Investigation on the Influence of the Bit Radius and Impact Velocity on Rock Fragmentation by Discrete Element Method
Abstract
1. Introduction
2. Discrete Element Method
3. Problem Description
4. Results and Discussion
4.1. Mechanical Energy Transferred to the Rock
4.2. Thrust Force
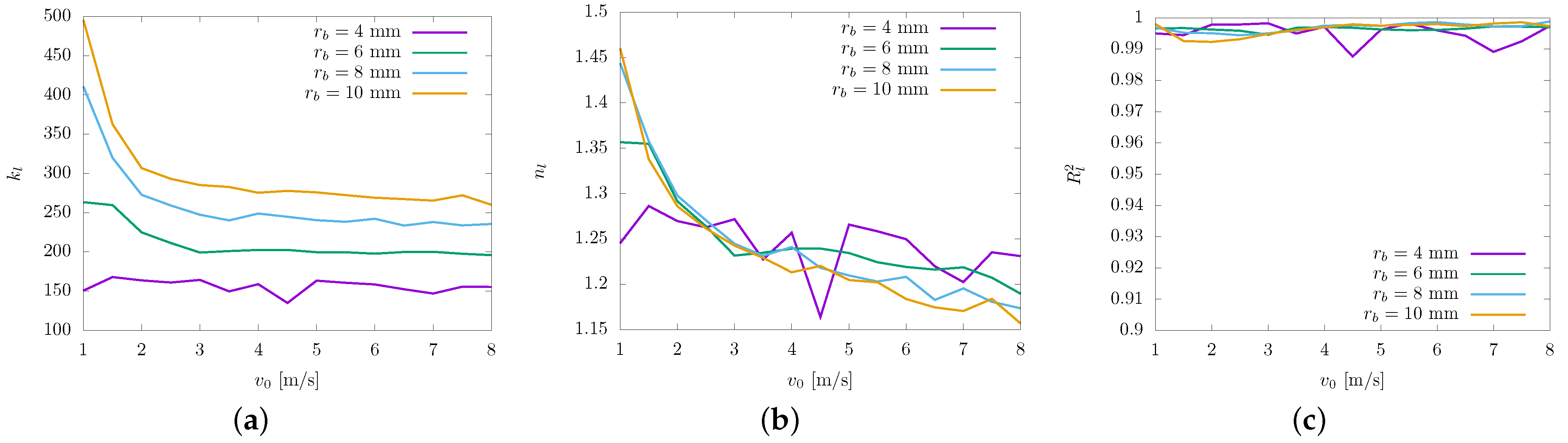
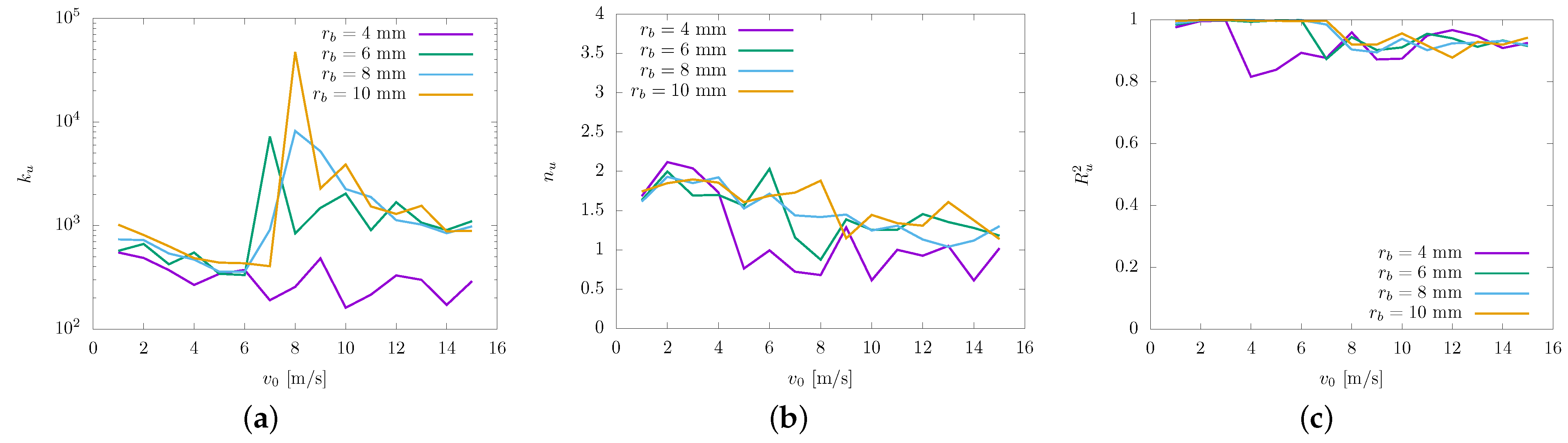
4.3. Force–Penetration Relationship
5. Conclusions
- The force–penetration relationship (FPR) was systematically investigated for multiple bit radii and impact velocities. Despite the implemented linear contact model, the obtained response in the FPR satisfactorily exhibits a consistent nonlinearity that coincides with the elastic Hertzian law, particularly at low velocities where elastic behavior is expected in the FPR.
