Methods and Applications of Safety Control for Cable Net Structure Considering Spatiotemporal Changes
Abstract
:1. Introduction
1.1. Background
1.2. Literature Review
1.3. Research Significance
2. Consideration of Spatiotemporal Changes in Safety Control of Cable Net Structures
2.1. Characteristics of Cable Net Structure Construction Process
- (1)
- Construction intricacy: The construction trajectory of cable net structures is intricate, characterized by interwoven relationships between construction equipment, techniques, and material constituents. Adaptations and adjustments prove challenging due to the intricate interdependence. The intricacy of node design, coupled with the construction’s inherent difficulty, poses significant challenges. Notably, maintaining the verticality of the lower end of the bracing pole is particularly arduous [12].
- (2)
- Elevated potential energy: Throughout the elevation phase of cable net structures, multiple jacks are employed to achieve simultaneous lifting of tension cables. During this phase, the structure is not fully assembled, resulting in an extremely low overall stiffness that complicates ensuring safety.
- (3)
- Temporal consistency: Across the cable net structure construction journey, stresses within the cables and bracing poles undergo real-time fluctuations. Over time, the mechanical parameters and material properties of components undergo gradual shifts, with these variations influencing safe construction.
- (4)
- Multifactor intricacy: The construction process of cable net structures embraces a multitude of influential elements encompassing construction personnel, machinery and equipment, and the ambient environment. It encompasses the metamorphosis of matter, energy, and information, thereby morphing into a complex mechanism and a vast engineering endeavor.
2.2. Establishment Method of Twin Model for Cable Net Structure Safety Control
2.2.1. Principles for Establishing Twin Models
- (1)
- The construction of the digital twin model should be tailored to the demands of cable net structure construction scenarios. While the digital twin model captures the physical attributes of the construction site, it is essential to recognize that not every intricate detail from the site is necessary for the model’s efficacy. Consequently, before constructing the model, careful deliberation should be given to the requisites and circumstances of safety control. This approach warrants the establishment of distinct hierarchical and scalable twin models, each fashioned to cater to specific target requirements. As an illustration, the simulation twin model for cable net structure construction and the safety monitoring twin model necessitates distinct modeling methodologies, structures, and data prerequisites.
- (2)
- The digital twin model should seamlessly integrate both temporal and spatial dimensions. Considering the attributes inherent in cable net structure construction processes, the digital twin model must encompass spatiotemporal variations. This integration is imperative to facilitate comprehensive monitoring and control throughout the entire construction journey and for crucial components. Such an approach ensures the precision and thoroughness essential for effective safety control measures.
- (3)
- The digital twin model should excel in real-time information collection, analysis, and feedback. Rooted in the concept of digital twins, this model must attain the capability to swiftly gather, analyze, and provide feedback on information derived from the physical world. It should effectively monitor the ongoing advancements and diverse parameters of the construction site in real time, subject them to analysis, and furnish constructive guidance to steer the construction process.
- (4)
- Efforts should be directed towards refining the model’s scope. Cable net structures frequently encompass considerable scale, and their construction is marked by substantial duration, involving a multitude of components, equipment, processes, and environmental considerations. Nonetheless, for the pursuit of safety control, it is unnecessary to concentrate on all components, equipment, or procedures. Instead, prioritizing the monitoring of pivotal elements suffices. Such an approach serves to curtail the model’s extent, thereby mitigating computational analysis duration and subsequent maintenance expenses, all the while guaranteeing astute safety control.
2.2.2. A Twin Model Framework
3. Modeling Method for Safety Data Mapping Relationship of Cable Net Structure Construction
3.1. Mechanism and Process for Safety Control of Cable Network Structures Considering Spatiotemporal Changes
3.1.1. Characterization of Spatiotemporal Changes
3.1.2. Safety Control Process for Cable Network Structures
- PCS: Denotes the physical construction site of the cable network.
- CLP: Represents the lifting and tensioning progression of the cable network.
- DLV: Stands for the virtual model designated for lifting and tensioning.
- PDM: Corresponds to the comprehensive big data storage and management platform.
- CSC: Signifies the dedicated cable network construction safety control service.
