A Parameter Sensitivity Analysis of Hydropower Units under Full Operating Conditions Considering Turbine Nonlinearity
Abstract
1. Introduction
2. Model
2.1. Hydro-Turbine
2.2. Water Diversion System
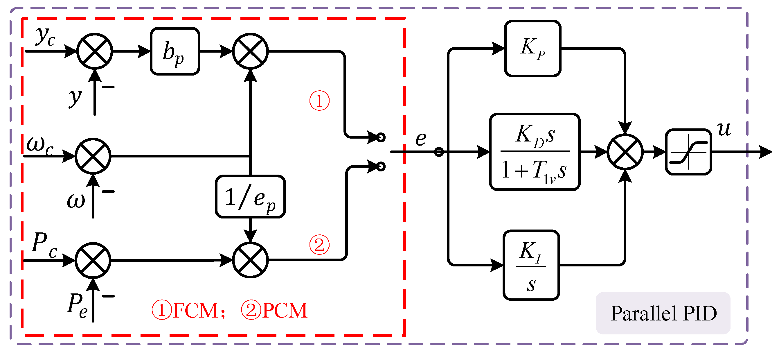
2.3. Governor
2.4. Generator and Network
3. Method
3.1. Parameter Sensitivity Indicator
3.2. Parameter Sensitivity Analysis Process under FOC
4. Results
4.1. Hydraulic–Mechanical–Electrical Coupling Model of HTRS
4.2. Parameter Sensitivity Analysis under FOC and PCM
4.2.1. Parameter Sensitivity Analysis under Rated Operating Condition
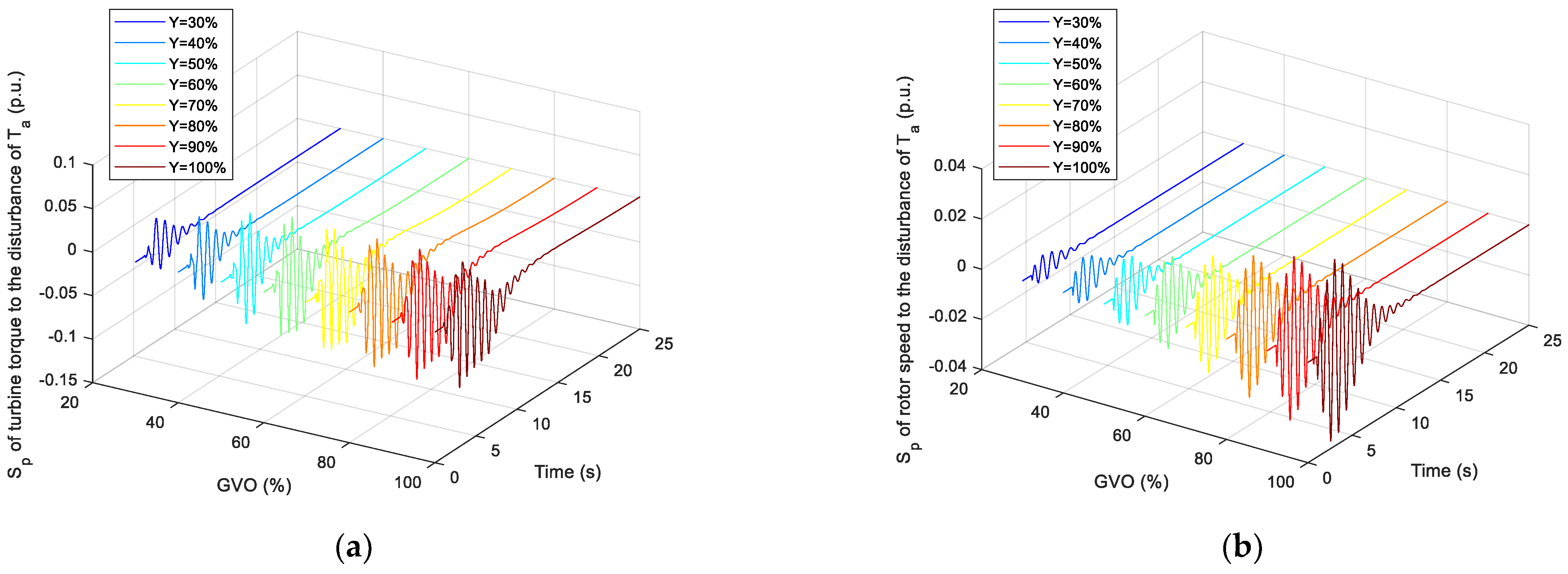
4.2.2. Parameter Sensitivity Analysis under FOC
4.3. Parameter Sensitivity Analysis under FOC and FCM
4.3.1. Parameter Sensitivity Analysis under Rated Operating Condition
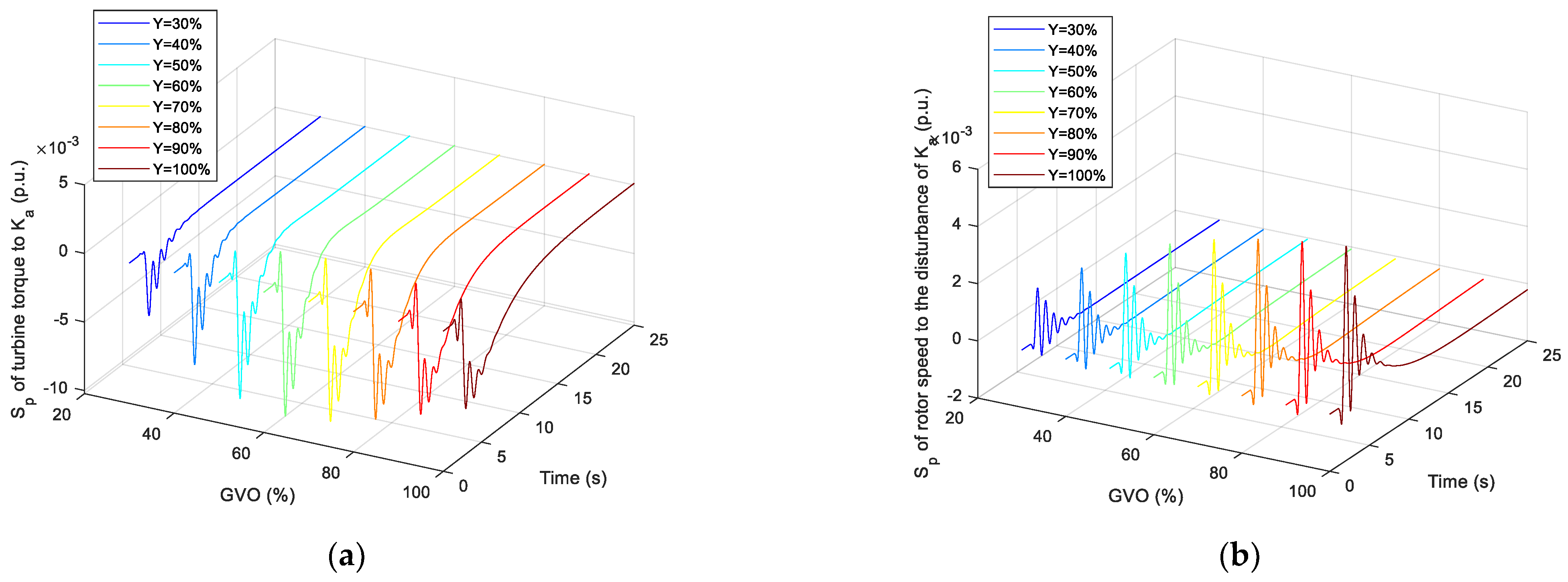
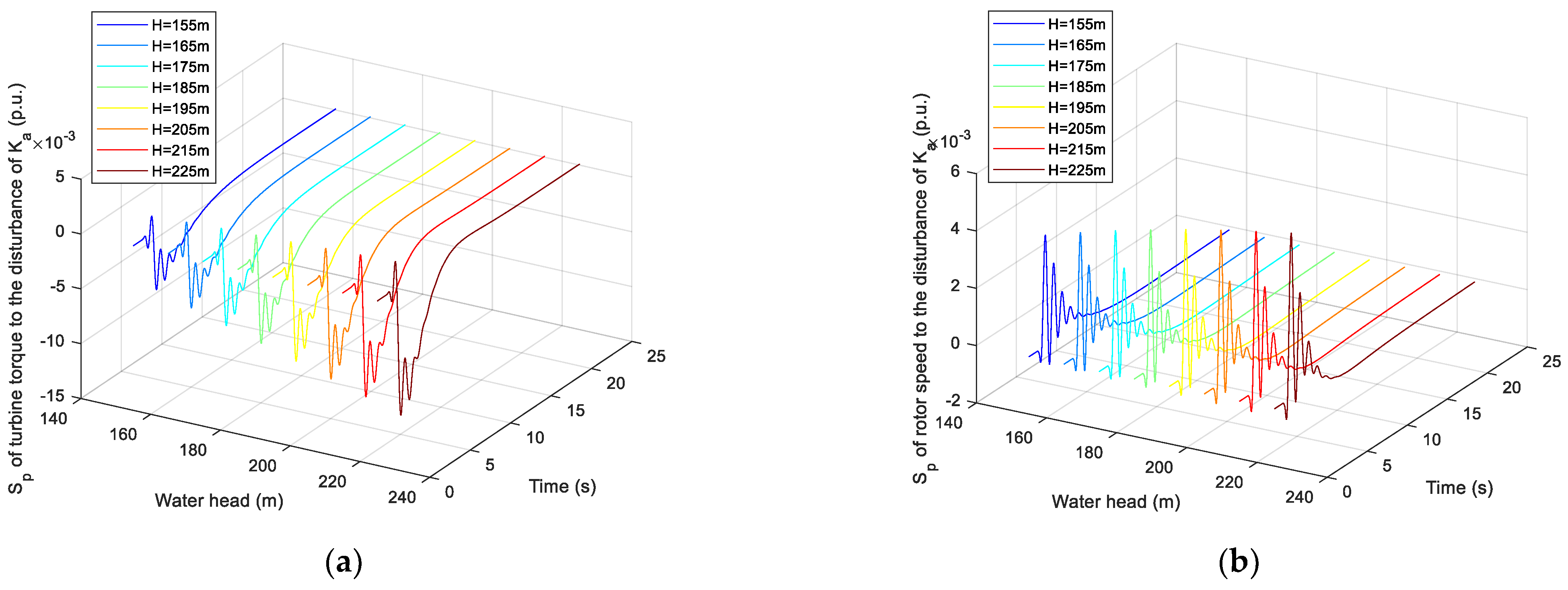
4.3.2. Parameter Sensitivity Analysis under FOC
5. Conclusions
- (1)
- In the PCM, the unit inertia time constant (i.e., ) is the most sensitive parameter of the system, and a small change will significantly affect the dynamic response of the system. At this time, the sensitivity of the system state to this parameter increases significantly under the conditions of a medium–high water head and medium GVO (near the vibration zone) or close to the maximum GVO.
- (2)
- In the FCM, the electrical parameters of the generator and excitation system (i.e., and ) are the most sensitive parameters of the system. The sensitivity of the system state to the two parameters is higher at a small GVO and low water head, which is especially obvious at a small GVO.
Author Contributions
Funding
Data Availability Statement
Acknowledgments
Conflicts of Interest
Abbreviations
| VRES | Variable Renewable Energy Source | 
| HTRS | Hydro-turbine Regulation System | 
| FCM | Frequency Control Mode | 
| OCM | Opening Control Mode | 
| PCM | Power Control Mode | 
| FOC | Full Operating Conditions | 
| PSA | Parameter sensitivity analysis | 
| NND | Neural Network Derivation | 
| GVO | Guide Vane Opening | 
| PSS | Power System Stabilizer | 
References
