Thermomechanical Analyses of Alkali-Treated Coconut Husk-Bagasse Fiber-Calcium Carbonate Hybrid Composites
Abstract
1. Introduction
2. Materials and Methods
2.1. Materials
2.2. Chemical Treatment of Fibers
2.3. Development of Composite
2.4. Characterizations
3. Results
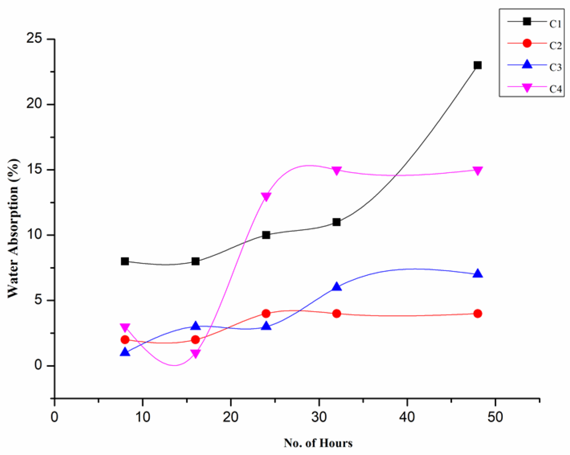
3.1. Water Absorption
3.2. Tensile Strength
3.3. Compression Strength
3.4. Flexural Strength
3.5. Thermogravimetric Analysis
3.6. Microstructure
4. Conclusions
- The water absorption capacity of the composite with both unmodified fibers was found to be the highest among all the developed composites. The water absorption capacity of the composites decreases in the case of treated fiber composites and is found to be the least in the C2 composite (having both fibers chemically treated). The water absorption capacity of the C4 composite with modified bagasse fiber and unmodified coconut husk fiber was higher than that of the C3 composite with modified coconut husk fiber and unmodified bagasse fiber.
- The ultimate tensile strength of the C1 composite with both unmodified fibers was the least among the developed composites. Modifying the fibers shows adequate bonding between the “fibers and the matrix”. The ultimate tensile strength of the composites with both modified fibers (C2) was the highest among the developed composites. The C3 composite with modified coconut husk fiber and unmodified bagasse fiber was higher than the C4 composite with modified bagasse fiber and unmodified coconut husk fiber.
- The compressive strength of the composites increased by modifying the fibers. In addition, the yield strength of all developed composites followed the same pattern, while the elastic modulus of the C3 composite with modified coconut husk and un-modified bagasse fiber was found to be the highest amongst all the composites. The C1 composite, with both unmodified fibers, was found to have the least elastic modules among all the developed composites.
- The flexural strength of the C1 composite (both untreated bagasse and coconut husk) was found to be the least among all the developed composites. The flexural strength of the composites tends to increase with chemically modified fibers. The C2 composite with both modified fibers was found to be highest amongst all the developed composites, followed by the C3 composite with modified coconut husk and un-modified bagasse fiber. The flexural strength of the composite C4 was higher than C1 but lower than C2 and C3.
- Thermal studies showed that all the developed composites have good thermal stabilities, but the modified/alkali-treated composites show better thermal stability than the untreated/unmodified ones.
