Traffic Manager Development for a Roundabout Crossed by Autonomous and Connected Vehicles Using V2I Architecture
Abstract
1. Introduction
2. Materials
2.1. System and Network Architecture
- -
- -
- All the vehicles in the system can send and receive information from a traffic manager.
- -
- The trajectories of the vehicles entering the roundabout are predefined and randomly chosen.
- -
- All the vehicles in the system react and instantaneously execute an order received by the CSU.
- -
- Software resolution time taken by the traffic manager is neglected in this study.
- -
- The communication network characteristic between the infrastructure and vehicles is not considered in this study.
2.2. Central Signaling Unit
2.3. Vehicle Generation and Database
3. Methodology
3.1. Algorithm Architecture
3.2. Solver Principle
- -
- Vehicle request(): Computes the distance the vehicle has to book at the next time step depending on its speed and characteristics.
- -
- Vehicle booking(): Takes as input the vehicle’s request and zone availability to assign the zones to the different vehicles.
- -
- Speed computation(): Depending on the difference between the number of zones requested and the number of zones assigned, it will compute a speed for the vehicle.
- -
- Zoneinit(): CSU resets the availability of zones where the vehicle will be free at the next time step.
3.3. Driving Scenario Designer
3.4. Reference Case Study
- -
- Geometrical design parameters: number of in-roundabout lanes, number of lanes per entrance, or roundabout radius.
- -
- Algorithm accuracy parameters: number of roundabout zones between two entrances or time step for solving process.
- -
- Safety and comfort criteria: admissible lateral acceleration, speed limitation, or safety distance.
- -
- Phase 1: Accumulation phase—vehicles are progressively loading the empty roundabout until it reaches its full capacity. This phase duration is completely independent of the total number of vehicles crossing the roundabout.
- -
- Phase 2: Maximum flow capacity—roundabout is fully loaded while vehicles are still entering it. This is the best sample to be studied to evaluate the maximum roundabout performance in terms of flow, average vehicle speed, average crossing time, and average vehicle consumption. This phase duration is completely proportional to the total number of vehicles crossing the roundabout.
- -
- Phase 3: Decumulation phase—no more vehicles are entering the roundabout, the load is decreasing as vehicles are progressively leaving, until the roundabout becomes completely empty. This phase duration is completely independent of the total number of vehicles crossing the roundabout.
4. Results
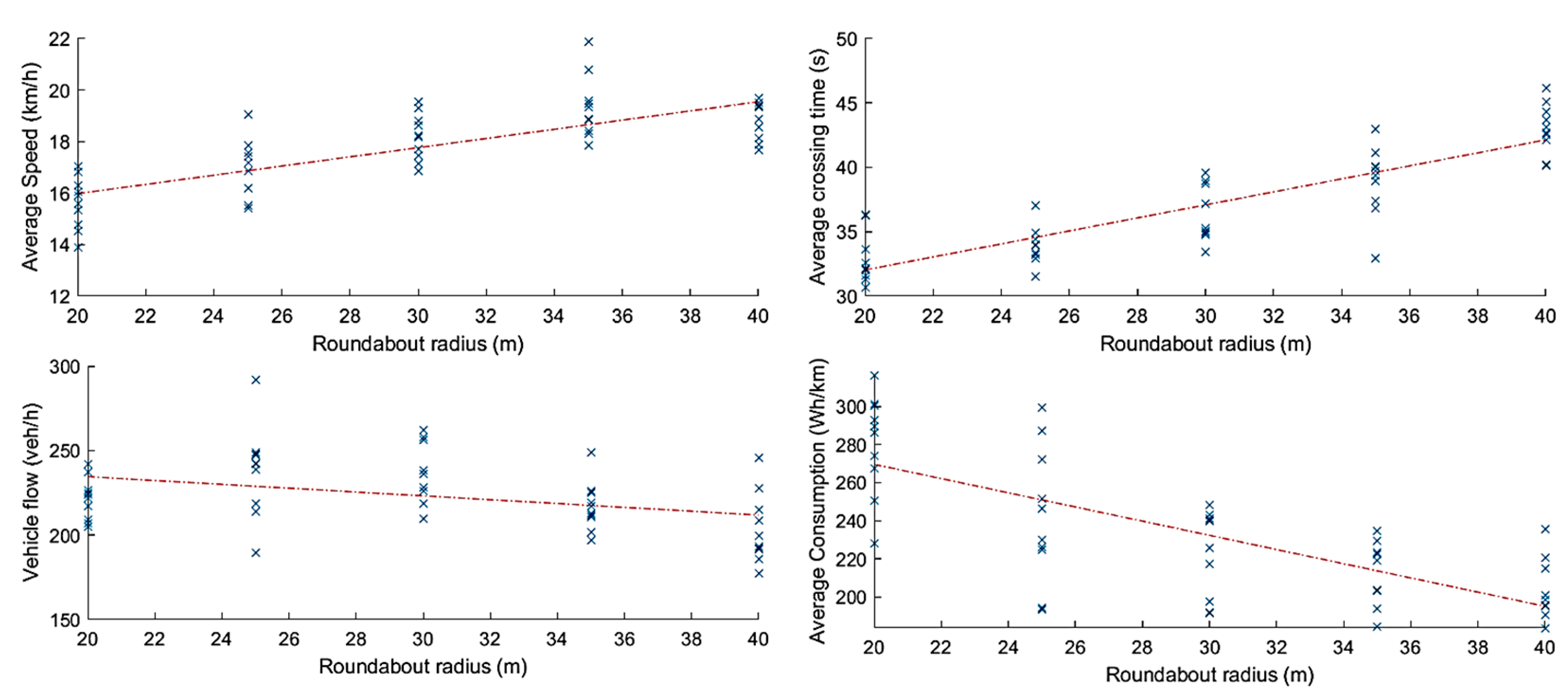
4.1. Roundabout Design
4.2. Accuracy Parameters
- -
- The time step for the solving process: represents the time step between each calculation loop repeated by the solver. The smaller it is, the more accurate the system will be. However, this parameter must be traded off to limit the heaviness of the calculation process.
