A Combined Clustering and Trends Analysis Approach for Characterizing Reference Evapotranspiration in Veneto
Abstract
1. Introduction
2. Materials and Methods
2.1. Study Area
2.2. Reference Evapotranspiration and Its Computation for the Monitored Stations
2.3. Clustering
2.4. Trends Analysis Methods
- Time series are ordered from the start to the end date of observation.
- Then, time series are divided into two subseries, with the same number of samples, and each one is reordered from the lower to the higher value.
- Finally, the first part of the data (y1) is located on the x axis and the second part on the y axis (y2) of a Cartesian coordinate system.
2.5. Modeling Procedure
- Starting from the time series of the climate variables Tmin, Tmean, Tmax, RHmin, RHmax, Rs, and u5, the PM equation (Equation (1)) was used to calculate the daily ETo for each of the 49 stations located in the Veneto region;
- The statistical parameters related to both ETo and climate variables were computed for each station;
- The K-means clustering was employed to identify homogenous regions based on the statistical parameters obtained in step 2;
- The mean time series of ETo, P and climate variables were computed for each cluster;
- The seasonal MK test and ITA method were applied to the ETo, P and climate variables’ time series computed for each cluster (step 4) to assess the trends on a monthly scale.
3. Results
3.1. Clustering
- Cluster C1 covers the southern area of the Veneto, including the delta of the Po River, on the border with the Emilia-Romagna region. The area is below the mean sea level (mean altitude equal to −1.20 m.a.s.l.), and is characterized by wetlands, forest, dunes, salt pans, and high biodiversity [34];
- Cluster C2 is located to the west of cluster C1, and encompasses a portion of the Po Valley characterized by intensive agricultural activity. The main differences between clusters C1 and C2 can be attributed to their distance from the sea. Cluster C1 exhibits higher wind speed, lower maximum temperature, and slightly higher and lower values of the ETomean and of the ETomax, respectively. Cluster C2 had the highest value of maximum temperature among all clusters, reaching Tmax = 39.06 °C;
- Cluster C3 mainly includes the Venetian Lagoon which consists of mud flats, tidal shallows, and salt marshes, with only a small percentage represented by land [35,36]. Due to its proximity to the Adriatic Sea, cluster C3 is affected by the mitigating effect of the sea, resulting in lower values of Tmax and ETo compared to Cluster C1.
- Cluster C4 is located to the west of cluster C3 and characterized by a moderately continental climate. It covers a low-plain area subject to intensive agricultural activity, exhibiting similar characteristics to Cluster C2 but with greater windiness due to the Bora winds from the north-east. Cluster C4 has the highest ETomean among all clusters, equal to 2.36 mm/day.
- Cluster C5 is situated at the western border of Veneto with the Lombardy and Trentino-Alto Adige regions, including a partially mountainous area mitigated by the presence of Lake Garda. This led to the highest mean and maximum Tmean values among all clusters, as well as to the highest value of ETomax;
- Cluster C6 is located at the border with the Friuli-Venezia Giulia region, to the north-east of the Venice Lagoon, close to the Adriatic Sea. It is an area characterized by a a very low average altitude, equal to 0.33 m, with even stronger winds compared to the Venetian Lagoon (C3), as it is more exposed to the Bora wind from the north-east. Furthermore, compared to cluster C3, both the mean and maximum values of ETo were higher;
- Cluster C7 is located to the north of cluster C4, in a transition area between the low and flat plains and the mountainous area to the north. However, the mean altitude is still relatively low and equal to 92.33 m above sea level. However, the values of temperature and ETo were slightly lower than those observed in the coastal clusters. Additionally, C7 exhibited the lowest value of the maximum Rs;
- Cluster C8 is located to the east with respect to cluster C7, at the border with the Friuli-Venezia Giulia region. Although it has similar characteristics to C7, it showed higher Rs and ETo values;
- Cluster C9 encompasses a large portion of the Northern Veneto, bordering on the west, north, and east with the Trentino-Alto Adige, Austria and Friuli-Venezia Giulia, respectively. It represents the mountainous region of Veneto, including the Venetian Prealps and the Eastern Dolomites, with an average altitude of 1281.93 m above sea level. Consequently, the minimum, mean, and maximum temperatures were significantly lower compared the rest of Veneto, resulting in lower values of ETo as well.
