Examining the Factors Influencing Agricultural Surface Source Pollution in the Yangtze River Economic Zone from the Perspectives of Government, Enterprise, and Agriculture
Abstract
:1. Introduction
2. Materials and Methods
2.1. Research Methodology
2.1.1. Spatial Autocorrelation Model
2.1.2. Spatial Durbin Model
2.1.3. GMM Methods for Dynamic Systems
2.1.4. Threshold Model
2.2. Variable Selection and Data Sources
2.2.1. Explained Variable: Agricultural Surface Source Pollution (lnp)
2.2.2. Explanatory Variables
- (1)
- Environmental regulation (ER)
- (2)
- Factor market distortion (D)
- (3)
- Labor Migration (LM)
2.2.3. Control Variables
- (1)
- Consumer price index of rural residents (CPI)
- (2)
- Industrial structure (t)
- (3)
- Technology level (S)
2.2.4. Data Sources
3. Results
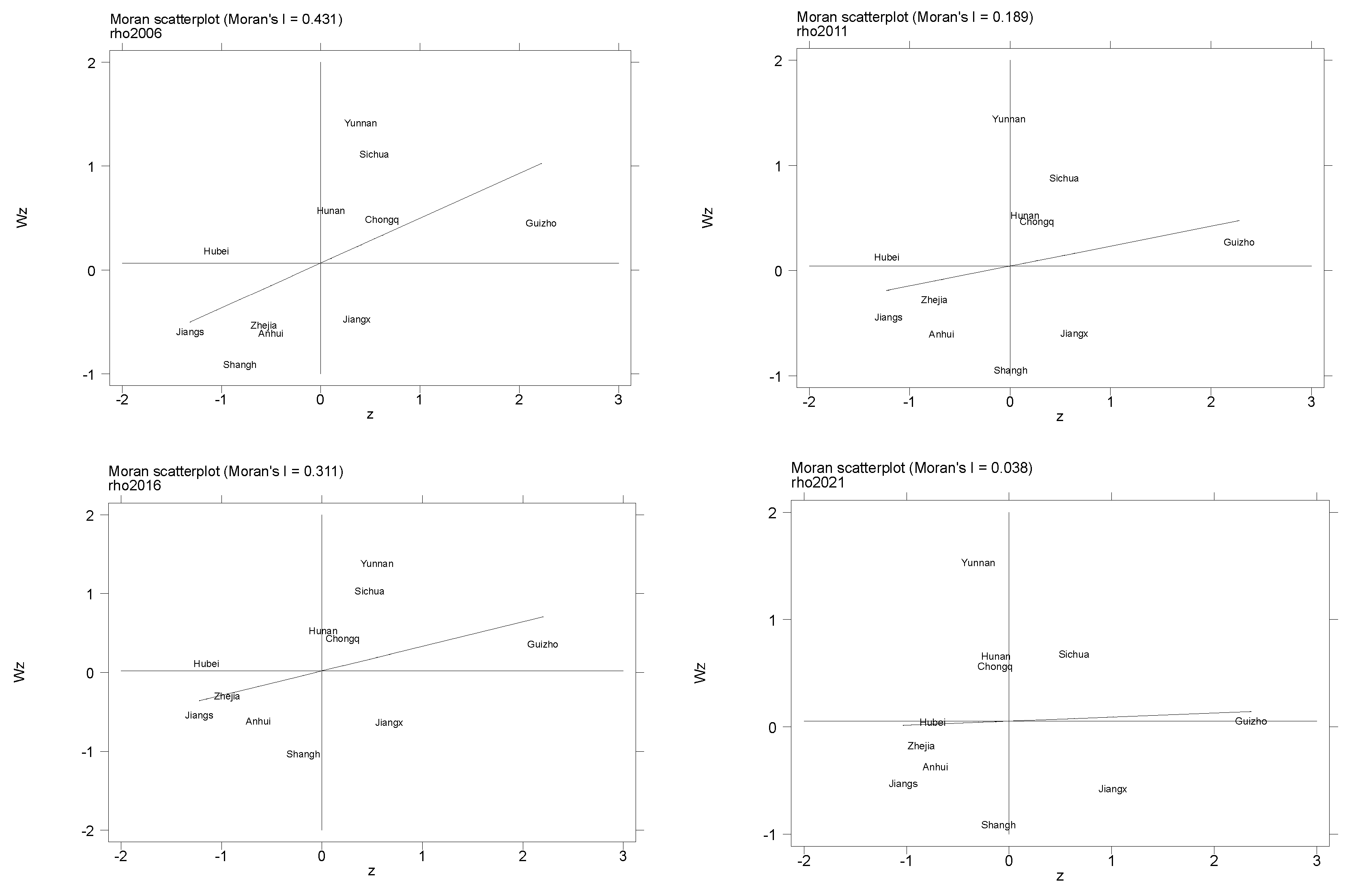
3.1. Changes in Spatial Patterns
Spatial Autocorrelation Test
3.2. Spatial Aggregation Characteristics
3.3. Spatial Correlation Test
3.4. Analysis of Empirical Results
3.4.1. Spatial Durbin Models
3.4.2. Effect Decomposition Measures
3.4.3. Robustness Test
3.4.4. Threshold Effects
- (1)
- Threshold effects
- (2)
- Analysis of the threshold regression results
4. Conclusions and Recommendations
Author Contributions
Funding
Data Availability Statement
Conflicts of Interest
References
- China’s Import and Export of Agricultural Products, January–December 2022. Available online: http://www.moa.gov.cn/ztzl/nybrl/rlxx/202301/t20230128_6419275.htm (accessed on 20 July 2023).
- Xia, Q.; Li, D.; Zhou, H. Research on the impact of farm household part-time employment on agricultural surface pollution. China Popul.-Resour. Environ. 2018, 131–138. [Google Scholar]
- Zhang, Y.; Yang, L.; Ouyang, H.; Song, L. Paths for improving agricultural green production efficiency in the Yangtze River Economic Belt based on surface source pollution and carbon emission. Water Resour. Econ. 2022, 40, 24–33+41+94. [Google Scholar]