- -
- The number of roundabout zones between two entrances: this parameter regulates the roundabout zone subdivision. A fine mesh of the roundabout zone can impact roundabout performance with closer control of speed and position, potentially allowing more vehicles to enter the roundabout, in trade-off with the heaviness of the calculation process.
4.3. Safety and Comfort
- -
- Admissible lateral acceleration: for driver comfort, the choice is made to limit it to 0.3 g at first, but a higher value of 0.4 g is tolerated according to Schramm et al. [30] and could lead to a higher speed in curves as a speed limitation along the vehicle trajectory come from this comfort criteria using Equation (1).
- -
- Speed limitation: as previously stated, speed limitation in the roundabout is mainly automatically regulated by the algorithm using lateral acceleration criteria as depicted in Equation (1). However, some areas on the trajectory are less restrictive, and a stringent speed limitation could also be added for safety issues, depending on the area of implantation of the roundabout.
- -
- Additional safety distance: this is an additional safety feature that can be added to the safety distance induced by zone booking. Set to 0 m in the reference case, additional safety distance could be needed in case of a high number of roundabout zones, and consequently, very accurate booking by vehicles. A trade-off would then have to be found with system performance.
- -
- Increasing admissible lateral acceleration by 0.1 g, allows vehicles to go faster inside the roundabout; thus, reducing crossing times and increasing vehicle flow, with a limited impact on consumption. A trade-off is to be made between passenger comfort and high admissible lateral acceleration.
- -
- Increasing speed limitation by 20 km/h will have the same benefits as increasing maximum admissible lateral acceleration, but on a smaller scale, as speed is mainly limited by an admissible lateral acceleration in curves. However, a 20 km/h increase also has the biggest impact on the increase of consumption with a high acceleration level to reach these higher speeds.
- -
- Increasing safety distance by 2 m implies slightly less space allocated to every vehicle, slightly reducing their speed; thus, slightly increasing their crossing times. Combined with the fact that fewer vehicles are entering the roundabout, it significantly reduces the overall traffic flow. However, as fewer vehicles are entering the roundabout, in-roundabout interactions also decrease, limiting re-acceleration phases, with a smoother speed profile; thus, reducing average consumption.
- -
- To obtain a big variation in crossing time and vehicle speed, in one sense or another, a speed limitation of 20 km/h variation combined with a safety distance of 2 m variation would be the criteria that would obtain the highest combined effect.
