Waste Generation Modeling Using System Dynamics with Seasonal and Educational Considerations
Abstract
1. Introduction
2. Methodology
2.1. Causal Loop of the SD Model
2.2. Stock-Flow Diagram and SD Model
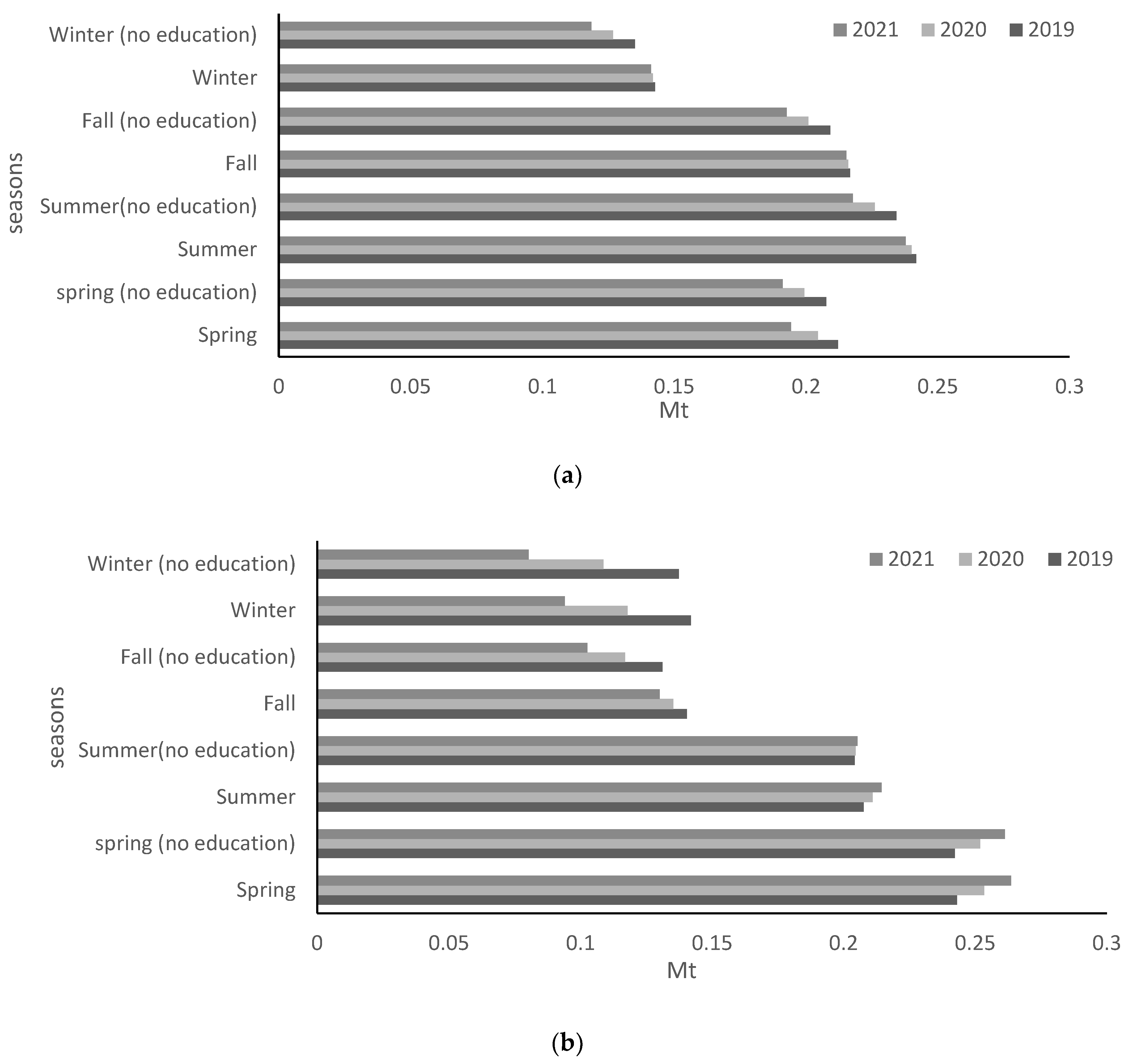
3. Results and Discussion
4. Model Validation and Simulation Scenarios
5. Conclusions
Author Contributions
Funding
Institutional Review Board Statement
Informed Consent Statement
Data Availability Statement
Acknowledgments
Conflicts of Interest
Appendix A
| References | Description | Factor | Location |
|---|---|---|---|
| Wang et al. [8] | Developed five different SD models to investigate the effect of separated food waste rates and socioeconomic benefits on the amount of greenhouse emissions and saving lands. | Socioeconomic benefit factors, anaerobic digestion factor | Tianjin, China |
| Dianati et al. [11] | Estimates the greenhouse gas (GHG) and PM2.5 in Kisumu, Kenya. | Waste collection, Biogas, Scattered waste | Kisumu, Kenya |
| Dhanshyam et al. [1] | The focus of this paper is about plastic waste generation and the objective is to use the effect of the policies on the amount of plastic waste generation. | Waste to energy, Illegal and legal production, Packaging factor, Recycling factor GDP | India |
| Lu et al. [2] | Investigates the waste generation processes using economic variables | GHG, GDP, Population, MSW landfilling, MSW composting, MSW incineration | Southern Tai Lake, China |
| Rafew et al. [12] | Estimates waste generation using SD model with considering social and economic factors. | Society concern, Composting Capacity, Landfill capacity, Required fund | Khulna, Bangladesh |
| Chica-Morales et al. [10] | Analyzed the amount of waste generation by using different policies such as education. | Education, Budget, Funds | Darkhan (Mongolia) |
| Xiao et al. [13] | Investigates the amount of unsorted and sorted MSW. | GDP, Population | Shanghai |
| Ding et al. [39] | Designed a SD model to reduce construction waste by using construction and design stage policies. | Waste reduction | China |
| Zulkipli et al. [40] | Used SD model for a waste generation without any specific policies. | Economic factor | Malaysia |

| Variable | Note | Value | Unit | Source |
|---|---|---|---|---|
| Population | Stock variable | 320,000 | person | https://www.canadapopulation.net/regina-population/ (accessed on 11 May 2023) |
| Input population | Flow, Population × (Immigrant rate + Birth rate) | |||
| Output population | Flow, Population × (Death rate + Emigrant rate) | |||
| GDP | Stock variable | 16,194 | $million | https://economicdevelopmentregina.com/economic-data/economic-report-card (accessed on 11 May 2023) |
| Input GDP | GDP rate × GDP lookup | |||
| Paper garbage | Stock variable | Spring: 0.13802; Summer: 0.1556; Fall: 0.14909; Winter: 0.14927 | Tonnes | Regina landfill data |
