The Impact of Vegetation Canopy on the Outdoor Thermal Environment in Cold Winter and Spring
Abstract
:1. Introduction
2. Materials and Methods
2.1. Study Area and Measured Site
2.2. On-Site Observations and Data Processing
2.3. Simulation Settings
2.3.1. Case Design
2.3.2. Parametrization
- Surface and building parameters;
- 2.
- Vegetation parameters
- 3.
- Boundary conditions
2.4. Outdoor Thermal Comfort Indices
2.5. Precision Evaluation Indices
3. Results
3.1. The Vertical Grid Sensitivity Tests
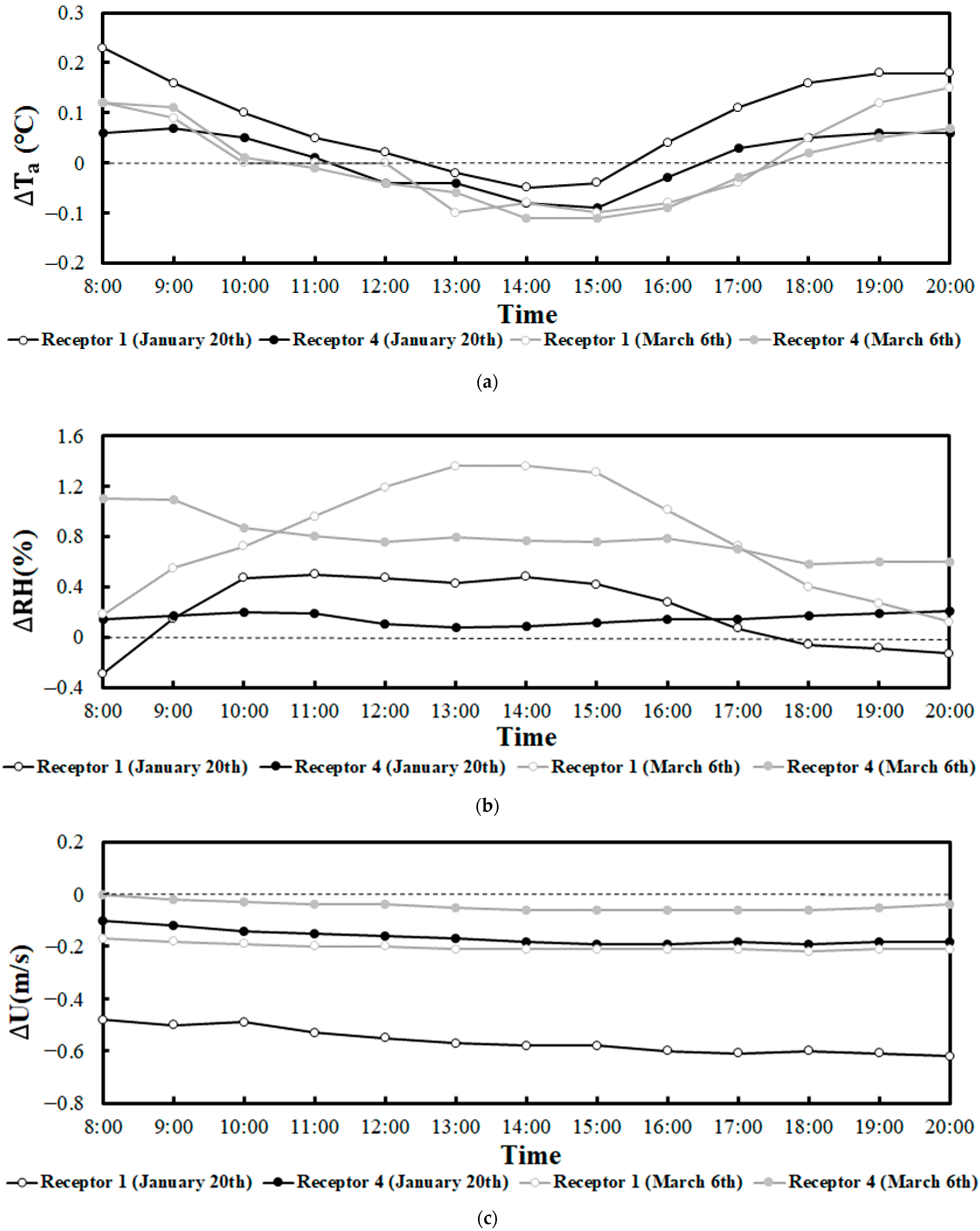
3.2. The Impact of Vegetation Canopy on Near-Surface , RH, and U
3.3. The Impact of Vegetation Canopy on Near-Surface Solar Radiation
3.4. The Impact of Vegetation Canopy on Near-Surface PET
4. Discussion
4.1. The Impact of Vegetation Canopy on Outdoor Thermal Environment
4.2. Implications for Improving Outdoor Thermal Comfort in Cold Winter
4.3. Limitations and Future Perspectives
5. Conclusions
Author Contributions
Funding
Institutional Review Board Statement
Informed Consent Statement
Data Availability Statement
Acknowledgments
Conflicts of Interest
References
- Department of Economic and Social Affairs, United Nations. World Urbanization Prospects: The 2018 Revision; United Nations: New York, NY, USA, 2019; p. 79. [Google Scholar]
- Grafakos, S.; Trigg, K.; Landauer, M.; Chelleri, L.; Dhakal, S. Analytical framework to evaluate the level of integration of climate adaptation and mitigation in cities. Clim. Chang. 2019, 154, 87–106. [Google Scholar] [CrossRef]
- Hoornweg, D.; Bhada, P.; Freire, M.; Trejos, C.; Sugar, L. Cities and Climate Change: An Urgent Agenda; The World Bank: Washington, DC, USA, 2010. [Google Scholar]
- Doan, Q.V.; Chen, F.; Kusaka, H.; Dipankar, A.; Khan, A.; Hamdi, R.; Roth, M.; Niyogi, D. Increased risk of extreme precipitation over an urban agglomeration with future global warming. Earth’s Future 2022, 10, e2021EF002563. [Google Scholar] [CrossRef]
- Narumi, D.; Levinson, R.; Shimoda, Y. Effect of urban heat island and global warming countermeasures on heat release and carbon dioxide emissions from a detached house. Atmosphere 2021, 12, 572. [Google Scholar] [CrossRef]
- Wijesiri, B.; Liu, A.; Goonetilleke, A. Impact of global warming on urban stormwater quality: From the perspective of an alternative water resource. J. Clean. Prod. 2020, 262, 121330. [Google Scholar] [CrossRef]
- Maas, J.; van Dillen, S.M.E.; Verheij, R.A.; Groenewegen, P.P. Social contacts as a possible mechanism behind the relation between green space and health. Health Place 2009, 15, 586–595. [Google Scholar] [CrossRef]
- Lai, D.; Liu, W.; Gan, T.; Liu, K.; Chen, Q. A review of mitigating strategies to improve the thermal environment and thermal comfort in urban outdoor spaces. Sci. Total Environ. 2019, 661, 337–353. [Google Scholar] [CrossRef]