- Pérez-Díaz, J.I.; Chazarra, M.; García-González, J.; Cavazzini, G.; Stoppato, A. Trends and challenges in the operation of pumped-storage hydro-power plants. Renew. Sustain. Energy Rev. 2015, 44, 767–784. [Google Scholar] [CrossRef]
- Brouwer, A.S.; van den Broek, M.; Seebregts, A.; Faaij, A. Operational flexibility and economics of power plants in future low-carbon power systems. Appl. Energy 2015, 156, 107–128. [Google Scholar] [CrossRef]
- Heard, B.P.; Brook, B.W.; Wigley, T.M.; Bradshaw, C.J. Burden of proof: A comprehensive review of the feasibility of 100% renewa-ble-electricity systems. Renew. Sustain. Energy Rev. 2017, 76, 1122–1133. [Google Scholar] [CrossRef]
- Yang, W.; Norrlund, P.; Saarinen, L.; Witt, A.; Smith, B.; Yang, J.; Lundin, U. Burden on hydropower units for short-term balancing of renewable power systems. Nat. Commun. 2018, 9, 2633. [Google Scholar] [CrossRef]
- Yu, X.; Zhang, J.; Fan, C.; Chen, S. Stability analysis of governor-turbine-hydraulic system by state space method and graph theory. Energy 2016, 114, 613–622. [Google Scholar] [CrossRef]
- Hagihara, S.; Yokota, H.; Goda, K.; Isobe, K. Stability of a Hydraulic Turbine Generating Unit Controlled by P.I.D. Governor. IEEE Trans. Power Appar. Syst. 1979, 98, 2294–2298. [Google Scholar] [CrossRef]
- Ling, D.J.; Tao, Y. An analysis of the Hopf bifurcation in a hydroturbine governing system with saturation. IEEE Trans. Energy Convers. 2006, 21, 512–515. [Google Scholar] [CrossRef]
- Lai, X.; Li, C.; Guo, W.; Xu, Y.; Li, Y. Stability and dynamic characteristics of the nonlinear coupling system of hydropower station and power grid. Commun. Nonlinear Sci. Numer. Simul. 2019, 79, 104919. [Google Scholar] [CrossRef]
- Liu, D.; Li, C.; Malik, O. Operational characteristics and parameter sensitivity analysis of hydropower unit damping under ultra-low frequency oscillations. Int. J. Electr. Power Energy Syst. 2022, 136, 107689. [Google Scholar] [CrossRef]
- Liang, J.; Yuan, X.; Yuan, Y.; Chen, Z.; Li, Y. Nonlinear dynamic analysis and robust controller design for Francis hydraulic turbine regulating system with a straight-tube surge tank. Mech. Syst. Signal Process. 2017, 85, 927–946. [Google Scholar] [CrossRef]