| Input Variables | Number of Clusters | ||||||||||
|---|---|---|---|---|---|---|---|---|---|---|---|
| 2 | 3 | 4 | 5 | 6 | 7 | 8 | 9 | 10 | 11 | 12 | |
| ETomean, ETomax, Tmin, Tmean, Tmax, Rs,min, Rs,mean, Rs,max, Vmin, Vmean, Vmax | 0.453 | 0.441 | 0.439 | 0.427 | 0.43 | 0.465 | 0.472 | 0.478 | 0.476 | 0.453 | 0.451 |
| ETomean, ETomax, Tmin, Tmean, Tmax, Rs,min, Rs,mean, Rs,max | 0.45 | 0.435 | 0.432 | 0.414 | 0.412 | 0.439 | 0.45 | 0.461 | 0.463 | 0.458 | 0.444 |
| ETomean, ETomax | 0.457 | 0.448 | 0.438 | 0.424 | 0.426 | 0.445 | 0.458 | 0.470 | 0.468 | 0.461 | 0.448 |
| C | Tmin (°C) | Tmean (°C) | Tmax (°C) | Altitude | ||||||
|---|---|---|---|---|---|---|---|---|---|---|
| Min | Mean | Max | Min | Mean | Max | Min | Mean | Max | (m.a.s.l.) | |
| C1 | −11.66 | 9.39 | 24.52 | −4.94 | 14.03 | 30.26 | −2.02 | 18.94 | 37.86 | −1.2 |
| C2 | −12.38 | 8.91 | 24.76 | −6.2 | 13.86 | 30.72 | −2.4 | 19.3 | 39.06 | 12.2 |
| C3 | −8.65 | 10.03 | 26.28 | −3.88 | 14.15 | 30.68 | −1.45 | 18.45 | 36.75 | 6.5 |
| C4 | −10.32 | 8.88 | 25.44 | −4.9 | 13.87 | 30.96 | −2.14 | 19.24 | 38.7 | 39.4 |
| C5 | −10.18 | 9.13 | 25.48 | −5.56 | 13.95 | 31.14 | −2.02 | 19.34 | 38.22 | 105.6 |
| C6 | −11.13 | 9.08 | 24 | −4.37 | 13.76 | 29.97 | −1.63 | 18.73 | 37.7 | 0.33 |
| C7 | −10.43 | 9.03 | 24.57 | −4.9 | 13.77 | 30.43 | −2.1 | 19.05 | 38 | 92.33 |
| C8 | −9.87 | 9.2 | 25.47 | −4.7 | 13.83 | 30.8 | −1.5 | 18.86 | 37.83 | 99.67 |
| C9 | −18.45 | 2.4 | 17.31 | −13.7 | 6.56 | 23.77 | −9.94 | 11.68 | 30.85 | 1281.93 |
| C | Rs,min | Rs,mean | Rs,max | ETomean | ETomax | Vmin | Vmean | Vmax | Pmean | Pmax |
| (MJ/m2day) | (MJ/m2day) | (MJ/m2day) | (mm/day) | (mm/day) | (m/s) | (m/s) | (m/s) | (mm) | (mm) | |
| C1 | 0.4 | 14.11 | 31.78 | 2.31 | 6.61 | 0.26 | 2.19 | 14.42 | 1.92 | 67.08 |
| C2 | 0.19 | 14.04 | 31.4 | 2.3 | 6.34 | 0.04 | 1.18 | 7.22 | 2.08 | 65.72 |
| C3 | 0.17 | 14.06 | 31.9 | 2.17 | 6.07 | 0.13 | 1.5 | 7.9 | 2.47 | 67.45 |
| C4 | 0.15 | 13.97 | 31.55 | 2.36 | 6.48 | 0.1 | 1.57 | 8.42 | 2.51 | 77.65 |
| C5 | 0.09 | 13.56 | 31.12 | 2.32 | 6.67 | 0 | 1.05 | 5.16 | 2.6 | 84.16 |
| C6 | 0.08 | 14.07 | 31.66 | 2.26 | 6.52 | 0.23 | 1.87 | 9.57 | 2.88 | 99.13 |
| C7 | 0.13 | 13.37 | 30.5 | 2.17 | 6.06 | 0.03 | 1.01 | 5.3 | 3.35 | 104.53 |
| C8 | 0.06 | 13.29 | 30.9 | 2.19 | 6.21 | 0.13 | 1.08 | 4.93 | 3.74 | 143.27 |
| C9 | 0.02 | 12.25 | 31.7 | 1.88 | 6.01 | 0.04 | 1.39 | 6.11 | 4.05 | 114.67 |


3.2. ETo and Precipitation Trends Analysis




| Correlation Matrix | ITA | MK | ||||||||
|---|---|---|---|---|---|---|---|---|---|---|
| ETo | P | ETo | P | |||||||
| D | D | Z | β | p | Z | β | p | |||
| ITA | ETo | D | 1.000 | 0.192 | 0.871 | 0.834 | 0.126 | 0.278 | 0.290 | 0.138 |
| P | D | 0.192 | 1.000 | 0.189 | 0.270 | 0.215 | 0.720 | 0.720 | 0.703 | |
| MK | ETo | Z | 0.871 | 0.189 | 1.000 | 0.980 | 0.073 | 0.245 | 0.313 | 0.063 |
| β | 0.834 | 0.270 | 0.980 | 1.000 | 0.131 | 0.239 | 0.341 | 0.073 | ||
| p | 0.126 | 0.215 | 0.073 | 0.131 | 1.000 | 0.408 | 0.613 | 0.386 | ||
| P | Z | 0.278 | 0.720 | 0.245 | 0.239 | 0.408 | 1.000 | 0.862 | 0.967 | |
