Experimental Study of Permeable Asphalt Mixture Containing Reclaimed Asphalt Pavement
Abstract
1. Introduction
- Currently, the term “recycled porous asphalt pavements” refers to the recycling of milled porous asphalt pavement materials, and does not include the application of traditional RAP materials for porous asphalt pavements;
- Research on the recycling of porous asphalt pavements often focuses on using conventional modified asphalt as the virgin binder. In contrast, studies on high-viscosity modified asphalt as the virgin binder were scarce;
- The RAP content was relatively conservative during recycling, and the preheating temperature was below 130 °C. There was a lack of research on the effects of different RAP contents and preheating temperatures on the functional performance of RPAMs.
2. Objective and Research Approach
- Firstly, conduct material composition design for the RPAM;
- Next, verify the functional performance of the RPAM with different RAP contents and preheating temperatures;
- Finally, analyze the dynamic mechanical response of the RPAM with different RAP content and preheating temperatures.
3. Materials and Methods
3.1. Raw Materials
3.1.1. RAP Material
3.1.2. Asphalt Binder
3.1.3. Aggregates
3.2. Experimental Methods
3.2.1. Mix Design
- (1)
- Material selection and testing
- (2)
- Gradation curve design
- (3)
- Determining the best asphalt–stone ratio
- (4)
- Marshall test verification
3.2.2. Wheel Track Rutting Test
3.2.3. Low-Temperature Bending Test
3.2.4. Freeze–Thaw Splitting Test
3.2.5. Cantabro Raveling Test
3.2.6. Dynamic Modulus Test
4. Results and Discussion
4.1. Effect of RAP Content and Preheating Temperature on the Performance of RPAM
4.1.1. High-Temperature Stability
4.1.2. Low-Temperature Crack Resistance
4.1.3. Water Damage Resistance
4.1.4. Raveling Resistance
4.2. Dynamic Responses of RPAM
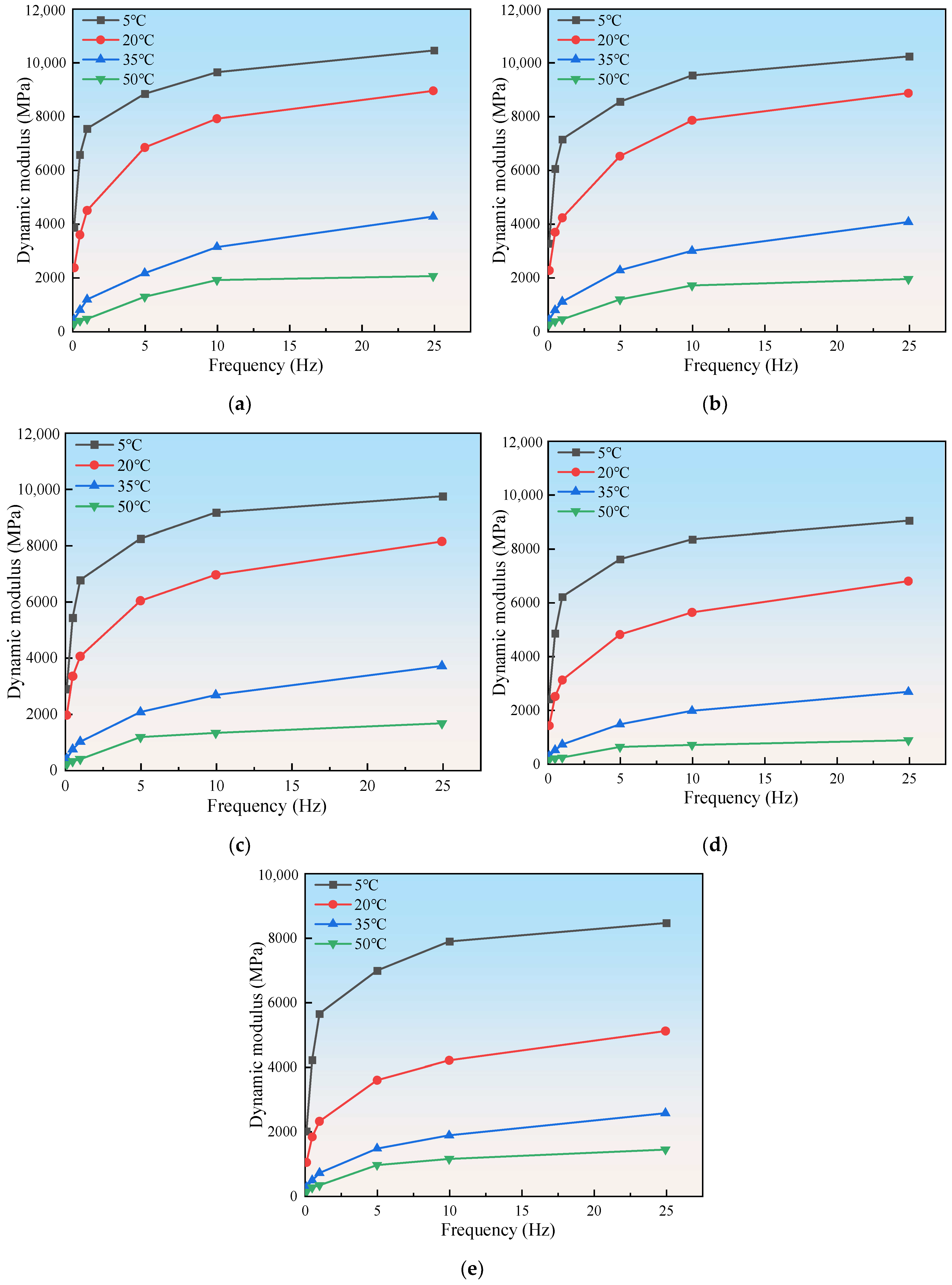
4.2.1. Dynamic Modulus
4.2.2. Master Curve of Dynamic Modulus
- (1)
- Dynamic modulus master curves of mixtures with different RAP content
- (2)
- Master curve of dynamic modulus of mixtures with different RAP preheating temperatures
5. Conclusions