- Yu, X.D.; Yang, X.W.; Zhang, J. Stability analysis of hydro-turbine governing system including surge tanks under interconnected operation during small load disturbance. Renew. Energy 2019, 133, 1426–1435. [Google Scholar] [CrossRef]
- Lu, X.; Li, C.; Liu, D.; Zhu, Z.; Tan, X. Influence of water diversion system topologies and operation scenarios on the damping charac-teristics of hydropower units under ultra-low frequency oscillations. Energy 2022, 239, 122679. [Google Scholar] [CrossRef]
- Lu, X.; Li, C.; Liu, D.; Zhu, Z.; Tan, X.; Xu, R. Comprehensive stability analysis of complex hydropower system under flexible operating conditions based on a fast stability domain solving method. Energy 2023, 274, 127368. [Google Scholar] [CrossRef]
- Wang, F.; Chen, D.; Xu, B.; Zhang, H. Nonlinear dynamics of a novel fractional-order Francis hydro-turbine governing system with time delay. Chaos Solitons Fractals 2016, 91, 329–338. [Google Scholar] [CrossRef]
- Yang, W.; Norrlund, P.; Chung, C.Y.; Yang, J.; Lundin, U. Eigen-analysis of hydraulic-mechanical-electrical coupling mechanism for small signal stability of hydropower plant. Renew. Energy 2018, 115, 1014–1025. [Google Scholar] [CrossRef]
- Guo, W.C.; Peng, Z.Y. Hydropower system operation stability considering the coupling effect of water potential energy in surge tank and power grid. Renew. Energy 2019, 134, 846–861. [Google Scholar] [CrossRef]
- Liu, D.; Li, C.; Malik, O. Nonlinear modeling and multi-scale damping characteristics of hydro-turbine regulation systems under complex variable hydraulic and electrical network structures. Appl. Energy 2021, 293, 116949. [Google Scholar] [CrossRef]
- Wang, Z.; Qin, L.; Zeng, J.; Lin, J.; Yang, J.; Chen, W.; Luo, Y.; Yan, Z. Hydroturbine operating region partitioning based on analyses of unsteady flow field and dynamic response. Sci. China-Technol. Sci. 2010, 53, 519–528. [Google Scholar] [CrossRef]
- Aggidis, G.A.; Židonis, A. Hydro turbine prototype testing and generation of performance curves: Fully automated approach. Renew. Energy 2014, 71, 433–441. [Google Scholar] [CrossRef]
