Pore Scale Simulation of Rheology Properties on Residence Time of Polymer Hydrogel and Hydraulic Conductivity of Bentonite Polymer Composite Geosynthetic Clay Liners
Abstract
1. Introduction
2. Hydraulic Model
2.1. Conceptual Model
2.2. Methodology
2.2.1. Geometry and Boundary of the Hydraulic Model Domain
2.2.2. Fluid Dynamics in the Domain
2.2.3. The Mesh and Time Step
3. Results and Discussion
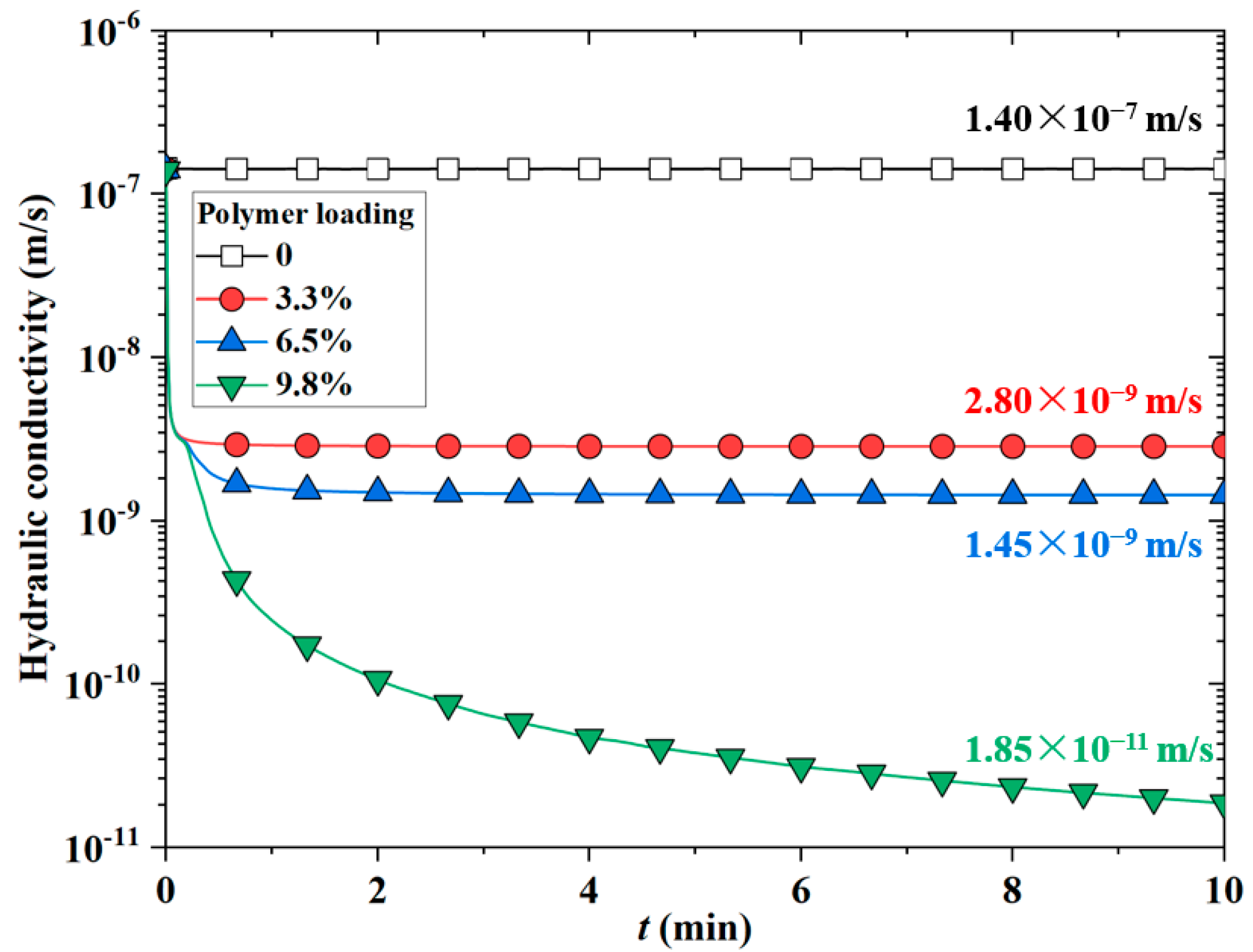
3.1. Effect of Polymer Loading on the Hydraulic Conductivities of BPC-GCLs
3.2. Effect of Polymer Rheology Properties on the Hydraulic Conductivities of BPC-GCLs
3.2.1. Viscosity
3.2.2. Surface Tension
3.2.3. Contact Angle
4. Conclusions
Author Contributions
Funding
Institutional Review Board Statement
Informed Consent Statement
Data Availability Statement
Conflicts of Interest
Appendix A

References
- Benson, C.H.; Thorstad, P.A.; Jo, H.-Y.; Rock, S.A. Hydraulic Performance of Geosynthetic Clay Liners in a Landfill Final Cover. J. Geotech. Geoenviron. Eng. 2007, 133, 814–827. [Google Scholar] [CrossRef]
- Guyonnet, D.; Touze-Foltz, N.; Norotte, V.; Pothier, C.; Didier, G.; Gailhanou, H.; Blanc, P.; Warmont, F. Performance-Based Indicators for Controlling Geosynthetic Clay Liners in Landfill Applications. Geotext. Geomembr. 2009, 27, 321–331. [Google Scholar] [CrossRef]
- LaGatta, M.D.; Boardman, B.T.; Cooley, B.H.; David, D.E. Geosynthetic Clay Liners Subjected to Differential Settlement. J. Geotech. Geoenviron. Eng. 1997, 123, 402–410. [Google Scholar] [CrossRef]
- Kumar, R.; Kumari, S. Geotechnical Properties of Materials Used in Landfill Clay Liner: A Critical Review. Sādhanā 2023, 48, 64. [Google Scholar] [CrossRef]
- Bouazza, A.; Gates, W.P. Overview of Performance Compatibility Issues of GCLs with Respect to Leachates of Extreme Chemistry. Geosynth. Int. 2014, 21, 151–167. [Google Scholar] [CrossRef]
- Bradshaw, S.L.; Benson, C.H.; Rauen, T.L. Hydraulic Conductivity of Geosynthetic Clay Liners to Recirculated Municipal Solid Waste Leachates. J. Geotech. Geoenviron. Eng. 2016, 142, 4015074. [Google Scholar] [CrossRef]
- Zhang, Y.; Liu, Y.; Min, X.; Jiang, Q.; Su, W. Selection of Landfill Cover Materials Based on Data Envelopment Analysis (DEA)-A Case Study on Four Typical Covering Materials. Sustainability 2022, 14, 10888. [Google Scholar] [CrossRef]
- Razakamanantsoa, A.R.; Djeran-Maigre, I. Long Term Chemo-Hydro-Mechanical Behavior of Compacted Soil Bentonite Polymer Complex Submitted to Synthetic Leachate. Waste Manag. 2016, 53, 92–104. [Google Scholar] [CrossRef]
- Yadav, H.; Tadikonda, B.V. The Influence of Mechanical Granulation Process and Granular Bentonite Plasticity on Self-Sealing and Volume Change Behavior. J. Hazard. Toxic Radioact. Waste 2022, 26, 04022003. [Google Scholar] [CrossRef]
