Relationship between Self-Assessed Productivity, Gender and Age in Mixed-Mode and Fully Air-Conditioned Offices in Florianópolis, Brazil
Abstract
1. Introduction
2. Materials and Methods
3. Results and Discussion
3.1. Descriptive Statistics of the Environmental Parameters
3.2. Relationship between Productivity and Operative Temperature
3.3. Relationship between Productivity and Anthropometric Variables
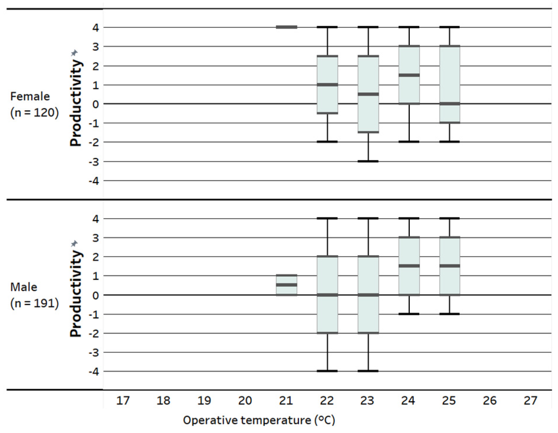
3.3.1. Gender
3.3.2. Age
4. Conclusions
Author Contributions
Funding
Data Availability Statement
Conflicts of Interest
References
- Kaliski, B.S. Encyclopedia of Business and Finance, 2nd ed.; Macmillan Reference USA: New York, NY, USA; Emerald Group Publishing Limited: Bingley, UK, 2001. [Google Scholar]
- Stocker, A.; Gerold, S.; Hinterberger, F. The Interaction between Resource and Labour Productivity; SERI Sustainable Europe Research Institute: Vienna, Austria, 2016. [Google Scholar]
- Isham, A.; Mair, S.; Jackson, T. Worker wellbeing and productivity in advanced economies: Re-examining the link. Ecol. Econ. 2021, 184, 106989. [Google Scholar] [CrossRef]
- Mahbob, N.S.; Kamaruzzaman, S.N.; Salleh, N.; Sulaiman, R. A correlation studies of indoor environmental quality (IEQ) towards productive workplace. In Proceedings of the 2011 2nd International Conference on Environmental Science and Technology, Singapore, 26–28 February 2011; p. 6. [Google Scholar]
- Chen, C.F.; Yilmaz, S.; Pisello, A.L.; De Simone, M.; Kim, A.; Hong, T.; Bandurski, K.; Bavaresco, M.V.; Liu, P.L.; Zhu, Y. The impacts of building characteristics, social psychological and cultural factors on indoor environment quality productivity belief. Build. Environ. 2020, 185, 107189. [Google Scholar] [CrossRef]
- Kang, S.; Ou, D.; Mak, C.M. The impact of indoor environmental quality on work productivity in university open-plan research offices. Build. Environ. 2017, 124, 78–89. [Google Scholar] [CrossRef]
- Cui, W.; Cao, G.; Park, J.H.; Ouyang, Q.; Zhu, Y. Influence of indoor air temperature on human thermal comfort, motivation and performance. Build. Environ. 2013, 68, 114–122. [Google Scholar] [CrossRef]
- Geng, Y.; Ji, W.; Lin, B.; Zhu, Y. The impact of thermal environment on occupant IEQ perception and productivity. Build. Environ. 2017, 121, 158–167. [Google Scholar] [CrossRef]
- Seppanen, O.; Fisk, W.J.; Faulkner, D. Control of Temperature for Health and Productivity in Offices; Lawrence Berkeley National Laboratory: Berkeley, CA, USA, 2004. [Google Scholar]
- Tarantini, M.; Pernigotto, G.; Gasparella, A. A Co-Citation Analysis on Thermal Comfort and Productivity Aspects in Production and Office Buildings. Buildings 2017, 7, 36. [Google Scholar] [CrossRef]
- Silva, L.B. Análise da Relação Entre Produtividade e Conforto Térmico: O Caso dos Digitadores do Centro de Processamento de Dados e Cobrança da Caixa Econômica Federal do Estado de Pernambuco. Ph.D. Thesis, Universidade Federal de Santa Catarina, Santa Catarina, Brazil, 2001. (In Portuguese). [Google Scholar]
- Yeom, D.J.; Delogu, F. Local body skin temperature-driven thermal sensation predictive model for the occupant’s optimum productivity. Build. Environ. 2021, 204, 108196. [Google Scholar] [CrossRef]
