‘Safety in Numbers’ for Walkers: Effects of Pedestrian Volume on Per-Pedestrian Crash Rate and Severe Injury Probability
Abstract
1. Introduction
2. Methodology
2.1. Data Description
2.2. Analyses
2.2.1. Expected Number of Pedestrian Crashes
2.2.2. Expected Pedestrian Crash Rate (Expected Number of Pedestrian Crashes per Pedestrian)
2.2.3. Probability of Severe or Fatal Injury
3. Results
3.1. Evaluation of Likelihood of Pedestrian Crash Occurrences
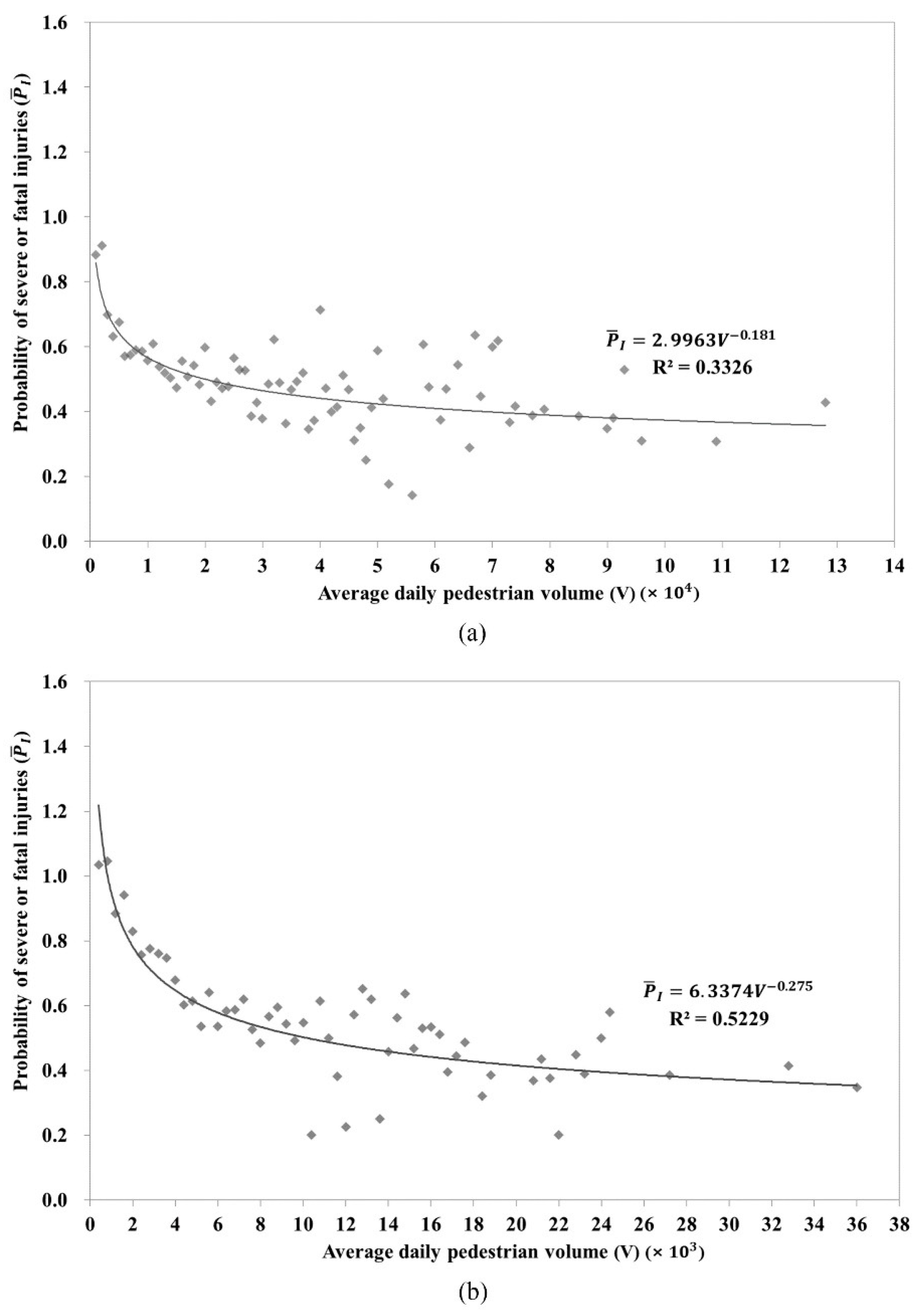
3.2. Evaluation of the Probability of Severe or Fatal Injury
4. Discussion and Conclusions
Author Contributions
Funding
Institutional Review Board Statement
Informed Consent Statement
Data Availability Statement
Conflicts of Interest
References
- Park, S.; Deakin, E.; Jang, K. Can Good Walkability Expand the Size of Transit-Oriented Developments? Transp. Res. Rec. J. Transp. Res. Board 2015, 2519, 157–164. [Google Scholar] [CrossRef]
- World Health Organization. Pedestrian Safety: A Road Safety Manual for Decision-Makers and Practitioners; World Health Organization: Geneva, Switzerland, 2023. [Google Scholar]
- KoROAD. Road Traffic Accidents in Korea. 2021. Available online: http://taas.koroad.or.kr/index.jsp (accessed on 10 September 2021).