| β | 0.290 | 0.720 | 0.313 | 0.341 | 0.613 | 0.862 | 1.000 | 0.837 | ||
| p | 0.138 | 0.703 | 0.063 | 0.073 | 0.386 | 0.967 | 0.837 | 1.000 | ||
3.3. Climate Variables Trends Analysis
| C1 | C2 | C3 | C4 | C5 | C6 | C7 | C8 | C9 | ||
|---|---|---|---|---|---|---|---|---|---|---|
| D | ETo | −0.349 | −0.503 | 0.011 | 0.111 | −0.048 | −0.649 | −0.439 | 0.230 | 0.104 |
| P | 0.438 | 0.438 | 0.245 | 0.230 | 0.535 | 0.416 | 0.121 | 0.614 | 0.314 | |
| Tmin | −0.455 | −0.413 | 0.042 | 0.028 | 0.121 | −0.077 | −0.712 | −0.045 | 0.633 | |
| Tmean | −0.172 | −0.023 | 0.166 | 0.143 | 0.213 | 0.111 | −0.391 | 0.076 | 0.335 | |
| Tmax | −0.023 | 0.127 | 0.208 | 0.219 | 0.231 | 0.196 | −0.253 | 0.087 | 0.343 | |
| RHmin | 0.112 | 0.280 | 0.140 | −0.081 | 0.126 | 0.378 | −0.116 | −0.234 | 0.339 | |
| RHmax | 0.142 | 0.255 | 0.091 | 0.108 | 0.170 | 0.194 | 0.155 | 0.135 | 0.188 | |
| Rs | 0.300 | 0.248 | 0.273 | 0.389 | 0.370 | 0.102 | 0.363 | 0.482 | 0.265 | |
| u5 | −0.607 | 0.148 | −0.391 | −1.867 | 1.057 | −0.636 | 3.541 | 0.842 | 0.424 | |
| Z | ETo | −0.775 | −0.775 | 1.162 | 1.201 | 0.620 | −0.814 | −1.550 | 0.504 | 1.007 |
| P | −0.620 | −1.821 | −1.201 | −1.434 | −1.279 | −1.201 | −1.744 | −1.046 | −1.124 | |
| Tmin | −0.814 | −0.310 | 0.232 | −0.058 | 0.814 | 0.194 | −1.007 | 0.349 | 0.852 | |
| Tmean | −0.155 | 1.162 | 1.511 | 0.697 | 0.930 | 1.162 | −0.465 | 0.775 | 1.046 | |
| Tmax | 0.969 | 1.317 | 1.821 | 1.201 | 1.240 | 1.434 | −0.310 | 0.620 | 1.395 | |
| RHmin | 1.007 | 1.085 | 1.472 | −0.659 | 1.124 | 2.054 | −0.213 | 0.039 | 1.976 | |
| RHmax | 5.657 | 4.921 | 3.159 | 3.565 | 3.217 | 5.347 | 3.973 | 3.526 | 3.565 | |
| Rs | 2.674 | 2.325 | 2.364 | 2.945 | 2.480 | 1.472 | 2.674 | 2.984 | 1.627 | |
| u5 | −2.441 | 0.078 | −0.891 | −2.441 | 3.275 | −3.487 | −0.426 | 1.937 | 0.969 | |
| β (%) | ETo | −0.91 | −0.73 | 0.94 | 1.34 | 0.87 | −1.16 | −2.21 | 0.30 | 1.47 |
| P | −6.93 | −15.91 | −14.41 | −12.15 | −13.67 | −12.00 | −21.23 | −9.50 | −12.85 | |
| Tmin | −0.22 | −0.08 | 0.06 | −0.03 | 0.24 | 0.05 | −0.30 | 0.08 | 0.23 | |
| Tmean | −0.05 | 0.35 | 0.36 | 0.22 | 0.44 | 0.40 | −0.22 | 0.14 | 0.31 | |
| Tmax | 0.38 | 0.60 | 0.59 | 0.54 | 0.52 | 0.54 | −0.20 | 0.23 | 0.58 | |
| RHmin | 1.29 | 1.59 | 1.08 | −0.89 | 1.68 | 2.63 | −0.15 | 0.06 | 3.52 | |
| RHmax | 1.52 | 1.89 | 1.19 | 1.34 | 2.11 | 2.06 | 1.86 | 2.02 | 2.02 | |
| Rs | 0.55 | 0.55 | 0.56 | 0.65 | 0.68 | 0.39 | 0.68 | 0.76 | 0.35 | |
| u5 | −0.14 | 0.00 | −0.03 | −0.10 | 0.08 | −0.18 | −0.01 | 0.05 | 0.03 | |
| p | ETo | 0.438 | 0.438 | 0.245 | 0.230 | 0.535 | 0.416 | 0.121 | 0.614 | 0.314 |
| P | 0.535 | 0.069 | 0.230 | 0.152 | 0.201 | 0.230 | 0.081 | 0.295 | 0.261 | |
| Tmin | 0.416 | 0.757 | 0.816 | 0.954 | 0.416 | 0.846 | 0.314 | 0.727 | 0.394 | |
| Tmean | 0.877 | 0.245 | 0.131 | 0.485 | 0.352 | 0.245 | 0.642 | 0.438 | 0.295 | |
| Tmax | 0.333 | 0.188 | 0.069 | 0.230 | 0.215 | 0.152 | 0.757 | 0.535 | 0.163 | |
| RHmin | 0.314 | 0.278 | 0.141 | 0.510 | 0.261 | 0.040 | 0.831 | 0.969 | 0.048 | |
| RHmax | <0.001 | <0.001 | 0.002 | <0.001 | 0.001 | <0.001 | <0.001 | <0.001 | <0.001 | |