- Through analysis of the regression model obtained for the force–penetration relationship (FPR), we observed that during the loading phase, the coefficient shows a dependence on the bit radius while maintaining independence from the impact velocity. In contrast, the exponent demonstrates no dependency on the bit radius but exhibits dependence on the impact velocity. During the unloading phase, the coefficient was determined to be influenced by both the bit radius and the impact velocity, whereas the exponent is solely dependent on the impact velocity of the bit.
- The behavior of the thrust force over time exhibited qualitative similarities to previously reported experimental and numerical studies, thus validating the current model. Furthermore, an investigation into the energy transferred to the rock revealed an elastic component that follows a power–law function with respect to penetration. The numerical coefficient of this relationship was observed to depend on the bit radius, while the exponent was found to be constant for different bit radii, with a value of . This value deviates slightly from the expected value of in the Hertzian contact model.
- Exploring the efficiency of mechanical energy transfer as a function of the bit’s impact velocity was also conducted. A threshold velocity was identified, beyond which the efficiency exhibited a substantial increase. This finding underscores the importance of considering optimal impact velocities when designing tools for rock fragmentation, as this can significantly enhance the excavation process.
- Additionally, we determined that in order to obtain accurate results when employing the discrete element method, the radius of the largest particle in the numerical sample should not exceed one-quarter of the bit’s radius. This finding serves as a valuable contribution for future researchers utilizing the discrete element method.
Author Contributions
Funding
Institutional Review Board Statement
Informed Consent Statement
Data Availability Statement
Conflicts of Interest
Nomenclature
| particle position | |
| radius of the bit | |
| energy transferred to the rock | |
| regression parameter of the energy of the rock as a function of the bit penetration, | |
| the coefficient | |
| regression parameter of the energy of the rock as a function of the bit penetration, | |
| the exponent | |
| coefficient of determination for the regression of the energy of the rock as a function | |
| of the bit penetration | |
| energy of the bit | |
| regression parameter of the loading force as a function of the bit penetration, the | |
| coefficient | |
| regression parameter of the loading force as a function of the bit penetration, the | |
| exponent | |
| loading force | |
| coefficient of determination for the regression of the loading force as a function of | |
| the bit penetration | |
| regression parameter of the unloading force as a function of the bit penetration, the | |
| coefficient | |
| regression parameter of the unloading force as a function of the bit penetration, the | |
| exponent | |
| unloading force | |
| coefficient of determination for the regression of the unloading force as a function | |
| of the bit penetration | |
| resultant force acting on particle i | |
| mass of ith particle | |
| inertia tensor of particle i | |
| angular velocity of the particle i | |
| normal force | |
| tangential force | |
| Young’s modulus of the particles | |
| mean radius of contact particles | |
| Poisson’s ratio | |
| elongation of tangential spring | |
| time of the first contact | |
| coefficient of static friction | |
| coefficient of dynamic friction | |
| coefficient of friction | |
| bit penetration | |
| initial velocity of the bit | |
| efficiency | |