- DAT: Encompasses the data collection and transmission processes, fostering seamless exchange between the lifting process, virtual model, extensive big data management platform, and the specialized cable network construction safety control service.
3.2. Data Processing for Safety Control of Cable Net Structures
3.2.1. Onsite Monitoring Data
- (1)
- Cable tension monitoring: Cable tension monitoring holds paramount significance in the pursuit of shaping the structure as intended. Consequently, vigilant oversight of cable tension throughout the cable tensioning process stands as an imperative requisite.
- (2)
- Structural deformation monitoring: Structural deformation monitoring assumes a pivotal role in the assessment of overall deformation patterns within the structure. It stands as a pivotal criterion in ascertaining whether the structure aligns with the prescribed design specifications.
- (3)
- Structural displacement monitoring: Monitoring the displacement of the structure furnishes a vantage point into the evolution of the construction endeavor. Such information finds utility in establishing correlations with corresponding finite element models, a practice integral to conducting safety analyses of the structure at specific junctures.
- (1)
- The monitoring plan should be designed to accurately reflect the dynamic changes in the structure and its surrounding environment. Real-time monitoring and simulation predictions should be employed as the basis for the monitoring scheme.
- (2)
- The monitoring duration should be initiated from the preconstruction phase of the cable network structure and should persist until the culmination of the tensioning process.
- (3)
- Each monitoring parameter must undergo uninterrupted real-time monitoring throughout the entirety of the construction process. Even during intervals when construction operations are temporarily suspended due to procedural considerations, vigilance over all parameters must persist to ensure the unbroken continuum of monitoring data.
3.2.2. Twin Simulation Analysis
3.2.3. Safety Control
- (1)
- Establishment of BP neural network
- (2)
- Analysis Control
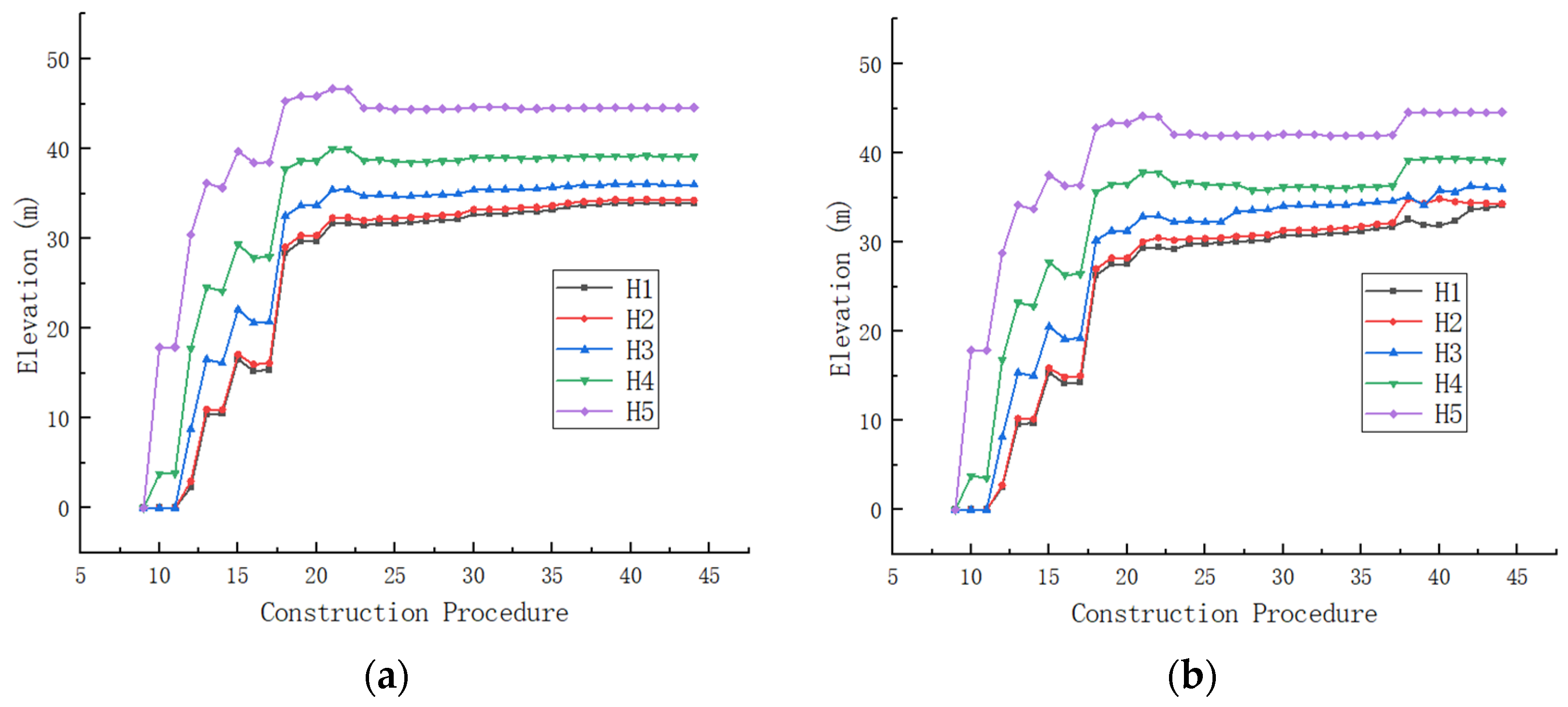
4. Case Study
4.1. Establishment of Onsite Twinning Model
- Spatial Dimension Modeling
- 2.
- Time Dimension Twinning
- 3.
- Virtual Reality Interaction
4.2. The Realization of Security Control
4.2.1. Device Selection
4.2.2. Control Flow
- (1)
- The tensioning process constitutes the utmost pivotal stage in the construction of cable net structures. If the measured tension significantly deviates by more than 10% from the anticipated outcomes obtained through simulation calculations, an immediate suspension of the tensioning process is warranted. Subsequently, upon ascertaining the underlying cause, the prestressing procedure can be recommenced.
- (2)
- Should the structural deformation surpass a threshold of 20% in comparison to the design calculations, an immediate cessation of the lifting process becomes imperative. After the identification of the root cause and the implementation of appropriate remedial measures, prestressing can be resumed.