- Yang, W.; Yang, J.; Guo, W.; Zeng, W.; Wang, C.; Saarinen, L.; Norrlund, P. A Mathematical Model and Its Application for Hydro Power Units under Different Operating Conditions. Energies 2015, 8, 10260–10275. [Google Scholar] [CrossRef]
- Giosio, D.R.; Henderson, A.D.; Walker, J.M.; Brandner, P.A. Physics Based Hydraulic Turbine Model for System Dynamics Studies. IEEE Trans. Power Syst. 2017, 32, 1161–1168. [Google Scholar] [CrossRef]
- Li, H.; Chen, D.; Zhang, X.; Wu, Y. Dynamic analysis and modelling of a Francis hydro-energy generation system in the load rejection transient. IET Renew. Power Gener. 2016, 10, 1140–1148. [Google Scholar] [CrossRef]
- Su, W.-T.; Li, X.-B.; Li, F.-C.; Wei, X.-Z.; Han, W.-F.; Liu, S.-H. Experimental Investigation on the Characteristics of Hydrodynamic Stabilities in Francis Hy-droturbine Models. Adv. Mech. Eng. 2014, 6, 486821. [Google Scholar] [CrossRef]
- Zhang, S.F.; Andrews-Speed, P.; Li, S.T. To what extent will China’s ongoing electricity market reforms assist the integration of renewable energy? Energy Policy 2018, 114, 165–172. [Google Scholar] [CrossRef]
- Zhang, G.T.; Cheng, Y.C.; Lu, N. Research on Francis Turbine Modeling for Large Disturbance Hydropower Station Transient Process Simulation. Math. Probl. Eng. 2015, 2015, 971678. [Google Scholar] [CrossRef]
- Yuan, X.; Chen, Z.; Yuan, Y.; Huang, Y. Design of fuzzy sliding mode controller for hydraulic turbine regulating system via input state feedback linearization method. Energy 2015, 93, 173–187. [Google Scholar] [CrossRef]
- Zhang, H.; Chen, D.; Wu, C.; Wang, X. Dynamics analysis of the fast-slow hydro-turbine governing system with different time-scale coupling. Commun. Nonlinear Sci. Numer. Simul. 2018, 54, 136–147. [Google Scholar] [CrossRef]
- Chen, Z.; Yuan, X.; Tian, H.; Ji, B. Improved gravitational search algorithm for parameter identification of water turbine regulation system. Energy Convers. Manag. 2014, 78, 306–315. [Google Scholar] [CrossRef]
- Zhang, C.B.; Yang, M.J.; Li, J.Y. Detailed modelling and parameters optimisation analysis on governing system of hydro-turbine generator unit. IET Gener. Transm. Distrib. 2018, 12, 1045–1051. [Google Scholar] [CrossRef]