- The RAP content and preheating temperature significantly influence the pavement performance of the RPAM. When the RAP content reaches 30%, and the preheating temperature ranges from 140 °C to 150 °C, the performance of the mixtures meets the specification requirements for porous asphalt mixtures. It is comparable to that of non-RAP mixtures;
- RPAMs demonstrate excellent resistance to rutting. With a RAP content of 20%, their high-temperature stability is comparable to porous asphalt mixtures with 12% HVA. However, increasing the preheating temperature of RAP may reduce its high-temperature performance; when the preheating temperature exceeds 150 °C, the mixtures may fail to meet the specifications for high-temperature deformation resistance;
- The addition of RAP enhances the load-bearing capacity of the RPAM but weakens its resistance to deformation. The maximum bending strain of the mixtures at different RAP preheating temperatures initially increases and then levels off as the preheating temperature of RAP rises;
- The water stability of RPAMs is inferior to mixtures with 12% HVA. As the RAP preheating temperature increases, RPAMs’ TSR increases. However, when the temperature exceeds 150 °C, the TSR decreases, indicating that excessively high preheating temperatures reduce the water stability of the mixtures;
- Increasing the RAP content increases the raveling loss of RPAMs. When the RAP content reaches 30%, the raveling loss approaches 15%. The resistance to the raveling of the mixtures does not vary significantly with changes in RAP preheating temperature, and the optimal resistance is observed at a preheating temperature of 150 °C;
- Under dynamic loading, increased RAP content results in higher dynamic modulus and better high-temperature stability for the RPAM but lower resistance to low-temperature cracking. Increasing the RAP preheating temperature decreases dynamic modulus, enhancing resistance to low-temperature cracking and slightly reducing high-temperature deformation resistance;
- The present study focuses solely on investigating the experimental performance of RPAMs. In the future, field research on RPAMs will be an important research direction. Based on the findings of this study, it is recommended to incorporate RAP (10–30%) into permeable asphalt pavements on highways or local roads.