- Jo, H.Y.; Katsumi, T.; Benson, C.H.; Edil, T.B. Hydraulic Conductivity and Swelling of Nonprehydrated GCLs Permeated with Single-Species Salt Solutions. J. Geotech. Geoenviron. Eng. 2001, 127, 557–567. [Google Scholar] [CrossRef]
- Ravindranath, Z.M.; Shrihari, S. Potential Use of Geosynthetic Clay Liners (GCL) in Waste Management. In Geotechnical Engineering for Disaster Mitigation and Rehabilitation; Chu, J., Phoon, K.K., Yong, K.Y., Eds.; World Scientific Publ Co Pte Ltd.: Singapore, 2005; pp. 504–511. [Google Scholar]
- Rowe, R.K.; Hamdan, S. Performance of GCLs after Long-Term Wet-Dry Cycles under a Defect in GMB in a Landfill. Geosynth. Int. 2022, 30, 225–246. [Google Scholar] [CrossRef]
- Rowe, R.K.; Jabin, F. Factors Affecting Multicomponent GCL-Geomembrane Interface Transmissivity for Landfills. Geosynth. Int. 2022, 29, 476–494. [Google Scholar] [CrossRef]
- Benson, C.H.; Ören, A.H.; Gates, W.P. Hydraulic Conductivity of Two Geosynthetic Clay Liners Permeated with a Hyperalkaline Solution. Geotext. Geomembr. 2010, 28, 206–218. [Google Scholar] [CrossRef]
- Jo, H.Y.; Benson, C.H.; Shackelford, C.D.; Lee, J.-M.; Edil, T.B. Long-Term Hydraulic Conductivity of a Geosynthetic Clay Liner Permeated with Inorganic Salt Solutions. J. Geotech. Geoenviron. Eng. 2005, 131, 405–417. [Google Scholar] [CrossRef]
- Petrov, R.J.; Rowe, R.K. Geosynthetic Clay Liner (GCL)—Chemical Compatibility by Hydraulic Conductivity Testing and Factors Impacting Its Performance. Can. Geotech. J. 1997, 34, 863–885. [Google Scholar] [CrossRef]
- Ruhl, J.L.; Daniel, D.E. Geosynthetic Clay Liners Permeated with Chemical Solutions and Leachates. J. Geotech. Geoenviron. Eng. 1997, 123, 369–381. [Google Scholar] [CrossRef]
- Scalia, J.; Benson, C.H.; Edil, T.B. Bentonite-Polyacrylate Nanocomposites for Containment of Aggressive Liquids. In Proceedings of the 5th International Young Geotechnical Engineers’ Conference (IYGE 2013), Marne-la-Vallée, France, 31 August–1 September 2013; Cui, Y.J., Emeriault, F., Cuira, F., Ghabezloo, S., Pereira, J.M., Reboul, M., Ravel, H., Tang, A.M., Eds.; Ios Press: Amsterdam, The Netherlands, 2013; Volume 2, pp. 63–66. [Google Scholar]
- Zainab, B.; Wireko, C.; Li, D.; Tian, K.; Abichou, T. Hydraulic Conductivity of Bentonite-Polymer Geosynthetic Clay Liners to Coal Combustion Product Leachates. Geotext. Geomembr. 2021, 49, 1129–1138. [Google Scholar] [CrossRef]
- De Camillis, M.; Di Emidio, G.; Bezuijen, A.; Verástegui-Flores, R.D. Hydraulic Conductivity and Swelling Ability of a Polymer Modified Bentonite Subjected to Wet–Dry Cycles in Seawater. Geotext. Geomembr. 2016, 44, 739–747. [Google Scholar] [CrossRef]
- Katsumi, T.; Ishimori, H.; Onikata, M.; Fukagawa, R. Long-Term Barrier Performance of Modified Bentonite Materials against Sodium and Calcium Permeant Solutions. Geotext. Geomembr. 2008, 26, 14–30. [Google Scholar] [CrossRef]
