2.3 | ± | 0.47 |
| CEC | mmolc dm−3 | 42.2 | ± | 4.27 | 45.2 | ± | 4.99 |
| BS | % | 60.0 | ± | 7.79 | 64.0 | ± | 5.72 |
| B | mg dm−3 | 0.2 | ± | 0.01 | 0.1 | ± | 0.01 |
| Cu | mg dm−3 | 1.1 | ± | 0.08 | 1.3 | ± | 0.08 |
| Fe | mg dm−3 | 13.3 | ± | 17.44 | 16.0 | ± | 21.21 |
| Mn | mg dm−3 | 12.4 | ± | 3.03 | 7.9 | ± | 1.84 |
| Zn | mg dm−3 | 0.6 | ± | 0.00 | 0.6 | ± | 0.05 |
| Clay | g kg−1 | 134.0 | ± | 23.00 | |||
| Silt | g kg−1 | 87.0 | ± | 16.00 | |||
| Sand | g kg−1 | 779.0 | ± | 39.00 | |||
| Texture | - | Sand | |||||
a Teixeira et al. [27]. b Raij et al. [28]. OM: organic matter. CEC: cation-exchange capacity. SB: sum of bases. BS: base saturation.
2.3. Characterization of Composted Sewage Sludge
The compost feedstock consisted of urban organic and urban/agroindustrial organic wastes, including bagasse, fruit, and vegetable peels from food processing, poultry litter, and wood chips. During composting, the organic compounds underwent decomposition and biological stabilization through thermophilic processes with a temperature above 60 °C for approximately two weeks. After this period, CSS was ready for use with about 40% moisture. The CSS was characterized following Resolution-498/2020 [19] recommendations, thus being considered appropriate for agricultural reuse (Table 2).
Table 2.
Composted sewage sludge chemical and biological features (mean ± SE, n = 3).
2.4. Experiment Development
Field preparation began with the removal of invasive plants via glyphosate (3.1 kg ha−1 “active ingredient”, a.i. hereafter). Agricultural limestone and gypsum were applied at 0.5 t ha−1 and 0.7 Mg ha−1, respectively, to raise base saturation to 70% (Table 1), following recommendations made by Sousa et al. [29] and Raij et al. [7]. An intermediate harrow and subsoiling followed heavy harrow at the respective depths of 0.30, 0.25, and 0.45 m with the application of imidacloprid insecticide (1.2 kg ha−1 a.i.). The CSS and mineral fertilizers were applied manually in the planting furrow of each experimental unit. The sugarcane variety, RB867515, was used due to its popularity in Brazil [30]. Planting was performed semi-mechanically at a seedling density of 14.26 Mg ha−1. The planting furrow was approximately 0.35 m deep, and seedlings were positioned at the bottom of the furrow with a proportion of 22 viable buds per meter. Pesticides were applied to planting furrows for control of pineapple rot (Ceratocystis paradoxa (Dade) C.Moreau), termites (Heterotermes tenuis Hagen), and nematodes (Pratylenchus spp. and Meloidogyne spp.). Specifically, pyraclostrobin (0.125 kg−1 a.i.), fipronil (0.36 kg−1 a.i.) and biological nematicides (0.08 kg−1 a.i.) were applied. The experimental area was conducted under rainfed conditions (Supplementary File Figure S1).
The sugarcane was harvested in August 2020, and soil surface (0.0–0.25 m) and subsurface (0.25–0.50 m) horizons were collected. Six subsamples were randomly collected per plot and composited. Soil samples were air-dried, crushed, and passed through a sieve with a mesh size of 2.0 mm, packed in identified polyethylene bags, and stored in a dry chamber until the time of analysis.
2.5. Soil Chemical Analyses
Soil chemical properties were evaluated based on methods described by Raij et al. [28]. Soil pH was determined in air-dried fine soil suspensions and 0.01 mol L−1 CaCl2 solution with proportions of 1:2.5 soil–solution. Organic matter was determined by oxidation with K2Cr2O7 in the presence of H2SO4 and titration of excess dichromate with Fe(NH4)2(SO4)2.6H2O 0.4 mol L−1 solution. Exchangeable aluminum (Al+3) was extracted with 1.0 mol L−1 KCl solution and then titrated with NaOH− 0.025 mol L−1. Exchangeable calcium (Ca+2) and magnesium (Mg+2) were extracted by ion-exchange resin and quantified by atomic absorption spectrophotometry (AAS, Model Varian SpectrAA-55B, Varian, CA, USA). Exchangeable potassium (K+) and phosphorus (P) were also extracted by resin; however, K+ was determined by flame photometry and P by colorimetry. Potential acidity (H+ + Al+3) was estimated by the SMP buffer pH method. Sulfur (S) was extracted by a solution of Ca(H2PO4)2 0.01 mol L−1 and later the measurement of turbidity formed by the precipitation of sulfate by barium chloride in colorimetry. With these results, the sum of bases (SB), cation-exchange capacity (CEC) at pH 7.0, and base saturation (BS) were calculated. The available levels of Cu, Fe, Mn, and Zn were assessed by DTPA extraction at pH 7.3 [31]. Soil B concentration was evaluated by extraction with barium chloride, using microwave oven heating and quantified in a UV–vis spectrophotometer (Model Varian Cary-50, Varian, Vic, Australia) at 420 nm [32].
2.6. Statistical Analysis
The results were subjected to analysis of variance using the F-test (p ≤ 0.05) and the Scott–Knott test to group means of qualitative variables and regression analysis for CSS doses. Statistical analyses were performed using AgroEstat program version 1.1 [33] and R software version 4.0.1 [34].
3. Results and Discussion
The application rates of CSS (ranging from 0 to 7.5 t ha−1) in soil surface (0.0–0.25 m) and subsurface (0.25–0.50 m) horizons did not influence soil OM, Al, K, S, B, Fe, and Mn concentration (Table 3).
Table 3.
Regression analysis of soil chemical attributes after sugarcane cultivation in the surface (0.0–0.25 m) and subsurface (0.25–0.50 m) horizons; applied CSS doses: 0.0, 2.5, 5.0, and 7.5 Mg−1.
Soil Zn concentration increased linearly with increasing CSS doses at both depths (Table 3). In addition, there was a linear increase in soil pH, SB, BS, CEC, P, Ca, Mg, and Cu at the 0.0–0.25 m depth. Thus, increasing CSS to 7.5 Mg ha−1 increased these properties in the soil surface (0.0–0.25 m) horizon. Consequently, it might be possible that higher doses of CSS would further increase these values, thus improving overall soil fertility. Additionally, the application of 20 and 25 Mg ha−1 had increased soil pH, SB, CEC, and BS.
The surface layer of the soil had the largest amount of organic matter (Figure 2a), but there were no differences in organic matter between surface and subsurface horizons. Some studies have reported a 40% increase in organic matter in 0.0–0.25 m soil surface horizons when treated with CSS at rates ranging from 12.7 g dm−3 to 16.3 to 20.8 g dm−3. Such increases in organic matter are relevant in sandy soils and are important because increasing organic matter can lead to higher CEC, macro- and micronutrient concentrations, water retention, and soil aggregation while reducing bulk density [35,36]. The beneficial effects of CSS on the supply of organic matter in sandy soils cultivated with sugarcane were also observed by Oueriemmi et al. [37].
