Synthesis and Basic Properties of Y1−xYbxVO4 Obtained by High-Energy Ball Milling and High-Temperature Treatment
Abstract
:1. Introduction
2. Materials and Methods
- –
- SEM using an FE-SEM Hitachi SU–70 microscope. Analyses were performed at an accelerating voltage of 5 and 15 kV and secondary electron images were acquired. (Thermo Fisher Scientific); the blowup of the SEM images was 20.000 and 100.000.
- –
- IR—the measurements were made within the wavenumber range of 1200–400 cm−1, using a spectrophotometer Nicolet iS5 (ThermoFisher, Memphis, TN, USA). The technique of pressing pellets with KBr at the mass ratio of 1:300 was applied.
- –
- LDS using Mastersizer 3000 (Malvern Panalytical, Malvern, UK), He-Ne laser (λ = 632.8 nm), LED (λ = 470.0 nm),
- –
- UV-Vis-DR spectra were measured using a UV-Vis spectrometer V-670 (JASCO, Japan) equipped with a reflecting attachment for the solid-state investigation (integrating sphere attachment with horizontal sample platform PIV-756/(PIN-757). The spectra were recorded in the wavelength region of 200–750 nm at room temperature.
3. Results and Discussion
3.1. Mechanochemical Synthesis
3.2. High-Temperature Treatment
4. Conclusions
Author Contributions
Funding
Institutional Review Board Statement
Informed Consent Statement
Data Availability Statement
Conflicts of Interest
References
- Baláž, P.; Achimovicová, M.; Baláž, M.; Billik, P.; Zara, C.Z.; Criado, J.M.; Delogu, F.; Dutková, E.; Gaffet, E.; Gotor, F.J.; et al. Hallmarks of Mechanochemistry: From Nanoparticles to Technology. Chem. Soc. Rev. 2013, 42, 7571–7637. [Google Scholar] [CrossRef]
- Kutuk, S. Influence of Milling Parameters on Particle Size of Ulexite Material. Powder Technol. 2016, 301, 421–428. [Google Scholar] [CrossRef]
- Piz, M.; Dulian, P.; Filipek, E.; Wieczorek-Ciurowa, K.; Kochmanski, P. Characterization of Phases in the V2O5–Yb2O3 System Obtained by High-Energy Ball Milling and High-Temperature Treatment. J. Mater. Sci. 2018, 53, 13491–13500. [Google Scholar] [CrossRef]
- Dulian, P.; Bąk, W.; Piz, M.; Garbarz-Glos, B.; Sachuk, O.V.; Wieczorek-Ciurowa, K.; Lisińska-Czekaj, A.; Czekaj, D. Mg2+ Doping Effects on the Structural and Dielectric Properties of CaCu3Ti4O12 Ceramics Obtained by Mechanochemical Synthesis. Materials 2021, 14, 1187. [Google Scholar] [CrossRef]
- Levin, E.M. The System Y2O3-V2O5. J. Am. Ceram. Soc. 1978, 50, 381–382. [Google Scholar] [CrossRef]