- Yang, W.; Yang, J.; Guo, W.; Norrlund, P. Frequency Stability of Isolated Hydropower Plant with Surge Tank Under Different Tur-bine Control Modes. Electr. Power Compon. Syst. 2015, 43, 1707–1716. [Google Scholar] [CrossRef]
- Zamora-Cárdenas, E.A.; Fuerte-Esquivel, C.R. Computation of multi-parameter sensitivities of equilibrium points in electric power systems. Electr. Power Syst. Res. 2013, 96, 246–254. [Google Scholar] [CrossRef]
- Xu, B.; Yan, D.; Chen, D.; Gao, X.; Wu, C. Sensitivity analysis of a Pelton hydropower station based on a novel approach of turbine torque. Energy Convers. Manag. 2017, 148, 785–800. [Google Scholar] [CrossRef]
- Xu, B.; Chen, D.; Patelli, E.; Shen, H.; Park, J.H. Mathematical model and parametric uncertainty analysis of a hydraulic generating system. Renew. Energy 2019, 136, 1217–1230. [Google Scholar] [CrossRef]
- Liu, D.; Li, C.; Tan, X.; Lu, X.; Malik, O. Damping characteristics analysis of hydropower units under full operating conditions and control parameters: Accurate quantitative evaluation based on refined models. Appl. Energy 2021, 292, 116881. [Google Scholar] [CrossRef]
- Liu, D.; Wang, X.; Peng, Y.; Zhang, H.; Xiao, Z.; Han, X.; Malik, O. Stability analysis of hydropower units under full operating conditions considering turbine nonlinearity. Renew. Energy 2020, 154, 723–742. [Google Scholar] [CrossRef]
- Yang, W.; Norrlund, P.; Bladh, J.; Yang, J.; Lundin, U. Hydraulic damping mechanism of low frequency oscillations in power systems: Quan-titative analysis using a nonlinear model of hydropower plants. Appl. Energy 2018, 212, 1138–1152. [Google Scholar] [CrossRef]
- Orošnjak, M.; Brkljač, N.; Šević, D.; Čavić, M.; Oros, D.; Penčić, M. From predictive to energy-based maintenance paradigm: Achieving cleaner production through functional-productiveness. J. Clean. Prod. 2023, 408, 137177. [Google Scholar] [CrossRef]














| Subsystem | Parameter | 
|---|---|
| Controller | = 0.04; = 0.01; = 0.118 | 
| Servo-system | = 0.459s; Delay = 0.1s | 
| Water system | = 0.873s | 
| Generator and network | = 12.239s; = 0.985; = 0.326; = 0.241; = 0.665; = 0.260; = 11.72; = 0.12; = 0.25; = 1.0; = 100; = 0.12s | 