- (3)
- Given the sensitivity of the displacement at the top of the mast to alterations in cable tension, it is advisable to conduct the tensioning process continuously and gradually.
5. Conclusions
- (1)
- This article introduced an innovative approach to address the safety control challenges of cable net structures during construction. By recognizing the limitations in the existing safety control practices, this article proposed a novel method grounded in the concept of digital twinning. This approach, termed “time-space-aware safety control,” aimed to bridge the gap and provide a comprehensive solution. Through the establishment of a digital twin model for safety control, the method offered a promising avenue for improving the overall safety oversight of cable net structures.Through this method, the control accuracy of the measured and predicted comparison of the cable net structure can reach 90%, and the control efficiency is also greatly improved. In addition to the neural network algorithm, other algorithms are also applied, such as support vector machine (SVM) and support vector regression (SVR), but the accuracy is not satisfactory, only up to 84%.
- (2)
- This article provided a comprehensive overview of the strategies and techniques for spatiotemporal data modeling and representation in the context of constructing cable net structures. The focus was placed on achieving real-time monitoring throughout the construction process. The article delved into key components such as data collection, transmission, model creation, analysis of results, and the establishment of a decision-making framework. By thoroughly exploring the practical application of digital twinning, this article offers insights into leveraging this approach for enhanced safety control in the construction of cable net structures.
- (3)
- By implementing this method in real-world engineering scenarios, the viability of the approach was demonstrated, validating its potential to achieve heightened precision in construction safety management. Through the utilization of real-time monitoring and control, construction teams gained deeper insights into the dynamic alterations in cable net behavior throughout the construction stages. This substantial enhancement in safety control effectively mitigated construction-related risks, fostering a safer construction environment.
- (4)
- To ensure the analysis efficiency of the model, the accuracy and quality of the model are reduced to a certain extent. The efficiency of data transmission also needs to be improved. Future research can focus on improving the quality and integration of model data, such as optimizing model algorithms, using high-precision sensors, and data fusion techniques to obtain more accurate and comprehensive construction data. In addition, this method can be extended to different types of structures, such as bridge construction scenarios.