- Brusset, H.; Madaule-Aubry, F.; Blanck, B.; Glaziou, J.P.; Laude, J.P. Etude Des Oxydes Mixtes de Lanthanides et de Vanadium(V). Can. J. Chem. 1971, 49, 3700–3707. [Google Scholar] [CrossRef]
- Yu, Y.; Cheng, Y.; Zhang, H.; Wang, J.; Cheng, X.; Xia, H. Growth and Thermal Properties of YbVO4 Single Crystal. Mater. Lett. 2006, 60, 1014–1018. [Google Scholar] [CrossRef]
- Eghbali-Arani, M.; Sobhani-Nasab, A.; Rahimi-Nasrabadi, M.; Ahmadi, F.; Pourmasoud, S. Ultrasound-Assisted Synthesis of YbVO4 Nanostructure and YbVO4/CuWO4 Nanocomposites for Enhanced Photocatalytic Degradation of Organic Dyes under Visible Light. Ultrason. Sonochem. 2018, 43, 120–135. [Google Scholar] [CrossRef]
- Gao, Y.; Fan, M.; Fang, Q.; Han, W. Controllable Synthesis, Morphology Evolution and Luminescence Properties of YbVO4 Microcrystals. New J. Chem. 2013, 37, 670–678. [Google Scholar] [CrossRef]
- Fuess, H.; Kallel, A.; Neutronique, D.; Cedex, C.E.N.G.; Temp, K. Refinement of the Crystal Structure of Some Rare Earth Vanadates RVO4 (R = Dy, Tb, Ho, Yb). J. Solid State Chem. 1972, 14, 11–14. [Google Scholar] [CrossRef]
- Baglio, J.A.; Sovers, O.J. Crystal Structures of the Rare-Earth Orthovanadates. J. Solid State Chem. 1971, 3, 458–465. [Google Scholar] [CrossRef]
- Cheng, Y.; Zhang, H.; Zhang, K.; Xin, Z.; Yang, X.; Xu, X.; Gao, W.; Li, D.; Zhao, C.; Xu, J. Growth and Spectroscopic Characteristics of Er3+:YbVO4 Crystal. J. Cryst. Growth 2009, 311, 3963–3968. [Google Scholar] [CrossRef]
- Liu, F.Q.; Sun, S.Q.; Gao, C.Y.; Xu, J.Q. Optical Properties of Nd:YbVO4 Crystal. Opt. Appl. 2015, 45, 63–70. [Google Scholar] [CrossRef]
- Miura, B.A.; Ferreira, N.H.; Oliveira, P.F.; De Faria, E.H.; Tavares, D.C.; Rocha, L.A.; Ciuffi, K.J.; Nassar, E.J. Functionalization of Luminescent YVO4:Eu3+ Nanoparticles by Sol-Gel. J. Lumin. 2015, 159, 93–99. [Google Scholar] [CrossRef]
- He, F.; Yang, P.; Niu, N.; Wang, W.; Gai, S.; Wang, D.; Lin, J. Hydrothermal Synthesis and Luminescent Properties of YVO4:Ln3+ (Ln = Eu, Dy, and Sm) Microspheres. J. Colloid Interface Sci. 2010, 343, 71–78. [Google Scholar] [CrossRef]
- Li, G.; Chao, K.; Peng, H.; Chen, K. Hydrothermal Synthesis and Characterization of YVO4 and YVO4:Eu3+ Nanobelts and Polyhedral Micron Crystals. J. Phys. Chem. C 2008, 112, 6228–6231. [Google Scholar] [CrossRef]