| tangential relative velocity between particles | |
| normal unit vector | |
| penetration of the bit when the force decreased to zero | |
| Y | Young’s modulus of the rock |
| density of the rock | |
| Poisson’s ratio of the rock |
References
- Zhang, H.; Huang, G.; Song, H.; Kang, Y. Experimental investigation of deformation and failure mechanisms in rock under indentation by digital image correlation. Eng. Fract. Mech. 2012, 96, 667–675. [Google Scholar] [CrossRef]
- Saksala, T. Numerical modelling of bit-rock fracture mechanisms in percussive drilling with a continuum approach. Int. J. Numer. Anal. Methods Geomech. 2011, 35, 1483–1505. [Google Scholar] [CrossRef]
- Hashiba, K.; Fukui, K.; Liang, Y.; Koizumi, M.; Matsuda, T. Modeling of force-penetration curves for a button bit during impact penetration into rock. Int. J. Rock Mech. Min. Sci. 2017, 93, 210–214. [Google Scholar] [CrossRef]
- Poletto, F.; Miranda, F. Chapter 2 Principles of drilling. In Seismic While Drilling Fundamentals of Drill-Bit Seismic for Exploration—Handbook of Geophysical Exploration: Seismic Exploration; Pergamon: Oxford, UK, 2004; Volume 35, pp. 27–92. [Google Scholar] [CrossRef]
- Tang, S.; Li, J.; Ding, S.; Zhang, L. The influence of water-stress loading sequences on the creep behavior of granite. Bull. Eng. Geol. Environ. 2022, 81, 482. [Google Scholar] [CrossRef]
- Liang, X.; Tang, S.; Tang, C.; Hu, L.; Chen, F. Influence of Water on the Mechanical Properties and Failure Behaviors of Sandstone Under Triaxial Compression. Rock Mech. Rock Eng. 2023, 56, 1131–1162. [Google Scholar] [CrossRef]
- Miller, M.; Sikarskie, D. On the penetration of rock by three-dimensional indentors. Int. J. Rock Mech. Min. Sci. Geomech. Abstr. 1968, 5, 3–398. [Google Scholar] [CrossRef]
- Hustrulid, W.; Fairhurst, C. A theoretical and experimental study of the percussive drilling of rock Part II-force-penetration and specific energy determinations. Int. J. Rock Mech. Min. Sci. Geomech. Abstr. 1971, 8, 335–356. [Google Scholar] [CrossRef]
- Dutta, P. A theory of percussive drill bit penetration. Int. J. Rock Mech. Min. Sci. Geomech. Abstr. 1972, 9, 543–544. [Google Scholar] [CrossRef]
- Karlsson, L.; Lundberg, B.; Sundin, K. Experimental study of a percussive process for rock fragmentation. Int. J. Rock Mech. Min. Sci. Geomech. Abstr. 1989, 26, 45–50. [Google Scholar] [CrossRef]
- Hashiba, K.; Fukui, K.; Liang, Y.; Koizumi, M.; Matsuda, T. Force-penetration curves of a button bit generated during impact penetration into rock. Int. J. Impact Eng. 2015, 85, 45–56. [Google Scholar] [CrossRef]
- Ajibose, O.; Wiercigroch, M.; Akisanya, A. Experimental studies of the resultant contact forces in drillbit-rock interaction. Int. J. Mech. Sci. 2015, 91, 3–11. [Google Scholar] [CrossRef]
- Chiang, L.; Elías, D. Modeling impact in down-the-hole rock drilling. Int. J. Rock Mech. Min. Sci. Geomech. Abstr. 2000, 37, 599–613. [Google Scholar] [CrossRef]
- Chiang, L.; Elías, D. A 3D FEM methodology for simulating the impact in rock-drilling hammers. Int. J. Rock Mech. Min. Sci. Geomech. Abstr. 2008, 45, 701–711. [Google Scholar] [CrossRef]
- Zhu, H.; Liu, Q.; Xiao, X.; Jing, J. A 3D FEM methodology for the full-scale air hammer bit, teeth and rock contact analysis. Adv. Mater. Res. 2011, 156–157, 1425–1429. [Google Scholar] [CrossRef]
- Bu, C.; Qu, Y.; Cheng, Z.; Liu, B. Numerical simulation of impact on pneumatic DTH hammer percussive drilling. J. Earth Sci. 2009, 20, 868–878. [Google Scholar] [CrossRef]
- Saadati, M.; Forquin, P.; Weddfelt, K.; Larsson, P.; Hild, F. Granite rock fragmentation at percussive drilling - experimental and numerical investigation. Int. J. Numer. Anal. Methods Geomech. 2014, 38, 828–843. [Google Scholar] [CrossRef]