Author Contributions
Funding
Institutional Review Board Statement
Informed Consent Statement
Data Availability Statement
Acknowledgments
Conflicts of Interest
References
- Ma, S.; Lu, K.; Chen, M.; Skelton, R. Design and control analysis of a deployable clustered hyperbolic paraboloid cable net. Eng. Struct. 2023, 279, 115569. [Google Scholar] [CrossRef]
- Wang, Z.; Shi, G.; Liu, Z.; Mo, Y.; Si, B.; Hu, Y.; Wang, Y. Effect of Construction Errors in Cable Forces of Single-Story Orthogonal Cable Network Structures Based on GA-BPNN. Buildings 2022, 12, 2253. [Google Scholar] [CrossRef]
- Chen, Z.; Ma, Q.; Yan, X.; Lou, S.; Si, B. Research on Influence of Construction Error and Controlling Techniques of Compound Cable Dome. Hunan Daxue Xuebao/J. Hunan Univ. Nat. Sci. 2018, 45, 47–56. [Google Scholar]
- Lou, R.; Luo, Y.; Zheng, J.; Liu, H. Tension control and multi-objective optimization of tensile cable net structure construction. J. Zhejiang Univ. (Eng. Sci.) 2011, 45, 539–543+581. [Google Scholar]
- Gao, X.; Jiang, Y.; Guo, H.; Li, G. Research on the Control Technology of Cable-Net Structure of Chengdu Open-Air Music Plaza. Prog. Steel Build. Struct. 2021, 23, 82–88. [Google Scholar]
- Bai, G.; Wang, Z.; Chen, B.; Zhu, Z.; Wang, Y.; Xing, Y.; Shen, L. Key issues in Cable Net Form-Finding of the National Speed Skating Oval. Steel Constr. (Chin. Engl.) 2020, 35, 54–61. [Google Scholar]
- Li, Q.; Jiang, P.; Li, H. Prognostics and health management of FAST cable-net structure based on digital twin technology. Res. Astron. Astrophys. 2020, 20, 067. [Google Scholar] [CrossRef]
- Jiang, Y.; Zhou, H.; Chen, Z.; Wang, L.; Sondipon, A. Reliability evaluation based on multiple response surfaces method considering construction uncertainties of cable tension for a hybrid roof structure. ASCE-ASME J. Risk Uncertain. Eng. Syst. Part A Civ. Eng. 2021, 7, 04021033. [Google Scholar] [CrossRef]
- Sim, S.; Li, J.; Jo, H.; Park, J.; Cho, S.; Spencer, B., Jr.; Jung, H. A wireless smart sensor network for automated monitoring of cable tension. Smart Mater. Struct. 2013, 23, 025006. [Google Scholar] [CrossRef]
- Jo, H.; Sim, S.; Mechitov, K.; Kim, R.; Li, J.; Moinzadeh, P.; Spencer, B., Jr.; Park, J.W.; Cho, S.; Jung, H.J.; et al. Hybrid wireless smart sensor network for full-scale structural health monitoring of a cable-stayed bridge. In Proceedings of the Sensors and Smart Structures Technologies for Civil, Mechanical, and Aerospace Systems 2011, San Diego, CA, USA, 7–10 March 2011; Volume 7981, pp. 45–59. [Google Scholar]
- Xie, X.; Yan, X. Cable tension prediction of Hongfeng Lake cable-stayed bridge using BP neural network. In Proceedings of the 2008 2nd International Conference on Anti-counterfeiting, Security and Identification, Guiyang, China, 20–23 August 2008; pp. 18–21. [Google Scholar]
- Tang, L.; Luo, B.; Ding, M. Prestressed construction analysis and cable forces measurement of cross truss string structure. J. Southeast Univ. (Nat. Sci. Ed.) 2013, 43, 1293–1298. [Google Scholar]
- Nie, R.; He, B.; Hodges, D.; Ma, X. Form finding and design optimization of cable network structures with flexible frames. Comput. Struct. 2019, 220, 81–91. [Google Scholar] [CrossRef]
- Liu, Z.; Li, H.; Liu, Y.; Wang, J.; Tafsirojjaman, T.; Shi, G. A novel numerical approach and experimental study to evaluate the effect of component failure on spoke-wheel cable structure. J. Build. Eng. 2022, 61, 105268. [Google Scholar] [CrossRef]