- Seoul Metropolitan Government. Seoul Masterplan for the Safety and Convenience of Pedestrians; Seoul Metropolitan Government: Seoul, Republic of Korea, 2018.
- Elvik, R. The non-linearity of risk and the promotion of environmentally sustainable transport. Accid. Anal. Prev. 2009, 41, 849–855. [Google Scholar] [CrossRef] [PubMed]
- Geyer, J.; Raford, N.; Pham, T.; Ragland, D.R. Safety in Numbers. Transp. Res. Rec. J. Transp. Res. Board 2006, 1982, 150–154. [Google Scholar] [CrossRef]
- Jacobsen, P.L. Safety in numbers: More walkers and bicyclists, safer walking and bicycling. Inj. Prev. 2003, 21, 271–275. [Google Scholar] [CrossRef]
- Robinson, D.L. Safety in numbers in Australia: More walkers and bicyclists, safer walking and bicycling. Health Promot. J. Aust. 2005, 16, 47–51. [Google Scholar] [CrossRef]
- Elvik, R.; Bjørnskau, T. Safety-in-numbers: A systematic review and meta-analysis of evidence. Saf. Sci. 2017, 92, 274–282. [Google Scholar] [CrossRef]
- Elvik, R.; Goel, R. Safety-in-numbers: An updated meta-analysis of estimates. Accid. Anal. Prev. 2019, 129, 136–147. [Google Scholar] [CrossRef] [PubMed]
- Bhatia, R.; Wier, M. “Safety in Numbers” re-examined: Can we make valid or practical inferences from available evidence? Accid. Anal. Prev. 2011, 43, 235–240. [Google Scholar] [CrossRef]
- Jacobsen, P.L.; Ragland, D.R.; Komanoff, C. Safety in Numbers for walkers and bicyclists: Exploring the mechanisms. Inj. Prev. 2015, 21, 217–220. [Google Scholar] [CrossRef] [PubMed]
- Wilde, G.J.S. Risk homeostasis theory: An overview. Inj. Prev. 1998, 4, 89–91. [Google Scholar] [CrossRef] [PubMed]
- Summala, H. Risk control is not risk adjustment: The zero-risk theory of driver behaviour and its implications. Ergonomics 1988, 31, 491–506. [Google Scholar] [CrossRef]
- Hamilton-Baillie, B. Shared Space: Reconciling People, Places and Traffic. Built Environ. 2008, 34, 161–181. [Google Scholar] [CrossRef]
- Thompson, J.; Savino, G.; Stevenson, M. A model of behavioural adaptation as a contributor to the safety-in-numbers effect for cyclists. Transp. Res. Part A Policy Pract. 2016, 85, 65–75. [Google Scholar] [CrossRef]
- Pushkarev, B.S.; Zupan, J.M. Public Transportation and Land Use Policy; Indiana University Press: Bloomington, IN, USA, 1977. [Google Scholar]
- Brüde, U.; Larsson, J. Models for predicting accidents at junctions where pedestrians and cyclists are involved. How well do they fit? Accid. Anal. Prev. 1993, 25, 499–509. [Google Scholar] [CrossRef]
- Elvik, R. Safety-in-numbers: Estimates based on a sample of pedestrian crossings in Norway. Accid. Anal. Prev. 2016, 91, 175–182. [Google Scholar] [CrossRef]
- Elvik, R.; Sørensen, M.W.J.; Nævestad, T.O. Factors influencing safety in a sample of marked pedestrian crossings selected for safety inspections in the city of Oslo. Accid. Anal. Prev. 2013, 59, 64–70. [Google Scholar] [CrossRef] [PubMed]
- Harwood, D.W.; Torbic, D.J.; Gilmore, D.K.; Bokenkoger, C.D.; Dunn, J.M.; Zegeer, C.V.; Srinivasan, S.; Carter, D.; Raborn, C.; Lyon, C.; et al. Pedestrian Safety Prediction Methodology. NCHRP 2008, 129, 76. [Google Scholar]
- Kröyer, H.R.G. Pedestrian and bicyclist flows in accident modelling at intersections. Influence of the length of observational period. Saf. Sci. 2016, 82, 315–324. [Google Scholar] [CrossRef]