- Fourmeau, M.; Kane, A.; Hokka, M. Experimental and numerical study of drill bit drop tests on Kuru granite. Philos. Trans. R. Soc. Math. Phys. Eng. Sci. 2017, 375, 20160176. [Google Scholar] [CrossRef]
- Saadat, M.; Taheri, A. A cohesive discrete element based approach to characterizing the shear behavior of cohesive soil and clay-infilled rock joints. Comput. Geotech. 2019, 114, 103109. [Google Scholar] [CrossRef]
- Zhang, S.; Wu, S.; Duan, K. Study on the deformation and strength characteristics of hard rock under true triaxial stress state using bonded-particle model. Comput. Geotech. 2019, 112, 1–16. [Google Scholar] [CrossRef]
- Zhu, R.; Alam, S.; Loukili, A. A comprehensive approach for mesoscale discrete element modelling of mechanical and fracture behavior of concrete. Granul. Matter 2019, 21, 5. [Google Scholar] [CrossRef]
- Labra, C.; Rojek, J.; Oñate, E.; Zarate, F. Advances in discrete element modelling of underground excavations. Acta Geotech. 2008, 3, 317–322. [Google Scholar] [CrossRef]
- Mendoza, J.; Gamwo, I.; Zhang, W.; Lin, J. Discrete element modeling of rock cutting using crushable particles. In Proceedings of the 44th US Rock Mechanics Symposium and 5th US–Canada Rock Mechanics Symposium, Salt Lake City, UT, USA, 27 June 2010. [Google Scholar]
- Li, X.; Wang, S.; Ge, S.; Reza, M.; Li, Z. Investigation on the influence mechanism of rock brittleness on rock fragmentation and cutting performance by discrete element method. Measurement 2018, 113, 120–130. [Google Scholar] [CrossRef]
- Refahi, A.; Aghazadeh Mohandesi, J.; Rezai, B. Discrete element modeling for predicting breakage behavior and fracture energy of a single particle in a jaw crusher. Int. J. Miner. Process. 2010, 94, 83–91. [Google Scholar] [CrossRef]
- Huang, H.; Detournay, E. Discrete element modeling of tool-rock interaction II: Rock indentation. Int. J. Numer. Anal. Methods Geomech. 2013, 37, 1930–1947. [Google Scholar] [CrossRef]
- Huang, H.; Lecampion, B.; Detournay, E. Discrete element modeling of tool-rock interaction I: Rock cutting. Int. J. Numer. Anal. Methods Geomech. 2013, 37, 1913–1929. [Google Scholar] [CrossRef]
- Cundall, P.; Strack, O. A discrete numerical model for granular assemblies. Geotechnique 1979, 29, 47–65. [Google Scholar] [CrossRef]
- Weatherley, D.; Boros, V.; Hancock, W. ESyS-Particle Tutorial and User’s Guide Version 2.3.1; Institute for Geothermal Resource Management, The University of Queensland: Brisbane, Australia, 2014. [Google Scholar]
- Wang, Y. A new algorithm to model the dynamics of 3-D bonded rigid bodies with rotations. Acta Geotech. 2009, 4, 117–127. [Google Scholar] [CrossRef]
- Estay, D.; Chacana, F.; Ibarra, J.; Pérez, L.; Lascano, S. Bond calibration method for Young’s modulus determination in the discrete element method framework. Granul. Matter 2017, 19, 60. [Google Scholar] [CrossRef]
- Gong, S.; Zhao, T.; Zhao, J.; Dai, F.; Zhou, G.G. Discrete element analysis of dry granular flow impact on slit dams. Landslides 2021, 18, 1143–1152. [Google Scholar] [CrossRef]
- Saadati, M.; Weddfelt, K.; Larsson, P.L. A Spherical Indentation Study on the Mechanical Response of Selected Rocks in the Range from Very Hard to Soft with Particular Interest to Drilling Application. Rock Mech. Rock Eng. 2020, 53, 5809–5821. [Google Scholar] [CrossRef]
- Saksala, T.; Gomon, D.; Hokka, M.; Kuokkala, V.T. Numerical and experimental study of percussive drilling with a triple-button bit on Kuru granite. Int. J. Impact Eng. 2014, 72, 56–66. [Google Scholar] [CrossRef]
- Hernández-Vielma, C.; Estay, D.; Cruchaga, M. Response surface methodology calibration for DEM study of the impact of a spherical bit on a rock. Simul. Model. Pract. Theory 2022, 116, 102466. [Google Scholar] [CrossRef]