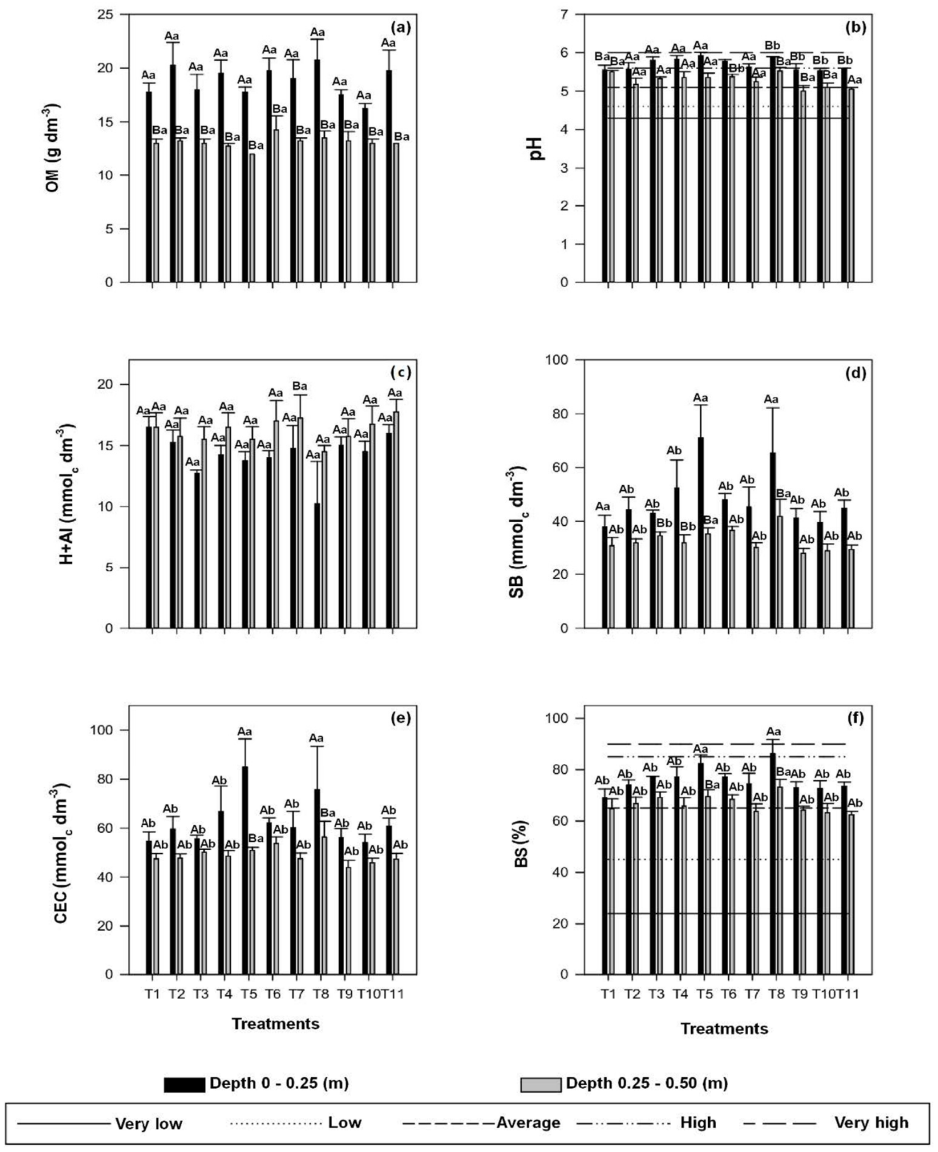
Figure 2.
Organic matter—OM (a), active acidity—pH (b), potential acidity—H + Al (c), sum of bases—SB (d), cation-exchange capacity—CEC (e), and base saturation—BS (f) in soil samples collected after sugarcane cultivation in layers 0.0–0.25 m and 0.25–0.50 m deep as a function of treatments: T1: control—without application of sewage sludge compost (CSS) and mineral fertilization (MF); T2: 100% of the recommended MF for sugarcane; doses of CSS (Mg ha−1, wet basis) = T3: 2.5; T4: 5.0; T5: 7.5; doses of CSS (Mg ha−1 on a wet basis) of CSS + MF with NPK (kg ha−1) = T6: 2.5 + 50%; T7: 5.0 + 50%; T8: 7.5 + 50%; T9: 2.5 + 100%; T10: 5.0 + 100%; and T11: 7.5 + 100%. Means followed by the same letter (capital for soil layers and lowercase for treatments) do not differ from each other by Scott–Knott test at 5% probability (mean ± SE, n = 4). The lines represent the limits of interpretation established by Raij et al. [7] for soils in the State of São Paulo, Brazil.
The pH values in both soil horizons differed for all treatments except the control (T1), which was higher in the surface horizon (Figure 2b). In this sense, the pH values in the 0.0–0.25 m surface horizon ranged from 5.5 to 5.9, while the highest values were observed in T5, T6, and T8 treatments. In subsurface horizons (0.25–0.50 m), the pH ranged from 5.0 to 5.3, with lower values recorded in T2, T9, T10, and T11 treatments. A previous study indicated that the application of CSS doses ranging from 0 to 82 Mg ha−1 (dry basis) in association with N and P in a Rhodic Hapludox soil under sugarcane (second and third ratoon) altered pH in surface horizons (0.0–0.10 and 0.10–0.20 m deep). The pH values increased (from 4.4 to 5.8) with increasing CSS doses up to 35.6 Mg ha−1 [38].
At the end of the experiment, the pH values, as a function of treatments, increased in both soil horizons (Table 1). A pH range of 5.5 to 6.5 is favorable for sugarcane growth. The pH values close to neutral could also increase macronutrients and B availability. Conversely, pH values lower than 5.5 may favor the activity of potentially phytotoxic elements such as Al and Mn [39].
In general, CSS treatments did not influence potential acidity (H + Al); a lower value was observed in T8 treatment only when comparing surface and subsurface horizons (Figure 2c). Such outcomes align with previous studies showing little influence of sewage sludge on potential acidity in Cerrado soils [35,40]. However, our results showed a significant increase in the surface horizon’s potential acidity under T8 after CSS application; it was 10.25 mmolc dm−3 before the experiment vs. 14.5 mmolc dm−3 at the end of it.
The highest SB values were observed in treatments T5 (7.5 Mg ha−1 of CSS) and T8 (7.5 Mg ha−1 of CSS + 50% of the MF) (Figure 2d). This increase was due to the addition of exchangeable cations such as Ca and Mg with CSS application (Table 2). Bonini et al. [35] and Prates et al. [13] also reported that sewage sludge positively influenced SB in a degraded Rhodic Hapludox, treated with the same CSS doses applied in our study.
