The Effect of Rectifier Baffles on the Flow Regime of 180° Turning Pools in Vertical Slot Fishways
Abstract
1. Introduction
2. Research Methodology
2.1. Mathematical Model
2.2. Computational Grid
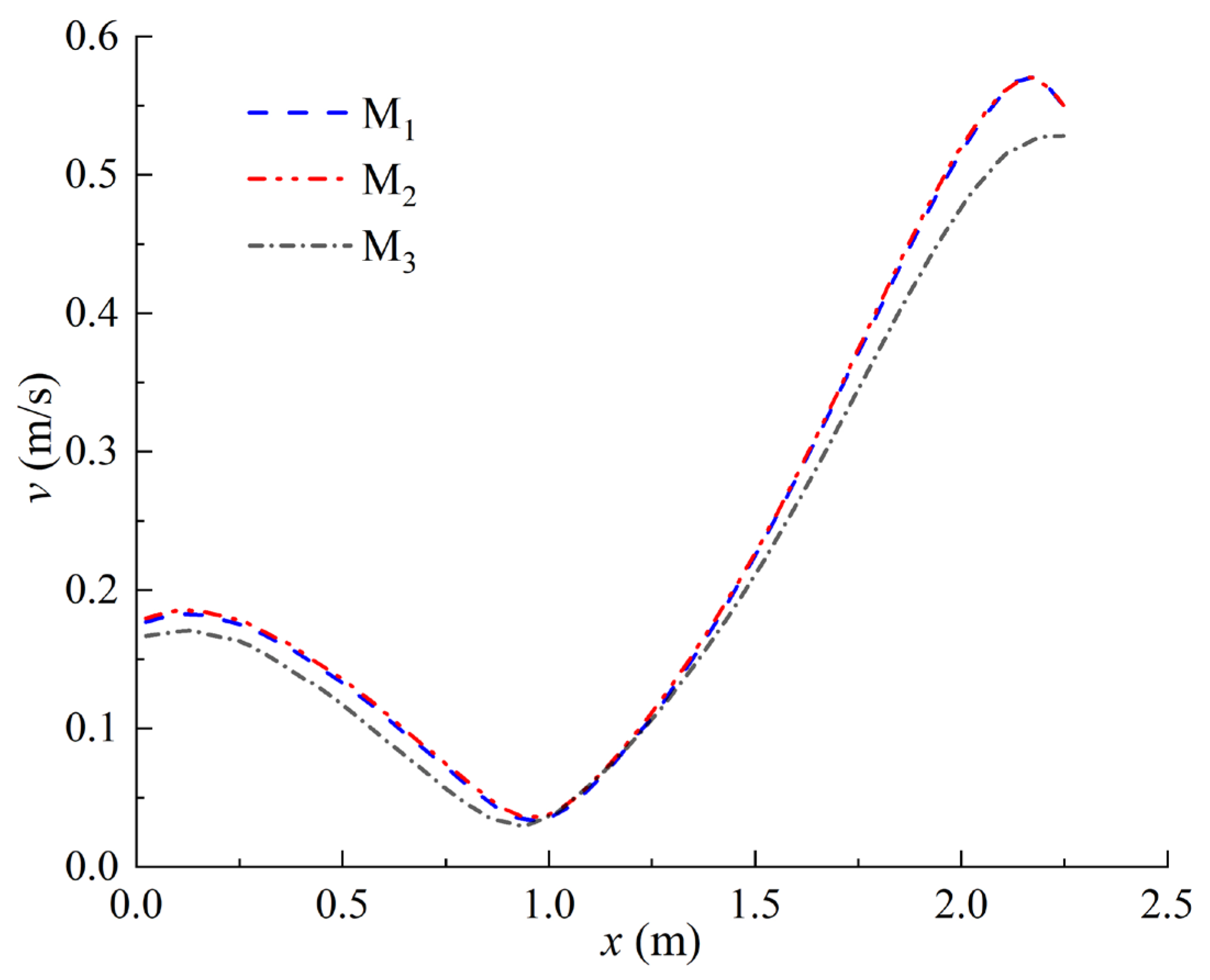
2.3. Boundary and Initial Conditions
2.4. Model Validation
3. Results and Analysis
3.1. Flow Distribution
3.2. Turbulent Kinetic Energy Distribution
3.3. The Hydraulic Characteristics of the Mainstream Area
3.4. The Hydraulic Characteristics of the Recirculation Zone
4. Discussion
5. Conclusions
- (1)
- Adding rectifier baffles and adjusting the angle of the rectifier baffles in the turning pool can avoid the phenomenon of the mainstream being close to the wall, and can make the centering effect of the mainstream better. It can enhance the reduction in the mainstream velocity so that the fish can sense the change of velocity and pass the turning pool smoothly.