- Huang, H.; Deng, X.; Yang, H.; Li, S. Spatial evolution of the effects of urban heat island on residents’ health. Teh. Vjesn. 2020, 27, 1427–1435. [Google Scholar]
- Chen, Y.H.; Li, X.B.; Shi, P.J.; He, C.Y. Study on spatial pattern of urban heat environment in Shanghai city. Sci. Geogr. Sin. 2002, 22, 317–323. [Google Scholar]
- Voogt, J.A.; Oke, T.R. Thermal remote sensing of urban climates. Remote Sens. Environ. 2003, 86, 370–384. [Google Scholar] [CrossRef]
- Shuai, L.; Feng, L.; Yang, S.Q. Numerical simulation of the effects of planting mode on thermal comfort of urban microenvironment. Chin. J. Ecol. 2022, 41, 1611–1618. [Google Scholar]
- Wu, Z.; Chen, L. Thermal comfort assessment and urban thermal environment research: Review and prospective. Chin. J. Ecol. 2016, 35, 1364. [Google Scholar]
- Liu, X.; Chen, E. Thermal environment of urban area and the improvement of its micro-thermal environment. Chin. J. Environ. Sci. 1997, 18, 54–58. [Google Scholar]
- Milošević, D.D.; Bajšanski, I.V.; Savić, S.M. Influence of changing trees locations on thermal comfort on street parking lot and footways. Urban Urban Gree 2017, 23, 113–124. [Google Scholar] [CrossRef]
- Liu, Y.; Lin, W.; Guo, J.; Wei, Q.; Shamseldin, A.Y. The influence of morphological characteristics of green patch on its surrounding thermal environment. Ecol. Eng. 2019, 140, 105594. [Google Scholar] [CrossRef]
- Yang, Y.; Gatto, E.; Gao, Z.; Buccolieri, R.; Morakinyo, T.E.; Lan, H. The “plant evaluation model” for the assessment of the impact of vegetation on outdoor microclimate in the urban environment. Build Environ. 2019, 159, 106151. [Google Scholar] [CrossRef]
- Wu, Z.; Man, W.; Ren, Y. Influence of tree coverage and micro-topography on the thermal environment within and beyond a green space. Agr. Forest Meteorol. 2022, 316, 108846. [Google Scholar] [CrossRef]
- Liu, R.; Liu, S.; Yang, X.; Lu, H.; Pan, X.; Xu, Z.; Ma, Y.; Xu, T. Wind dynamics over a highly heterogeneous oasis area: An experimental and numerical study. J. Geophys. Res. Atmos. 2018, 123, 8418–8440. [Google Scholar] [CrossRef]
- Taleghani, M.; Tenpierik, M.; van den Dobbelsteen, A.; Sailor, D.J. Heat in courtyards: A validated and calibrated parametric study of heat mitigation strategies for urban courtyards in the Netherlands. Sol. Energy 2014, 103, 108–124. [Google Scholar] [CrossRef]
- Zhang, J.; Khoshbakht, M.; Liu, J.; Gou, Z.; Xiong, J.; Jiang, M. A clustering review of vegetation-indicating parameters in urban thermal environment studies towards various factors. J. Therm. Biol. 2022, 110, 103340. [Google Scholar] [CrossRef]