- Kong, X.; Wang, Q. Research on Construction Process of the Cable-net Structure of FAST. IOP Conf. Ser. Mater. Sci. Eng. 2019, 521, 012006. [Google Scholar] [CrossRef]
- Liu, Z.; Shi, G.; Wang, J. Research on Intelligent Prediction Method of Prestressed Cable Force Based on Digital Twins. Ind. Constr. 2021, 51, 1–9+123. [Google Scholar]
- Yvonne, R.; Stürz, M.; Smith, R. Control of an Architectural Cable Net Geometry. IEEE Trans. Control. Syst. Technol. 2019, 28, 1378–1392. [Google Scholar] [CrossRef]
- Cui, Z.; Zhang, X.; Fang, S.; Song, A.; Wang, Z.; Yang, M. Research on Temperature Monitoring and Warning System for Power Cable Joints. In Proceedings of the 11th International Conference on Computer Engineering and Networks; Springer: Singapore, 2022; pp. 1053–1059. [Google Scholar]
- Rizzo, F.; Caracoglia, L. Examination of Artificial Neural Networks to predict wind-induced displacements of cable net roofs. Eng. Struct. 2021, 245, 112956. [Google Scholar] [CrossRef]
- Yang, B.; Zhou, Z.; Wüchner, R.; Zhang, Q. Monitoring of wind effects on a wind-sensitive hybrid structure with single-layer cablenet curtain walls under Typhoon Muifa. J. Build. Eng. 2021, 44, 102960. [Google Scholar] [CrossRef]
- Nie, R.; He, B.; Yan, S.; Ma, X. Optimization design method for the cable network of mesh reflector antennas considering space thermal effects. Aerosp. Sci. Technol. 2019, 94, 105380. [Google Scholar] [CrossRef]
- You, G.; Yang, D. Multi-objective optimization on shape for a cable-net structure with goals of deployment and adjustment ability. China Mech. Eng. 2009, 20, 9. [Google Scholar]
- Tao, F.; Liu, W.; Zhang, M.; Hu, T.; Luo, Y. Five-dimension digital twin model and its ten applications. Jisuanji Jicheng Zhizao Xitong/Comput. Integr. Manuf. Syst. CIMS 2019, 25, 1–18. [Google Scholar]
- Shen, Y.; Luo, B.; Jiang, P.; Ding, M.; Li, Q.; Wei, Y. Development of a Pre-Evaluation and Health Monitoring System for FAST Cable-Net Structure. Appl. Sci. 2022, 12, 332. [Google Scholar] [CrossRef]
- Ahmad, J.; Cheng, S.; Ghrib, F. Impact of cross-tie design on the in-plane stiffness and local mode formation of cable networks on cable-stayed bridges. J. Sound Vib. 2016, 363, 141–155. [Google Scholar] [CrossRef]
- Nan, G.; Wang, X.; Li, C. The technology and application of cable force monitoring for spatial cable structure. Lat. Am. J. Solids Struct. 2021, 18, e416. [Google Scholar] [CrossRef]
- Khalkhaliha, M.; Zarfam, P.; Zarfam, R. Vibration Control of Cable Net Faade by Smart Supports. Struct. Eng. Int. 2021, 32, 520–526. [Google Scholar] [CrossRef]
- Hui, D.; Li, H.; Cheng, S.; Jiang, Y. Monitoring and Analyzing Displacement of Large-Span Spoke-Type Cable Structure Roof. J. Surv. Eng. 2017, 143, 06017001. [Google Scholar] [CrossRef]
- Deng, H.; Guo, X.; Su, C.; Chen, K. Geometric deformation monitoring of the roof truss-string applied to guangzhou international conference exhibition center. J. South China Univ. Technol. Nat. Sci. 2004, 32, 40–42+55. [Google Scholar]
- Luo, B.; Ding, M.; Han, L.; Guo, Z. Structural Optimization of Spoke Single-Layer Cable-Net Structures Based on a Genetic Algorithm. J. Aerosp. Eng. 2018, 31, 04018012. [Google Scholar] [CrossRef]
- Jiang, P.; Nan, R.; Qian, L.; Yue, Y. Studying solutions for the fatigue of the FAST cable-net structure caused by the process of changing shape. Res. Astron. Astrophys. 2015, 15, 1758–1772. [Google Scholar] [CrossRef]