| Rs | 0.008 | 0.020 | 0.018 | 0.003 | 0.013 | 0.141 | 0.008 | 0.003 | 0.104 | |
| u5 | 0.015 | 0.938 | 0.373 | 0.015 | 0.001 | <0.001 | 0.670 | 0.053 | 0.333 | |
| Correlation Matrix | D | Z | β (%) | p | |||||
|---|---|---|---|---|---|---|---|---|---|
| ETo | P | ETo | P | ETo | P | ETo | P | ||
| D | Tmin | 0.637 | 0.165 | 0.818 | 0.298 | 0.860 | 0.309 | 0.165 | 0.100 |
| Tmean | 0.556 | 0.298 | 0.828 | 0.232 | 0.869 | 0.355 | 0.298 | 0.034 | |
| Tmax | 0.432 | 0.271 | 0.764 | 0.195 | 0.826 | 0.368 | 0.271 | 0.025 | |
| RHmin | −0.456 | 0.035 | −0.071 | 0.037 | 0.037 | 0.037 | 0.035 | 0.026 | |
| RHmax | −0.571 | 0.288 | −0.487 | −0.398 | −0.341 | −0.219 | 0.288 | −0.312 | |
| Rs | 0.684 | 0.149 | 0.305 | 0.013 | 0.259 | 0.043 | 0.149 | 0.008 | |
| u5 | −0.157 | −0.148 | −0.474 | −0.379 | −0.494 | −0.662 | −0.148 | −0.328 | |
| Z | Tmin | 0.561 | 0.408 | 0.739 | 0.188 | 0.774 | 0.236 | 0.408 | −0.025 |
| Tmean | 0.238 | 0.270 | 0.591 | −0.055 | 0.597 | 0.125 | 0.270 | −0.212 | |
| Tmax | 0.151 | 0.204 | 0.578 | 0.253 | 0.617 | 0.395 | 0.204 | 0.148 | |
| RHmin | −0.284 | 0.219 | 0.019 | 0.299 | 0.087 | 0.171 | 0.219 | 0.246 | |
| RHmax | −0.795 | 0.156 | −0.729 | 0.192 | −0.664 | 0.286 | 0.156 | 0.356 | |
| Rs | 0.389 | 0.045 | 0.081 | −0.032 | 0.015 | 0.063 | 0.045 | 0.041 | |
| u5 | 0.496 | 0.432 | 0.302 | −0.124 | 0.345 | −0.165 | 0.432 | −0.183 | |
| β (%) | Tmin | 0.536 | 0.431 | 0.727 | 0.197 | 0.768 | 0.249 | 0.431 | −0.009 |
| Tmean | 0.145 | 0.365 | 0.536 | −0.036 | 0.585 | 0.163 | 0.365 | −0.189 | |
| Tmax | 0.152 | 0.281 | 0.561 | 0.196 | 0.638 | 0.429 | 0.281 | 0.109 | |
| RHmin | −0.239 | 0.237 | −0.003 | 0.247 | 0.107 | 0.143 | 0.237 | 0.204 | |
| RHmax | −0.201 | 0.507 | −0.310 | −0.132 | −0.221 | −0.106 | 0.507 | −0.162 | |
| Rs | 0.338 | 0.166 | 0.028 | −0.179 | −0.053 | −0.114 | 0.166 | −0.153 | |
| u5 | 0.526 | 0.241 | 0.325 | −0.275 | 0.352 | −0.323 | 0.241 | −0.327 | |
| p | Tmin | 0.083 | 0.052 | 0.334 | −0.137 | 0.265 | 0.208 | 0.052 | −0.222 |
| Tmean | −0.117 | −0.058 | −0.432 | 0.344 | −0.419 | 0.245 | −0.058 | 0.502 | |
| Tmax | −0.065 | −0.131 | −0.520 | −0.180 | −0.577 | −0.322 | −0.131 | −0.087 | |
| RHmin | 0.250 | 0.036 | −0.189 | −0.184 | −0.273 | −0.152 | 0.036 | −0.135 | |
| RHmax | 0.270 | −0.103 | 0.467 | 0.069 | 0.381 | −0.129 | −0.103 | −0.030 | |
| Rs | −0.329 | 0.001 | −0.072 | 0.122 | −0.027 | 0.073 | 0.001 | 0.025 | |
| u5 | −0.356 | −0.374 | −0.391 | −0.731 | −0.361 | −0.724 | −0.374 | −0.604 | |
4. Discussion
- The clustering procedure divided Veneto into nine clusters. Clusters C1, C3, and C6 cover the coastal area, ranging from the Po Delta (C1) to the Venetian Lagoon (C3) and bordering Friuli-Venezia Giulia (C6). Clusters C2, C4, C5, C7, and C8 encompass the flat area, extending from the Po Valley (C2), to the Garda Lake in the west (C5) and the foothills area bordering Friuli-Venezia Giulia in the east (C8). Lastly, cluster C9 covers the northern mountainous portion of Veneto, encompassing the Venetian Prealps and the Eastern Dolomites.