- Amani-Beni, M.; Zhang, B.; Xie, G.; Xu, J. Impact of urban park’s tree, grass and waterbody on microclimate in hot summer days: A case study of Olympic Park in Beijing, China. Urban Urban Gree 2018, 32, 1–6. [Google Scholar] [CrossRef]
- Gatto, E.; Buccolieri, R.; Aarrevaara, E.; Ippolito, F.; Emmanuel, R.; Perronace, L.; Santiago, J.L. Impact of Urban Vegetation on Outdoor Thermal Comfort: Comparison between a Mediterranean City (Lecce, Italy) and a Northern European City (Lahti, Finland). Forests 2020, 11, 228. [Google Scholar] [CrossRef]
- Xu, M.; Hong, B.; Mi, J.; Yan, S. Outdoor thermal comfort in an urban park during winter in cold regions of China. Sustain. Cities Soc. 2018, 43, 208–220. [Google Scholar] [CrossRef]
- Afshar, N.K.; Karimian, Z.; Doostan, R.; Nokhandan, M.H. Influence of Planting Designs on Winter Thermal Comfort in an Urban Park. J. Environ. Eng. Landsc. 2018, 26, 232–240. [Google Scholar] [CrossRef]
- Gachkar, D.; Taghvaei, S.H.; Norouzian-Maleki, S. Outdoor thermal comfort enhancement using various vegetation species and materials (case study: Delgosha Garden, Iran). Sustain. Cities Soc. 2021, 75, 103309. [Google Scholar] [CrossRef]
- GB50176 CH; Code for Thermal Design of Civil Building. Ministry of Housing and Urban-Rural Development of the People’s Republic of China: Beijing, China, 2016.
- Chen, Y.; Jiang, Y.D.; Chen, X.Y. People’s Republic of China Meteorological Industry Standard “Division of Climatic Season” (QX/T 152-2012); China Meteorological Press: Beijing, China, 2012. [Google Scholar]
- Box, G.E.; Pierce, D.A. Distribution of residual autocorrelations in autoregressive-integrated moving average time series models. J. Am. Stat. Assoc. 1970, 65, 1509–1526. [Google Scholar] [CrossRef]
- Bruse, M.; Fleer, H. Simulating surface–plant–air interactions inside urban environments with a three dimensional numerical model. Environ. Modell. Softw. 1998, 13, 373–384. [Google Scholar] [CrossRef]
- Salata, F.; Golasi, I.; de Lieto Vollaro, R.; de Lieto Vollaro, A. Urban microclimate and outdoor thermal comfort. A proper procedure to fit ENVI-met simulation outputs to experimental data. Sustain. Cities Soc. 2016, 26, 318–343. [Google Scholar] [CrossRef]
- Ouyang, W.; Sinsel, T.; Simon, H.; Morakinyo, T.E.; Liu, H.; Ng, E. Evaluating the thermal-radiative performance of ENVI-met model for green infrastructure typologies: Experience from a subtropical climate. Build. Environ. 2022, 207, 108427. [Google Scholar] [CrossRef]
- Lalic, B.; Mihailovic, D.T. An empirical relation describing leaf-area density inside the forest for environmental modeling. J. Appl. Meteorol. Clim. 2004, 43, 641–645. [Google Scholar] [CrossRef]
- Fengxian Meteorological Service. Available online: http://sh.cma.gov.cn/fx/ (accessed on 15 August 2023).