| Paper-packaging garbage | Stock variable | Spring: 0.0763; Summer: 0.08187; Fall: 0.06694; Winter: 0.0636 | Tonnes | Regina landfill data |
| Metal garbage | Stock variable | Spring: 0.04509; Summer: 0.04796; Fall: 0.03266; Winter: 0.03009 | Tonnes | Regina landfill data |
| Glass garbage | Stock variable | Spring: 0.03221; Summer: 0.04229; Fall: 0.02885; Winter: 0.02593 | Tonnes | Regina landfill data |
| Household hazardous garbage | Stock variable | Spring: 0.007; Summer: 0.02203; Fall: 0.0043; Winter: 0.00385 | Tonnes | Regina landfill data |
| Plastics garbage | Stock variable | Spring: 0.188781; Summer: 0.20636; Fall: 0.14044; Winter: 0.162402 | Tonnes | Regina landfill data |
| Yard garbage | Stock variable | Spring: 1.657984; Summer: 0.58898; Fall: 0.10094; Winter: 0.01885 | Tonnes | Regina landfill data |
| Food garbage | Stock variable | Spring: 0.6041; Summer: 0.82474; Fall: 0.5886; Winter: 0.62993 | Tonnes | Regina landfill data |
| Electronic garbage | Stock variable | Spring: 0.00251; Summer: 0.05565; Fall: 0.01632; Winter: 0.00236 | Tonnes | Regina landfill data |
| Recyclable paper waste | Stock variable | Spring: 0.21596; Summer: 0.24263; Fall: 0.2175; Winter: 0.14342 | Tonnes | Regina landfill data |
| Recyclable paper-packaging | Stock variable | Spring: 0.232652; Summer: 0.20411; Fall: 0.14556; Winter: 0.16609 | Tonnes | Regina landfill data |
| Recyclable metal waste | Stock variable | Spring: 0.01995; Summer: 0.02812; Fall: 0.0131; Winter: 0.01828 | Tonnes | Regina landfill data |
| Recyclable glass waste | Stock variable | Spring: 0.04276; Summer: 0.0443; Fall: 0.01788; Winter: 0.03665 | Tonnes | Regina landfill data |
| Recyclable Household hazardous waste | Stock variable | Spring: 0; Summer: 0.00012; Fall: 0.00097; Winter: 0.00117 | Tonnes | Regina landfill data |
| Recyclable plastics waste | Stock variable | Spring: 0.07862; Summer: 0.06768; Fall: 0.04978; Winter: 0.051017 | Tonnes | Regina landfill data |
| Recyclable yard waste | Stock variable | Spring: 0; Summer: 0; Fall: 0; Winter: 0 | Tonnes | Regina landfill data |
| Recyclable food waste | Stock variable | Spring: 0.00402; Summer: 0.00594; Fall: 0.01008; Winter: 0.01039 | Tonnes | Regina landfill data |
| Recyclable electronic waste | Stock variable | Spring: 0; Summer: 0.00332; Fall: 0; Winter: 0 | Tonnes | Regina landfill data |
| Rates | Auxiliary variable | Calculated from the Regina landfill data | Regina landfill data |
References
- Dhanshyam, M.; Srivastava, S.K. Effective policy mix for plastic waste mitigation in India using System Dynamics. Resour. Conserv. Recycl. 2021, 168, 105455. [Google Scholar] [CrossRef]
- Lu, D.; Iqbal, A.; Zan, F.; Liu, X.; Chen, G. Life-Cycle-Based Greenhouse Gas, Energy, and Economic Analysis of Municipal Solid Waste Management Using System Dynamics Model. Sustainability 2021, 13, 1641. [Google Scholar] [CrossRef]
- Global Waste Generation. 2018. Available online: https://www.wastedive.com/news/world-bank-global-waste-generation-2050/533031/ (accessed on 31 December 2021).