Author Contributions
Funding
Institutional Review Board Statement
Informed Consent Statement
Data Availability Statement
Acknowledgments
Conflicts of Interest
References
- Xu, F.C.; Zhao, Y.; Li, K.J. Using Waste Plastics as Asphalt Modifier: A Review. Materials 2022, 15, 110. [Google Scholar] [CrossRef]
- Wang, H.; Liu, X.; Apostolidis, P.; Wang, D.; Leng, Z.; Lu, G.; Erkens, S.; Skarpas, A. Investigating the High- and Low-Temperature Performance of Warm Crumb Rubber–Modified Bituminous Binders Using Rheological Tests. J. Transp.Eng. Part B Pavements 2021, 147, 04021067. [Google Scholar] [CrossRef]
- Ma, J.; Nivitha, M.R.; Hesp, S.A.M.; Murali Krishnan, J. Validation of empirical changes to asphalt specifications based on phase angle and relaxation properties using data from a northern Ontario, Canada pavement trial. Constr. Build. Mater. 2023, 363, 129776. [Google Scholar] [CrossRef]
- Prosperi, E.; Bocci, E. A Review on Bitumen Aging and Rejuvenation Chemistry: Processes, Materials and Analyses. Sustainability 2021, 13, 6523. [Google Scholar] [CrossRef]
- Al-Saffar, Z.H.; Yaacob, H.; Katman, H.Y.; Satar, M.; Bilema, M.; Jaya, R.P.; Eltwati, A.S.; Radeef, H.R. A Review on the Durability of Recycled Asphalt Mixtures Embraced with Rejuvenators. Sustainability 2021, 13, 8970. [Google Scholar] [CrossRef]
- Zhao, Y.P.; Goulias, D.; Peterson, D. Recycled Asphalt Pavement Materials in Transport Pavement Infrastructure: Sustainability Analysis & Metrics. Sustainability 2021, 13, 8071. [Google Scholar]
- Xu, X.; Sreeram, A.; Leng, Z.; Yu, J.Y.; Li, R.; Peng, C. Challenges and opportunities in the high-quality rejuvenation of unmodified and SBS modified asphalt mixtures: State of the art. J. Clean Prod. 2022, 378, 17. [Google Scholar] [CrossRef]
- Zhu, J.Q.; Ma, T.; Fan, J.W.; Fang, Z.Y.; Chen, T.; Zhou, Y. Experimental study of high modulus asphalt mixture containing reclaimed asphalt pavement. J. Clean Prod. 2020, 263, 11. [Google Scholar] [CrossRef]
- Jia, M.; Sha, A.M.; Jiang, W.; Li, X.Z.; Jiao, W.X. Developing a solid-solid phase change heat storage asphalt pavement material and its application as functional filler for cooling asphalt pavement. Energy Build. 2023, 285, 13. [Google Scholar] [CrossRef]
- Sha, A.; Jiang, W.; Shan, J.; Wu, W.; Li, Y.; Zhang, S. Pavement structure and materials design for sea-crossing bridges and tunnel: Case study of the Hong Kong–Zhuhai–Macau Bridge. J. Road Eng. 2022, 2, 99–113. [Google Scholar] [CrossRef]
- Sha, A.; Liu, Z.; Jiang, W.; Qi, L.; Hu, L.; Jiao, W.; Barbieri, D.M. Advances and development trends in eco-friendly pavements. J. Road Eng. 2021, 1, 1–42. [Google Scholar] [CrossRef]
- Yuan, D.; Xing, C.; Jiang, W.; Xiao, J.; Wu, W.; Li, P.; Li, Y. Viscoelastic Behavior and Phase Structure of High-Content SBS-Modified Asphalt. Polymers 2022, 14. [Google Scholar] [CrossRef] [PubMed]
- Zhang, H.L.; Chen, Z.H.; Xu, G.Q.; Shi, C.J. Evaluation of aging behaviors of asphalt binders through different rheological indices. Fuel 2018, 221, 78–88. [Google Scholar] [CrossRef]