- (2)
- Adding rectifier baffles and adjusting the angles of the rectifier baffles in the turning pool can effectively reduce the overall turbulent kinetic energy in the pool, narrow the distribution of large-scale turbulent kinetic energy, and reduce the turbulent kinetic energy in the recirculation zone.
- (3)
- Adding rectifier baffles and adjusting the angles of the rectifier baffles in the turning pool can effectively increase the number of recirculation zones, reduce the area of the recirculation zones and the maximum velocity, cause the shape of each recirculation zone to be flat and oval, and provide favorable conditions for fish to move upward in the turning pool.
- (4)
- Through a comprehensive comparison of all the designs in this study, it is concluded that Design V, in which the rectifier baffles P1 and P2 are tilted inward by 15°, is the most rational scheme for the flow state improvement of the turning pool.
Author Contributions
Funding
Institutional Review Board Statement
Informed Consent Statement
Data Availability Statement
Conflicts of Interest
References
- Dudgeon, D.; Arthington, A.H.; Gessner, M.O.; Kawabata, Z.-I.; Knowler, D.J.; Lévêque, C.; Naiman, R.J.; Prieur-Richard, A.-H.; Soto, D.; Stiassny, M.L.J.; et al. Freshwater biodiversity: Importance, threats, status and conservation challenges. Biol. Rev. 2005, 81, 163–182. [Google Scholar] [CrossRef] [PubMed]
- Botelho, A.; Ferreira, P.; Lima, F.; Pinto, L.M.C.; Sousa, S. Assessment of the environmental impacts associated with hydropower. Renew. Sust. Energ. Rev. 2017, 70, 896–904. [Google Scholar] [CrossRef]
- Kuriqi, A.; Pinheiro, A.N.; Sordo-Ward, A.; Bejarano, M.D.; Garrote, L. Ecological impacts of run-of-river hydropower plants—Current status and future prospects on the brink of energy transition. Renew. Sust. Energ. Rev. 2021, 142, 110833. [Google Scholar] [CrossRef]
- Benejam, L.; Saura-Mas, S.; Bardina, M.; Solà, C.; Munné, A.; García-Berthou, E. Ecological impacts of small hydropower plants on headwater stream fish: From individual to community effects. Ecol. Freshw. Fish. 2014, 25, 295–306. [Google Scholar] [CrossRef]
- Zarfl, C.; Berlekamp, J.; He, F.; Jähnig, S.C.; Darwall, W.; Tockner, K. Future large hydropower dams impact global freshwater megafauna. Sci. Rep. 2019, 9, 10. [Google Scholar] [CrossRef]
- Williams, J.G.; Armstrong, G.; Katopodis, C.; Larinier, M.; Travade, F. Thinking like a fish: A key ingredient for development of effective fish passage facilities at river obstructions. River. Res. Appl. 2011, 28, 407–417. [Google Scholar] [CrossRef]