Author Contributions
Funding
Institutional Review Board Statement
Informed Consent Statement
Data Availability Statement
Acknowledgments
Conflicts of Interest
References
- Acharya, S.K.; Mishra, P.P.; Mehar, S.K. The Influence of Fiber Treatment on the Performance of Bagasse Fiber-Reinforced Polymer Composite. J. Reinf. Plast. Compos. 2008, 28, 3027–3036. [Google Scholar] [CrossRef]
- Arunachalam, V. Coconut. In Genomics of Cultivated Palms; Elsevier Inc.: Amsterdam, The Netherlands, 2012; pp. 13–27. [Google Scholar] [CrossRef]
- Bradley, W.L.; Conroy, S. Using agricultural waste to create more environmentally friendly and affordable products and help poor coconut farmers. E3S Web Conf. 2019, 130, 01034. [Google Scholar] [CrossRef]
- Kosseva, M. Waste From Fruit Wine Production; Elsevier Inc.: Amsterdam, The Netherlands, 2017; pp. 557–598. [Google Scholar] [CrossRef]
- Leow, Y.; Sequerah, V.; Tan, Y.C.; Yu, Y.; Peterson, E.C.; Jiang, C.; Zhang, Z.; Yang, L.; Loh, X.J.; Kai, D. A tough, biodegradable and water-resistant plastic alternative from coconut husk. Compos. Part B Engineer. 2022, 241, 110031. [Google Scholar] [CrossRef]
- Fiorelli, J.; Bueno, S.B.; Cabral, M.R. Assessment of multilayer particleboards produced with green coconut and sugarcane bagasse fibers. Constr. Build. Mater. 2019, 205, 1–9. [Google Scholar] [CrossRef]
- Carvalho, K.; Mulinari, D.; Voorwald, H.; Cioffi, M. Chemical Modification Effect on the Mechanical Properties of Hips/Coconut Fiber Composites. Bioresources 2010, 5, 1143–1155. [Google Scholar] [CrossRef]
- Abdullah, N.M.; Ahmad, I. Effect of Chemical Treatment on Mechanical and Water-Sorption Properties Coconut Fiber-Unsaturated Polyester from Recycled PET. Int. Sch. Res. Notices 2012, 2012, 134683. [Google Scholar] [CrossRef]
- Brígida, A.; Calado, V.; Gonçalves, L.; Coelho, M. Effect of chemical treatments on properties of green coconut fiber. Carbohydr. Polym. 2010, 79, 832–838. [Google Scholar] [CrossRef]
- Osorio, J.C.M.; Baracaldo, R.R.; Florez, J.J.O. The influence of alkali treatment on banana fibre’s mechanical properties. Ing. E Investig. 2012, 32, 83–87. [Google Scholar]
- Mylsamy, K.; Rajendran, I. Influence of alkali treatment and fibre length on mechanical properties of short Agave fibre reinforced epoxy composites. Mater. Des. 2011, 32, 4629–4640. [Google Scholar] [CrossRef]
- Kabir, M.M.; Wang, H.; Lau, K.T.; Cardona, F. Chemical treatments on plant-based natural fibre reinforced polymer composites: An overview. Compos. Part B Eng. 2012, 43, 2883–2892. [Google Scholar] [CrossRef]
- Bismarck, A.; Mohanty, A.K.; Aranberri-Askargorta, I.; Czapla, S.; Misra, M.; Hinrichsen, G.; Springer, J. Surface characterization of natural fibers; surface properties and the water up-take behavior of modified sisal and coir fibers. Green Chem. 2001, 3, 100–107. [Google Scholar] [CrossRef]
- Balaji, A.; Udhayasankar, R.; Karthikeyan, B.; Swaminathan, J.; Purushothaman, R. Mechanical and thermal characterization of bagasse fiber/coconut shell particle hybrid biocomposites reinforced with cardanol resin. Results Chem. 2020, 2, 100056. [Google Scholar] [CrossRef]
- Ouarhim, W.; Zari, N. Mechanical Performance of Natural Fibers Based Thermosetting Composites, 1st ed.; Woodhead Publishing: Sawston, UK, 2019. [Google Scholar] [CrossRef]