- Ziari, H.; Moniri, A.; Norouzi, N. The effect of nanoclay as bitumen modifier on rutting performance of asphalt mixtures containing high content of rejuvenated reclaimed asphalt pavement. Pet. Sci. Technol. 2019, 37, 1946–1951. [Google Scholar] [CrossRef]
- Cong, P.L.; Zhang, Y.H.; Liu, N. Investigation of the properties of asphalt mixtures incorporating reclaimed SBS modified asphalt pavement. Constr. Build. Mater. 2016, 113, 334–340. [Google Scholar] [CrossRef]
- Tajvidi, M.; Falk, R.H.; Hermanson, J.C. Time–temperature superposition principle applied to a kenaf-fiber/high-density polyethylene composite. J. Appl. Polym. Sci. 2005, 97, 1995–2004. [Google Scholar] [CrossRef]
- Büchler, S.; Falchetto, A.C.; Walther, A.; Riccardi, C.; Wang, D.; Wistuba, M.P. Wearing course mixtures prepared with high reclaimed asphalt pavement content modified by rejuvenators. Transp. Res. Rec. 2018, 2672, 96–106. [Google Scholar] [CrossRef]
- Hugener, M.; Wang, D.; Cannone Falchetto, A.; Porot, L.; Kara De Maeijer, P.; Orešković, M.; Sa-da-Costa, M.; Tabatabaee, H.; Bocci, E.; Kawakami, A. Recommendation of RILEM TC 264 RAP on the evaluation of asphalt recycling agents for hot mix asphalt. Mater. Struct. 2022, 55, 31. [Google Scholar] [CrossRef]
- Al-Saffar, Z.H.; Yaacob, H.; Satar, M.; Saleem, M.K.; Lai, J.C.; Jaya, R.P. A review on rejuvenating materials used with reclaimed hot mix asphalt. Can. J. Civ. Eng. 2021, 48, 233–249. [Google Scholar] [CrossRef]
- Ma, J.; Hesp, S.A.; Chan, S.; Li, J.Z.; Lee, S. Lessons learned from 60 years of pavement trials in continental climate regions of Canada. Chem. Eng. J. 2022, 444, 136389. [Google Scholar] [CrossRef]
- Oualit, M.; Irekti, A.; Hami, B. Performance of recycled asphalt mixtures formulated with modified bitumen. Environ. Eng. Manag. J. 2019, 18, 2613–2621. [Google Scholar] [CrossRef]
- Yan, K.Z.; Lan, H.Z.; Duan, Z.; Liu, W.Y.; You, L.Y.; Wu, S.H.; Miljkovic, M. Mechanical performance of asphalt rejuvenated with various vegetable oils. Constr. Build. Mater. 2021, 293, 11. [Google Scholar] [CrossRef]
- Zhou, Z.; Gu, X.Y.; Dong, Q.; Ni, F.J.; Jiang, Y.X. Rutting and fatigue cracking performance of SBS-RAP blended binders with a rejuvenator. Constr. Build. Mater. 2019, 203, 294–303. [Google Scholar] [CrossRef]
- Yuan, D.; Jiang, W.; Sha, A.; Xiao, J.; Wu, W.; Wang, T. Technology method and functional characteristics of road thermoelectric generator system based on Seebeck effect. Appl. Energy 2023, 331, 120459. [Google Scholar] [CrossRef]
- Jiang, W.; Li, P.; Sha, A.; Li, Y.; Yuan, D.; Xiao, J.; Xing, C. Research on Pavement Traffic Load State Perception Based on the Piezoelectric Effect. IEEE Trans. Intell. Transp. Syst. 2023, 1–15. [Google Scholar] [CrossRef]
- Guo, X.-x.; Zhang, C.; Cui, B.-x.; Wang, D.; Tsai, J. Analysis of impact of transverse slope on hydroplaning risk level. Procedia-Soc. Behav. Sci. 2013, 96, 2310–2319. [Google Scholar] [CrossRef]
- Cong, P.L.; Luo, W.H.; Xu, P.J.; Zhao, H. Investigation on recycling of SBS modified asphalt binders containing fresh asphalt and rejuvenating agents. Constr. Build. Mater. 2015, 91, 225–231. [Google Scholar] [CrossRef]