- Clay, C.H. Design of Fishways and Other Fish Facilities, 2nd ed.; CRC Press: Boca Raton, FL, USA, 1994. [Google Scholar]
- Santos, J.M.; Silva, A.; Katopodis, C.; Pinheiro, P.; Pinheiro, A.; Bochechas, J.; Ferreira, M.T. Ecohydraulics of pool-type fishways: Getting past the barriers. Ecol. Eng. 2012, 48, 38–50. [Google Scholar] [CrossRef]
- Branco, P.; Santos, J.M.; Katopodis, C.; Pinheiro, A.; Ferreira, M.T. Pool-Type Fishways: Two Different Morpho-Ecological Cyprinid Species Facing Plunging and Streaming Flows. PLoS ONE 2013, 8, e65089. [Google Scholar] [CrossRef]
- Silva, A.T.; Santos, J.M.; Ferreira, M.T.; Pinheiro, A.N.; Katopodis, C. Passage efficiency of offset and straight orifices for upstream movements of Iberian barbel in a pool-type fishway. River. Res. Appl. 2010, 28, 529–542. [Google Scholar] [CrossRef]
- Romão, F.; Quaresma, A.L.; Santos, J.M.; Branco, P.; Pinheiro, A.N. Cyprinid passage performance in an experimental multislot fishway across distinct seasons. Mar. Freshwater. Res. 2019, 70, 881–890. [Google Scholar] [CrossRef]
- Romão, F.; Quaresma, A.L.; Santos, J.M.; Amaral, S.D.; Branco, P.; Pinheiro, A.N. Multislot Fishway Improves Entrance Performance and Fish Transit Time over Vertical Slots. Water 2021, 13, 275. [Google Scholar] [CrossRef]
- Katopodis, C. Introduction to Fishway Design; Freshwater Institute, Central and Arctic Region, Department of Fisheries and Oceans: Winnipeg, MB, Canada, 1992; Unpublished Works. [Google Scholar]
- Silva, A.T.; Lucas, M.C.; Castro-Santos, T.; Katopodis, C.; Baumgartner, L.J.; Thiem, J.D.; Aarestrup, K.; Pompeu, P.S.; O’Brien, G.C.; Braun, D.C.; et al. The future of fish passage science, engineering, and practice. Fish Fish. 2017, 19, 340–362. [Google Scholar] [CrossRef]
- FAO; DVWK. Fish Passes: Design, Dimensions and Monitoring; FAO: Rome, Italiy, 2002. [Google Scholar]
- Valbuena-Castro, J.; Fuentes-Pérez, J.F.; García-Vega, A.; Bravo-Córdoba, F.J.; Ruiz-Legazpi, J.; Martínez de Azagra Paredes, A.; Sanz-Ronda, F.J. Coarse fishway assessment to prioritize retrofitting efforts: A case study in the Duero River basin. Ecol. Eng. 2020, 155, 105946. [Google Scholar] [CrossRef]
- Chorda, J.; Maubourguet, M.M.; Roux, H.; Larinier, M.; Tarrade, L.; David, L. Two-dimensional free surface flow numerical model for vertical slot fishways. J. Hydraul. Res. 2010, 48, 141–151. [Google Scholar] [CrossRef]