- Leden, L. Pedestrian risk decrease with pedestrian flow. A case study based on data from signalized intersections in Hamilton, Ontario. Accid. Anal. Prev. 2002, 34, 457–464. [Google Scholar] [CrossRef]
- Lyon, C.; Persaud, B. Pedestrian Collision Prediction Models for Urban Intersections. Transp. Res. Rec. J. Transp. Res. Board 2002, 1818, 102–107. [Google Scholar] [CrossRef]
- Miranda-Moreno, L.F.; Morency, P.; El-Geneidy, A.M. The link between built environment, pedestrian activity and pedestrian–vehicle collision occurrence at signalized intersections. Accid. Anal. Prev. 2011, 43, 1624–1634. [Google Scholar] [CrossRef] [PubMed]
- Tulu, G.S.; Haque, M.M.; Washington, S.; King, M.J. Investigating Pedestrian Injury Crashes on Modern Roundabouts in Addis Ababa, Ethiopia. Transp. Res. Rec. J. Transp. Res. Board 2015, 2512, 1–10. [Google Scholar] [CrossRef]
- Xu, P.; Xie, S.; Dong, N.; Wong, S.C.; Huang, H. Rethinking safety in numbers: Are intersections with more crossing pedestrians really safer? Inj. Prev. 2019, 25, 20–25. [Google Scholar] [CrossRef]
- European Commission. Models for Traffic and Safety Development and Interventions: Final Report; EU Publications Office: Bruxelles, Brussels, 2004. [Google Scholar]
- Hermans, E.; Wets, G.; Van den Bossche, F. Describing the Evolution in the Number of Highway Deaths by Decomposition in Exposure, Accident Risk, and Fatality Risk. Transp. Res. Rec. J. Transp. Res. Board 2006, 1950, 1–8. [Google Scholar] [CrossRef]
- Jang, K.; Park, S.H.; Kang, S.; Song, K.H.; Kang, S.; Chung, S. Evaluation of Pedestrian Safety. Transp. Res. Rec. J. Transp. Res. Board 2013, 2393, 104–116. [Google Scholar] [CrossRef]
- Jung, S.; Jang, K.; Yoon, Y.; Kang, S. Contributing factors to vehicle to vehicle crash frequency and severity under rainfall. J. Saf. Res. 2014, 50, 1–10. [Google Scholar] [CrossRef]
- Open Data Portal. Available online: https://www.data.go.kr/ (accessed on 27 May 2023).
- Traffic Accident Analysis System. Available online: https://taas.koroad.or.kr/ (accessed on 27 May 2023).
- Jang, K.; Oum, S.; Chan, C.Y. Traffic Characteristics of High-Occupancy Vehicle Facilities. Transp. Res. Rec. J. Transp. Res. Board 2012, 2278, 180–193. [Google Scholar] [CrossRef]
- Davis, G.A. Relating Severity of Pedestrian Injury to Impact Speed in Vehicle-Pedestrian Crashes: Simple Threshold Model. Transp. Res. Rec. J. Transp. Res. Board 2001, 1773, 108–113. [Google Scholar] [CrossRef]
- Eluru, N.; Bhat, C.R.; Hensher, D.A. A mixed generalized ordered response model for examining pedestrian and bicyclist injury severity level in traffic crashes. Accid. Anal. Prev. 2008, 40, 1033–1054. [Google Scholar] [CrossRef]
- Jang, K.; Park, S.H.; Chung, S.; Song, K.H. Influential Factors on Level of Injury in Pedestrian Crashes: Applications of Ordered Probit Model with Robust Standard Errors; Berkeley SafeTREC: Berkeley, CA, USA, 2010. [Google Scholar]
- Greene-Roesel, R.; Diogenes, M.C.; Ragland, D.R.; Lindau, L.A. Effectiveness of a Commercially Available Automated Pedestrian Counting Device in Urban Environments: Comparison with Manual Counts; Berkeley SafeTREC: Berkeley, CA, USA, 2008. [Google Scholar]
- Liu, X.; Griswold, J. Pedestrian Volume Modeling: A Case Study of San Francisco. In Yearbook of the Association of Pacific Coast Geographers; University of Hawai’i Press: Honolulu, HI, USA, 2009; Volume 71, Available online: https://www.jstor.org/stable/24043772 (accessed on 27 May 2023).