- Schellen, L.; van Marken Lichtenbelt, W.D.; Loomans, M.G.L.C.; Toftum, J.; de Wit, M.H. Differences between young adults and elderly in thermal comfort, productivity, and thermal physiology in response to a moderate temperature drift and a steady-state condition. Indoor Air 2010, 20, 273–283. [Google Scholar] [CrossRef] [PubMed]
- Indraganti, M.; Humphreys, M.A. A comparative study of gender differences in thermal comfort and environmental satisfaction in air-conditioned offices in Qatar, India, and Japan. Build. Environ. 2021, 206, 108297. [Google Scholar] [CrossRef]
- Kim, J.; de Dear, R.; Cândido, C.; Zhang, H.; Arens, E. Gender differences in office occupant perception of indoor environmental quality (IEQ). Build. Environ. 2013, 70, 245–256. [Google Scholar] [CrossRef]
- Rupp, R.F. Conforto Térmico Humano em Edificações de Escritórios Localizados no Clima Subtropical Úmido de Florianópolis/SC. Ph.D. Thesis, Universidade Federal de Santa Catarina, Santa Catarina, Brazil, 2018. (In Portuguese). [Google Scholar]
- Crawley, D.; Lawrie, L. Repository of Free Climate Data for Building Performance Simulation: Brazil, Region 3-South America. Available online: https://climate.onebuilding.org/WMO_Region_3_South_America/BRA_Brazil/index.html (accessed on 24 July 2023).
- ISO 7726; Ergonomics of the Thermal Environment—Instruments for Measuring Physical Quantities. ISO, International Organization for Standardization: Geneva, Switzerland, 1998.
- Subramanian, A.; da Silva, L.B.; Coutinho, A.S. Aplicação de método e técnica multivariados para previsão de variáveis termoambientais e perceptivas. Production 2007, 17, 52–70. (In Portuguese) [Google Scholar] [CrossRef]
- Lipczynska, A.; Schiavon, S.; Graham, L.T. Thermal comfort and self-reported productivity in an office with ceiling fans in the tropics. Build. Environ. 2018, 135, 202–212. [Google Scholar] [CrossRef]
- Lan, L.; Lian, Z.; Pan, L. The effects of air temperature on office workers’ well-being, workload and productivity-evaluated with subjective ratings. Appl. Ergon. 2010, 42, 29–36. [Google Scholar] [CrossRef] [PubMed]
- Rupp, R.F.; Kim, J.; de Dear, R.; Ghisi, E. Associations of occupant demographics, thermal history and obesity variables with their thermal comfort in air-conditioned and mixed-mode ventilation office buildings. Build. Environ. 2018, 135, 1–9. [Google Scholar] [CrossRef]
- Batiz, E.C.; Goedert, J.; Morsch, J.J.; Kasmirski Junior, P.; Venske, R. Avaliação do conforto térmico no aprendizado: Estudo de caso sobre influência na atenção e memória. Production 2009, 19, 477–488. (In Portuguese) [Google Scholar] [CrossRef][Green Version]
- Andargie, M.S.; Azar, E. An applied framework to evaluate the impact of indoor office environmental factors on occupants’ comfort and working conditions. Sustain. Cities Soc. 2019, 46, 101447. [Google Scholar] [CrossRef]













| Characteristic | Building H1 | Building H2 | Building H3 | Building CC |
|---|---|---|---|---|
| Total area (m2) | 6200 | 8244 | 3090 | 27,432 |
| Building shape | Blocks with rectangular and H shape | Rectangular | Rectangular | Square |
| Construction type | Reinforced concrete | Reinforced concrete | Reinforced concrete | Reinforced concrete |
| Walls | Exposed bricks | Plastered and painted beige masonry | Apparent concrete | Apparent concrete |
| Glass type | Clear | Clear | Clear with film | Tinted glass |
| External shading | - | Opaque facade element with shutters for ventilation | Recessed glass concerning the façade | Metal louvers with manual control |