- -
- To obtain a big variation in overall traffic flow, in one sense or another, a speed limitation of 20 km/h variation combined with an admissible lateral acceleration of 0.1 g variation would be the criteria that would obtain the highest combined effect.
- -
- To obtain a big variation in average consumption, in one sense or another, the three parameters variate at the same time giving a higher combined effect.
4.4. CBVC Traffic Manager Performance Comparison with SUMO Benchmark Simulator
- Macroscopic Models: Characterize traffic as an aggregate flow. Macroscopic models offer computational efficiency, but reduced fidelity because they cannot model the behavior of individual vehicles;
- Microscopic models: Often include gap acceptance models to characterize a driver’s willingness to enter another stream of traffic or to change lanes. Many microscopic traffic simulators have been developed. A few examples include SUMO, TRANSIMS, CORSIM, PARAMICS, MITSIM, and VISSIM;
- Mesoscopic models: Lie between macroscopic and microscopic models. They typically model clusters or platoons of vehicles and focus on modeling the interactions between clusters. Examples of mesoscopic models include MATsim, CORFLO/NETFLO, DYNASMART, DYNEMO, and INTEGRATION.
5. Conclusions
Author Contributions
Funding
Informed Consent Statement
Data Availability Statement
Conflicts of Interest
Nomenclature
| Parameters | Definitions |
| Longitudinal vehicle acceleration | |
| C | Consumption |
| Rolling resistance ratio | |
| Total sum of forces | |
| Gravitational constant | |
| N | Wheel speed |
| Vehicle power | |
| Radius of a wheel | |
| Reducer ratio | |
| Vehicle torque | |
| Vehicle speed | |
| Air density |
References
- Boualam, O.; Borsos, A.; Koren, C.; Nagy, V. Impact of Autonomous Vehicles on Roundabout Capacity. Sustainability 2022, 14, 2203. [Google Scholar] [CrossRef]
- Anagnostopoulos, A.; Kehagia, F. CAVs and roundabouts: Research on traffic impacts and design elements. Transp. Res. Procedia 2020, 49, 83–94. [Google Scholar] [CrossRef]
- Erikson, J.; Svensson, L. Tuning for Ride Quality in Autonomous Vehicle; Uppsala Universitet, Teknisk—Naturvetenskaplig Fakultet UTH-Enheten: Uppsala, Sweden, 2015. [Google Scholar]
- Alphand, F.; Noelle, U.; Guichet, B. Roundabouts and safety—State of the art in France. In Intersections without Traffic Signals (II); Springer: Berlin/Heidelberg, Germany, 1991; pp. 107–125. ISBN 3-540-54180-2. [Google Scholar]
- Bill, A.; Khan, G. Safety evaluation of Wisconsin roundabouts. In Proceedings of the 4th International Roundabout Conference, Seattle, WA, USA, 16–18 April 2014. [Google Scholar]
- Elvik, R. Effects on Road Safety of Converting Intersections to Roundabouts: Review of Evidence from Non-U.S. Studies. Transp. Res. Rec. 2003, 1847, 1–10. [Google Scholar] [CrossRef]
- Brilon, W.; Stuwe, B. Capacity and design of traffic circles in Germany. Transp. Res. Rec. 1993, 1398, 61–67. [Google Scholar]
- Wang, W.; Lin, H.; Wang, J. CNN based lane detection with instance segmentation in edge-cloud computing. J. Cloud Comput. Adv. Syst. Appl. 2020, 9, 27. [Google Scholar] [CrossRef]
- Xu, X.; Zhang, X.; Khan, M.; Dou, W.; Xue, S.; Yu, S. A balanced virtual machine scheduling method for energy-performance trade-offs in cyber-physical cloud systems. Future Gener. Comput. Syst. 2020, 105, 789–799. [Google Scholar] [CrossRef]
- García Cuenca, L.; Puertas, E.; Fernandez Andrés, J.; Nourdine, A. Autonomous driving in roundabout maneuvers using reinforcement learning with Q-learning. Electronics 2019, 8, 1536. [Google Scholar] [CrossRef]