- Oladele, I.O.; Ibrahim, I.O.; Akinwekomi, A.D.; Talabi, S.I. Effect of mercerization on the mechanical and thermal response of hybrid bagasse fiber/CaCO3 reinforced polypropylene composites. Polym. Test. 2019, 76, 192–198. [Google Scholar] [CrossRef]
- Hashim, M.Y.; Roslan, M.N.; Amin, A.M.; Zaidi, A.M.A.; Ariffin, S. Mercerization Treatment Parameter Effect on Natural Fiber Reinforced Polymer Matrix Composite: A Brief Review. World Acad. Sci. Eng. Technol. 2012, 6, 1638. [Google Scholar]
- Durowaye, S.I.; Lawal, O.; Sekunowo, E.; Okonkwo, G. Synthesis and characterisation of hybrid polyethylene terephthalate matrix composites reinforced with Entada Mannii fibre particles and almond shell particles. J. King Saud Univ. Eng. 2018, 31, 4–12. [Google Scholar] [CrossRef]
- Huner, U. Effect of Chemical Surface Treatment on Flax-Reinforced Epoxy Composite. J. Nat. Fibers 2018, 15, 808–821. [Google Scholar] [CrossRef]
- Nampitch, T. Mechanical, thermal and morphological properties of polylactic acid/natural rubber/bagasse fiber composite foams. Results Mater. 2021, 12, 100225. [Google Scholar] [CrossRef]
- Naguib, H.M.; Kandil, U.F.; Hashem, A.I.; Boghdadi, Y.M. Effect of fiber loading on the mechanical and physical properties of ‘green’ Bagasse–polyester composite. J. Radiat. Res. Appl. Sci. 2015, 8, 544–548. [Google Scholar] [CrossRef]
- Kumar, S.M.S.; Duraibabu, D.; Subramanian, K. Studies on mechanical, thermal and dynamic mechanical properties of untreated (raw) and treated coconut sheath fiber reinforced epoxy composites. J. Mater. 2014, 59, 63–69. [Google Scholar] [CrossRef]
- Gapsari, F.; Mudjib, S.A.; Putri, T.M.; Juliano, H.; Djakfar, L.; Handajani, R.P.; Budio, S.P.; Juwono, P.T.; Jagadeesh, P.; Rangappa, S.M.; et al. Influence of calcium carbonate fillers on pine fiber reinforced polyester composites. Polym. Compos. 2022, 43, 4306–4317. [Google Scholar] [CrossRef]
- Verma, D.; Gope, P.C.; Maheshwari, M.K.; Sharma, R.K. Mechanical Properties and Morphological Study of Fly-Ash–Bagasse Composites. J. Inst. Eng. (India) Ser. D 2012, 93, 65–71. [Google Scholar] [CrossRef]
- Verma, D.; Gope, P. Coir Fiber Reinforcement and Application in Polymer Composites: A Review. J. Mater. Environ. Sci. 2016, 4, 263–276. [Google Scholar]
- Verma, D.; Gope, P.C.; Maheshwari, M.K.; Sharma, R.K. Bagasse fiber composites—A review. J. Mater. Environ. Sci. 2012, 3, 1079–1092. [Google Scholar]
- El Mechtali, F.Z.; Essabir, H.; Nekhlaoui, S.; Ouadi Bensalah, M.; Jawaid, M.; Bouhfid, R.; Qaiss, A. Mechanical and Thermal Properties of Polypropylene Reinforced with Almond Shells Particles: Impact of Chemical Treatments. J. Bionic Eng. 2015, 12, 483–494. [Google Scholar] [CrossRef]
- Deepak, V.; Kheng Lim, G. Interfacial Studies of Natural Fiber Reinforced Particulate Thermoplastic Composites and Their Mechanical Properties. J. Nat. Fibers 2022, 19, 2299–2326. [Google Scholar]
- Misra, A.; Singh, V.K. Experimental analysis of two dimensional photoelastic properties used in fracture mechanics. J. Inst. Eng. (India) Mech. Eng. Div. 2010, 91, 21–24. [Google Scholar]
- Han, S.O.; Drzal, L.T. Water absorption effects on hydrophilic polymer matrix of carboxyl functionalized glucose resin and epoxy resin. Eur. Polym. J. 2003, 39, 1791–1799. [Google Scholar] [CrossRef]