- Liu, R.; Xue, S.; Cao, J.; Li, X.; Liu, Y. Analysis on single-layer hyperbolic cable net structure schemes of stadium roof. Jianzhu Jiegou Xuebao/J. Build. Struct. 2022, 43, 269–276. [Google Scholar]
- Gomes, G.; de Almeida, F.; da Silva Lopes Alexandrino, P.; da Cunha, S.; de Sousa, B.; Ancelotti, A. A multiobjective sensor placement optimization for SHM systems considering Fisher information matrix and mode shape interpolation. Eng. Comput. 2019, 35, 519–535. [Google Scholar] [CrossRef]
- Yang, C.; Ouyang, H. A novel load-dependent sensor placement method for model updating based on time-dependent reliability optimization considering multi-source uncertainties. Mech. Syst. Signal Process. 2022, 165, 108386. [Google Scholar] [CrossRef]
- Yang, C.; Xia, Y. A novel two-step strategy of non-probabilistic multi-objective optimization for load-dependent sensor placement with interval uncertainties. Mech. Syst. Signal Process. 2022, 176, 109173. [Google Scholar] [CrossRef]















| Time | Space | Time and Space | |
|---|---|---|---|
| Characteristic | Collect past and present data and predict future data, analyze time series through their changes, and predict and maintain physical entities or systems. | Obtain and organize a large amount of data from physical entities or systems and build corresponding models to achieve comprehensive observation, understanding, and analysis of physical entities or systems. | By combining time series analysis and spatial models, data analysis and real-time monitoring can be achieved, thereby achieving comprehensive prediction and optimized control of construction sites or systems. |
| Data model | The time data model describes the state and behavior of physical entities or systems over time. | The spatial data model includes the composition structure and spatial layout of physical entities or systems, covering geometric, physical, and other information about components and structures. | The spatiotemporal data model endows spatial data with temporal properties, linking time and space, and describing the real-time performance and state of physical entities or systems. |
| Change characterization | The time cycle can be real-time data based on the construction step level, second level, minute level, hour level, etc., or it can be data that continuously change over time. | The spatial resolution can be micro level, such as component or unit level, or macro level, such as the entire building or engineering, to meet the application needs of different levels. | Search for associated features that exist in physical entities and synchronize them into twin models, such as interactions between objects and mutual influences between features, or relationships between geographic location and weather. |
| Cable Force Deviation | Deformation Deviation | Prediction Deviation | |
|---|---|---|---|
| Normal | <1.02× Simulation value | <1.05× Simulation value | <1.1× Simulation value |
| Blue alert | <1.05× Simulation value | <1.07× Simulation value | <1.2× Simulation value |
| Orange alert | <1.07× Simulation value | <1.1× Simulation value | <1.3× Simulation value |
| Red alert | <1.1× Simulation value | <1.2× Simulation value | <1.5× Simulation value |
| Number | Length (mm) | Effective Cross-Sectional Area (mm2) | Elastic Modulus (N/mm2) | Density (kg/m3) | Poisson’s Ratio | |
|---|---|---|---|---|---|---|
| Stay cables | K5-1b-L1 | 4118.6 | 4420 | (1.6 ± 0.1) × 105 | 7850 | 0.3 |