A linear increase in CEC values in the surface horizons as a function of increasing CSS doses was observed (Table 3). A CEC increase due to CSS application has been reported by other scholars [35,41]. Sewage sludge contains large amounts of colloidal organic fractions that increase soil CEC [41].
Base saturation in surface and subsurface horizons ranged from 69–86% to 62–73%, respectively. The BS values increased under T5 and T8 in soil surface vs. subsurface horizons (Figure 2f). Thus, CSS rates of 7.5 Mg−1, with or without 50% MF, increase BS relative to T1. A linear increase in BS in surface horizons, as a function of increasing CSS doses, was also observed (Table 3). Reported values are those accepted for the proper development of sugarcane crops [42].
The application of CSS, with or without MF, increased exchangeable cations (K+, Ca2+, and Mg2+) (Figure 3) and thus significantly contributed to improving soil fertility.
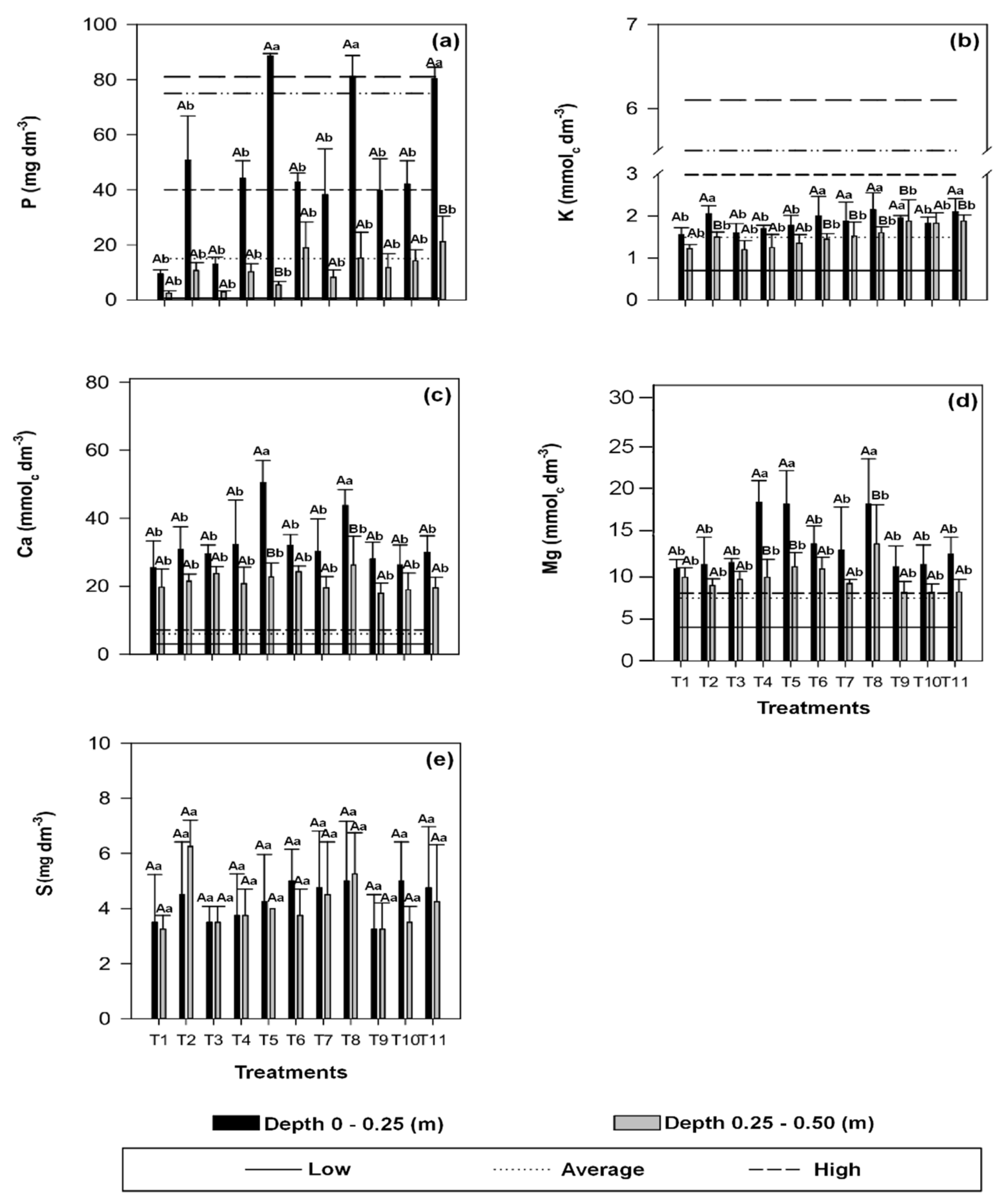
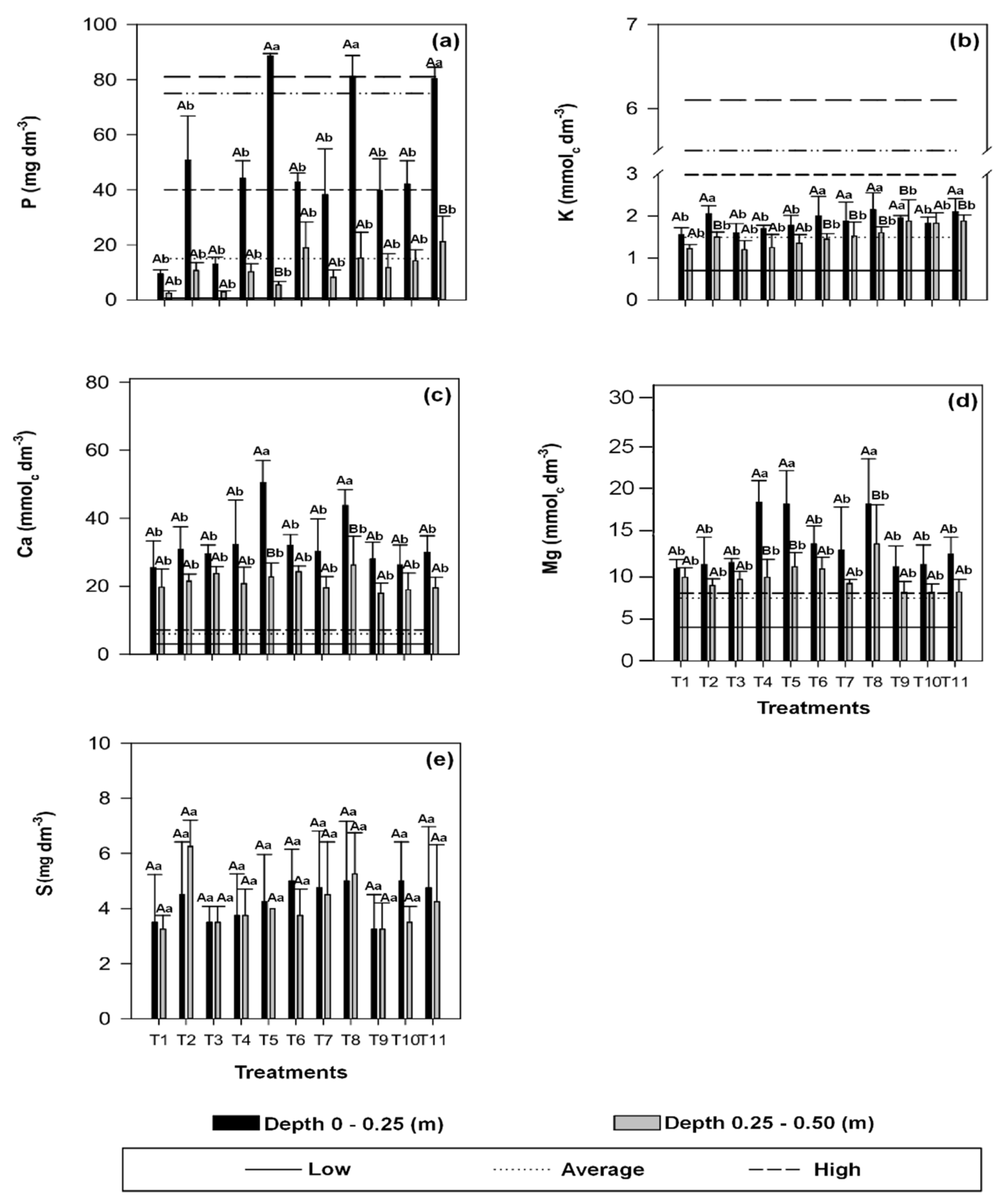
Figure 3.