- Chowdhury, A.; Vu, H.L.; Ng, K.T.W.; Richter, A.; Bruce, N. An Investigation on Ontario’s Non-hazardous Municipal Solid Waste Diversion using Trend Analysis. Can. J. Civ. Eng. 2017, 44, 861–870. [Google Scholar] [CrossRef]
- Vu, H.L.; Ng, K.T.W.; Bolingbroke, D. Time-lagged effects of Weekly Climatic and Socio-economic Factors on ANN Municipal Yard Waste Prediction Models. Waste Manag. 2019, 84, 129–140. [Google Scholar] [CrossRef] [PubMed]
- Cubillos, M.; Wulff, J.N.; Wøhlk, S. A multilevel Bayesian framework for predicting municipal waste generation rates. Waste Manag. 2021, 127, 90–100. [Google Scholar] [CrossRef] [PubMed]
- Zhang, C.; Dong, H.; Geng, Y.; Liang, H.; Liu, X. Machine learning based prediction for China’s municipal solid waste under the shared socioeconomic pathways. J. Environ. Manag. 2022, 312, 114918. [Google Scholar] [CrossRef] [PubMed]
- Wang, W.J.; You, X.Y. Benefits analysis of classification of municipal solid waste based on system dynamics. J. Clean. Prod. 2021, 279, 123686. [Google Scholar] [CrossRef]
- Pinha, A.C.H.; Sagawa, J.K. A system dynamics modelling approach for municipal solid waste management and financial analysis. J. Clean. Prod. 2020, 269, 122350. [Google Scholar] [CrossRef]
- Chica-Morales, P.; Muñoz, V.F.; Domenech, A.J. System Dynamics as ex Ante Impact Assessment Tool in International Development Cooperation: Study Case of Urban Sustainability Policies in Darkhan, Mongolia. Sustainability 2021, 13, 4595. [Google Scholar] [CrossRef]
- Dianati, K.; Schäfer, L.; Milner, J.; Gómez-Sanabria, A.; Gitau, H.; Hale, J.; Langmaack, H.; Kiesewetter, G.; Muindi, K.; Mberu, B.; et al. A system dynamics-based scenario analysis of residential solid waste management in Kisumu, Kenya. Sci. Total Environ. 2021, 777, 146200. [Google Scholar] [CrossRef]
- Rafew, S.M.; Rafizul, I.M. Application of system dynamics model for municipal solid waste management in Khulna city of Bangladesh. Waste Manag. 2021, 129, 1–19. [Google Scholar] [CrossRef]
- Xiao, S.; Dong, H.; Geng, Y.; Tian, X.; Liu, C.; Li, H. Policy impacts on Municipal Solid Waste management in Shanghai: A system dynamics model analysis. J. Clean. Prod. 2020, 262, 121366. [Google Scholar] [CrossRef]
- Lakhan, C. Exploring the relationship between municipal promotion and education investments and recycling rate performance in Ontario, Canada. Resour. Conserv. Recycl. 2014, 92, 222–229. [Google Scholar] [CrossRef]
- Liu, X.; Wang, Z.; Li, W.; Li, G.; Zhang, Y. Mechanisms of public education influencing waste classification willingness of urban residents. Resour. Conserv. Recycl. 2019, 149, 381–390. [Google Scholar] [CrossRef]
- Regina Waste Plan. 2020. Available online: http://www.regina.ca/export/sites/Regina.ca/home-property/recycling-garbage/.galleries/pdfs/waste-plan-regina-update.pdf (accessed on 16 November 2021).