| Ring cables | XS1-3 | 53,170.7 | 11,000 | (1.6 ± 0.1) × 105 | 7850 | 0.3 |
| Number | Construction Steps | Predictive Value (kN) | Measured Value (kN) | Accuracy |
|---|---|---|---|---|
| CXZS1 | gk41 | 363 | 386.3 | 94% |
| gk42 | 437 | 483.1 | 90% | |
| gk43 | 438 | 471.5 | 93% | |
| gk44 | 440 | 469.4 | 94% | |
| CXZS5 | gk41 | 255 | 248.1 | 97% |
| gk42 | 318 | 300.5 | 94% | |
| gk43 | 318 | 311.5 | 98% | |
| gk44 | 320 | 300.5 | 94% | |
| CXZS9 | gk41 | 255 | 262.7 | 97% |
| gk42 | 317 | 342.8 | 92% | |
| gk43 | 317 | 336.5 | 94% | |
| gk44 | 319 | 328.6 | 97% | |
| CXZS13 | gk41 | 237 | 251.4 | 94% |
| gk42 | 293 | 271.0 | 92% | |
| gk43 | 294 | 281.4 | 96% | |
| gk44 | 297 | 288.6 | 97% |
| Number | Construction Steps | Predictive Value (kN) | Measured Value (kN) | Accuracy |
|---|---|---|---|---|
| WDS3 | gk40 | 316 | 292.9 | 93% |
| gk41 | 371 | 343.9 | 93% | |
| gk42 | 765 | 734.8 | 96% | |
| gk43 | 767 | 751.6 | 98% | |
| WDS5 | gk40 | 1142 | 1049.5 | 92% |
| gk41 | 1275 | 1171.7 | 92% | |
| gk42 | 1632 | 1534.8 | 94% | |
| gk43 | 1635 | 1584.6 | 97% | |
| WDS8 | gk40 | 1221 | 1109.9 | 91% |
| gk41 | 1407 | 1315.8 | 94% | |
| gk42 | 1815 | 1694.3 | 93% | |
| gk43 | 1820 | 1765.4 | 97% | |
| WDS10 | gk40 | 338 | 313.3 | 93% |
| gk41 | 375 | 347.6 | 93% | |
| gk42 | 379 | 357.2 | 94% | |
| gk43 | 381 | 373.4 | 98% |
| Number | Construction Steps | Predictive Value (m) | Measured Value (m) | Accuracy |
|---|---|---|---|---|
| H2 | 31 | 33.25 | 30.1 | 91% |
| 32 | 33.26 | 30.5 | 92% | |
| 33 | 33.43 | 31.5 | 94% | |
| 34 | 33.47 | 32.4 | 97% | |
| H3 | 31 | 35.46 | 33.4 | 94% |
| 32 | 35.47 | 34.1 | 96% | |
| 33 | 35.53 | 34.2 | 96% | |
| 34 | 35.54 | 34.6 | 97% | |
| H5 | 31 | 44.64 | 40.3 | 90% |
| 32 | 44.62 | 40.9 | 92% | |
| 33 | 44.46 | 41.9 | 94% | |
| 34 | 44.46 | 42.3 | 95% |
Disclaimer/Publisher’s Note: The statements, opinions and data contained in all publications are solely those of the individual author(s) and contributor(s) and not of MDPI and/or the editor(s). MDPI and/or the editor(s) disclaim responsibility for any injury to people or property resulting from any ideas, methods, instructions or products referred to in the content. |
© 2023 by the authors. Licensee MDPI, Basel, Switzerland. This article is an open access article distributed under the terms and conditions of the Creative Commons Attribution (CC BY) license (https://creativecommons.org/licenses/by/4.0/).
Share and Cite
Wang, Z.; Zhang, Z.; Liu, Z.; Dezhkam, M.; Zhao, Y. Methods and Applications of Safety Control for Cable Net Structure Considering Spatiotemporal Changes. Sustainability 2023, 15, 13922. https://doi.org/10.3390/su151813922
Wang Z, Zhang Z, Liu Z, Dezhkam M, Zhao Y. Methods and Applications of Safety Control for Cable Net Structure Considering Spatiotemporal Changes. Sustainability. 2023; 15(18):13922. https://doi.org/10.3390/su151813922
Chicago/Turabian StyleWang, Zeqiang, Zehua Zhang, Zhansheng Liu, Majid Dezhkam, and Yifeng Zhao. 2023. "Methods and Applications of Safety Control for Cable Net Structure Considering Spatiotemporal Changes" Sustainability 15, no. 18: 13922. https://doi.org/10.3390/su151813922
APA StyleWang, Z., Zhang, Z., Liu, Z., Dezhkam, M., & Zhao, Y. (2023). Methods and Applications of Safety Control for Cable Net Structure Considering Spatiotemporal Changes. Sustainability, 15(18), 13922. https://doi.org/10.3390/su151813922