Phosphorus (P) (a), potassium (K) (b), calcium (Ca) (c), magnesium (Mg) (d) and sulfur (S) (e) concentrations in soil samples collected after cultivation of sugarcane in layers 0.0–0.25 m and 0.25–0.50 m deep depending on the treatments: T1: control without sewage sludge compost (CSS) and mineral fertilizer (MF); T2: 100% of the recommended MF for sugarcane; doses of CSS (Mg ha−1 on wet basis) = T3: 2.5; T4: 5.0; T5: 7.5; doses of CSS (Mg ha−1 on a wet basis) + MF with NPK (kg ha−1) = T6: 2.5 + 50%; T7: 5.0 + 50%; T8: 7.5 + 50%; T9: 2.5 + 100%; T10: 5.0 + 100%; T11: 7.5 + 100%. Means followed by the same letter (capital for depth and lowercase for treatments) do not differ from each other by Scott–Knott test at 5% probability (mean ± SD, n = 4). The lines represent limits established by Raij et al. [7] for soils in the State of São Paulo, Brazil.
We observed the following variations in macronutrient concentrations: P = 10–89 mg dm−3; K = 1.6–2.1 mmolc dm−3; Ca = 26–51 mmolc dm−3; Mg = 11–19 mmolc dm−3 and S = 3–6 mg dm−3 in surface horizons and P = 3–21 mg dm−3; K = 1.2–1.9 mmolc dm−3; Ca = 18–26 mmolc dm−3; Mg = 8–14 mmolc dm−3, and S = 3–6 mg dm−3 in 0.25–0.50 m in subsurface horizons (Figure 3). Soil P concentrations in other treatments did not vary as a function of soil depths or CSS and/or MF application. Based on limits proposed by Raij et al. [7], we noted that initial P concentrations in surface (1.3 mg dm−3) and subsurface (2.7 mg dm−3) horizons were lower than those recommended (0–6 mg dm−3) for sugarcane (Table 1). At the end of the experiment, we found that mean P concentrations in surface horizons were low (7–15 mg dm−3) in T1 and T3, medium (16–40 mg dm−3) in T7 and T9, high (41–80 mg dm−3) in T2, T4, T6, and T10, and very high (>80 mg dm−3) in T5, T8, and T11. These outcomes demonstrated that T5 treatments, T8, and T11 increased soil P concentrations relative to control (T1) and MF (T2) treatments (Figure 3a).
The treatments T2, T6, T7, T8, T9, and T11 showed higher K concentrations in surface horizons. Subsurface horizons were characterized by higher K concentrations in T8, T9, T10, and T11 treatments. Before the experiment began, soils were characterized by a low K concentration (1.2 mmolc dm−3; Table 1). At the end of the experiment, K reached medium values (1.6–3.0 mmolc dm−3) in CSS treatments associated with MF (Figure 3b).
The highest soil Ca concentrations were observed in T5 and T8 treatments. Before CSS application, surface and subsurface horizons had 15.7 and 17.3 mmolc dm−3, respectively. At the end of the experiment, soil Ca concentration increased in all treatments, which may have been related to limestone application and high Ca concentrations in CSS (Table 2).
A linear increase in Mg concentrations as a function of CSS application rates was observed in surface horizons (Table 3). At the beginning of the experiment, Mg was 8.7 mmolc dm−3 and 10.7 mmolc dm−3 in surface and subsurface horizons, respectively. At the end of the experiment, higher soil Mg concentrations were observed in T5 and T8 treatments compared to T1 and MF (Figure 3d). Prates et al. [13] already reported a linear increase in Mg concentrations due to CSS application rates.
Soil S concentrations ranged from 3 to 6 mg d−3 with no difference between soil horizons and treatments (Figure 3e). However, the initial S concentrations in the surface and subsurface horizons ranged from 2.0 to 2.3 mg dm−3 (Table 1), which is considered low for sugarcane cultivation [7].