| Hydro-turbine | The transfer coefficients under FOC are can be found in our previous work [35]. | 
| Controller | Servo-System | Hydro-Turbine | Water System | Generator | Excitation System | ||||
|---|---|---|---|---|---|---|---|---|---|
| Controller | 2.23 × 10−2 | 7.57 × 10−3 | 6.31 × 10−3 | 2.38 × 10−3 | 7.40 × 10−3 | 2.42 × 10−5 | 7.75 × 10−3 | 1.46 × 10−2 | |
| 6.85 × 10−3 | 4.72 × 10−3 | 3.94 × 10−3 | 1.12 × 10−3 | 4.45 × 10−3 | 9.23 × 10−6 | 4.83 × 10−3 | 6.04 × 10−3 | ||
| Servo- system | 2.76 × 10−3 | 4.45 × 10−3 | 3.64 × 10−3 | 2.07 × 10−3 | 4.50 × 10−3 | 1.79 × 10−5 | 4.71 × 10−3 | 1.07 × 10−2 | |
| 2.04 × 10−3 | 6.00 × 10−4 | 2.56 × 10−4 | 7.08 × 10−4 | 7.71 × 10−4 | 4.98 × 10−5 | 4.31 × 10−3 | 2.51 × 10−2 | ||
| Water system | 2.40 × 10−3 | 1.46 × 10−3 | 2.16 × 10−3 | 2.93 × 10−3 | 4.86 × 10−3 | 1.89 × 10−5 | 5.05 × 10−3 | 1.03 × 10−2 | |
| Hydro-turbine | 5.81 × 10−3 | 1.92 × 10−3 | 5.87 × 10−3 | 2.78 × 10−3 | 3.52 × 10−3 | 1.25 × 10−4 | 1.15 × 10−2 | 6.32 × 10−2 | |
| 4.13 × 10−3 | 1.80 × 10−3 | 2.83 × 10−3 | 1.82 × 10−3 | 3.12 × 10−3 | 9.03 × 10−5 | 8.59 × 10−3 | 4.67 × 10−2 | ||
| 1.55 × 10−3 | 6.82 × 10−4 | 5.91 × 10−4 | 4.00 × 10−4 | 9.80 × 10−4 | 3.32 × 10−5 | 3.12 × 10−3 | 1.71 × 10−2 | ||
| 5.97 × 10−3 | 3.79 × 10−3 | 3.19 × 10−3 | 8.73 × 10−4 | 8.99 × 10−3 | 5.39 × 10−5 | 9.93 × 10−3 | 2.47 × 10−2 | ||
| 4.45 × 10−3 | 1.47 × 10−3 | 1.22 × 10−3 | 4.37 × 10−4 | 3.91 × 10−3 | 9.29 × 10−5 | 8.89 × 10−3 | 4.68 × 10−2 | ||
| 2.30 × 10−3 | 1.06 × 10−3 | 8.81 × 10−4 | 3.51 × 10−4 | 1.48 × 10−3 | 4.85 × 10−5 | 4.59 × 10−3 | 2.51 × 10−2 | ||
| Generator | 1.10 × 10−1 | 9.31 × 10−3 | 5.69 × 10−3 | 6.86 × 10−3 | 1.16 × 10−2 | 2.79 × 10−3 | 2.38 × 10−1 | 1.38 × 100 | |
| 1.34 × 10−3 | 5.20 × 10−4 | 4.30 × 10−4 | 1.72 × 10−4 | 5.23 × 10−4 | 3.11 × 10−5 | 2.84 × 10−3 | 5.59 × 10−2 | ||
| 1.78 × 10−2 | 3.86 × 10−3 | 3.08 × 10−3 | 1.54 × 10−3 | 4.12 × 10−3 | 4.61 × 10−4 | 4.05 × 10−2 | 4.72 × 10−1 | ||
| 2.42 × 10−2 | 6.74 × 10−3 | 5.60 × 10−3 | 2.45 × 10−3 | 7.00 × 10−3 | 6.04 × 10−4 | 5.49 × 10−2 | 3.43 × 10−1 | ||
| 1.77 × 10−2 | 7.52 × 10−3 | 6.30 × 10−3 | 2.54 × 10−3 | 7.56 × 10−3 | 4.12 × 10−4 | 3.63 × 10−2 | 5.66 × 10−1 | ||