- Wong, K.I.; Wong, S.C. Evaluating the capacity and performance of roundabouts: A review of research. Transp. Rev. 2018, 38, 1–26. [Google Scholar]
- Wu, N.; Rouphail, N.M. Microscopic traffic flow modeling at roundabouts: A review. Transp. Res. Part C Emerg. Technol. 2012, 25, 150–166. [Google Scholar]
- Tian, Z.; Yang, Q. A comprehensive review of roundabout capacity analysis methods. J. Transp. Eng. Part A Syst. 2016, 142, 04016022. [Google Scholar]
- Hossain, M.A.; Rahman, M.S. Performance evaluation of roundabouts considering mixed traffic conditions. Transp. Res. Part A Policy Pract. 2015, 71, 162–176. [Google Scholar]
- Haque, M.M.; Hossain, M.A.; Rakha, H.A. Analyzing the effects of autonomous vehicles on roundabout operations. J. Intell. Transp. Syst. 2019, 23, 316–328. [Google Scholar]
- El Ganaoui-Mourlan, O.; Camp, S.; Hannagan, T.; Arora, V.; De Neuville, M.; Kousournas, V.A. Path Planning for Autonomous Platoon Formation. Sustainability 2021, 13, 4668. [Google Scholar] [CrossRef]
- Lakshmanan, V.; Sciarretta, A.; El Ganaoui-Mourlan, O. Cooperative Eco-Driving of Electric Vehicle Platoons for Energy Efficiency and String Stability. IFAC-PapersOnLine 2021, 54, 33–139. [Google Scholar] [CrossRef]
- Lakshmanan, V.K.; Sciarretta, A.; El-Ganaoui Mourlan, O. Cooperative Levels in Eco-Driving of Electric Vehicle Platoons. In Proceedings of the IEEE International Intelligent Transportation Systems Conference (ITSC), Indianapolis, IN, USA, 19–22 September 2021; pp. 1163–1170. [Google Scholar] [CrossRef]
- ISO 26262-1:2018; Road Vehicles—Functional Safety—Part 1: Vocabulary. ISO: Geneva, Switzerland, 2018. Available online: https://www.iso.org/standard/68383.html (accessed on 10 April 2023).
- SIST EN 50657:2017; Railway Applications—Rolling Stock Applications—Software on Board of Rolling Stock. Slovenian Institute for Standardization: Ljubljana, Slovenia, 2017.
- Los, J.; Schulte, F.; Spaan, M.T.J.; Negenborn, R.R. The value of information sharing for platform-based collaborative vehicle routing. Transp. Res. Part E Logist. Transp. Rev. 2020, 141, 102011. [Google Scholar] [CrossRef]
- Takashige, T. Signaling system for safe railway transport. Jpn. Railw. Transp. Rev. 1999, 21, 44–50. [Google Scholar]
- Bevrani, K.; Chung, E.; Teo, P. The Space-Based Car-Following Model: Development and Application for Managed Motorway System Safety Evaluation. Future Transp. 2021, 1, 443–465. [Google Scholar] [CrossRef]
- Takeuchi, H.; Goodman, C.J.; Sone, S. Moving block signaling dynamics: Performance measures and re-starting queued electric trains. IEE Proc. Electr. Power Appl. 2003, 150, 483–492. [Google Scholar] [CrossRef]
- Ren, H.; Shim, T.; Ryu, J.; Chen, S. Development of Effective Bicycle Model for Wide Ranges of Vehicle Operations; SAE Technical Paper Series; SAE: Warrendale, PA, USA, 2014; Available online: https://www.researchgate.net/publication/286912996_Development_of_Effective_Bicycle_Model_for_Wide_Ranges_of_Vehicle_Operations (accessed on 4 April 2023).
- Polack, P.; Altché, F.; d’Andréa-Novel, B.; de La Fortelle, A. The kinematic bicycle model: A consistent model for planning feasible trajectories for autonomous vehicles? In Proceedings of the 2017 IEEE Intelligent Vehicles Symposium, Los Angeles, CA, USA, 11–14 June 2017; Available online: https://www.researchgate.net/publication/318810853_The_kinematic_bicycle_model_A_consistent_model_for_planning_feasible_trajectories_for_autonomous_vehicles (accessed on 24 March 2023).