- Erdei, S.; Ainger, F.W.; Cross, L.E.; White, W.B. Hydrolyzed Colloid Reaction (HCR) Technique for Preparation of YVO4, YPO4, YVxP1−xO4. Mater. Lett. 1994, 21, 143–147. [Google Scholar] [CrossRef]
- LeBret, J.B.; Norton, M.G.; Bahr, D.F. Examination of Crystal Defects with High-KV X-Ray Computed Tomography. Mater. Lett. 2005, 59, 1113–1116. [Google Scholar] [CrossRef]
- Lebret, J.B.; Norton, M.G.; Bahr, D.F.; Field, D.P.; Lynn, K.G. Characterization of Low Angle Grain Boundaries in Yttrium Orthovanadate. J. Mater. Sci. 2005, 40, 3347–3353. [Google Scholar] [CrossRef]
- Yu, M.; Lin, J.; Wang, Z.; Fu, J.; Wang, S.; Zhang, H.J.; Han, Y.C. Fabrication, Patterning, and Optical Properties of Nanocrystalline YVO4:A (A = Eu3+, Dy3+, Sm3+, Er3+) Phosphor Films via Sol-Gel Soft Lithography. Chem. Mater. 2002, 14, 2224–2231. [Google Scholar] [CrossRef]
- Cheng, Z.; Xing, R.; Hou, Z.; Huang, S.; Lin, J. Patterning of Light-Emitting YVO4:Eu3+ Thin Films via Inkjet Printing. J. Phys. Chem. C 2010, 114, 9883–9888. [Google Scholar] [CrossRef]
- Chen, J.; Guo, F.; Zhuang, N.; Lan, J.; Hu, X.; Gao, S. A Study on the Growth of Yb:YVO4 Single Crystal. J. Cryst. Growth 2002, 243, 450–455. [Google Scholar] [CrossRef]
- Zhong, D.; Teng, B.; Li, J.; Zhang, S.; Zhang, B.; Wang, C.; Tian, X.; Liu, J. Growth and Laser Action of Yb: YVO4 Crystals with Low Yb Doping Concentration. J. Cryst. Growth 2012, 358, 16–19. [Google Scholar] [CrossRef]
- Voron’ko, Y.K.; Kochurikhin, V.V.; Sobol’, A.A.; Ushakov, S.N.; Shukshin, V.E. Growth and Spectroscopic Study of Yb3+-Activated YVO4 Crystals. Inorg. Mater. 2004, 40, 1083–1087. [Google Scholar] [CrossRef]
- Klassen, A.V.; Matsukura, M.; Nakamura, O.; Kochurikhin, V.V.; Ivanov, M.A.; Orlova, G.Y.; Miyamoto, A.; Furukawa, Y. Edge-Defined Film-Fed Growth of Yb:YVO4 Single Crystal Plates. J. Cryst. Growth 2008, 310, 2895–2898. [Google Scholar] [CrossRef]
- Zhang, Q.; Saito, F. A Review on Mechanochemical Syntheses of Functional Materials. Adv. Powder Technol. 2012, 23, 523–531. [Google Scholar] [CrossRef]
- Au, C.T.; Zhang, W.D.; Wan, H.L. Preparation and Characterization of Rare Earth Orthovanadates for Propane Oxidative Dehydrogenation. Catal. Lett. 1996, 37, 241–246. [Google Scholar] [CrossRef]
- Tojo, T.; Zhang, Q.; Saito, F. Mechanochemical Synthesis of Rare Earth Orthovanadates from R2O3 (R = Rare Earth Elements) and V2O5 Powders. J. Alloys Compd. 2007, 427, 219–222. [Google Scholar] [CrossRef]