- Richter, A.; Ng, K.T.W.; Vu, H.L.; Kabir, G. Waste disposal characteristics and data variability in a mid-sized Canadian city during COVID-19. Waste Manag. 2021, 122, 49–54. [Google Scholar] [CrossRef]
- Vu, H.L.; Ng, K.T.W.; Richter, A.; Kabir, G. The use of a Recurrent Neural Network model with separated time-series and lagged daily inputs for waste disposal rates modeling during COVID-19. Sustain. Cities Soc. 2021, 75, 103339. [Google Scholar] [CrossRef] [PubMed]
- Richter, A.; Ng, K.T.W.; Vu, H.L.; Kabir, G. Identification of behaviour patterns in waste collection and disposal during the first wave of COVID-19 in Regina, Saskatchewan, Canada. J. Environ. Manag. 2021, 290, 112663. [Google Scholar] [CrossRef]
- Vu, H.L.; Ng, K.T.W.; Richter, A.; Karimi, N.; Kabir, G. Modeling of municipal waste disposal rates during COVID-19 using separated waste fraction models. Sci. Total Environ. 2021, 789, 148024. [Google Scholar] [CrossRef]
- Edjabou, M.E.; Boldrin, A.; Astrup, T.F. Compositional analysis of seasonal variation in Danish residual household waste Resources. Conserv. Recycl. 2018, 130, 70–79. [Google Scholar] [CrossRef]
- Li, Z.; Zhou, H.; Zheng, L.; Wang, H.; Chen, T.; Liu, Y. Seasonal changes in bulk density-based waste identification and its dominant controlling subcomponents in food waste. Resour. Conserv. Recycl. 2021, 168, 105244. [Google Scholar] [CrossRef]
- Pan, C.; Bolingbroke, D.; Ng, K.T.W.; Richter, A.; Vu, H.L. The Use of Waste Diversion Indices on the Analysis of Canadian Waste Management Models. J. Mater. Cycles Waste Manag. 2019, 21, 478–487. [Google Scholar] [CrossRef]
- Bolingbroke, D.; Ng, K.T.W.; Vu, H.L.; Richter, A. Quantification of solid waste management system efficiency using input-output indices. J. Mater. Cycles Waste Manag. 2021, 23, 1015–1025. [Google Scholar] [CrossRef]
- Vu, H.L.; Ng, K.T.W.; Richter, A. Optimization of First Order Decay Gas Generation Model Parameters for Landfills located in Cold Semi-arid Climates. Waste Manag. 2017, 69, 315–324. [Google Scholar] [CrossRef] [PubMed]
- Bruce, N.; Ng, K.T.W.; Vu, H.L. Use of Seasonal Parameters and their Effects on FOD Landfill Gas Modeling. Environ. Monit. Assess. 2018, 190, 291. [Google Scholar] [CrossRef] [PubMed]
- Karimi, N.; Ng, K.T.W.; Richter, A. Prediction of fugitive landfill gas hotspots using a random forest algorithm and Sentinel-2 data. Sustain. Cities Soc. 2021, 73, 103097. [Google Scholar] [CrossRef]
- Fallah, B.; Richter, A.; Ng, K.T.W.; Salama, A. Effects of groundwater metal contaminant spatial distribution on overlaying kriged maps. Environ. Sci. Pollut. Res. 2019, 26, 22945–22957. [Google Scholar] [CrossRef]
- Pan, C.; Ng, K.T.W.; Richter, A. An Integrated Multivariate Statistical Approach for the Evaluation of Spatial Variations in Groundwater Quality near an Unlined Landfill. Environ. Sci. Pollut. Res. 2019, 26, 5724–5737. [Google Scholar] [CrossRef]
- Regina Population. 2021. Available online: https://www.canadapopulation.net/regina-population (accessed on 16 November 2021).