- Each cluster exhibited distinct values of the analyzed climate variables. For instance, the coastal cluster C1 displayed higher wind velocity, while C2 and C5 had the highest values of Tmax and ETo, respectively. Conversely, the mountainous cluster C9 exhibited the lowest values of temperature and ETo. Additionally, the mean daily precipitation increased from cluster C1 to C9, with higher rainfall in the northeastern part of Veneto, spanning clusters C7–C9.
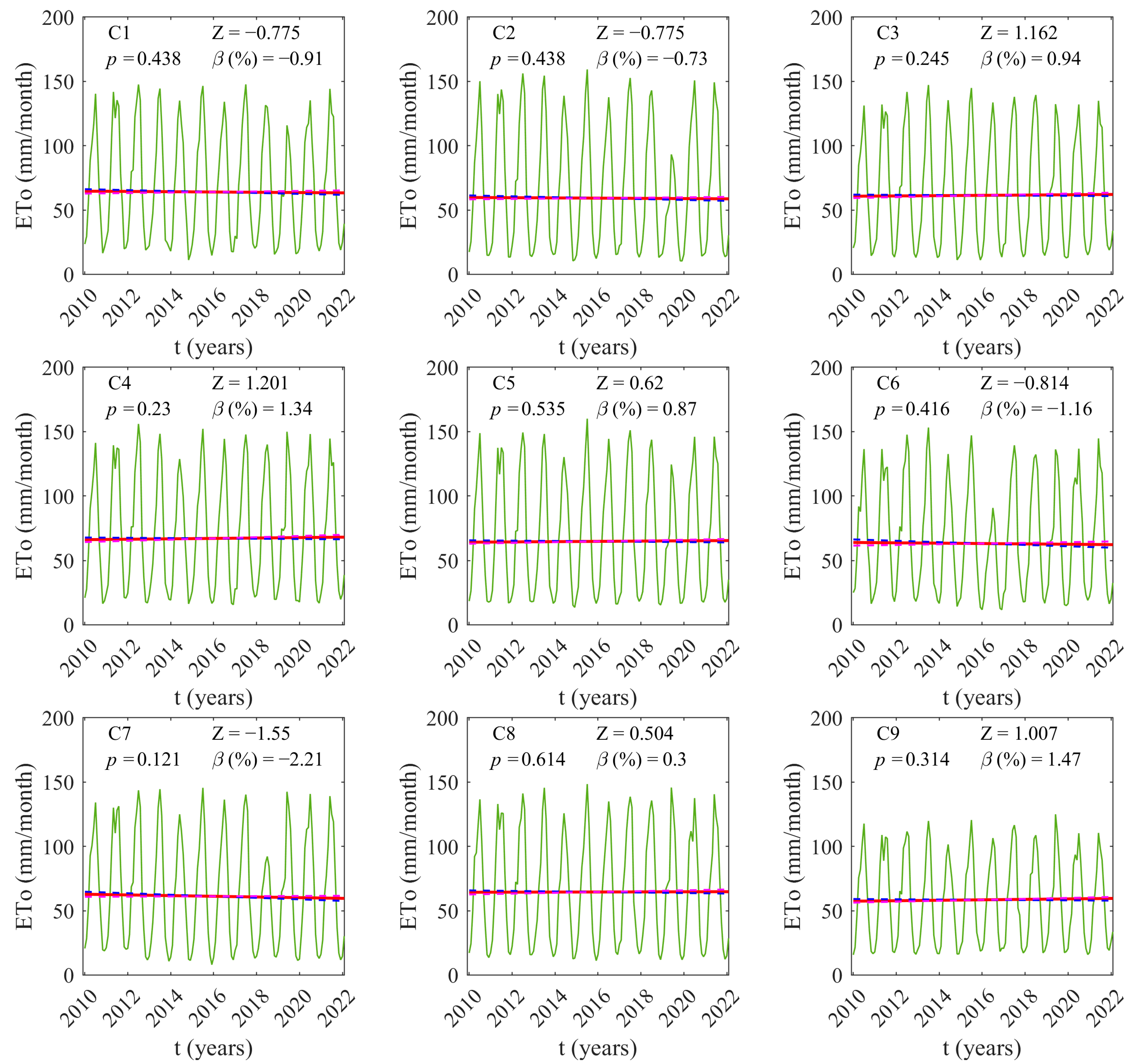
- According to the MK test, ETo trends are decreasing for the coastal clusters C1 and C6, but also for C2, near the Po River, and the foothill cluster C7. In contrast, increasing trends were observed for the coastal cluster C3, which include the Venice Lagoon, and for the inland cluster C4, C5, C8, and C9. Precipitation exhibited negative trends for all clusters, with the more marked decreasing trends observed for C2 and C7, in agreement with what was observed for ETo.