- Enders, E.C.; Boisclair, D.; Roy, A.G. The effect of turbulence on the cost of swimming for juvenile Atlantic salmon (Salmo salar). Can. J. Fish. Aquat. Sci. 2003, 60, 1149–1160. [Google Scholar] [CrossRef]
- Marriner, B.A.; Baki, A.B.M.; Zhu, D.Z.; Cooke, S.J.; Katopodis, C. The hydraulics of a vertical slot fishway: A case study on the multi-species Vianney-Legendre fishway in Quebec, Canada. Ecol. Eng. 2016, 90, 190–202. [Google Scholar] [CrossRef]
- Fuentes-Pérez, J.F.; Tuhtan, J.A.; Eckert, M.; Romão, F.; Ferreira, M.T.; Kruusmaa, M.; Branco, P. Hydraulics of Vertical-Slot Fishways: Nonuniform Profiles. J. Hydraul. Eng. 2019, 145, 06018020. [Google Scholar] [CrossRef]
- Pon, L.B.; Hinch, S.G.; Cooke, S.J.; Patterson, D.A.; Farrell, A.P. Physiological, energetic and behavioural correlates of successful fishway passage of adult sockeye salmon Oncorhynchus nerka in the Seton River, British Columbia. J. Fish. Biol. 2009, 74, 1323–1336. [Google Scholar] [CrossRef] [PubMed]
- Thiem, J.D.; Binder, T.R.; Dawson, J.W.; Dumon, P.; Cooke, S.J. Behaviour and passage success of upriver-migrating lake sturgeon Acipenser fulvescens in a vertical slot fishway on the Richelieu River, Quebec, Canada. Endanger. Species. Res. 2011, 15, 1–11. [Google Scholar] [CrossRef]
- White, L.J.; Harris, J.H.; Keller, R.J. Movement of three non-salmonid fish species through a low-gradient vertical-slot fishway. River. Res. Appl. 2011, 27, 499–510. [Google Scholar] [CrossRef]
- Bian, Y.H.; Sun, S.K.; Zhang, G.Q.; Zheng, T.G.; Qiang, L.V. Numerical simulation of flow in the 90° turn of a vertical slot fishway. J. Hydroecol. 2015, 1, 53–59. [Google Scholar] [CrossRef]
- Rajaratnam, N.; Katopodis, C.; Solanki, S. New designs for vertical slot fishways. Can. J. Civil. Eng. 1992, 19, 402–414. [Google Scholar] [CrossRef]
- Marriner, B.A.; Baki, A.B.M.; Zhu, D.Z.; Thiem, J.D.; Cooke, S.J.; Katopodis, C. Field and numerical assessment of turning pool hydraulics in a vertical slot fishway. Ecol. Eng. 2014, 63, 88–101. [Google Scholar] [CrossRef]
- Li, G.; Sun, S.; Zhang, C.; Liu, H.; Zheng, T. Evaluation of flow patterns in vertical slot fishways with different slot positions based on a comparison passage experiment for juvenile grass carp. Ecol. Eng. 2019, 133, 148–159. [Google Scholar] [CrossRef]
- Li, G.; Sun, S.; Liu, H.; Zheng, T. Schizothorax prenanti swimming behavior in response to different flow patterns in vertical slot fishways with different slot positions. Sci. Total. Environ. 2020, 754, 142142. [Google Scholar] [CrossRef]