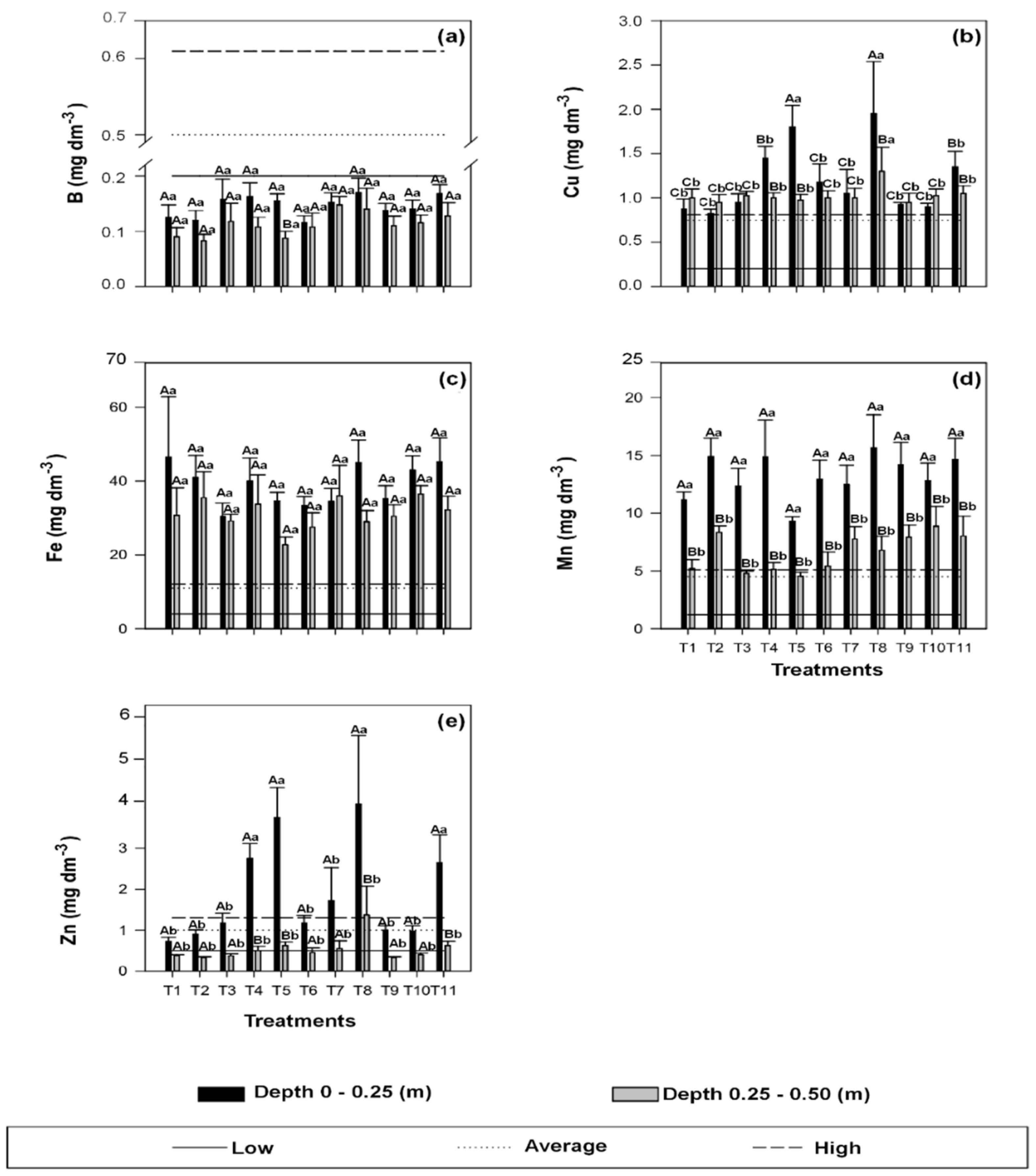
The mean concentrations of micronutrients varied as: B = 0.12–0.17 mg dm−3; Fe = 30–46 mg dm−3; Mn = 9.3–15.7 mg dm−3; Cu = 0.8–1.9 mg dm−3 and Zn = 0.7–4.1 mg dm−3 in surface horizons and B = 0.08–0.15 mg dm−3; Fe = 23–36 mg dm−3; Mn = 4.6–8.9 mg dm−3; Cu = 0.9–1.3 mg dm−3, and Zn = 0.3–1.4 mg dm−3 in subsurface horizons (Figure 4).
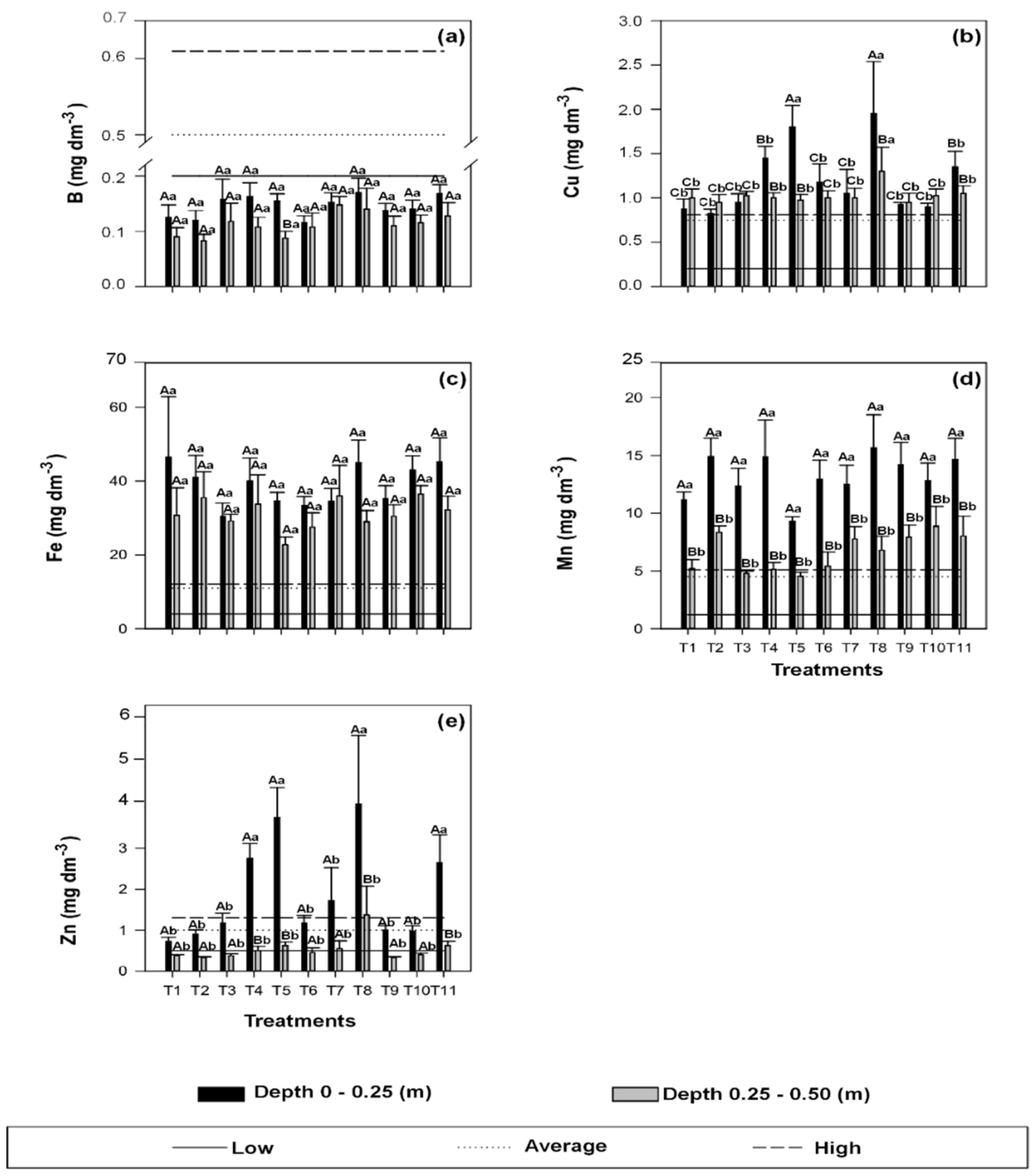
Figure 4.