- Dong, C.; Wang, H.; Li, Y.; Liu, Y.; Chen, Q. Economic comparison between vehicle-to vehicle (V2V) and vehicle-to-infrastructure (V2I) at freeway on-ramps based on microscopic simulations. IET Intell. Transp. Syst. 2019, 13, 1726–1735. [Google Scholar] [CrossRef]
- Cho, W.; Kim, S.I.; Choi, H.K.; Oh, H.S.; Kwak, D.Y. Performance evaluation of V2V/V2I communications: The effect of midamble insertion. In Proceedings of the 2009 1st International Conference on Wireless Communication, Vehicular Technology, Information Theory and Aerospace & Electronic Systems Technology, Aalborg, Denmark, 17–20 May 2009; pp. 793–797. [Google Scholar] [CrossRef]
- Code de la Route. Available online: https://codedelaroute.io/blog/clignotant-rond-point/ (accessed on 20 June 2022).
- Schramm, D.; Hiller, M.; Bardini, R. Vehicle Dynamics: Modeling and Simulation; Springer: Berlin/Heidelberg, Germany, 2018. [Google Scholar]
- Rentsch, T. Object oriented programming. ACM Sigplan Not. 1982, 17, 51–57. [Google Scholar] [CrossRef]
- Les Carrefours Giratoires Urbains. Available online: https://www.creuse.gouv.fr/contenu/telechargement/4937/35507/file/Giratoires_urbains.pdf (accessed on 10 April 2023).
- Demir, H.G.; Demir, Y.K. A Comparison of Traffic Flow Performance of Roundabouts and Signalized Intersections: A Case Study in Nigde; Department of Civil Engineering, Faculty of Engineering, Niğde Ömer Halisdemir University (NOHU): Nigde, Turkey, 2020. [Google Scholar]
- Martin-Gasulla, M.; Elefteriadou, L. Single-Lane Roundabout Manager under Fully Automated Vehicle Environment. Transp. Res. Rec. 2019, 2673, 439–449. [Google Scholar] [CrossRef]
- UMO User Documentation. Available online: https://sumo.dlr.de/docs/index.html (accessed on 10 April 2023).
- Riccardi, M.R.; Augeri, M.G.; Galante, F.; Mauriello, F.; Nicolosi, V.; Montella, A. Safety Index for evaluation of urban roundabouts. Accid. Anal. Prev. 2022, 178, 106858. [Google Scholar] [CrossRef]












| Parameters | Definitions | Values |
|---|---|---|
| Mvehicle | Mass of the Vehicle [kg] | 1200 |
| SxCx | Longitudinal area of the vehicle [m2], Longitudinal aerodynamic coefficient of the vehicle [-] | 0.7 |
| Crr | Rolling resistance ratio [-] | 7.5 |
| Rw | Radius of a wheel [m] | 0.3 |
| R | Reducer ratio [-] | 10 |
| ηtransmission | Transmission efficiency [-] | 0.95 |
| ηEM | Electric motor efficiency [-] | 0.8 |
| Parameters | Values |
|---|---|
| Number of vehicles | 60 |
| Number of roundabout lanes | 2 |
| Number of entry/exit lane(s) [entry] | 1 |
| Roundabout radius [m] | 30 |
| Solving process time step [s] | 0.5 |
| Number of roundabout zones [/entry] | 6 |
| Admissible lateral acceleration [g] | 0.3 |
| Speed limitation [km/h] | 30 |
| Safety distance [m] | 0 |
| Right of Way | First Arrived, First Served | In-Roundabout Priority |
|---|---|---|
| Average crossing time | 55.8 | 37.4 (−33.0%) |
| Average speed [km/h] | 12.4 | 18.7 (+50.8%) |
| Average vehicle flow [veh/h] | 1318.6 | 1423.8 (+8.0%) |
| Average consumption [Wh/km] | 255.6 | 216.3 (−15.4%) |
| Cases | Reference (2 in-Roundabout Lanes, 1 Lane per Entrance/Exit) | Reduced Configuration (1 in-Roundabout Lane, 1 Lane per Entrance/Exit) | Increased Configuration (2 in-Roundabout Lanes, 2 Lanes per Entrance/Exit) |