- Bian, Y.H.; Sun, S.K.; Zheng, T.G.; Lu, Q. Study on hydraulic characteristic and improvement of flow in 180° turning pools for vertical slot fishways. J. Sichuan Univ. 2015, 47, 90–96. [Google Scholar] [CrossRef]
- Ahmadi, M.; Ghaderi, A.; MohammadNezhad, H.; Kuriqi, A.; Francesco, S.D. Numerical Investigation of Hydraulics in a Vertical Slot Fishway with Upgraded Configurations. Water 2021, 13, 23. [Google Scholar] [CrossRef]
- Zheng, T.; Niu, Z.; Sun, S.; Huang, W.; Tu, C.; Liu, H.; Li, G.; Wang, H. Optimizing fish-friendly flow pattern in vertical slot fishway based on fish swimming capability validation. Ecol. Eng. 2022, 185, 15. [Google Scholar] [CrossRef]
- ANSYS. Ansys Fluent Theory Guide, Release 2021R1; ANSYS Inc.: Canonsburg, PN, USA, 2021. [Google Scholar]
- Fuentes-Pérez, J.F.; Silva, A.T.; Tuhtan, J.A.; García-Vega, A.; Carbonell-Baeza, R.; Musall, M.; Kruusmaa, M. 3D modelling of non-uniform and turbulent flow in vertical slot fishways. Environ. Modell. Softw. 2018, 99, 156–169. [Google Scholar] [CrossRef]
- Stamou, A.I.; Mitsopoulos, G.; Rutschmann, P.; Bui, M.D. Verification of a 3D CFD model for vertical slot fish-passes. Environ. Fluid. Mech. 2018, 18, 1435–1461. [Google Scholar] [CrossRef]
- McDonald, J.H. Handbook of Biological Statistics, 3rd ed.; Sparky House Publishing: Baltimore, MD, USA, 2014. [Google Scholar]
- Bombač, M.; Novak, G.; Mlačnik, J.; Četina, M. Extensive field measurements of flow in vertical slot fishway as data for validation of numerical simulations. Ecol. Eng. 2015, 84, 476–484. [Google Scholar] [CrossRef]
- Wahl, T.L. Analysing Data using WinADV. In Proceedings of the Joint Conference on Water Resources Planning and Management, Minneapolis, MN, USA, 30 July–2 August 2000; 10p. [Google Scholar]
- Goring, D.; Nikora, V. Despiking acoustic Doppler velocimeter data. J. Hydraul. Eng. 2002, 128, 117–126. [Google Scholar] [CrossRef]
- Silva, A.T.; Katopodis, C.; Santos, J.M.; Ferreira, M.T.; Pinheiro, A.N. Cyprinid swimming behaviour in response to turbulent flow. Ecol. Eng. 2012, 44, 314–328. [Google Scholar] [CrossRef]
- Bombač, M.; Novak, G.; Rodič, P.; Četina, M. Numerical and physical model study of a vertical slot fishway. J. Hydrol. Hydromech. 2014, 62, 150–159. [Google Scholar] [CrossRef]
- Duguay, J.M.; Lacey, R.W.J. Numerical study of an innovative fish ladder design for perched culverts. Can. J. Civil. Eng. 2016, 43, 173–181. [Google Scholar] [CrossRef]