- Conversely, the ITA method indicated positive ETo trends for clusters C3, C4, C8, and C9, in agreement with what was observed with the MK test. In addition, both methods agreed on decreasing trends in precipitation for all clusters. Moreover, the ITA method revealed more pronounced trends for intermediate and high values of ETo and precipitation, while no relevant trends were observed for the low values of both variables.
- The climate parameters Tmax, RHmax, and Rs exhibited increasing trends for all clusters, suggesting a gradual warming of the Veneto region. This warming trend significantly impacts evapotranspiration and, consequently, will have deep implications for the future management of water resources for different purposes.
5. Conclusions
Author Contributions
Funding
Institutional Review Board Statement
Informed Consent Statement
Data Availability Statement
Conflicts of Interest
References
- Granata, F. Evapotranspiration evaluation models based on machine learning algorithms—A comparative study. Agric. Water Manag. 2019, 217, 303–315. [Google Scholar] [CrossRef]
- Allen, R.G.; Pereira, L.S.; Raes, D.; Smith, M. Crop Evapotranspiration: Guidelines for Computing Crop Water Requirements; Food and Agriculture Organization of the United Nations: Rome, Italy, 1998. [Google Scholar]
- Xing, W.; Wang, W.; Shao, Q.; Yu, Z.; Yang, T.; Fu, J. Periodic fluctuation of reference evapotranspiration during the past five decades: Does evaporation paradox really exist in China. Sci. Rep. 2016, 6, 39503. [Google Scholar] [CrossRef] [PubMed]
- Masanta, S.K.; Vemavarapu, S.V. Regionalization of evapotranspiration using fuzzy dynamic clustering approach. Part 1: Formation of regions in India. Int. J. Climatol. 2020, 40, 3514–3530. [Google Scholar] [CrossRef]
- Chen, Z.; Zhu, Z.; Jiang, H.; Sun, S. Estimating daily reference evapotranspiration based on limited meteorological data using deep learning and classical machine learning methods. J. Hydrol. 2020, 591, 125286. [Google Scholar] [CrossRef]
- Mann, H.B. Nonparametric tests against trend. Econometrica 1945, 13, 245–259. [Google Scholar] [CrossRef]
- Kendall, M.G. Rank Correlation Methods; Griffin: New York, NY, USA, 1948; p. 202. [Google Scholar]
- Sen, Z. Innovative trend analysis methodology. J. Hydrol. Eng. 2012, 17, 1042–1046. [Google Scholar] [CrossRef]
- Granata, F.; Di Nunno, F. Forecasting evapotranspiration in different climates using ensembles of recurrent neural networks. Agric. Water Manag. 2021, 255, 107040. [Google Scholar] [CrossRef]
- Chaouche, K.; Neppel, L.; Dieulin, C.; Pujol, N.; Ladouche, B.; Martin, E.; Salas, D.; Caballero, Y. Analyses of precipitation, temperature and evapotranspiration in a French Mediterranean region in the context of climate change. Comptes Rendus Geosci. 2010, 342, 234–243. [Google Scholar] [CrossRef]
- Aschale, T.M.; Peres, D.J.; Gullotta, A.; Sciuto, G.; Cancelliere, A. Trend Analysis and Identification of the Meteorological Factors Influencing Reference Evapotranspiration. Water 2023, 15, 470. [Google Scholar] [CrossRef]
- Di Nunno, F.; Granata, F. Future trends of reference evapotranspiration in Sicily based on CORDEX data and Machine Learning algorithms. Agric. Water Manag. 2023, 280, 108232. [Google Scholar] [CrossRef]
- Pandey, B.K.; Khare, D. Identification of trend in long term precipitation and reference evapotranspiration over Narmada River basin (India). Glob. Planet. Chang. 2018, 161, 172–182. [Google Scholar] [CrossRef]
- Jerin, J.N.; Islam, H.M.T.; Islam, A.R.M.T.; Shahid, S.; Hu, Z.; Badhan, M.A.; Chu, R.; Elbeltagi, A. Spatiotemporal trends in reference evapotranspiration and its driving factors in Bangladesh. Theor. Appl. Climatol. 2021, 144, 793–808. [Google Scholar] [CrossRef]
- Xu, S.; Yu, Z.; Yang, C.; Ji, X.; Zhang, K. Trends in evapotranspiration and their responses to climate change and vegetation greening over the upper reaches of the Yellow River Basin. Agric. For. Meteorol. 2018, 263, 118–129. [Google Scholar] [CrossRef]