- Norris, A.; Aghazamani, N.; Scalia, J.; Shackelford, C.D. Hydraulic Performance of Geosynthetic Clay Liners Comprising Anionic Polymer–Enhanced Bentonites. J. Geotech. Geoenviron. Eng. 2022, 148, 04022039. [Google Scholar] [CrossRef]
- Ozhan, H.O. Hydraulic Capability of Polymer-Treated GCLs in Saline Solutions at Elevated Temperatures. Appl. Clay Sci. 2018, 161, 364–373. [Google Scholar] [CrossRef]
- Scalia, J.; Benson, C.H.; Bohnhoff, G.L.; Edil, T.B.; Shackelford, C.D. Long-Term Hydraulic Conductivity of a Bentonite-Polymer Composite Permeated with Aggressive Inorganic Solutions. J. Geotech. Geoenviron. Eng. 2014, 140, 04013025. [Google Scholar] [CrossRef]
- Tian, K.; Benson, C.H.; Likos, W.J. Effect of an Anion Ratio on the Hydraulic Conductivity of a Bentonite-Polymer Geosynthetic Clay Liner. In Proceedings of the Geotechnical Frontiers 2017, Orlando, FL, USA, 12–15 March 2017; American Society of Civil Engineers: Orlando, FL, USA, 2017; pp. 180–189. [Google Scholar]
- Khan, M.K.; Di Emidio, G.; Bezuijen, A. Water Retention Curves of Untreated and Hyper Clay Geosynthetic Clay Liners. Environ. Geotech. 2022. Ahead of Print. [Google Scholar] [CrossRef]
- Geng, W.; Salihoglu, H.; Likos, W.J.; Benson, C.H. Alternative Index Tests for Geosynthetic Clay Liners Containing Bentonite-Polymer Composites. Environ. Geotech. 2022. Ahead of Print. [Google Scholar] [CrossRef]
- Mazzieri, F.; Bernardo, D. Permeability and Solute Sorption of Unamended and Polymer-Enhanced Geosynthetic Clay Liners. Environ. Geotech. 2022. Ahead of Print. [Google Scholar] [CrossRef]
- Wireko, C.; Abichou, T.; Tian, K.; Zainab, B.; Zhang, Z. Effect of Incineration Ash Leachates on the Hydraulic Conductivity of Bentonite-Polymer Composite Geosynthetic Clay Liners. Waste Manag. 2022, 139, 25–38. [Google Scholar] [CrossRef]
- Chen, J.; Salihoglu, H.; Benson, C.H.; Likos, W.J.; Edil, T.B. Hydraulic Conductivity of Bentonite–Polymer Composite Geosynthetic Clay Liners Permeated with Coal Combustion Product Leachates. J. Geotech. Geoenviron. Eng. 2019, 145, 04019038. [Google Scholar] [CrossRef]
- Tian, K.; Likos, W.J.; Benson, C.H. Polymer Elution and Hydraulic Conductivity of Bentonite–Polymer Composite Geosynthetic Clay Liners. J. Geotech. Geoenviron. Eng. 2019, 145, 04019071. [Google Scholar] [CrossRef]
- Wireko, C.; Abichou, T. Investigating Factors Influencing Polymer Elution and the Mechanism Controlling the Chemical Compatibility of GCLs Containing Linear Polymers. Geotext. Geomembr. 2021, 49, 1004–1018. [Google Scholar] [CrossRef]
- Tian, K.; Likos, W.J.; Benson, C.H. Pore-Scale Imaging of Polymer-Modified Bentonite in Saline Solutions. In Proceedings of the Geo-Chicago 2016, Chicago, IL, USA, 14–18 August 2016; pp. 468–477. [Google Scholar]
- Tong, S.; Sample-Lord, K.M.; Bohnhoff, G.L. Diffusion through Sodium and Polymer Enhanced Bentonites Exposed to Dilute and Aggressive Solutions. Can. Geotech. J. 2021, 58, 603–618. [Google Scholar] [CrossRef]