- Gao, Y.; Zhang, Y.; Gu, F.; Xu, T.; Wang, H. Impact of minerals and water on bitumen-mineral adhesion and debonding behaviours using molecular dynamics simulations. Constr. Build. Mater. 2018, 171, 214–222. [Google Scholar] [CrossRef]
- Gao, Y.; Zhang, Y.; Yang, Y.; Zhang, J.; Gu, F. Molecular dynamics investigation of interfacial adhesion between oxidised bitumen and mineral surfaces. Appl. Surf. Sci. 2019, 479, 449–462. [Google Scholar] [CrossRef]
- JTG/T 3350-03-2020; Technical Specifications for Design and Construction of Porous Asphalt Pavement. Ministry of Transport: Beijing, China, 2020; p. 34.
- Fwa, T.; Lim, E.; Tan, K. Comparison of permeability and clogging characteristics of porous asphalt and pervious concrete pavement materials. Transp. Res. Rec. 2015, 2511, 72–80. [Google Scholar] [CrossRef]
- Zhang, H.; Duan, H.; Zhu, C.; Chen, Z.; Luo, H. Mini-review on the application of nanomaterials in improving anti-aging properties of asphalt. Energy Fuels 2021, 35, 11017–11036. [Google Scholar] [CrossRef]
- Jiang, W.; Yuan, D.; Shan, J.; Ye, W.; Lu, H.; Sha, A. Experimental study of the performance of porous ultra-thin asphalt overlay. Int. J. Pavement Eng. 2022, 23, 2049–2061. [Google Scholar] [CrossRef]
- Liu, Q.; Cao, D. Research on material composition and performance of porous asphalt pavement. J. Mater. Civ. Eng. 2009, 21, 135–140. [Google Scholar] [CrossRef]
- Hu, J.; Ma, T.; Zhu, Y.; Huang, X.; Xu, J.; Chen, L. High-viscosity modified asphalt mixtures for double-layer porous asphalt pavement: Design optimization and evaluation metrics. Constr. Build. Mater. 2021, 271, 121893. [Google Scholar] [CrossRef]
- Shirini, B.; Imaninasab, R. Performance evaluation of rubberized and SBS modified porous asphalt mixtures. Constr. Build. Mater. 2016, 107, 165–171. [Google Scholar] [CrossRef]
- Yang, X.; You, Z. High temperature performance evaluation of bio-oil modified asphalt binders using the DSR and MSCR tests. Constr. Build. Mater. 2015, 76, 380–387. [Google Scholar] [CrossRef]
- Putman, B.J.; Kline, L.C. Comparison of mix design methods for porous asphalt mixtures. J. Mater. Civ. Eng. 2012, 24, 1359–1367. [Google Scholar] [CrossRef]
- Goh, S.W.; You, Z. Mechanical properties of porous asphalt pavement materials with warm mix asphalt and RAP. J. Transp. Eng. 2012, 138, 90–97. [Google Scholar] [CrossRef]
- Prosperi, E.; Bocci, E.; Bocci, M. Effect of Bitumen Production Process and Mix Heating Temperature on the Rheological Properties of Hot Recycled Mix Asphalt. Sustainability 2022, 14, 9677. [Google Scholar] [CrossRef]
- Wu, W.; Jiang, W.; Xiao, J.; Yuan, D.; Wang, T.; Xing, C. Analysis of thermal susceptibility and rheological properties of asphalt binder modified with microwave activated crumb rubber. J. Clean. Prod. 2022, 377, 124488. [Google Scholar] [CrossRef]
- Riccardi, C.; Cannone Falchetto, A.; Losa, M.; Wistuba, M.P. Rheological modeling of asphalt binder and asphalt mortar containing recycled asphalt material. Mater. Struct. 2015, 49, 4167–4183. [Google Scholar] [CrossRef]
- ASTM D5/D5M-20; Standard Test Method for Penetration of Bituminous Materials. ASTM International: West Conshohocken, PA, USA, 2020; p. 4.