- Gao, Z.; Andersson, H.I.; Dai, H.; Jiang, F.; Zhao, L. A new Eulerian-Lagrangian agent method to model fish paths in a vertical slot fishway. Ecol. Eng. 2016, 88, 217–225. [Google Scholar] [CrossRef]
- Bombač, M.; Četina, M.; Novak, G. Study on flow characteristics in vertical slot fishways regarding slot layout optimization. Ecol. Eng. 2017, 107, 126–136. [Google Scholar] [CrossRef]
- Abbasi, S.; Fatemi, S.; Ghaderi, A.; Di Francesco, S. The Effect of Geometric Parameters of the Antivortex on a Triangular Labyrinth Side Weir. Water 2020, 13, 14. [Google Scholar] [CrossRef]
- Tan, J.; Gao, Z.; Dai, H.; Yang, Z.; Shi, X. Effects of turbulence and velocity on the movement behaviour of bighead carp (Hypophthalmichthys nobilis) in an experimental vertical slot fishway. Ecol. Eng. 2019, 127, 363–374. [Google Scholar] [CrossRef]
- Webb, P.W.; Cotel, A.J. Turbulence: Does Vorticity Affect the Structure and Shape of Body and Fin Propulsors? Integr. Comp. Biol. 2010, 50, 1155–1166. [Google Scholar] [CrossRef] [PubMed]
- Tritico, H.M. The Effects of Turbulence on Habitat Selection and Swimming Kinematics of Fishes. Ph.D. Thesis, University of Michigan, Ann Arbor, MI, USA, 2009. [Google Scholar]
- Bermúdez, M.; Puertas, J.; Cea, L.; Pena, L.; Balairón, L. Influence of pool geometry on the biological efficiency of vertical slot fishways. Ecol. Eng. 2010, 36, 1355–1364. [Google Scholar] [CrossRef]










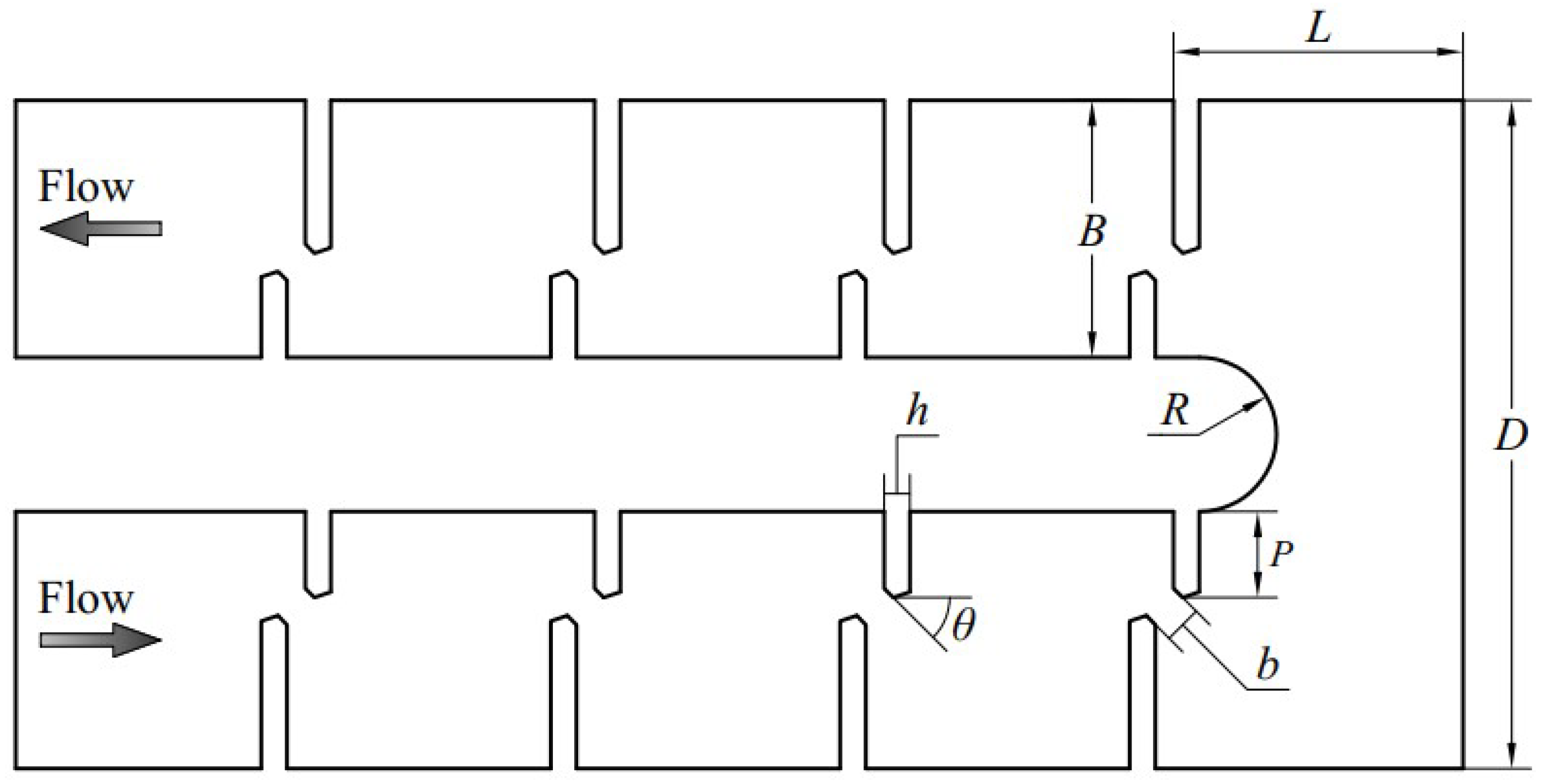
| Abbreviate | B | L | D | P | h | b | θ | R | J |
|---|---|---|---|---|---|---|---|---|---|
| Specifications | 2.00 m | 2.25 m | 5.20 m | 0.67 m | 0.20 m | 0.30 m | 45° | 0.60 m | 2% |
| Design | Number of Rectifier Baffles | P1 Tilt Angle | P2 Tilt Angle |
|---|---|---|---|
| I | 0 | – | – |
| II | 2 | 0° | 0° |
| III | 2 | 0° | inward 15° |
| IV | 2 | inward 15° | 0° |
| V | 2 | inward 15° | inward 15° |
| M1 | M2 | M3 | |
|---|---|---|---|
| Size (m) | 0.04 | 0.05 | 0.06 |
| Slot size (m) | 0.02 | 0.02 | 0.02 |
| Nodes | 2,303,798 | 1,846,152 | 832,955 |
| Number of elements | 2,191,800 | 1,753,700 | 775,500 |
| Design | v1(max) | vi(max) Minimum Value | v13(max) | vi(max) Decay Rate |
|---|---|---|---|---|
| II | 0.97 | 0.34 | 0.42 | 65% |
| III | 0.93 | 0.34 | 0.42 | 63% |
| IV | 0.92 | 0.28 | 0.42 | 70% |
| V | 0.91 | 0.24 | 0.40 | 74% |
| Design | Number of Recirculation Zones | Number | c/b | k/b | c/k | ck/b2 | Vmax/u |