- Gustitus, S.A. Mechanisms Controlling Hydraulic Conductivity and Service Life of Bentonite-Polymer Composite Geosynthetic Clay Liners Permeated with Aggressive Solutions. Ph.D. Thesis, University of Virginia, Charlottesville, VA, USA, 2020. [Google Scholar]
- Kolstad, D.C.; Benson, C.H.; Edil, T.B.; Jo, H.Y. Hydraulic Conductivity of a Dense Prehydrated GCL Permeated with Aggressive Inorganic Solutions. Geosynth. Int. 2004, 11, 233–241. [Google Scholar] [CrossRef]
- Bian, X.; Cui, Y.-J.; Li, X.-Z. Voids Effect on the Swelling Behaviour of Compacted Bentonite. Géotechnique 2019, 69, 593–605. [Google Scholar] [CrossRef]
- Hou, J.; Sun, R.; Benson, C.H. Hydrodynamic Assessment of Bentonite Granule Size and Granule Swelling on Hydraulic Conductivity of Geosynthetic Clay Liners. Geotext. Geomembr. 2023, 51, 93–103. [Google Scholar] [CrossRef]
- Keller, L.M.; Holzer, L.; Gasser, P.; Erni, R.; Rossell, M.D. Intergranular Pore Space Evolution in MX80 Bentonite during a Long-Term Experiment. Appl. Clay Sci. 2015, 104, 150–159. [Google Scholar] [CrossRef]
- Lubelli, B.; De Winter, D.A.M.; Post, J.A.; Van Hees, R.P.J.; Drury, M.R. Cryo-FIB–SEM and MIP Study of Porosity and Pore Size Distribution of Bentonite and Kaolin at Different Moisture Contents. Appl. Clay Sci. 2013, 80–81, 358–365. [Google Scholar] [CrossRef]
- Hou, J.; Li, H.; Gustitus, S.; Benson, C.H. Pore-Scale Modeling of Polymer Clogging in Bentonite-Polymer Composite Geosynthetic Clay Liners. In Proceedings of the Geo-Congress 2022, Charlotte, NC, USA, 20–23 March 2022; American Society of Civil Engineers: Charlotte, NC, USA, 2022; pp. 597–604. [Google Scholar]
- ASTM. Test Method for Evaluation of Hydraulic Properties of Geosynthetic Clay Liners Permeated with Potentially Incompatible Aqueous Solutions; ASTM International: West Conshohocken, PA, USA, 2012. [Google Scholar]
- Olsson, E.; Kreiss, G.; Zahedi, S. A Conservative Level Set Method for Two Phase Flow II. J. Comput. Phys. 2007, 225, 785–807. [Google Scholar] [CrossRef]
- Olsson, E.; Kreiss, G. A Conservative Level Set Method for Two Phase Flow. J. Comput. Phys. 2005, 210, 225–246. [Google Scholar] [CrossRef]
- Zhou, C.; Yue, P.; Feng, J.J.; Ollivier-Gooch, C.F.; Hu, H.H. 3D Phase-Field Simulations of Interfacial Dynamics in Newtonian and Viscoelastic Fluids. J. Comput. Phys. 2010, 229, 498–511. [Google Scholar] [CrossRef]
- Salemi, N.; Abtahi, S.M.; Rowshanzamir, M.A.; Hejazi, S.M. Improving Hydraulic Performance and Durability of Sandwich Clay Liner Using Super-Absorbent Polymer. J. Sandw. Struct. Mater. 2019, 21, 1055–1071. [Google Scholar] [CrossRef]
- Malviya, R.; Jha, S.; Fuloria, N.K.; Subramaniyan, V.; Chakravarthi, S.; Sathasivam, K.; Kumari, U.; Meenakshi, D.U.; Porwal, O.; Sharma, A.; et al. Determination of Temperature-Dependent Coefficients of Viscosity and Surface Tension of Tamarind Seeds (Tamarindus indica L.) Polymer. Polymers 2021, 13, 610. [Google Scholar] [CrossRef]