- Zhai, P.M. Some gross errors and biases in China’s historical radiosonde data. Acta Meteor. Sin. 1997, 55, 563–572. [Google Scholar]
- ASHRAE Standard 55-66; Thermal Comfort Conditions. American Society of Heating, Refrigerating and Air-Conditioning Engineers: New York, NY, USA, 1966.
- American National Standards Institute. Thermal Environmental Conditions for Human Occupancy; American Society of Heating, Refrigerating and Air-Conditioning Engineers: Peachtree Corners, GA, USA, 2004; Volume 55. [Google Scholar]
- Shooshtarian, S.; Lam, C.K.C.; Kenawy, I. Outdoor thermal comfort assessment: A review on thermal comfort research in Australia. Build Environ 2020, 177, 106917. [Google Scholar] [CrossRef]
- Höppe, P. The physiological equivalent temperature—A universal index for the biometeorological assessment of the thermal environment. Int. J. Biometeorol. 1999, 43, 71–75. [Google Scholar] [CrossRef] [PubMed]
- Lu, Y.; Wang, F.; Wan, X.; Song, G.; Shi, W.; Zhang, C. Clothing resultant thermal insulation determined on a movable thermal manikin. Part I: Effects of wind and body movement on total insulation. Int. J. Biometeorol. 2015, 59, 1475–1486. [Google Scholar] [CrossRef] [PubMed]
- Huang, J. Prediction of air temperature for thermal comfort of people in outdoor environments. Int. J. Biometeorol. 2007, 51, 375–382. [Google Scholar] [CrossRef] [PubMed]
- Willmott, C.J. On the validation of models. Phys. Geogr. 1981, 2, 184–194. [Google Scholar] [CrossRef]
- Willmott, C.J. Some comments on the evaluation of model performance. Bull. Am. Meteorol. Soc. 1982, 63, 1309–1313. [Google Scholar] [CrossRef]
- Lin, T.; Matzarakis, A.; Hwang, R. Shading effect on long-term outdoor thermal comfort. Build Environ. 2010, 45, 213–221. [Google Scholar] [CrossRef]
- Smardon, R.C. Perception and aesthetics of the urban environment: Review of the role of vegetation. Landsc. Urban Plan 1988, 15, 85–106. [Google Scholar] [CrossRef]
- Bowler, D.E.; Buyung-Ali, L.; Knight, T.M.; Pullin, A.S. Urban greening to cool towns and cities: A systematic review of the empirical evidence. Landsc. Urban Plan 2010, 97, 147–155. [Google Scholar] [CrossRef]
- Caird, M.A.; Richards, J.H.; Donovan, L.A. Nighttime stomatal conductance and transpiration in C3 and C4 plants. Plant Physiol. 2007, 143, 4–10. [Google Scholar] [CrossRef]
- Zölch, T.; Rahman, M.A.; Pfleiderer, E.; Wagner, G.; Pauleit, S. Designing public squares with green infrastructure to optimize human thermal comfort. Build. Environ. 2019, 149, 640–654. [Google Scholar] [CrossRef]
- Bernatzky, A. The contribution of tress and green spaces to a town climate. Energy Build. 1982, 5, 1–10. [Google Scholar] [CrossRef]
- Yılmaz, S.; Toy, S.; Irmak, M.A.; Yilmaz, H. Determination of climatic differences in three different land uses in the city of Erzurum, Turkey. Build. Environ. 2007, 42, 1604–1612. [Google Scholar] [CrossRef]
- Lin, Y.; Han, X.; Wu, X.; Hao, X.Y.; Wang, J.; Liang, F.; Liang, J.; Wang, Z.H. Ecological field characteristic of green land based on urban green space structure. Acta Ecol. Sin. 2006, 26, 3339–3346. [Google Scholar]
- Koh, I.; Kim, S.; Lee, D. Effects of bibosoop plantation on wind speed, humidity, and evaporation in a traditional agricultural landscape of Korea: Field measurements and modeling. Agric. Ecosyst. Environ. 2010, 135, 294–303. [Google Scholar] [CrossRef]