- Erdei, S. Preparation of YVO4 Powder from the Y2O3 + V2O5 + H2O System by a Hydrolysed Colloid Reaction (HCR) Technique. J. Mater. Sci. 1995, 30, 4950–4959. [Google Scholar] [CrossRef]
- Wang, X.; Loa, I.; Syassen, K.; Hanfland, M.; Ferrand, B. Structural Properties of the Zircon- and Scheelite-Type Phases of YVO4 at High Pressure. Phys. Rev. B Condens. Matter 2004, 70, 3–8. [Google Scholar] [CrossRef]
- Souad, M.; Mohammed, S.; Mohamed, D.; Claude, D. The Effect of Pressure on the Structural and Electronic Properties of Yttrium Orthovanadate YVO4 Compound: Total-Energy Calculations. Z. FürKrist. Cryst. Mater. 2010, 225, 514–519. [Google Scholar] [CrossRef]
- Chakoumakos, B.C.; Abraham, M.M.; Boatner, L.A. Crystal Structure Refinements of Zircon-Type MVO4 (M = Sc, Y, Ce, Pr, Nd, Tb, Ho, Er, Tm, Yb, Lu). J. Solid State Chem. 1994, 109, 197–202. [Google Scholar] [CrossRef]
- Wiglusz, R.J.; Marciniak, L.; Pazik, R.; Strek, W. Structural and Spectroscopic Characterization of Nd3+-Doped YVO4 Yttrium Orthovanadate Nanocrystallites. Cryst. Growth Des. 2014, 14, 5512–5520. [Google Scholar] [CrossRef]
- Reitz, C.; Smarsly, B.; Brezesinski, T. General Synthesis of Ordered Mesoporous Rare-Earth Orthovanadate Thin Films and Their Use as Photocatalysts and Phosphors for Lighting Applications. ACS Appl. Nano Mater. 2019, 2, 1063–1071. [Google Scholar] [CrossRef]
- Errandonea, D.; Garg, A.B. Recent Progress on the Characterization of the High-Pressure Behaviour of AVO4 Orthovanadates. Prog. Mater. Sci. 2018, 97, 123–169. [Google Scholar] [CrossRef]
- Kolesnikov, I.E.; Golyeva, E.V.; Kurochkin, M.A.; Kolesnikov, E.Y.; Lähderanta, E. Concentration Series of Sm3+-Doped YVO4 Nanoparticles: Structural, Luminescence and Thermal Properties. J. Lumin. 2020, 219, 116946. [Google Scholar] [CrossRef]
- Getz, M.N.; Nilsen, O.; Hansen, P.A. Sensors for Optical Thermometry Based on Luminescence from Layered YVO4: Ln3+ (Ln = Nd, Sm, Eu, Dy, Ho, Er, Tm, Yb) Thin Films Made by Atomic Layer Deposition. Sci. Rep. 2019, 9, 1–11. [Google Scholar] [CrossRef]
- Dai, Y.; Chen, J.; Tang, Y.; Xiang, H.; Li, J.; Fang, L. Relationship between Bond Characteristics and Microwave Dielectric Properties of REVO4 (RE = Yb, Ho) Ceramics. Ceram. Int. 2023, 49, 875–881. [Google Scholar] [CrossRef]
- Wang, S.; Wang, P.; Ruan, Y.; Wang, Y.; Zhang, S. Photoluminescence Characteristics and Energy Transfer Phenomena in Ce3+-Doped YVO4 single Crystal. Sci. Eng. Compos. Mater. 2021, 28, 205–214. [Google Scholar] [CrossRef]