| Excitation system | 1.46 × 10−2 | 5.65 × 10−3 | 4.74 × 10−3 | 1.95 × 10−3 | 5.76 × 10−3 | 3.54 × 10−4 | 3.13 × 10−2 | 7.07 × 10−1 | |
| 9.46 × 10−3 | 4.44 × 10−3 | 3.69 × 10−3 | 1.54 × 10−3 | 4.50 × 10−3 | 2.15 × 10−4 | 1.97 × 10−2 | 4.92 × 10−1 | ||
| Controller | Servo-System | Hydro-Turbine | Water System | Generator | Excitation System | ||||
|---|---|---|---|---|---|---|---|---|---|
| Controller | 2.20 × 10−3 | 2.17 × 10−3 | 1.86 × 10−3 | 9.16 × 10−4 | 2.45 × 10−3 | 6.02 × 10−4 | 5.10 × 10−12 | 3.19 × 10−10 | |
| 5.31 × 10−4 | 5.24 × 10−4 | 4.47 × 10−4 | 1.16 × 10−4 | 5.26 × 10−4 | 2.25 × 10−4 | 5.26 × 10−12 | 3.13 × 10−10 | ||
| 1.64 × 10−4 | 1.01 × 10−4 | 7.46 × 10−5 | 8.48 × 10−5 | 1.34 × 10−4 | 1.42 × 10−5 | 4.84 × 10−12 | 3.03 × 10−10 | ||
| Servo-system | 2.28 × 10−4 | 5.49 × 10−4 | 4.50 × 10−4 | 4.20 × 10−4 | 7.28 × 10−4 | 8.51 × 10−5 | 4.62 × 10−12 | 3.26 × 10−10 | |
| 5.26 × 10−5 | 1.58 × 10−4 | 1.03 × 10−4 | 1.49 × 10−4 | 2.13 × 10−4 | 1.95 × 10−5 | 4.85 × 10−12 | 3.15 × 10−10 | ||
| Water system | 6.61 × 10−4 | 6.52 × 10−4 | 8.07 × 10−4 | 8.91 × 10−4 | 1.61 × 10−3 | 2.44 × 10−4 | 5.14 × 10−12 | 3.36 × 10−10 | |
| Hydro-turbine | 5.97 × 10−4 | 5.89 × 10−4 | 1.87 × 10−3 | 8.24 × 10−4 | 1.52 × 10−3 | 2.19 × 10−4 | 4.99 × 10−12 | 3.35 × 10−10 | |
| 1.86 × 10−4 | 1.78 × 10−4 | 5.37 × 10−4 | 4.47 × 10−4 | 8.24 × 10−4 | 6.92 × 10−5 | 5.21 × 10−12 | 3.52 × 10−10 | ||
| 8.92 × 10−5 | 8.77 × 10−5 | 3.40 × 10−4 | 1.42 × 10−4 | 2.60 × 10−4 | 3.40 × 10−5 | 5.14 × 10−12 | 3.38 × 10−10 | ||
| 1.83 × 10−3 | 1.83 × 10−3 | 1.63 × 10−3 | 3.90 × 10−4 | 2.16 × 10−3 | 5.83 × 10−4 | 4.73 × 10−12 | 3.08 × 10−10 | ||
| 6.76 × 10−4 | 6.67 × 10−4 | 6.31 × 10−4 | 2.88 × 10−4 | 1.74 × 10−3 | 2.51 × 10−4 | 4.99 × 10−12 | 3.11 × 10−10 | ||
| 7.97 × 10−4 | 7.87 × 10−4 | 7.58 × 10−4 | 1.98 × 10−4 | 1.14 × 10−3 | 3.06 × 10−4 | 5.05 × 10−12 | 3.25 × 10−10 | ||
| Generator | 2.32 × 10−3 | 2.28 × 10−3 | 2.17 × 10−3 | 1.07 × 10−3 | 3.17 × 10−3 | 8.90 × 10−4 | 5.33 × 10−12 | 3.52 × 10−10 | |
| 2.78 × 10−4 | 2.77 × 10−4 | 2.46 × 10−4 | 9.83 × 10−5 | 3.45 × 10−4 | 1.11 × 10−4 | 7.58 × 10−4 | 4.41 × 10−2 | ||
| 3.01 × 10−4 | 2.63 × 10−4 | 2.33 × 10−4 | 1.75 × 10−4 | 3.53 × 10−4 | 1.20 × 10−4 | 4.51 × 10−3 | 2.02 × 10−1 | ||