- Forrester, J.W. Lessons from system dynamics modeling. Syst. Dyn. Rev. 1987, 3, 136–149. [Google Scholar] [CrossRef]
- Education & Resources. 2021. Available online: https://www.regina.ca/home-property/recycling-garbage/education-resources/ (accessed on 21 November 2021).
- Regina Food and Yard Waste. 2021. Available online: https://www.regina.ca/home-property/recycling-garbage/food-yard-waste/ (accessed on 16 November 2021).
- Wang, Z.; Guy, C.; Ng, K.T.W.; An, C. A new challenge for the management and disposal of personal protective equipment waste during the COVID-19 pandemic. Sustainability 2021, 13, 7034. [Google Scholar] [CrossRef]
- Tutton, C.G.; Young, S.B.; Habib, K. Pre-processing of e-waste in Canada: Case of a facility responding to changing material composition. Resour. Environ. Sustain. 2022, 9, 100069. [Google Scholar] [CrossRef]
- Pérez-Belis, V.; Bovea, M.D.; Simó, A. Consumer behaviour and environmental education in the field of waste electrical and electronic toys: A Spanish case study. Waste Manag. 2015, 36, 277–288. [Google Scholar] [CrossRef] [PubMed]
- Maddox, P.; Doran, C.; Williams, I.D.; Kus, M. The role of intergenerational influence in waste education programmes: The THAW project. Waste Manag. 2011, 31, 2590–2600. [Google Scholar] [CrossRef] [PubMed]
- Halkos, G.; Petrou, K.N. The relationship between MSW and education: WKC evidence from 25 OECD countries. Waste Manag. 2020, 114, 240–252. [Google Scholar] [CrossRef]
- Ding, Z.; Zhu, M.; Tam, V.W.; Yi, G.; Tran, C.N. A system dynamics-based environmental benefit assessment model of construction waste reduction management at the design and construction stages. J. Clean. Prod. 2018, 176, 676–692. [Google Scholar] [CrossRef]
- Zulkipli, F.; Nopiah, Z.M.; Basri, N.E.A.; Kie, C.J. Stock flow diagram analysis on solid waste management in Malaysia. In AIP Conference Proceedings; AIP Publishing LLC: New York, NY, USA, 2016; Volume 1782, p. 040023. [Google Scholar]











Disclaimer/Publisher’s Note: The statements, opinions and data contained in all publications are solely those of the individual author(s) and contributor(s) and not of MDPI and/or the editor(s). MDPI and/or the editor(s) disclaim responsibility for any injury to people or property resulting from any ideas, methods, instructions or products referred to in the content. |
© 2023 by the authors. Licensee MDPI, Basel, Switzerland. This article is an open access article distributed under the terms and conditions of the Creative Commons Attribution (CC BY) license (https://creativecommons.org/licenses/by/4.0/).
Share and Cite
Eslami, S.; Kabir, G.; Ng, K.T.W. Waste Generation Modeling Using System Dynamics with Seasonal and Educational Considerations. Sustainability 2023, 15, 9995. https://doi.org/10.3390/su15139995
Eslami S, Kabir G, Ng KTW. Waste Generation Modeling Using System Dynamics with Seasonal and Educational Considerations. Sustainability. 2023; 15(13):9995. https://doi.org/10.3390/su15139995
Chicago/Turabian StyleEslami, Sanaalsadat, Golam Kabir, and Kelvin Tsun Wai Ng. 2023. "Waste Generation Modeling Using System Dynamics with Seasonal and Educational Considerations" Sustainability 15, no. 13: 9995. https://doi.org/10.3390/su15139995
APA StyleEslami, S., Kabir, G., & Ng, K. T. W. (2023). Waste Generation Modeling Using System Dynamics with Seasonal and Educational Considerations. Sustainability, 15(13), 9995. https://doi.org/10.3390/su15139995