- Pulugurtha, S.S.; Repaka, S.R. Assessment of Models to Measure Pedestrian Activity at Signalized Intersections. Transp. Res. Rec. J. Transp. Res. Board 2008, 2073, 39–48. [Google Scholar] [CrossRef]
- Ryan, S.; Lindsey, G. Counting Bicyclists and Pedestrians to Inform Transportation Planning; Robert Wood Johnson Foundation: Princeton, NJ, USA, 2013. [Google Scholar]
- Schneider, R.J.; Henry, T.; Mitman, M.F.; Stonehill, L.; Koehler, J. Development and Application of the San Francisco Pedestrian Intersection Volume Model; Berkeley SafeTREC: Berkeley, CA, USA, 2013. [Google Scholar]
- Kaparias, I.; Bell, M.G.; Miri, A.; Chan, C.; Mount, B. Analysing the perceptions of pedestrians and drivers to shared space. Transp. Res. Part F Traffic Psychol. Behav. 2012, 15, 297–310. [Google Scholar] [CrossRef]







| Six Districts in Seoul Metropolitan City | Jeju Island | ||
|---|---|---|---|
| Area (km2) | 178.9 | 1833.2 | |
| Population (June 2015) | 2,351,951 | 630,832 | |
| Daily Average Pedestrian Volume (Rectangular Cell with a 300 m Side Length) | Period | April, June, September, and December, 2013 | 2014 |
| Average | 10,015.1 | 5390.5 | |
| Std. Dev | 12,719.6 | 20,159.0 | |
| Pedestrian Crashes | Duration | 2012–2014 | 2010–2012 |
| Crash | 795 | 75 | |
| Severe Injury | 3583 | 1274 | |
| Fatality | 161 | 119 | |
Disclaimer/Publisher’s Note: The statements, opinions and data contained in all publications are solely those of the individual author(s) and contributor(s) and not of MDPI and/or the editor(s). MDPI and/or the editor(s) disclaim responsibility for any injury to people or property resulting from any ideas, methods, instructions or products referred to in the content. |
© 2023 by the authors. Licensee MDPI, Basel, Switzerland. This article is an open access article distributed under the terms and conditions of the Creative Commons Attribution (CC BY) license (https://creativecommons.org/licenses/by/4.0/).
Share and Cite
Kim, S.; Jang, K.; Park, S. ‘Safety in Numbers’ for Walkers: Effects of Pedestrian Volume on Per-Pedestrian Crash Rate and Severe Injury Probability. Sustainability 2023, 15, 10027. https://doi.org/10.3390/su151310027
Kim S, Jang K, Park S. ‘Safety in Numbers’ for Walkers: Effects of Pedestrian Volume on Per-Pedestrian Crash Rate and Severe Injury Probability. Sustainability. 2023; 15(13):10027. https://doi.org/10.3390/su151310027
Chicago/Turabian StyleKim, Suji, Kitae Jang, and Sungjin Park. 2023. "‘Safety in Numbers’ for Walkers: Effects of Pedestrian Volume on Per-Pedestrian Crash Rate and Severe Injury Probability" Sustainability 15, no. 13: 10027. https://doi.org/10.3390/su151310027
APA StyleKim, S., Jang, K., & Park, S. (2023). ‘Safety in Numbers’ for Walkers: Effects of Pedestrian Volume on Per-Pedestrian Crash Rate and Severe Injury Probability. Sustainability, 15(13), 10027. https://doi.org/10.3390/su151310027