Boron (B) (a), copper (Cu) (b), iron (Fe) (c), manganese (Mn) (d), and zinc (Zn) (e) concentrations in soil samples collected after sugarcane cultivation in layers 0.0–0.25 m and 0.25–0.50 m depending on the treatments: T1: control without application of sewage sludge compost (CSS) and mineral fertilizer (MF); T2: 100% of the recommended MF for sugarcane; doses of CSS (Mg ha−1 on wet basis) = T3: 2.5; T4: 5.0; T5: 7.5; doses of CSS (Mg ha−1 on wet basis) + MF with NPK (kg−1) = T6: 2.5 + 50%; T7: 5.0 + 50%; T8: 7.5 + 50%; T9: 2.5 + 100%; T10: 5.0 + 100%; and T11: 7.5 + 100%. Means followed by same letter (capital for depth and lowercase for treatments) do not differ from each other by Scott–Knott test at 5% probability (mean ± SE, n = 4). The lines represent limits of interpretation established by Raij et al. [7] for soils in State of São Paulo, Brazil.
Using the interpretation guidance for São Paulo State soils [7], the B concentrations at both investigated depths were considered low (0–0.20 mg dm−3) before the experiment (Table 1), which remained the case at the end of the experiment. Sandy, heavily leached tropical soils are characterized by low OM and, consequently, B content. In our study, CSS application only improved B availability in surface horizons with an application rate of 7.5 Mg ha−1 (Figure 4a).
Copper and Fe concentrations at the beginning of the experiment were considered high (Cu > 0.8 mg dm−3; Fe > 12 mg dm−3) [7]. Higher soil Cu concentration was observed in T5 and T8 treatments in surface horizons at the end of the experiment (Figure 4b). There was also an increase in available soil Fe concentrations from 13 to 30 mg dm−3 in the surface and 16 to 46 mg dm−3 in 0.25–0.50 m in subsurface horizons. However, no significant effect was observed on Fe concentrations for any applied treatments in both surface and subsurface horizons (Figure 4c).
There was no effect of treatments on soil Mn concentrations in the surface horizons. However, we observed that applying 2.5 t ha−1 of CSS + 50% of MF to 7.5 Mg−1 of CSS + 100% of MF increased Mn concentration in subsurface horizons (Figure 4d). The Mn concentration before the experiment (Table 1) was considered high (>5.0 mg dm−3) [7], which was still the case at the end of the experiment. It has been reported that Mn is the second most extracted micronutrient by sugarcane, and therefore, its deficiency can decrease productivity, as it is responsible for increasing internode number and stem diameter [43].
At the end of the experiment, soil Zn concentration increased with the application of 5.0 and 7.5 Mg−1 of CSS, 7.5 Mg−1 of CSS + 50, and 100% of MF (Figure 4e); this was particularly true for surface horizons. We should note the soil Zn concentration before experiment implementation was 0.6 mg dm−3 at both depths (Table 1), which is considered a medium value (0.6–1.2 mg dm−3) according to Raij et al. [7]. Zinc concentrations increased to high levels (>1.2 mg dm−3) in T3, T4, T5, T7, T8, T10, and T11 treatments in surface horizons (Figure 4e). These results demonstrated that CSS was responsible for linearly increasing soil Zn concentrations in both horizons (Table 3).
4. Conclusions
The CSS doses did not alter OM content in the 0.0–0.25 m and 0.25–0.50 m soil layers. The CEC of the soil increased in surface layers. Application of CSS at 5.0 Mg ha−1 with or without 50% MF provided the highest pH, SB, P, K, Ca, Mg, Cu, and Zn values in the surface layer and elevated Zn concentrations in the subsurface layer. Except for Zn concentrations, there were no changes in soil chemical properties in the 0.25–0.50 m depth layer as a function of increasing CSS doses. Our results demonstrated that CSS may reduce mineral fertilizer requirements for sugarcane seedlings while enhancing the quality of soils cultivated with sugarcane. Future research will focus on possible environmental concerns with continuous application of CSS.
Supplementary Materials
The following supporting information can be downloaded at: https://www.mdpi.com/article/10.3390/su14084684/s1, Figure S1: Monthly rainfall, relative humidity, mean, maximum (max.), and minimum (min.) temperatures recorded during cultivation of sugarcane crops. Data were collected from the weather station of the School of Engineering at São Paulo State University, Ilha Solteira.
Author Contributions
Conceptualization, T.A.R.N., R.R. and R.d.S.S.; methodology, R.d.S.S.; software, G.F.C.; validation, T.A.R.N., R.d.S.S. and F.C.O.; formal analysis, R.d.S.S. and K.C.K.; investigation, R.d.S.S.; resources, T.A.R.N.; data curation, R.d.S.S. and R.R.; writing—original draft preparation, T.A.R.N. and R.d.S.S.; writing—review and editing, A.J., A.D.J., M.C.M.T.F., C.H.A.-J., F.Z. and G.F.C.; visualization, R.E.N.d.N., N.C.E. and Z.H.; supervision, T.A.R.N.; project administration, T.A.R.N.; funding acquisition, T.A.R.N. All authors have read and agreed to the published version of the manuscript.
Funding
The research was co-financed by the Usina Vale do Paraná S/A—Álcool e Açúcar. This study was financed in part by the Coordenação de Aperfeiçoamento de Pessoal de Nível Superior—Brasil (CAPES/AUXPE Award Number 88887.592666/2020-00 | 0242/2021).
Institutional Review Board Statement
Not applicable.
Informed Consent Statement
Not applicable.
Data Availability Statement
The information and database for this research are currently not on a platform or website. They can be provided by the corresponding author.
Acknowledgments
We thank the Grupo de Estudo em Nutrição, Adubação e Fertilidade do Solo (GENAFERT) and Usina Vale do Paraná for technical support, the CNPq for the Research Grant to the corresponding author (Grant Number 308374/2021-5), and Tera Ambiental Ltd.a. Jundiaí SP for compost supplying. The authors also acknowledge the Coordenação de Aperfeiçoamento de Pessoal de Nível Superior (CAPES), the National Council for Scientific and Technological Development (CNPq), and the São Paulo Research Foundation (FAPESP) for funding and scholarships.
Conflicts of Interest
The authors declare no conflict of interest.
References
- Aguilar-Rivera, N. Bioindicators for the Sustainability of Sugar Agro-Industry. Sugar Tech 2022, 1–11. [Google Scholar] [CrossRef] [PubMed]
- Companhia Nacional de Abastecimento (Conab). Acompanhamento da Safra Brasileira de Cana-de-Açúcar, Terceiro Levantamento: Safra 2021/22; Conab: Brasília, Brazil, 2021; Volume 8, pp. 1–63. Available online: https://www.conab.gov.br/info-agro/safras/cana/boletim-da-safra-de-cana-de-acucar (accessed on 27 November 2021).