- Zhao, B.; Ye, Y.; Chen, J.; Lin, H.; Zhang, G.; Mateos, X.; Serres, J.M.; Aguiló, M.; Díaz, F.; Loiko, P.; et al. Growth, Spectroscopy, and Laser Operation of “Mixed” Vanadate Crystals Yb:Lu1−x-YYxLayVO4. Opt. Mater. Express 2018, 8, 493. [Google Scholar] [CrossRef]
- Vadivel, S.; Paul, B.; Kumaravel, M.; Hariganesh, S.; Rajendran, S.; Prasanga Gayanath Mantilaka, M.M.M.G.; Mamba, G.; Puviarasu, P. Facile Synthesis of YbVO4, and YVO4 Nanostructures through MOF Route for Photocatalytic Applications. Inorg. Chem. Commun. 2020, 115, 107855. [Google Scholar] [CrossRef]
- Ćirić, A.; Stojadinović, S.; Dramićanin, M.D. Time-Integrated Luminescence Thermometry of Eu3+ and Dy3+ Doped YVO4. Sens. Actuators A Phys. 2019, 295, 450–455. [Google Scholar] [CrossRef]
- Wang, Y.; Song, X.X.; Tang, W.J.; Jia, C.L. Multi-Wavelength Emission from Er-Implanted YbVO4 Crystal. Phys. Solid State 2020, 62, 1067–1073. [Google Scholar] [CrossRef]
- Kolesnikov, I.E.; Mamonova, D.V.; Kurochkin, M.A.; Kolesnikov, E.Y.; Lähderanta, E. Optical Thermometry by Monitoring Dual Emissions from YVO4 and Eu3+ in YVO4:Eu3+ Nanoparticles. ACS Appl. Nano Mater. 2021, 4, 1959–1966. [Google Scholar] [CrossRef]
- Pourmasoud, S.; Sobhani-Nasab, A.; Behpour, M.; Rahimi-Nasrabadi, M.; Ahmadi, F. Investigation of Optical Properties and the Photocatalytic Activity of Synthesized YbYO4 Nanoparticles and YbVO4/NiWO4 Nanocomposites by Polymeric Capping Agents. J. Mol. Struct. 2018, 1157, 607–615. [Google Scholar] [CrossRef]
- Rivera-Enríquez, C.E.; Fernández-Osorio, A.L. Synthesis of YVO4:Eu3+ Nanophosphors by the Chemical Coprecipitation Method at Room Temperature. J. Lumin. 2021, 236, 118110. [Google Scholar] [CrossRef]
- Blonska-Tabero, A.; Bosacka, M.; Filipek, E.; Piz, M.; Kochmanski, P. High-Temperature Synthesis and Unknown Properties of M3Cr4(PO4)6, Where M = Zn or Mg and a New Solid Solution Zn1.5Mg1.5Cr4(PO4)6. J. Therm. Anal. Calorim. 2020, 140, 2625–2631. [Google Scholar] [CrossRef]
- Filipek, E.; Paczesna, A.; Piz, M. Sr2InV3O11—New Ceramic Compound in Sr2V2O7–InVO4 System and Its Characteristic. Ceram. Int. 2016, 42, 14148–14154. [Google Scholar] [CrossRef]
- Piz, M.; Filipek, E. Synthesis and Homogeneity Range of Yb8−xYxV2O17 in the Yb8V2O17–Y8V2O17 System. J. Therm. Anal. Calorim. 2017, 130, 277–283. [Google Scholar] [CrossRef]