- ASTM D36/D36M-14(2020); Standard Test Method for Softening Point of Bitumen (Ring-and-Ball Apparatus). ASTM International: West Conshohocken, PA, USA, 2020; p. 5.
- ASTM D113-17; Standard Test Method for Ductility of Asphalt Materials. ASTM International: West Conshohocken, PA, USA, 2017; p. 5.
- ASTM D2171/D2171M-18; Standard Test Method for Viscosity of Asphalts by Vacuum Capillary Viscometer. ASTM International: West Conshohocken, PA, USA, 2018; p. 10.
- Tan, Y.; Zhang, L.; Xu, H. Evaluation of low-temperature performance of asphalt paving mixtures. Cold Reg. Sci. Technol. 2012, 70, 107–112. [Google Scholar] [CrossRef]
- Roseen, R.M.; Ballestero, T.P.; Houle, J.J.; Briggs, J.F.; Houle, K.M. Water quality and hydrologic performance of a porous asphalt pavement as a storm-water treatment strategy in a cold climate. J. Environ. Eng. 2012, 138, 81–89. [Google Scholar] [CrossRef]
- Mo, L.; Huurman, M.; Woldekidan, M.F.; Wu, S.; Molenaar, A.A. Investigation into material optimization and development for improved ravelling resistant porous asphalt concrete. Mater. Des. 2010, 31, 3194–3206. [Google Scholar] [CrossRef]











| Item | RA | Test Methods |
|---|---|---|
| Penetration at 25 °C (0.1 mm) | 25.8 | ASTM D5 [43] |
| Softening point (°C) | 72.5 | ASTM D36 [44] |
| Ductility at 10 °C (cm) | 3.2 | ASTM D113 [45] |
| Dynamic viscosity at 60 °C (Pa·s) | 3706 | ASTM D2171 [46] |
| Particle Size (mm) | Sieve Size (mm) | ||||||||||
|---|---|---|---|---|---|---|---|---|---|---|---|
| 19 | 16 | 13.2 | 9.5 | 4.75 | 2.36 | 1.18 | 0.6 | 0.3 | 0.15 | 0.075 | |
| 0–8 | 100 | 100 | 100 | 100 | 85.3 | 56.3 | 44.2 | 34.2 | 23.1 | 18.4 | 11.8 |
| 8–12 | 100 | 100 | 100 | 86.1 | 19.6 | 14.3 | 12.2 | 10.2 | 7.6 | 6.1 | 4.2 |
| 12–16 | 100 | 100 | 81.5 | 34.0 | 16.1 | 12.1 | 10.3 | 8.5 | 6.2 | 5.0 | 3.5 |
| Performance Indicators | Test Results |
|---|---|
| Dynamic viscosity at 60 °C (Pa·s) | 306,645 |
| Viscosity–toughness (N·m) | 24.84 |
| Toughness (N·m) | 16.64 |
| Brookfield viscosity at 135 °C (Pa·s) | 4.50 |
| Brookfield viscosity at 170 °C (Pa·s) | 1.41 |
| Penetration at 25 °C (0.1 mm) | 40.6 |
| Softening point (°C) | 85.7 |
| Ductility at 5 °C (cm) | 78.9 |
| Particle Size (mm) | Sieve Size (mm) | ||||||||||
|---|---|---|---|---|---|---|---|---|---|---|---|
| 19 | 16 | 13.2 | 9.5 | 4.75 | 2.36 | 1.18 | 0.6 | 0.3 | 0.15 | 0.075 | |
| 10–15 | 100 | 100 | 79.3 | 14.8 | 0.9 | 0.8 | 0.8 | 0.8 | 0.8 | 0.8 | 0.7 |
| 5–10 | 100 | 100 | 100 | 97.5 | 7.8 | 1.3 | 1.1 | 1.0 | 0.9 | 0.9 | 0.8 |