- Oke, T.R.; Mills, G.; Christen, A.; Voogt, J.A. Urban Climates; Cambridge University Press: Cambridge, MA, USA, 2017. [Google Scholar]
- Brown, R.D.; Gillespie, T.J. Microclimatic Landscape Design: Creating Thermal Comfort and Energy Efficiency; Wiley: New York, NY, USA, 1995; Volume 1. [Google Scholar]
- Yoshida, A.; Hisabayashi, T.; Kashihara, K.; Kinoshita, S.; Hashida, S. Evaluation of effect of tree canopy on thermal environment, thermal sensation, and mental state. Urban Clim. 2015, 14, 240–250. [Google Scholar] [CrossRef]
- Sabrin, S.; Karimi, M.; Nazari, R.; Pratt, J.; Bryk, J. Effects of Different Urban-Vegetation Morphology on the Canopy-level Thermal Comfort and the Cooling Benefits of Shade Trees: Case-study in Philadelphia. Sustain. Cities Soc. 2021, 66, 102684. [Google Scholar] [CrossRef]
- Yang, R.; Zhang, H.; You, S.; Zheng, W.; Zheng, X.; Ye, T. Study on the thermal comfort index of solar radiation conditions in winter. Build. Environ. 2020, 167, 106456. [Google Scholar] [CrossRef]
- Huang, Z.; Gou, Z.; Cheng, B. An investigation of outdoor thermal environments with different ground surfaces in the hot summer-cold winter climate region. J. Build. Eng. 2020, 27, 100994. [Google Scholar] [CrossRef]
- Liu, G.; Wang, Z.; Li, C.; Hu, S.; Chen, X.; Liang, P. Heat exchange character and thermal comfort of young people in the building with solar radiation in winter. Build. Environ. 2020, 179, 106937. [Google Scholar] [CrossRef]
- Huang, Z.; Cheng, B.; Gou, Z.; Zhang, F. Outdoor thermal comfort and adaptive behaviors in a university campus in China’s hot summer-cold winter climate region. Build. Environ. 2019, 165, 106414. [Google Scholar] [CrossRef]














| Observation Sites | Location | Vegetation Shading Condition | Building Shading Condition | Underlying Surface |
|---|---|---|---|---|
| 1 | North avenue | With | Partly with | Impervious |
| 2 | Riverside | Without | Without | Impervious |
| 3 | North lakeside | Without | Without | Grassland |
| 4 | South lakeside | Partly with | Without | Grassland |
| 5 | South lawn | Without | Partly with | Grassland |
| Date | Case Name | The Resolution in the Vertical Direction | With Tree Canopy or Not |
|---|---|---|---|
| 20 January 2023 | D0120_R3m_Tree | 3 m | Yes |
| D0120_R2m_Tree | 2 m | Yes | |
| D0120_R1m_Tree | 1 m | Yes | |
| D0120_R05m_Tree | 0.5 m | Yes | |
| D0120_R1m_NoTree | 1 m | No | |
| 6 March 2023 | D0306_R3m_Tree | 3 m | Yes |
| D0306_R2m_Tree | 2 m | Yes | |
| D0306_R1m_Tree | 1 m | Yes | |
| D0306_R05m_Tree | 0.5 m | Yes | |
| D0306_R1m_NoTree | 1 m | No |
| Surface Type | Parameter | Item | Value |
|---|---|---|---|
| Soil | Loamy Soil | z0 Roughness Length (m) | 0.015 |
| Albedo | 0.000 | ||
| Emissivity | 0.900 | ||
| Water | Deep Water | z0 Roughness Length (m) | 0.010 |
| Albedo | 0.000 | ||
| Emissivity | 0.900 | ||
| Impervious Surface | Asphalt Road | z0 Roughness Length (m) | 0.010 |
| Albedo | 0.200 | ||
| Emissivity | 0.900 | ||
| Building | Default Concrete | Default Thickness (m) | 0.010 |
| Absorption | 0.500 | ||
| Transmission | 0.000 | ||
| Reflection | 0.500 | ||
| Emissivity | 0.900 | ||
| Specific Heat () | 850.000 | ||
| Thermal Conductivity () | 1.600 | ||
| Density () | 2220.000 |
| Plant Type | Leaf Type | Plant Height (m) | ) in the Vertical |
|---|---|---|---|