| Internal shading | Most spaces have vertical blinds operated by users | - | Vertical blinds operated by users | - |
| Air-conditioning | Split | Split | Split | Central |
| Occupants number | 320 | 350 | 250 | 1200 |
| Working hours | 7 a.m.–6 p.m. | 1 p.m.–7 p.m. | 8 a.m.–6 p.m. | 7 a.m.–7 p.m. |
| Season survey | All seasons | Winter | All seasons | All seasons |
| Question | Response | Code |
|---|---|---|
| Productivity compared to a normal day | 40% increase | 4 |
| 30% increase | 3 | |
| 20% increase | 2 | |
| 10% increase | 1 | |
| Neutral | 0 | |
| 10% reduction | −1 | |
| 20% reduction | −2 | |
| 30% reduction | −3 | |
| 40% reduction | −4 |
| Parameter | Ta (°C) | To (°C) | Tr (°C) | Va (m/s) | RH (%) |
|---|---|---|---|---|---|
| Building H1 (n = 251) | |||||
| Average | 23.2 | 23.3 | 23.3 | 0.14 | 61 |
| Standard deviation | 1.9 | 1.9 | 1.9 | 0.07 | 10 |
| Minimum | 17.0 | 17.8 | 18.2 | 0.10 | 34 |
| Maximum | 27.0 | 27.0 | 27.1 | 0.55 | 80 |
| Building H2 (n = 97) | |||||
| Average | 24.0 | 23.9 | 24.0 | 0.18 | 60 |
| Standard deviation | 1.0 | 0.9 | 0.8 | 0.06 | 9 |
| Minimum | 22.0 | 22.3 | 21.9 | 0.10 | 42 |
| Maximum | 25.0 | 25.5 | 25.9 | 0.30 | 76 |
| Building H3 (n = 588) | |||||
| Average | 24.0 | 24.2 | 24.3 | 0.11 | 62 |
| Standard deviation | 1.2 | 1.1 | 1.1 | 0.07 | 8 |
| Minimum | 20.4 | 21.6 | 21.3 | 0.10 | 37 |
| Maximum | 26.7 | 26.8 | 26.9 | 1.10 | 83 |
| Building CC (n = 311) | |||||
| Average | 23.3 | 23.3 | 23.3 | 0.12 | 61 |
| Standard deviation | 0.9 | 0.9 | 1.1 | 0.06 | 8 |
| Minimum | 21.5 | 21.7 | 21.2 | 0.10 | 43 |
| Maximum | 26.5 | 25.9 | 26.8 | 1.00 | 76 |
Disclaimer/Publisher’s Note: The statements, opinions and data contained in all publications are solely those of the individual author(s) and contributor(s) and not of MDPI and/or the editor(s). MDPI and/or the editor(s) disclaim responsibility for any injury to people or property resulting from any ideas, methods, instructions or products referred to in the content. |
© 2023 by the authors. Licensee MDPI, Basel, Switzerland. This article is an open access article distributed under the terms and conditions of the Creative Commons Attribution (CC BY) license (https://creativecommons.org/licenses/by/4.0/).
Share and Cite
Reali, J.P.G.; Scolaro, T.P.; Ghisi, E.; Rupp, R.F. Relationship between Self-Assessed Productivity, Gender and Age in Mixed-Mode and Fully Air-Conditioned Offices in Florianópolis, Brazil. Sustainability 2023, 15, 12377. https://doi.org/10.3390/su151612377
Reali JPG, Scolaro TP, Ghisi E, Rupp RF. Relationship between Self-Assessed Productivity, Gender and Age in Mixed-Mode and Fully Air-Conditioned Offices in Florianópolis, Brazil. Sustainability. 2023; 15(16):12377. https://doi.org/10.3390/su151612377
Chicago/Turabian StyleReali, João Pedro Gemelli, Taylana Piccinini Scolaro, Enedir Ghisi, and Ricardo Forgiarini Rupp. 2023. "Relationship between Self-Assessed Productivity, Gender and Age in Mixed-Mode and Fully Air-Conditioned Offices in Florianópolis, Brazil" Sustainability 15, no. 16: 12377. https://doi.org/10.3390/su151612377
APA StyleReali, J. P. G., Scolaro, T. P., Ghisi, E., & Rupp, R. F. (2023). Relationship between Self-Assessed Productivity, Gender and Age in Mixed-Mode and Fully Air-Conditioned Offices in Florianópolis, Brazil. Sustainability, 15(16), 12377. https://doi.org/10.3390/su151612377