- Dąbrowska, G.; Filipek, E.; Tabero, P. New Solid Solution and Phase Equilibria in the Subsolidus Area of the Three-Component CuO–V2O5–Ta2O5 Oxide System. Materials 2022, 15, 232. [Google Scholar] [CrossRef]
- Kutuk-Sert, T. Stability Analyses of Submicron-Boron Mineral Prepared by Mechanical Milling Process in Concrete Roads. Constr. Build. Mater. 2016, 121, 255–264. [Google Scholar] [CrossRef]
- Kutuk-Sert, T.; Ozturk, M.; Kutuk, S. Digital Image Processing of Warm Mix Asphalt Enriched with Nanocolemanite and Nanoulexite Minerals. Constr. Build. Mater. 2023, 399, 132542. [Google Scholar] [CrossRef]
- Vucinic-Vasic, M.; Kremenovic, A.; Nikolic, A.S.; Colomban, P.; Mazzerolles, L.; Kahlenberg, V.; Antic, B. Core and Shell Structure of Ytterbium Sesquioxide Nanoparticles. J. Alloys Compd. 2010, 502, 107–111. [Google Scholar] [CrossRef]
- Garg, A.B.; Rao, R.; Sakuntala, T.; Wani, B.N.; Vijayakumar, V. Phase Stability of YbVO4 under Pressure: In Situ x-Ray and Raman Spectroscopic Investigations. J. Appl. Phys. 2009, 106, 063513. [Google Scholar] [CrossRef]
- Vasundhara, K.; Achary, S.N.; Patwe, S.J.; Sahu, A.K.; Manoj, N.; Tyagi, A.K. Structural and Oxide Ion Conductivity Studies on Yb1−xBixO1.5 (0.00 ≤ x ≤ 0.50) Composites. J. Alloys Compd. 2014, 596, 151–157. [Google Scholar] [CrossRef]
- Heiba, Z.K.; Akin, Y.; Sigmund, W.; Hascicek, Y.S. X-ray Structure and Microstructure Determination of the Mixed Sesquioxides (Eu1−xYbx)2O3 Prepared by a Sol-Gel Process. J. Appl. Crystallogr. 2003, 36, 1411–1416. [Google Scholar] [CrossRef]












| No. | % mol | x in Y1−xYbxVO4 | Phase Composition of Samples after Synthesis by High-Energy Ball Milling and High-Temperature Treatment | |
|---|---|---|---|---|
| YVO4 | YbVO4 | |||
| 1 | 90.00 | 10.00 | 0.10 | Y0.90Yb0.10VO4 |
| 2 | 75.00 | 25.00 | 0.25 | Y0.75Yb0.25VO4 |
| 3 | 50.00 | 50.00 | 0.50 | Y0.50Yb0.50VO4 |
| 4 | 25.00 | 75.00 | 0.75 | Y0.25Yb0.75VO4 |
| 5 | 10.00 | 90.00 | 0.90 | Y0.10Yb0.90VO4 |
| x in Y1−xYbxVO4 | a, b [nm] | c [nm] | α, β, γ [°] | V [nm3] | dxrd/dexp [g/cm3] |
|---|---|---|---|---|---|
| 0.10 | 0.70553 | 0.67501 | 90.00 | 0.3360 | 4.20/4.09 ± 0.05 |
| 0.25 | 0.70207 | 0.67435 | 90.00 | 0.3324 | 4.50/4.37 ± 0.05 |
| 0.50 | 0.70185 | 0.67130 | 90.00 | 0.3307 | 4.95/4.67 ± 0.05 |
| 0.75 | 0.69929 | 0.66908 | 90.00 | 0.3272 | 5.42/5.08 ± 0.05 |
| 0.90 | 0.69888 | 0.65875 | 90.00 | 0.3217 | 5.77/5.43 ± 0.05 |
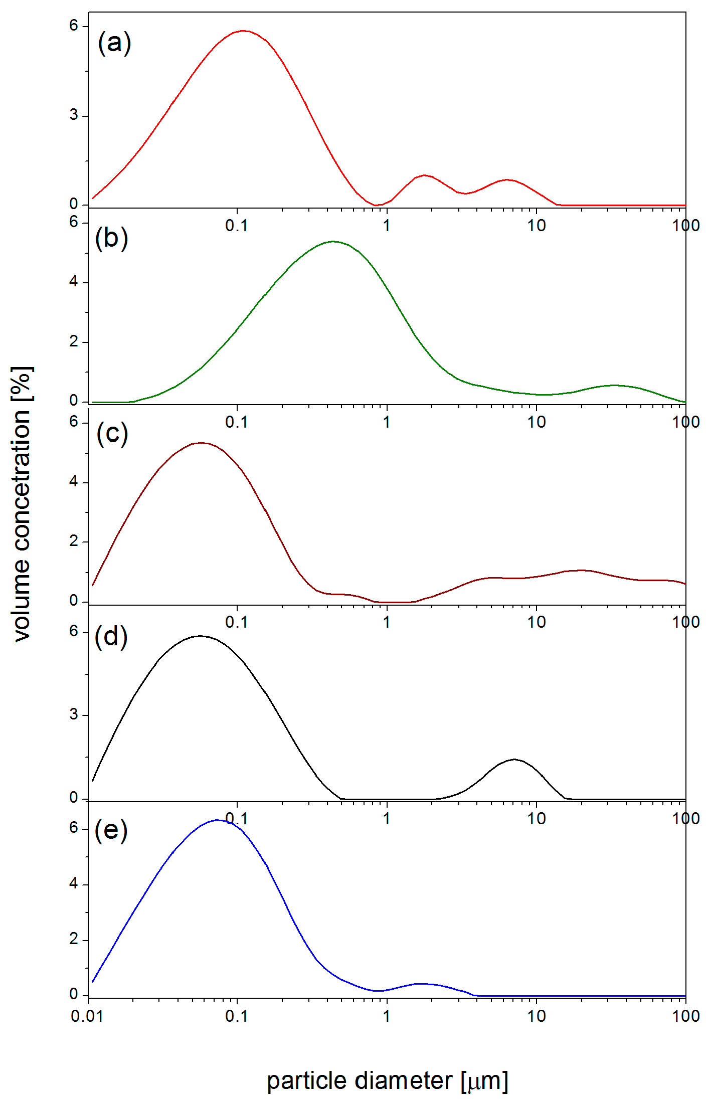