| Grass | Grass | 0.200 | 0.300, 0.300, 0.300, 0.300, 0.300, |
| 0.300, 0.300, 0.300, 0.300, 0.300 | |||
| Buxus sinica | Deciduous | 0.500 | 2.500, 2.500, 2.500, 2.500, 2.500, |
| 2.500, 2.500, 2.500, 2.500, 2.500 | |||
| Photinia serratifolia | Deciduous | 10.000 | 0.000, 0.000, 0.100, 0.600, 1.750, |
| 1.600, 1.550, 1.050, 0.450, 0.100 | |||
| Camphora officinarum | Deciduous | 10.000 | 0.000, 0.000, 0.005, 0.095, 0.250, |
| 1.450, 1.250, 1.250, 0.950, 0.250 | |||
| Cedrus | Conifer | 15.000 | 1.450, 1.650, 1.250, 1.050, 0.750, |
| 0.750, 0.400, 0.200, 0.150, 0.050 |
| Date | Parameter | Value |
|---|---|---|
| 20 January 2023 | Simulation Time (h) | 16 |
| Air Temperature (°C) and Humidity (%) | Figure 6a | |
| Humidity in 2500 m () | 1.60 | |
| Wind speed () | 3.12 | |
| Wind direction (°) | 40 | |
| Roughness Length (m) | 0.010 | |
| Low clouds (0–8) | 0 | |
| Medium clouds (0–8) | 0 | |
| High clouds (0–8) | 0 | |
| 6 March 2023 | Simulation Time (h) | 16 |
| Air Temperature (°C) and Humidity (%) | Figure 6b | |
| Humidity in 2500 m () | 2.40 | |
| Windspeed () | 2.26 | |
| Wind direction (°) | 0 | |
| Roughness Length (m) | 0.010 | |
| Low clouds (0–8) | 0 | |
| Medium clouds (0–8) | 0 | |
| High clouds (0–8) | 0 |
| Parameter Type | Item | Value/Name |
|---|---|---|
| Body parameters | Age of person (y) | 20 |
| Gender | Female | |
| Weight (kg) | 50 | |
| Height (m) | 1.6 | |
| Body position | standing | |
| Walking speed () | 1.21 | |
| Clothing parameters | Insulation Outdoor (clo) | 2.00 (Date: 20 January) 1.50 (Date: 6 March) |
| Insulation Indoor (clo) | 0.9 |
| Grid Size (Vertical) | RH | |||||
|---|---|---|---|---|---|---|
| R2 | RMSE (°C) | MBE (°C) | R2 | RMSE (%) | MBE (%) | |
| 3 m | 0.92 | 1.24 | −0.35 | 0.51 | 7.59 | −1.27 |
| 2 m | 0.92 | 1.30 | −0.44 | 0.46 | 7.87 | −1.24 |
| 1 m | 0.93 | 1.17 | −0.20 | 0.51 | 7.61 | −0.18 |
| 0.5 m | 0.94 | 1.12 | 0.21 | 0.47 | 8.50 | 1.67 |
Disclaimer/Publisher’s Note: The statements, opinions and data contained in all publications are solely those of the individual author(s) and contributor(s) and not of MDPI and/or the editor(s). MDPI and/or the editor(s) disclaim responsibility for any injury to people or property resulting from any ideas, methods, instructions or products referred to in the content. |
© 2023 by the authors. Licensee MDPI, Basel, Switzerland. This article is an open access article distributed under the terms and conditions of the Creative Commons Attribution (CC BY) license (https://creativecommons.org/licenses/by/4.0/).
Share and Cite
Chen, H.; Liu, R.; Zhang, Y. The Impact of Vegetation Canopy on the Outdoor Thermal Environment in Cold Winter and Spring. Sustainability 2023, 15, 12818. https://doi.org/10.3390/su151712818
Chen H, Liu R, Zhang Y. The Impact of Vegetation Canopy on the Outdoor Thermal Environment in Cold Winter and Spring. Sustainability. 2023; 15(17):12818. https://doi.org/10.3390/su151712818
Chicago/Turabian StyleChen, Hankai, Rui Liu, and Yu Zhang. 2023. "The Impact of Vegetation Canopy on the Outdoor Thermal Environment in Cold Winter and Spring" Sustainability 15, no. 17: 12818. https://doi.org/10.3390/su151712818
APA StyleChen, H., Liu, R., & Zhang, Y. (2023). The Impact of Vegetation Canopy on the Outdoor Thermal Environment in Cold Winter and Spring. Sustainability, 15(17), 12818. https://doi.org/10.3390/su151712818