- Johari, A.P.; Kurmvanshi, S.K.; Mohanty, S.; Nayak, S.K. Influence of surface modified cellulose microfibrils on the improved mechanical properties of poly (lactic acid). Int. J. Biol. Macromol. 2016, 84, 329–339. [Google Scholar] [CrossRef]
- Sareena, C.; Ramesan, M.T.; Purushothaman, E. Utilization of coconut shell powder as a novel filler in natural rubber. J. Reinf. Plast. Compos. 2012, 31, 533–547. [Google Scholar] [CrossRef]
- Azlina, N.; Jawaid, M.; Abdul, S.; Yamani, K.; Syams, E. Effect of surface treatment on mechanical, physical and morphological properties of oil palm/bagasse fiber reinforced phenolic hybrid composites for wall thermal insulation application. Constr. Build. Mater. 2021, 276, 122239. [Google Scholar] [CrossRef]
- Padmavathi, T.; Naidu, S.V. Studies on Mechanical Behavior of Surface Modified Sisal Fibre—Epoxy Composites. J. Reinf. Plast. Compos. 2012, 31, 519–532. [Google Scholar] [CrossRef]
- Li, K.; Qiu, R.; Liu, W. Improvement of interfacial adhesion in natural plant fiber-reinforced unsaturated polyester composites: A critical review. Rev. Adhes. Adhes. 2015, 3, 98–120. [Google Scholar] [CrossRef]
- Lee, S.Y.; Chun, S.J.; Doh, G.H.; Kang, I.A.; Lee, S.; Paik, K.H. Influence of Chemical Modification and Filler Loading on Fundamental Properties of Bamboo Fibers Reinforced Polypropylene Composites. J. Compos. Mater. 2009, 43, 1639–1657. [Google Scholar] [CrossRef]
- Yang, K.; Yang, Q.; Li, G.; Sun, Y.; Feng, D. Morphology and mechanical properties of polypropylene/calcium carbonate nanocomposites. Mater. Lett. 2006, 60, 805–809. [Google Scholar] [CrossRef]
- Hemmasi, A.H.; Khademi-Eslam, H.; Talaiepoor, M.; Kord, B.; Ghasemi, I. Effect of nanoclay on the mechanical and morphological properties of wood polymer nanocomposite. J. Reinf. Plast. Compos. 2010, 29, 964–971. [Google Scholar] [CrossRef]
- Bharath, K.N.; Madhu, P.; Gowda, Y.; Sanjay, M.R.; Kushvaha, V.; Siengchin, S. Alkaline Effect on Characterization of Discarded Waste of Moringa oleifera Fiber as a Potential Eco-friendly Reinforcement for Biocomposites. J. Polym. Environ. 2020, 28, 2823–2836. [Google Scholar] [CrossRef]
- Yorseng, K.; Rangappa, S.M.; Parameswaranpillai, J.; Siengchin, S. Influence of Accelerated Weathering on the Mechanical, Fracture Morphology, Thermal Stability, Contact Angle, and Water Absorption Properties of Natural Fiber Fabric-Based Epoxy Hybrid Composites. Polymers 2020, 12, 2254. [Google Scholar] [CrossRef]
- Jothibasu, S.; Mohanamurugan, S.; Vijay, R.; Singaravelu, D.L.; Vinod, A.; Sanjay, M.R. Investigation on the mechanical behavior of areca sheath fibers/jute fibers/glass fabrics reinforced hybrid composite for light weight applications. J. Ind. Text. 2020, 49, 1036–1060. [Google Scholar] [CrossRef]
- Anggono, J.; Habibi, N.R.; Sugondo, D.S. Alkali treatment on sugarcane bagasse to improve properties of green composites of sugarcane bagasse fibers-polypropylene. Ceram. Eng. Sci. Proc. 2014, 35, 139–149. [Google Scholar] [CrossRef]
- Yang, G.; Heo, Y.J.; Park, S.J. Effect of morphology of calcium carbonate on toughness behavior and thermal stability of epoxy-based composites. Processes 2019, 7, 178. [Google Scholar] [CrossRef]