| 6.01 × 10−5 | 2.98 × 10−5 | 2.66 × 10−5 | 3.33 × 10−5 | 4.54 × 10−5 | 2.25 × 10−5 | 1.25 × 10−3 | 5.73 × 10−2 | ||
| 7.56 × 10−4 | 3.95 × 10−4 | 2.82 × 10−4 | 3.88 × 10−4 | 4.59 × 10−4 | 2.56 × 10−4 | 1.45 × 10−2 | 7.13 × 10−1 | ||
| Excitation system | 1.03 × 10−3 | 9.61 × 10−4 | 8.45 × 10−4 | 4.53 × 10−4 | 1.22 × 10−3 | 3.98 × 10−4 | 1.11 × 10−2 | 6.96 × 10−1 | |
| 1.12 × 10−3 | 1.11 × 10−3 | 9.86 × 10−4 | 4.43 × 10−4 | 1.39 × 10−3 | 4.45 × 10−4 | 8.96 × 10−3 | 5.49 × 10−1 | ||
| Disclaimer/Publisher’s Note: The statements, opinions and data contained in all publications are solely those of the individual author(s) and contributor(s) and not of MDPI and/or the editor(s). MDPI and/or the editor(s) disclaim responsibility for any injury to people or property resulting from any ideas, methods, instructions or products referred to in the content. | 
© 2023 by the authors. Licensee MDPI, Basel, Switzerland. This article is an open access article distributed under the terms and conditions of the Creative Commons Attribution (CC BY) license (https://creativecommons.org/licenses/by/4.0/).
Share and Cite
Liu, D.; Wei, X.; Zhang, J.; Hu, X.; Zhang, L. A Parameter Sensitivity Analysis of Hydropower Units under Full Operating Conditions Considering Turbine Nonlinearity. Sustainability 2023, 15, 11691. https://doi.org/10.3390/su151511691
Liu D, Wei X, Zhang J, Hu X, Zhang L. A Parameter Sensitivity Analysis of Hydropower Units under Full Operating Conditions Considering Turbine Nonlinearity. Sustainability. 2023; 15(15):11691. https://doi.org/10.3390/su151511691
Chicago/Turabian StyleLiu, Dong, Xinxu Wei, Jingjing Zhang, Xiao Hu, and Lihong Zhang. 2023. "A Parameter Sensitivity Analysis of Hydropower Units under Full Operating Conditions Considering Turbine Nonlinearity" Sustainability 15, no. 15: 11691. https://doi.org/10.3390/su151511691
APA StyleLiu, D., Wei, X., Zhang, J., Hu, X., & Zhang, L. (2023). A Parameter Sensitivity Analysis of Hydropower Units under Full Operating Conditions Considering Turbine Nonlinearity. Sustainability, 15(15), 11691. https://doi.org/10.3390/su151511691
 
        







 
       