- Tkalich, D.; Fourmeau, M.; Kane, A.; Li, C.; Cailletaud, G. Experimental and numerical study of Kuru granite under confined compression and indentation. Int. J. Rock Mech. Min. Sci. Geomech. Abstr. 2016, 87, 55–68. [Google Scholar] [CrossRef]
- Lundberg, B. Microcomputer simulation of stress wave energy transfer to rock in percussive drilling. Int. J. Rock Mech. Min. Sci. Geomech. Abstr. 1982, 19, 229–239. [Google Scholar] [CrossRef]
- Lundberg, B.; Collet, P. Optimal wave with respect to efficiency in percussive drilling with integral drill steel. Int. J. Impact Eng. 2010, 37, 901–906. [Google Scholar] [CrossRef]
- Lundberg, B.; Collet, P. Optimal wave shape with respect to efficiency in percussive drilling with detachable drill bit. Int. J. Impact Eng. 2015, 86, 179–187. [Google Scholar] [CrossRef]
- Lundberg, B.; Huo, J. Biconvex versus bilinear force-penetration relationship in percussive drilling of rock. Int. J. Impact Eng. 2017, 100, 7–12. [Google Scholar] [CrossRef]
- Elías, D.; Chiang, L. Dynamic analysis of impact tools by using a method based on stress wave propagation and impulse-momentum principle. J. Mech. Des. Trans. ASME 2003, 125, 131–142. [Google Scholar] [CrossRef]
- Jeong, H.Y.; Cho, J.W.; Jeon, S.; Rostami, J. Performance assessment of hard rock TBM and rock boreability using punch penetration test. Rock Mech. Rock Eng. 2016, 49, 1517–1532. [Google Scholar] [CrossRef]
- Gill, W.R.; Vanden Berg, G.E. Soil Dynamics in Tillage and Traction (Agricultural Handbook no. 316). Soil Sci. Soc. Am. J. 1968, 32, 4. [Google Scholar] [CrossRef]
- He, C.; You, Y.; Wang, D.; Wang, G.; Lu, D.; Morris Togo Kaji, J. The effect of tine geometry during vertical movement on soil penetration resistance using finite element analysis. Comput. Electron. Agric. 2016, 130, 97–108. [Google Scholar] [CrossRef]
- Ajibose, O.; Wiercigroch, M.; Pavlovskaia, E.; Akisanya, A.; Károlyi, G. Drifting impact oscillator with a new model of the progression phase. J. Appl. Mech. Trans. ASME 2012, 79, 061007. [Google Scholar] [CrossRef]














| (MPa) | (MPa) | () | |
|---|---|---|---|
| 100,000 | 410.53 | 57.93 | 0.852 |
Disclaimer/Publisher’s Note: The statements, opinions and data contained in all publications are solely those of the individual author(s) and contributor(s) and not of MDPI and/or the editor(s). MDPI and/or the editor(s) disclaim responsibility for any injury to people or property resulting from any ideas, methods, instructions or products referred to in the content. |
© 2023 by the authors. Licensee MDPI, Basel, Switzerland. This article is an open access article distributed under the terms and conditions of the Creative Commons Attribution (CC BY) license (https://creativecommons.org/licenses/by/4.0/).
Share and Cite
Hernández-Vielma, C.; Estay, D.; Cruchaga, M. Investigation on the Influence of the Bit Radius and Impact Velocity on Rock Fragmentation by Discrete Element Method. Sustainability 2023, 15, 9051. https://doi.org/10.3390/su15119051
Hernández-Vielma C, Estay D, Cruchaga M. Investigation on the Influence of the Bit Radius and Impact Velocity on Rock Fragmentation by Discrete Element Method. Sustainability. 2023; 15(11):9051. https://doi.org/10.3390/su15119051
Chicago/Turabian StyleHernández-Vielma, César, Danilo Estay, and Marcela Cruchaga. 2023. "Investigation on the Influence of the Bit Radius and Impact Velocity on Rock Fragmentation by Discrete Element Method" Sustainability 15, no. 11: 9051. https://doi.org/10.3390/su15119051
APA StyleHernández-Vielma, C., Estay, D., & Cruchaga, M. (2023). Investigation on the Influence of the Bit Radius and Impact Velocity on Rock Fragmentation by Discrete Element Method. Sustainability, 15(11), 9051. https://doi.org/10.3390/su15119051