- Cao, Y.; Shibata, S.; Fukumoto, I. Mechanical properties of biodegradable composites reinforced with bagasse fibre before and after alkali treatments. Compos. Part A Appl. Sci. Manuf. 2006, 37, 423–429. [Google Scholar] [CrossRef]








| Items | Percentage (%) |
|---|---|
| Moisture | 49.0 |
| Fiber | 48.7 |
| Soluble solids | 2.3 |
| Items | Percentage (%) |
|---|---|
| Water soluble substances | 5.25 |
| Pectin, other soluble in boiling water | 3.00 |
| Hemicelluloses | 0.25 |
| Lignin | 45.84 |
| Cellulose | 43.44 |
| Ash | 2.22 |
| Composites | Specification |
|---|---|
| C1 | Un-modified bagasse (10 wt%) + Un-modified coconut husk (10 wt%) + calcium carbonate (4 wt%) |
| C2 | Modified bagasse (10 wt%) + Modified coconut husk (10 wt%) + calcium carbonate (4 wt%) |
| C3 | Un-modified bagasse (10 wt%) + Modified coconut husk (10 wt%) + calcium carbonate (4 wt%) |
| C4 | Modified bagasse (10 wt%) + Un-modified coconut husk (10 wt%) + calcium carbonate (4 wt%) |
| Properties | C1 | C2 | C3 | C4 |
|---|---|---|---|---|
| Tensile Modulus (GPa) | 4.7 | 5 | 5 | 2.5 |
| Tensile Strength (MPa) | 18.8 | 31 | 25.6 | 19.5 |
| Elongation at break (%) | 1.6 | 2.3 | 1.3 | 1.6 |
| Properties | C1 | C2 | C3 | C4 |
|---|---|---|---|---|
| E (GPa) | 6.75 | 9.45 | 14.73 | 9.9 |
| Ultimate Compression Strength (MPa) | 34 | 91.53 | 65 | 44.5 |
| Ultimate Tensile Strength (MPa) | 18.8 | 31 | 25.6 | 19.46 |
| Ult Comp. Strength/Ult Ten. Strength (MPa) | 1.808 | 2.957 | 2.46 | 2.289 |
| Properties | C1 | C2 | C3 | C4 |
|---|---|---|---|---|
| E (GPa) | 18.8 | 31 | 25.6 | 19.46 |
| Flexural strength (MPa) | 37.16 | 63.39 | 52.82 | 48.63 |
Disclaimer/Publisher’s Note: The statements, opinions and data contained in all publications are solely those of the individual author(s) and contributor(s) and not of MDPI and/or the editor(s). MDPI and/or the editor(s) disclaim responsibility for any injury to people or property resulting from any ideas, methods, instructions or products referred to in the content. |
© 2023 by the authors. Licensee MDPI, Basel, Switzerland. This article is an open access article distributed under the terms and conditions of the Creative Commons Attribution (CC BY) license (https://creativecommons.org/licenses/by/4.0/).
Share and Cite
Verma, D.; Okhawilai, M.; Goh, K.L.; Sharma, M. Thermomechanical Analyses of Alkali-Treated Coconut Husk-Bagasse Fiber-Calcium Carbonate Hybrid Composites. Sustainability 2023, 15, 1686. https://doi.org/10.3390/su15021686
Verma D, Okhawilai M, Goh KL, Sharma M. Thermomechanical Analyses of Alkali-Treated Coconut Husk-Bagasse Fiber-Calcium Carbonate Hybrid Composites. Sustainability. 2023; 15(2):1686. https://doi.org/10.3390/su15021686
Chicago/Turabian StyleVerma, Deepak, Manunya Okhawilai, Kheng Lim Goh, and Mohit Sharma. 2023. "Thermomechanical Analyses of Alkali-Treated Coconut Husk-Bagasse Fiber-Calcium Carbonate Hybrid Composites" Sustainability 15, no. 2: 1686. https://doi.org/10.3390/su15021686
APA StyleVerma, D., Okhawilai, M., Goh, K. L., & Sharma, M. (2023). Thermomechanical Analyses of Alkali-Treated Coconut Husk-Bagasse Fiber-Calcium Carbonate Hybrid Composites. Sustainability, 15(2), 1686. https://doi.org/10.3390/su15021686