- Dunstan, D.E. The Viscosity-Radius Relationship for Concentrated Polymer Solutions. Sci. Rep. 2019, 9, 543. [Google Scholar] [CrossRef] [PubMed]
- Thompson, R.B.; MacDonald, J.R.; Chen, P. Origin of Change in Molecular-Weight Dependence for Polymer Surface Tension. Phys. Rev. E 2008, 78, 030801. [Google Scholar] [CrossRef] [PubMed]
- Szymczyk, K.; Zdziennicka, A.; Krawczyk, J.; Janczuk, B. Wettability, Adhesion, Adsorption and Interface Tension in the Polymer/Surfactant Aqueous Solution System. I. Critical Surface Tension of Polymer Wetting and Its Surface Tension. Colloids Surf. A Physicochem. Eng. Asp. 2012, 402, 132–138. [Google Scholar] [CrossRef]
- Corredor, L.M.; Husein, M.M.; Maini, B.B. Impact of PAM-Grafted Nanoparticles on the Performance of Hydrolyzed Polyacrylamide Solutions for Heavy Oil Recovery at Different Salinities. Ind. Eng. Chem. Res. 2019, 58, 9888–9899. [Google Scholar] [CrossRef]
- Wu, S.H.; Shanks, R.A. Solubility Study of Polyacrylamide in Polar Solvents. J. Appl. Polym. Sci. 2004, 93, 1493–1499. [Google Scholar] [CrossRef]








Disclaimer/Publisher’s Note: The statements, opinions and data contained in all publications are solely those of the individual author(s) and contributor(s) and not of MDPI and/or the editor(s). MDPI and/or the editor(s) disclaim responsibility for any injury to people or property resulting from any ideas, methods, instructions or products referred to in the content. |
© 2023 by the authors. Licensee MDPI, Basel, Switzerland. This article is an open access article distributed under the terms and conditions of the Creative Commons Attribution (CC BY) license (https://creativecommons.org/licenses/by/4.0/).
Share and Cite
Li, H.; Zhang, J.; Hou, J. Pore Scale Simulation of Rheology Properties on Residence Time of Polymer Hydrogel and Hydraulic Conductivity of Bentonite Polymer Composite Geosynthetic Clay Liners. Sustainability 2023, 15, 13052. https://doi.org/10.3390/su151713052
Li H, Zhang J, Hou J. Pore Scale Simulation of Rheology Properties on Residence Time of Polymer Hydrogel and Hydraulic Conductivity of Bentonite Polymer Composite Geosynthetic Clay Liners. Sustainability. 2023; 15(17):13052. https://doi.org/10.3390/su151713052
Chicago/Turabian StyleLi, Hao, Jinbang Zhang, and Juan Hou. 2023. "Pore Scale Simulation of Rheology Properties on Residence Time of Polymer Hydrogel and Hydraulic Conductivity of Bentonite Polymer Composite Geosynthetic Clay Liners" Sustainability 15, no. 17: 13052. https://doi.org/10.3390/su151713052
APA StyleLi, H., Zhang, J., & Hou, J. (2023). Pore Scale Simulation of Rheology Properties on Residence Time of Polymer Hydrogel and Hydraulic Conductivity of Bentonite Polymer Composite Geosynthetic Clay Liners. Sustainability, 15(17), 13052. https://doi.org/10.3390/su151713052