- Cherubin, M.R.; Carvalho, J.L.N.; Cerri, C.E.P.; Nogueira, L.A.H.; Souza, G.M.; Cantarella, H. Land Use and Management Effects on Sustainable Sugarcane-Derived Bioenergy. Land 2021, 10, 72. [Google Scholar] [CrossRef]
- Gazola, T.; Filho, M.L.C.; Júnior, N.C.F. Avaliação de mudas pré-brotadas de cana-de-açúcar provenientes de substratos submetidos à adubação química e orgânica. Científica 2017, 45, 300–306. [Google Scholar] [CrossRef][Green Version]
- De Oliveira, M.W.; Oliveira, T.B.A.; de Castro Nogueira, C.N.C.H.; de Assis, W.O.; Borges, S.T.F. Nitrogen fertilization in sugarcane nurses. Braz. J. Dev. 2020, 6, 2855–2860. [Google Scholar] [CrossRef]
- Nicchio, B.; Rodrigues, M.V.; Vieira, M.A.M.; Pereira, H.S.; Korndörfer, G.H. O uso de fosfatos associados a fontes de enxofre aplicados em um Latossolo Vermelho distrófico cultivado com mudas de cana-de-açúcar. Braz. J. Anim. Environ. Res. 2021, 4, 5215–5234. [Google Scholar] [CrossRef]
- Raij, B.V.; Cantarella, H.; Quaggio, J.A.; Furlani, A.M.C. Recomendações de Adubação e Calagem para o Estado de São Paulo, 2nd ed.; IAC: Campinas, Brazil, 1997; pp. 8–13. [Google Scholar]
- Vitti, G.C.; de Luz, P.H.C.; Altran, W.S. Nutrição e adubação. In Cana-de-Açúcar: Bioenergia, Açúcar e Etanol-Tecnologias e Perspectivas, 2nd ed.; Santos, F., Borém, A., Caldas., S.C., Eds.; Editora UFV: Viçosa, Brazil, 2011; pp. 73–117. [Google Scholar]
- ANDA. Associação Nacional para Difusão de Adubos. Principais Indicadores do Setor de Fertilizantes. Available online: http://anda.org.br/arquivos/ (accessed on 11 April 2021).
- Rosa, P.A.L.; Mortinho, E.S.; Jalal, A.; Galindo, F.S.; Buzetti, S.; Fernandes, G.C.; Neto, M.B.; Pavinato, P.S.; Filho, M.C.M.T. Inoculation with growth-promoting bacteria associated with the reduction of phosphate fertilization in sugarcane. Front. Environ. Sci. 2020, 8, 32. [Google Scholar] [CrossRef]
- Sampaio, T.F.; Guerrini, I.A.; Otero, X.L.; Vazquez, F.M.; Bogiani, J.C.; Oliveira, F.C.; Gava, J.L.; Ciol, M.A.; Littke, K.M.; Harrison, R.B. The impact of biosolids application on soil and native plants in a degraded Brazilian Atlantic Rainforest soil. Water Air Soil Pollut. 2016, 227, 1. [Google Scholar] [CrossRef]
- Cheng, H.; Xu, W.; Liu, J.; Zhao, Q.; He, Y.; Chen, G. Application of composted sewage sludge (CSS) as a soil amendment for turfgrass growth. Ecol. Eng. 2007, 29, 96–104. [Google Scholar] [CrossRef]
- Prates, A.R.; Coscione, A.R.; Teixeira Filho, M.C.M.; Miranda, B.G.; Arf, O.; Abreu-Junior, C.H.; Oliveira, F.C.; Moreira, A.; Galindo, F.S.; Sartori, M.M.P.; et al. Composted sewage sludge enhances soybean production and agronomic performance in naturally infertile soils (Cerrado Region, Brazil). Agronomy 2020, 10, 1677. [Google Scholar] [CrossRef]
- Hernández, T.; Chocano, C.; Moreno, J.L.; García, C. Use of compost as an alternative to conventional inorganic fertilisers in intensive lettuce (Lactuca sativa L.) crops–Effects on soil and plant. Soil Tillage Res. 2016, 160, 14–22. [Google Scholar] [CrossRef]
- Jakubus, M.; Bakinowska, E. Visualization of Long-Term Quantitative Changes of Microelements in Soils Amended with Sewage Sludge Compost Evaluated with Two Extraction Solutions. Commun. Soil Sci. Plant Anal. 2018, 49, 1355–1369. [Google Scholar] [CrossRef]
- Florentino, A.L.; de Vicente Ferraz, A.; de Moraes Gonçalves, J.L.; Muraoka, V.A.T.; dos Santos Dias, C.T.; Nogueira, T.A.R.; Capra, G.F.; Abreu-Junior, C.H. Long-term effects of residual sewage sludge application in tropical soils under Eucalyptus plantations. J. Clean. Prod. 2019, 220, 177–187. [Google Scholar] [CrossRef]
- Meng, L.; Li, W.; Zhang, S.; Zhang, X.; Zhao, Y.; Chen, L. Improving sewage sludge compost process and quality by carbon sources addition. Sci. Rep. 2021, 11, 1319. [Google Scholar] [CrossRef] [PubMed]
- Picariello, E.; Pucci, L.; Carotenuto, M.; Libralato, G.; Lofrano, G.; Baldantoni, D. Compost and Sewage Sludge for the Improvement of Soil Chemical and Biological Quality of Mediterranean Agroecosystems. Sustainability 2021, 13, 26. [Google Scholar] [CrossRef]
- Brazil. Ministério da Agricultura, Pecuária e Abastecimento/Secretaria de Defesa Agropecuária. 2020, Resolução nº 498, de 19 de Agosto de 2020. Available online: https://www.in.gov.br/en/web/dou/-/resolucao-n-498-de-19-de-agosto-de-2020-27346797 (accessed on 24 November 2020).
- MAPA. Ministério da Agricultura, Pecuária e Abastecimento. 2020, Instrução Normativa no 61, de 08 de Julho de 2020. Available online: http://www.in.gov.br/web/dou/-/instrucao-normativa-n-61-de-8-de-julho-de-2020-266802148 (accessed on 24 November 2020).
- Köppen, W.; Geiger, R. Klimate der Erde; Verlag Justus Perthes: Gotha, Germany, 1928. [Google Scholar]
- Schoeneberger, P.J.; Wysocki, D.A.; Benham, E.C. Field Book for Describing and Sampling Soils. Natural Resources Conservation Service; National Soil Survey Center: Lincon, NE, USA, 2012; Volume 3, pp. 1–14. [Google Scholar]
- Santos, H.G.; Jacomine, P.K.T.; Anjos, L.H.C.; Oliveira, V.Á.; Lumbreras, J.F.; Coelho, M.R.; Almeida, J.A.; Araújo Filho, J.C.; Oliveira, J.B.; Cunha, T. Sistema Brasileiro de Classificação de Solos, 5th ed.; Embrapa: Brasília, Brazil, 2018; p. 356. [Google Scholar]
- Soil Survey Staff. Keys to Soil Taxonomy, 12th ed.; United States Department of Agriculture, Natural Resources Conservation Service: Washington, DC, USA, 2014. Available online: https://www.nrcs.usda.gov/wps/PA_NRCSConsumption/download?cid=stelprdb1252094&ext=pdf (accessed on 24 May 2020).