| 0–3 | 100 | 100 | 100 | 100 | 100 | 84.7 | 65.2 | 36.3 | 13.9 | 9.2 | 5.6 |
| Particle Size (mm) | Sieve Size (mm) | ||||||||||
|---|---|---|---|---|---|---|---|---|---|---|---|
| 19 | 16 | 13.2 | 9.5 | 4.75 | 2.36 | 1.18 | 0.6 | 0.3 | 0.15 | 0.075 | |
| 10% RAP | 100 | 100 | 89.7 | 57.0 | 19.0 | 15.0 | 12.9 | 10.1 | 7.8 | 6.5 | 4.6 |
| 20% RAP | 100 | 100 | 89.7 | 57.0 | 19.1 | 14.9 | 12.9 | 10.07 | 7.71 | 6.4 | 4.5 |
| 30% RAP | 100 | 100 | 89.7 | 57.1 | 19.2 | 14.9 | 12.8 | 10.1 | 7.7 | 6.3 | 4.5 |
| RAP Contents (%) | Optimal Asphalt–Stone Ratios (%) | Marshall Stability (kN) | Flow Value (0.1 mm) | Marshall Relative Density | Maximum Theoretical Relative Density (g/cm3) | Void Ratio (%) | Connected Porosity (%) |
|---|---|---|---|---|---|---|---|
| Specification values | / | ≥5 | 20~40 | / | / | 18~25 | / |
| 10 | 5.0 | 5.82 | 27.4 | 2.223 | 2.743 | 20.2 | 15.4 |
| 20 | 5.0 | 6.0 | 25.2 | 2.199 | 2.711 | 20.5 | 15.8 |
| 30 | 4.9 | 6.25 | 24.8 | 2.184 | 2.684 | 20.4 | 15.6 |
Disclaimer/Publisher’s Note: The statements, opinions and data contained in all publications are solely those of the individual author(s) and contributor(s) and not of MDPI and/or the editor(s). MDPI and/or the editor(s) disclaim responsibility for any injury to people or property resulting from any ideas, methods, instructions or products referred to in the content. |
© 2023 by the authors. Licensee MDPI, Basel, Switzerland. This article is an open access article distributed under the terms and conditions of the Creative Commons Attribution (CC BY) license (https://creativecommons.org/licenses/by/4.0/).
Share and Cite
Xiao, J.; Wang, T.; Hong, J.; Ruan, C.; Zhang, Y.; Yuan, D.; Wu, W. Experimental Study of Permeable Asphalt Mixture Containing Reclaimed Asphalt Pavement. Sustainability 2023, 15, 10676. https://doi.org/10.3390/su151310676
Xiao J, Wang T, Hong J, Ruan C, Zhang Y, Yuan D, Wu W. Experimental Study of Permeable Asphalt Mixture Containing Reclaimed Asphalt Pavement. Sustainability. 2023; 15(13):10676. https://doi.org/10.3390/su151310676
Chicago/Turabian StyleXiao, Jingjing, Teng Wang, Jinlong Hong, Chong Ruan, Yufei Zhang, Dongdong Yuan, and Wangjie Wu. 2023. "Experimental Study of Permeable Asphalt Mixture Containing Reclaimed Asphalt Pavement" Sustainability 15, no. 13: 10676. https://doi.org/10.3390/su151310676
APA StyleXiao, J., Wang, T., Hong, J., Ruan, C., Zhang, Y., Yuan, D., & Wu, W. (2023). Experimental Study of Permeable Asphalt Mixture Containing Reclaimed Asphalt Pavement. Sustainability, 15(13), 10676. https://doi.org/10.3390/su151310676