|---|---|---|---|
| Average crossing time [s] | 37.2 | 95.1 (+155.6%) | 38.0 (+2.2%) |
| Average speed [km/h] | 18.4 | 8.9 (−51.6%) | 17.3 (−6.0%) |
| Average vh. flow [veh/h] | 1407.2 | 782.7 (−44.4%) | 1637.6 (+16.4%) |
| Average cons. [Wh/km] | 224.8 | 338.6 (+50.6%) | 173.9 (−22.6%) |
| Conditions | Results | ||||||
|---|---|---|---|---|---|---|---|
| Lateral Acceleration Limit [g] | Maximum Speed Limit [km/h] | Minimum Safety Distance [m] | Average Crossing Time [s] | Average Speed [km/h] | Average Flow [veh/h] | Average Consumption [kWh/km] | |
| Case 1 | 0.4 | 50 | 2 | 32.6 | 19.6 | 1535.2 | 251.7 |
| Case 2 | 0.4 | 50 | 0 | 33.2 | 19.3 | 1557.3 | 274.7 |
| Case 3 | 0.4 | 30 | 2 | 36.0 | 18.7 | 1424.9 | 200.7 |
| Case 4 | 0.4 | 30 | 0 | 34.1 | 19.3 | 1502.9 | 216.9 |
| Case 5 | 0.3 | 50 | 2 | 35.9 | 18.3 | 1417.0 | 267.8 |
| Case 6 | 0.3 | 50 | 0 | 37.2 | 17.7 | 1469.5 | 248.9 |
| Case 7 | 0.3 | 30 | 2 | 38.2 | 17.4 | 1365.5 | 215.0 |
| Case 8 | 0.3 | 30 | 0 | 35.8 | 18.2 | 1457.7 | 236.0 |
| Simulator | Open Source | Type | Network and Flow Construction | Community and Documentation |
|---|---|---|---|---|
| SUMO | Yes | Microscopic | Easy | Very good |
| MATSim | Yes | Mesoscopic | Medium | Good |
| TRANSIMS | Yes | Microscopic | Medium | Low |
| MITSIMLab/SIMMOBLITY | Yes | Micro/Messo | Medium | Very low |
| Average Performance | SUMO | CBVC |
|---|---|---|
| Vehicle flow [vehicle/h] | 1188 | 1540 (+23%) |
| Average crossing time [s] | 54.3 | 35.7 (−34%) |
| Maximum crossing time [s] | 94.6 | 74.3 (−21%) |
Disclaimer/Publisher’s Note: The statements, opinions and data contained in all publications are solely those of the individual author(s) and contributor(s) and not of MDPI and/or the editor(s). MDPI and/or the editor(s) disclaim responsibility for any injury to people or property resulting from any ideas, methods, instructions or products referred to in the content. |
© 2023 by the authors. Licensee MDPI, Basel, Switzerland. This article is an open access article distributed under the terms and conditions of the Creative Commons Attribution (CC BY) license (https://creativecommons.org/licenses/by/4.0/).
Share and Cite
El Ganaoui-Mourlan, O.; Camp, S.; Verhas, C.; Pollet, N.; Ortega, B.; Robic, B. Traffic Manager Development for a Roundabout Crossed by Autonomous and Connected Vehicles Using V2I Architecture. Sustainability 2023, 15, 9247. https://doi.org/10.3390/su15129247
El Ganaoui-Mourlan O, Camp S, Verhas C, Pollet N, Ortega B, Robic B. Traffic Manager Development for a Roundabout Crossed by Autonomous and Connected Vehicles Using V2I Architecture. Sustainability. 2023; 15(12):9247. https://doi.org/10.3390/su15129247
Chicago/Turabian StyleEl Ganaoui-Mourlan, Ouafae, Stephane Camp, Charles Verhas, Nicolas Pollet, Benjamin Ortega, and Baptiste Robic. 2023. "Traffic Manager Development for a Roundabout Crossed by Autonomous and Connected Vehicles Using V2I Architecture" Sustainability 15, no. 12: 9247. https://doi.org/10.3390/su15129247
APA StyleEl Ganaoui-Mourlan, O., Camp, S., Verhas, C., Pollet, N., Ortega, B., & Robic, B. (2023). Traffic Manager Development for a Roundabout Crossed by Autonomous and Connected Vehicles Using V2I Architecture. Sustainability, 15(12), 9247. https://doi.org/10.3390/su15129247