|---|---|---|---|---|---|---|---|
| I | 2 | 1 | 0.75 | 0.41 | 1.82 | 0.31 | 0.61 |
| 2 | 1.36 | 0.46 | 2.95 | 0.63 | 0.46 | ||
| II | 4 | 1 | 1.05 | 0.53 | 1.95 | 0.56 | 0.56 |
| 2 | 0.90 | 0.36 | 2.47 | 0.33 | 0.46 | ||
| 3 | 0.32 | 0.12 | 2.60 | 0.04 | 0.11 | ||
| 4 | 0.80 | 0.51 | 1.57 | 0.41 | 0.24 | ||
| III | 4 | 1 | 1.02 | 0.49 | 2.10 | 0.50 | 0.50 |
| 2 | 0.95 | 0.36 | 2.60 | 0.35 | 0.40 | ||
| 3 | 0.36 | 0.12 | 3.00 | 0.04 | 0.18 | ||
| 4 | 0.90 | 0.56 | 1.61 | 0.50 | 0.25 | ||
| IV | 4 | 1 | 1.02 | 0.49 | 2.10 | 0.50 | 0.53 |
| 2 | 0.95 | 0.34 | 2.79 | 0.32 | 0.33 | ||
| 3 | 0.56 | 0.15 | 3.83 | 0.08 | 0.06 | ||
| 4 | 0.71 | 0.36 | 1.93 | 0.26 | 0.08 | ||
| V | 4 | 1 | 0.61 | 0.29 | 2.08 | 0.18 | 0.38 |
| 2 | 0.83 | 0.32 | 2.62 | 0.26 | 0.38 | ||
| 3 | 0.56 | 0.19 | 2.88 | 0.11 | 0.09 | ||
| 4 | 0.71 | 0.32 | 2.23 | 0.22 | 0.17 |
Disclaimer/Publisher’s Note: The statements, opinions and data contained in all publications are solely those of the individual author(s) and contributor(s) and not of MDPI and/or the editor(s). MDPI and/or the editor(s) disclaim responsibility for any injury to people or property resulting from any ideas, methods, instructions or products referred to in the content. |
© 2023 by the authors. Licensee MDPI, Basel, Switzerland. This article is an open access article distributed under the terms and conditions of the Creative Commons Attribution (CC BY) license (https://creativecommons.org/licenses/by/4.0/).
Share and Cite
Yan, X.; Jin, J.; Zheng, T.; Sun, S.; Dai, H.; Dai, L.; Shi, K. The Effect of Rectifier Baffles on the Flow Regime of 180° Turning Pools in Vertical Slot Fishways. Sustainability 2023, 15, 10498. https://doi.org/10.3390/su151310498
Yan X, Jin J, Zheng T, Sun S, Dai H, Dai L, Shi K. The Effect of Rectifier Baffles on the Flow Regime of 180° Turning Pools in Vertical Slot Fishways. Sustainability. 2023; 15(13):10498. https://doi.org/10.3390/su151310498
Chicago/Turabian StyleYan, Xiaoming, Jin Jin, Tiegang Zheng, Shuangke Sun, Huichao Dai, Lingquan Dai, and Kai Shi. 2023. "The Effect of Rectifier Baffles on the Flow Regime of 180° Turning Pools in Vertical Slot Fishways" Sustainability 15, no. 13: 10498. https://doi.org/10.3390/su151310498
APA StyleYan, X., Jin, J., Zheng, T., Sun, S., Dai, H., Dai, L., & Shi, K. (2023). The Effect of Rectifier Baffles on the Flow Regime of 180° Turning Pools in Vertical Slot Fishways. Sustainability, 15(13), 10498. https://doi.org/10.3390/su151310498