- Li, Y.; Yao, N.; Chau, H.W. Influences of removing linear and nonlinear trends from climatic variables on temporal variations of annual reference crop evapotranspiration in Xinjiang, China. Sci. Total Environ. 2017, 592, 680–692. [Google Scholar] [CrossRef] [PubMed]
- Fu, J.; Gong, Y.; Zheng, W.; Zou, J.; Zhang, M.; Zhang, Z.; Qin, J.; Liu, J.; Quan, B. Spatial-temporal variations of terrestrial evapotranspiration across China from 2000 to 2019. Sci. Total Environ. 2022, 825, 153951. [Google Scholar] [CrossRef] [PubMed]
- Kişi, O. An innovative method for trend analysis of monthly pan evaporations. J. Hydrol. 2015, 527, 1123–1129. [Google Scholar] [CrossRef]
- Prăvălie, R.; Piticar, A.; Roșca, B.; Sfîcă, L.; Bandoc, G.; Tiscovschi, A.; Patrich, C. Spatio-temporal changes of the climatic water balance in Romania as a response to precipitation and reference evapotranspiration trends during 1961–2013. CATENA 2019, 172, 295–312. [Google Scholar] [CrossRef]
- Zolin, M.B.; Pastore, A.; Mazzarolo, M. Common agricultural policy and sustainable management of areas with natural handicaps. The Veneto Region case study. Environ. Dev. Sustain. 2020, 22, 7587–7605. [Google Scholar] [CrossRef]
- Barbi, A.; Cagnati, A.; Cola, G.; Checchetto, F.; Chiaudani, A.; Crepaz, A.; Delillo, I.; Mariani, L.; Marigo, G.; Meneghin, P.; et al. Atlante Climatico del Veneto. Precipitazioni—Basi Informative per l’analisi Delle Correlazioni tra Cambiamenti Climatici e Dinamiche Forestali nel Veneto 2013. Regione del Veneto, Mestre. Available online: https://www.arpa.veneto.it/temi-ambientali/agrometeo/approfondimenti/atlante-agroclimatico-veneto-precipitazioni (accessed on 13 July 2023).
- Zotarelli, L.; Dukes, M.D.; Romero, C.C.; Migliaccio, K.W.; Morgan, K.T. Step by Step Calculation of the Penman-Monteith Evapotranspiration (FAO-56 Method). Doc. AE459, University of Florida. 2010. Available online: https://www.agraria.unirc.it/documentazione/materiale_didattico/1462_2016_412_24509.pdf (accessed on 13 July 2023).
- Barton, Y.; Giannakaki, P.; Von Waldow, H.; Chevalier, C.; Pfahl, S.; Martius, O. Clustering of regional-scale extreme precipitation events in southern Switzerland. Mon. Weather Rev. 2016, 144, 347–369. [Google Scholar] [CrossRef]
- Di Nunno, F.; Granata, F. Spatio-temporal analysis of drought in Southern Italy: A combined clustering-forecasting approach based on SPEI index and artificial intelligence algorithms. Stoch. Environ. Res. Risk Assess. 2023, 37, 2349–2375. [Google Scholar] [CrossRef]
- Demsar, J.; Curk, T.; Erjavec, A.; Gorup, C.; Hocevar, T.; Milutinovic, M.; Mozina, M.; Polajnar, M.; Toplak, M.; Staric, A.; et al. Orange: Data Mining Toolbox in Python. J. Mach. Learn. Res. 2013, 14, 2349–2353. [Google Scholar]
- Callahan, C.; Bridge, H. Data Mining of Rare Alleles to Assess Biogeographic Ancestry. In Proceedings of the 2021 Systems and Information Engineering Design Symposium (SIEDS), Charlottesville, VA, USA, 29–30 April 2021; 1–6. [Google Scholar] [CrossRef]
- Wang, F.; Shao, W.; Yu, H.; Kan, G.; He, X.; Zhang, D.; Ren, M.; Wang, G. Re-evaluation of the Power of the Mann-Kendall Test for Detecting Monotonic Trends in Hydrometeorological Time Series. Front. Earth Sci. 2020, 8, 14. [Google Scholar] [CrossRef]
- Wang, L.; Akritas, M.G.; Van Keilegom, I. An ANOVA-Type Nonparametric Diagnostic Test for Heteroscedastic Regression Models. J. Nonparametr. Stat. 2008, 20, 365–382. [Google Scholar] [CrossRef]
- Umar, D.A.; Ramli, M.F.; Aris, A.Z.; Jamil, N.R.; Abdulkareem, J.H. Runoff irregularities, trends, and variations in tropical semi-arid river catchment. J. Hydrol. Reg. Stud. 2018, 19, 335–348. [Google Scholar] [CrossRef]
- Meggiorin, M.; Passadore, G.; Bertoldo, S.; Sottani, A.; Rinaldo, A. Assessing the long-term sustainability of the groundwater resources in the Bacchiglione basin (Veneto, Italy) with the Mann–Kendall test: Suggestions for higher reliability. Acque Sotter.-Ital. J. Groundw. 2021, 10, 35–48. [Google Scholar] [CrossRef]