- IUSS Working Group WRB. World Reference Base for Soil Resources 2014, Update 2015: International Soil Classification System for Naming Soils and Creating Legends for Soil Maps; (World Soil Resources Reports, 106); Food and Agriculture Organization of the United Nations: Rome, Italy, 2015. [Google Scholar]
- Tera Ambiental. Guia Sobre o Fertilizante Orgânico Composto Classe “D”. Available online: https://www.teraambiental.com.br/guia-fertilizante-organico-composto-classe-d (accessed on 24 November 2021).
- Teixeira, P.C.; Donagemma, G.K.; Fontana, A.; Teixeira, W.G. Manual de Métodos de Análise de Solo, 3rd ed.; Embrapa Informação Tecnológica: Brasília, Brazil, 2017; p. 573. [Google Scholar]
- Raij, B.V.; de Andrade, J.C.; Cantarella, H.; Quaggio, J.A. Análise Química para Avaliação da Fertilidade de Solos Tropicais; Instituto Agronômico/Fundação IAC: Campinas, Brazil, 2001; p. 285. [Google Scholar]
- Sousa, D.M.G.; Rein, T.A.; Nunes, R.S.; Junior, J.D.G.S. Recomendações para Correção da Acidez do solo para Cana-de-Açúcar no Cerrado. Comunicado Técnico; Embrapa Cerrados: Planaltina, Brazil, 2015; Volume 1, p. 6. Available online: http://www.infoteca.cnptia.embrapa.br/infoteca/handle/doc/1026363 (accessed on 1 August 2021).
- ASSOCANA. Associação Rural dos Fornecedores e Plantadores de Cana da Média Sorocabana. Características Agrotécnicas e Manejo Varietal da Cana-de-Açúcar. Available online: http://www.assocana.com.br/arquivos/upload/files/documentos/variedades_2020.pdf (accessed on 24 August 2021).
- Abreu, C.A.; Abreu, M.F.; Andrade, J.C. Determinação de cobre, ferro, manganês, zinco, cádmio, cromo, níquel e chumbo em solos usando a solução de DTPA em pH 7.3. In Análise Química para Avaliação da Fertilidade de Solos Tropicais, 1st ed.; Raij, B.V., Andrade, J.C., Cantarella, H., Quaggio, J.A., Eds.; Instituto Agronômico: Campinas, Brazil, 2001; pp. 231–239. [Google Scholar]
- Abreu, C.A.; Abreu, M.F.; Andrade, J.C. Determinação de boro em água quente, usando aquecimento com micro-onda. In Análise Química para Avaliação da Fertilidade de Solos Tropicais, 1st ed.; Raij, B.V., Andrade, J.C., Cantarella, H., Quaggio, J.A., Eds.; Instituto Agronômico: Campinas, Brazil, 2001; pp. 231–239. [Google Scholar]
- Barbosa, J.C.; Maldonado Junior, W. AgroEstat: Sistema para Análises Estatísticas de Ensaios Agronômicos; FCAV/UNESP: Jaboticabal, Brazil, 2015; p. 396. [Google Scholar]
- RStudio Team. RStudio: Integrated Development Environment for R; RStudio: Boston, MA, USA, 2021; Available online: https://www.rstudio.com/ (accessed on 10 April 2021).
- Bonini, C.S.B.; Alves, M.C.; Montanari, R. Lodo de esgoto e adubação mineral na recuperação de atributos químicos de solo degradado. Rev. Bras. Eng. Agrícola Ambient. 2015, 19, 388–393. [Google Scholar] [CrossRef]
- Bai, Z.; Caspari, T.; Gonzalez, M.R.; Batjes, N.H.; Mäder, P.; Bünemann, E.K.; de Goede, R.; Brussaard, L.; Xu, M.; Ferreira, C.S.S.; et al. Effects of agricultural management practices on soil quality: A review of long-term experiments for Europe and China. Agric. Ecosyst. Environ. 2018, 265, 1–7. [Google Scholar] [CrossRef]
- Oueriemmi, H.; Ardhaoui, K.; Moussa, M. Short-Term Effects of Sewage Sludge Compost Application on Some Chemical Properties of Sandy Soil. In Recent Advances in Geo-Environmental Engineering, Geomechanics and Geotechnics, and Geohazards. CAJG 2018. Advances in Science, Technology & Innovation (IEREK Interdisciplinary Series for Sustainable Development); Kallel, A., Erguler, Z.A., Cui, Z.D., Karrech, A., Karakus, M., Kulatilake, P., Shukla, S.K., Eds.; Springer: Cham, Switzerland, 2020. [Google Scholar] [CrossRef]
- Braga, V.S. Composto de lodo de Esgoto na Cultura da Cana-de-Açúcar: Nitrogênio, Fósforo, Fertilidade do solo e Produtividade. Ph. D. Thesis, Universidade de São Paulo, São Paulo, Brazil, 2013. [Google Scholar]
- Silva, J. Árvore do Conhecimento: Pimenta–Adubação e Nutrição. 2021. Empresa Brasileira de Pesquisa. Available online: https://www.agencia.cnptia.embrapa.br/gestor/pimenta/arvore/CONT000gn0k9bxa02wx5ok0liq1mqs8yoptq.html#:~:text=A%20disponibilidade%20de%20nutrientes%20para,favor%C3%A1veis%20ao%20desenvolvimento%20da%20pimenteira (accessed on 10 April 2021).
- Ricci, A.B.; Padovani, V.C.R.; de Paula Júnior, D.R. Uso de lodo de esgoto estabilizado em um solo decapitado. II-Atributos químicos e revegetação. Rev. Bras. Ciência Solo 2010, 34, 543–551. [Google Scholar] [CrossRef]
- Santos, F.E.V.; Kunz, S.H.; Caldeira, M.V.W.; Azevedo, C.H.S.; Rangel, O.J.P. Características químicas de substratos formulados com lodo de esgoto para produção de mudas florestais. Rev. Bras. Eng. Agrícola Ambient. 2014, 18, 971–979. [Google Scholar] [CrossRef]
- Spironello, A.; Raij, B.V.; Penatti, C.P.; Cantarella, H.; Morelli, J.L.; Filho, J.O.; Landell, M.G.A.; Rosseto, R. Outras culturas industriais. In Recomendações de Adubação e Calagem para o Estado de São Paulo, 2nd ed.; Raij Bernardo, V., Cantarella, H., Quaggio José, A., Furlani Ângela, M.C., Eds.; Instituto Agronômico: Campinas, Brazil, 1997; pp. 237–239. [Google Scholar]
- Benett, C.G.S.; Buzetti, S.; Silva, K.S.; Teixeira Filho, M.C.M.; de Paula Garcia, C.M.; Maestrelo, P.R. Produtividade e desenvolvimento da cana-planta e soca em função de doses e fontes de manganês. Rev. Bras. Ciência Solo 2011, 35, 1661–1667. [Google Scholar] [CrossRef][Green Version]
Publisher’s Note: MDPI stays neutral with regard to jurisdictional claims in published maps and institutional affiliations. |
© 2022 by the authors. Licensee MDPI, Basel, Switzerland. This article is an open access article distributed under the terms and conditions of the Creative Commons Attribution (CC BY) license (https://creativecommons.org/licenses/by/4.0/).