| Formula of Solid Solution | Particle Size [µm] | ||
|---|---|---|---|
| d90 | d50 | d10 | |
| Y0.90Yb0.10VO4 | 1.010 | 0.105 | 0.029 |
| Y0.75Yb0.25VO4 | 2.420 | 0.432 | 0.102 |
| Y0.50Yb0.50VO4 | 19.500 | 0.077 | 0.022 |
| Y0.25Yb0.75VO4 | 0.416 | 0.069 | 0.021 |
| Y0.10Yb0.90VO4 | 0.233 | 0.067 | 0.021 |
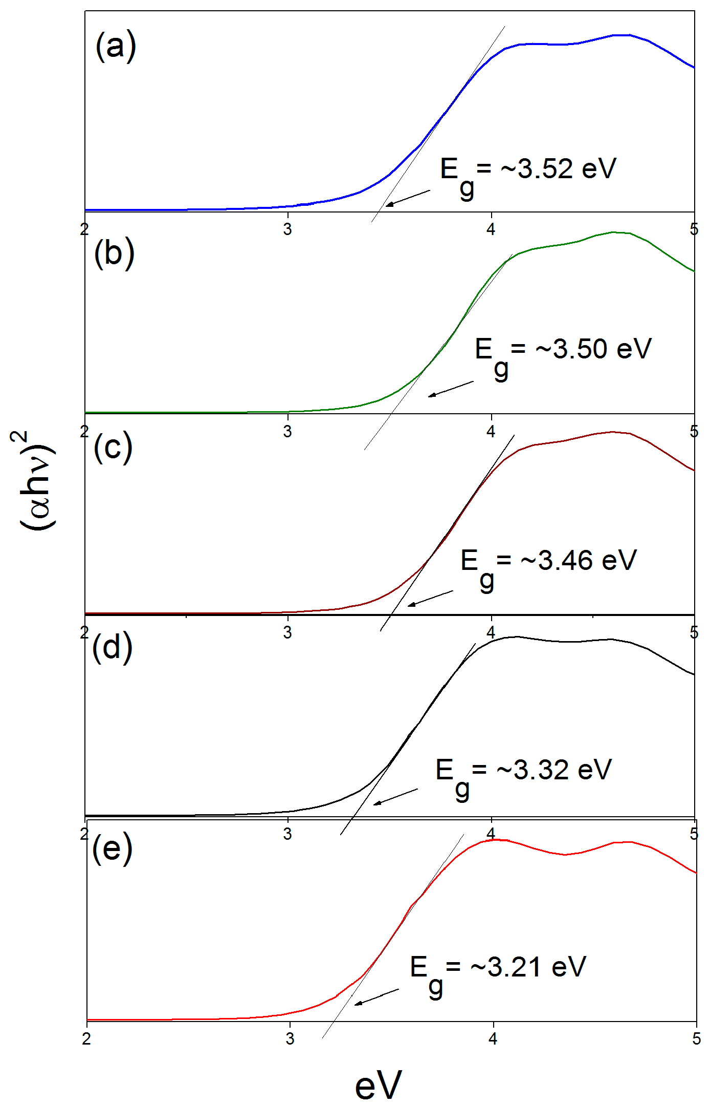
| x in Y1−xYbxVO4 | a, b [nm] | c [nm] | α, β, γ [°] | V [nm3] | dxrd/dexp [g/cm3] |
|---|---|---|---|---|---|
| 0.10 | 0.71097 | 0.62832 | 90.00 | 0.3176 | 4.44/4.40 ± 0.05 |
| 0.25 | 0.70933 | 0.62739 | 90.00 | 0.3157 | 4.73/4.71 ± 0.05 |
| 0.50 | 0.70803 | 0.62677 | 90.00 | 0.3142 | 5.20/5.19 ± 0.05 |
| 0.75 | 0.70566 | 0.62523 | 90.00 | 0.3113 | 5.70/5.67 ± 0.05 |
| 0.90 | 0.70473 | 0.62475 | 90.00 | 0.3103 | 5.99/5.97 ± 0.05 |
Disclaimer/Publisher’s Note: The statements, opinions and data contained in all publications are solely those of the individual author(s) and contributor(s) and not of MDPI and/or the editor(s). MDPI and/or the editor(s) disclaim responsibility for any injury to people or property resulting from any ideas, methods, instructions or products referred to in the content. |
© 2023 by the authors. Licensee MDPI, Basel, Switzerland. This article is an open access article distributed under the terms and conditions of the Creative Commons Attribution (CC BY) license (https://creativecommons.org/licenses/by/4.0/).
Share and Cite
Piz, M.; Filipek, E.; Klukowski, D.; Kochmański, P. Synthesis and Basic Properties of Y1−xYbxVO4 Obtained by High-Energy Ball Milling and High-Temperature Treatment. Sustainability 2023, 15, 14606. https://doi.org/10.3390/su151914606
Piz M, Filipek E, Klukowski D, Kochmański P. Synthesis and Basic Properties of Y1−xYbxVO4 Obtained by High-Energy Ball Milling and High-Temperature Treatment. Sustainability. 2023; 15(19):14606. https://doi.org/10.3390/su151914606
Chicago/Turabian StylePiz, Mateusz, Elżbieta Filipek, Daniel Klukowski, and Paweł Kochmański. 2023. "Synthesis and Basic Properties of Y1−xYbxVO4 Obtained by High-Energy Ball Milling and High-Temperature Treatment" Sustainability 15, no. 19: 14606. https://doi.org/10.3390/su151914606
APA StylePiz, M., Filipek, E., Klukowski, D., & Kochmański, P. (2023). Synthesis and Basic Properties of Y1−xYbxVO4 Obtained by High-Energy Ball Milling and High-Temperature Treatment. Sustainability, 15(19), 14606. https://doi.org/10.3390/su151914606