- Ashraf, M.S.; Ahmad, I.; Khan, N.M.; Zhang, F.; Bilal, A.; Guo, J. Streamflow Variations in Monthly, Seasonal, Annual and Extreme Values Using Mann-Kendall, Spearmen’s Rho and Innovative Trend Analysis. Water Resour. Manag. 2021, 35, 243–261. [Google Scholar] [CrossRef]
- Gumus, V.; Avsaroglu, Y.; Simsek, O. Streamflow trends in the Tigris river basin using Mann−Kendall and innovative trend analysis methods. J. Earth Syst. Sci. 2022, 131, 34. [Google Scholar] [CrossRef]
- Wu, H.; Qian, H. Innovative trend analysis of annual and seasonal rainfall and extreme values in Shaanxi, China, since the 1950s. Int. J. Climatol. 2017, 37, 2582–2592. [Google Scholar] [CrossRef]
- Corbau, C.; Simeoni, U.; Zoccarato, C.; Mantovani, G.; Teatini, P. Coupling land use evolution and subsidence in the Po Delta, Italy: Revising the past occurrence and prospecting the future management challenges. Sci. Total Environ. 2019, 654, 1196–1208. [Google Scholar] [CrossRef]
- Granata, F.; Di Nunno, F. Artificial Intelligence models for prediction of the tide level in Venice. Stoch. Environ. Res. Risk Assess. 2021, 35, 2537–2548. [Google Scholar] [CrossRef]
- Di Nunno, F.; Granata, F.; Gargano, R.; de Marinis, G. Forecasting of Extreme Storm Tide Events Using NARX Neural Network-Based Models. Atmosphere 2021, 12, 512. [Google Scholar] [CrossRef]
- Peña-Angulo, D.; Vicente-Serrano, S.M.; Domínguez-Castro, F.; Lorenzo-Lacruz, J.; Murphy, C.; Hannaford, J.; Allan, R.P.; Tramblay, Y.; Reig-Gracia, F.; El Kenawym, A. The complex and spatially diverse patterns of hydrological droughts across Europe. Water Resour. Res. 2022, 58, e2022WR031976. [Google Scholar] [CrossRef]
- The MathWorks Inc. Optimization Toolbox, version: 9.0.13 (R2022b); The MathWorks Inc.: Natick, MA, USA, 2022; Available online: https://www.mathworks.com (accessed on 13 July 2023).
- Vanni, F.; Povellato, A. Delivering public goods through agriculture. Some evidence from viticulture in Veneto region. In Proceedings of the International Conference “Enometrics XVII”, Palermo, Italy, 9–12 June 2010. [Google Scholar]
- Sofia, G.; Roder, G.; Dalla Fontana, G.; Tarolli, P. Flood dynamics in urbanised landscapes: 100 years of climate and humans’ interaction. Sci. Rep. 2017, 7, 40527. [Google Scholar] [CrossRef] [PubMed]
- Salpina, D.; Pagliacci, F. Are We Adapting to Climate Change? Evidence from the High-Quality Agri-Food Sector in the Veneto Region. Sustainability 2022, 14, 11482. [Google Scholar] [CrossRef]



Disclaimer/Publisher’s Note: The statements, opinions and data contained in all publications are solely those of the individual author(s) and contributor(s) and not of MDPI and/or the editor(s). MDPI and/or the editor(s) disclaim responsibility for any injury to people or property resulting from any ideas, methods, instructions or products referred to in the content. |
© 2023 by the authors. Licensee MDPI, Basel, Switzerland. This article is an open access article distributed under the terms and conditions of the Creative Commons Attribution (CC BY) license (https://creativecommons.org/licenses/by/4.0/).
Share and Cite
Di Nunno, F.; De Matteo, M.; Izzo, G.; Granata, F. A Combined Clustering and Trends Analysis Approach for Characterizing Reference Evapotranspiration in Veneto. Sustainability 2023, 15, 11091. https://doi.org/10.3390/su151411091
Di Nunno F, De Matteo M, Izzo G, Granata F. A Combined Clustering and Trends Analysis Approach for Characterizing Reference Evapotranspiration in Veneto. Sustainability. 2023; 15(14):11091. https://doi.org/10.3390/su151411091
Chicago/Turabian StyleDi Nunno, Fabio, Marco De Matteo, Giovanni Izzo, and Francesco Granata. 2023. "A Combined Clustering and Trends Analysis Approach for Characterizing Reference Evapotranspiration in Veneto" Sustainability 15, no. 14: 11091. https://doi.org/10.3390/su151411091
APA StyleDi Nunno, F., De Matteo, M., Izzo, G., & Granata, F. (2023). A Combined Clustering and Trends Analysis Approach for Characterizing Reference Evapotranspiration in Veneto. Sustainability, 15(14), 11091. https://doi.org/10.3390/su151411091