- Chai, Y.; Jiang, L. The gaming behavior and dilemma resolution of participating subjects in China’s agricultural low-carbon development. Rural Econ. 2013, 8–12. [Google Scholar]
- Huang, Z.; Zhong, Y.; Wang, X. Impacts of different policies on pesticide application behavior of farm households. China Popul.-Resour. Environ. 2016, 26, 148–155. [Google Scholar]
- Ma, J.; Dan Zeng, W.; Gao, H. Analysis of the spatiotemporal characteristics and impacts of planting industry agglomeration and agricultural non-point source pollution: Evidence from the Yangtze River Basin. Resour. Ind. 2023, 1–19. [Google Scholar] [CrossRef]
- Ministry of Ecology and Environment of the People’s Republic of China; National Bureau of Statistics of the People’s Republic of China; Ministry of Agriculture and Rural Development of the People’s Republic of China. Announcement on the Release of the Second National Pollution Source Census Bulletin. Available online: https://www.mee.gov.cn/xxgk2018/xxgk/xxgk01/202006/t20200610_783547.html (accessed on 9 June 2020).
- Hao, G.; Xiong, X.; Zhao, Y.; Fan, H.; Xu, L. Evaluation of water quality of Luanhe River tributaries and correlation between sources of agricultural surface pollution. Water Sav. Irrig. 2023, 59–69. [Google Scholar]
- Wang, S.; Yang, D.; Sun, J.; Tang, L.; Wang, P.; Lu, S. Current situation and characterization of agricultural surface pollution in China. Water Resour. Conserv. 2021, 37, 140–147+172. [Google Scholar] [CrossRef]
- Li, B.; Ma, H.; Long, J. A review of environmental federalism theory. Financ. Trade Econ. 2009, 131–135. [Google Scholar] [CrossRef]
- Dasgupta, S.; Laplante, B.; Mamingi, N.; Wang, H. Inspections, Pollution Prices, and Environmental Performance: Evidence from China. Ecol. Ecol. Econ. 2001, 36, 487–498. [Google Scholar] [CrossRef]
- Thiel, C.; Nijs, W.; Smoes, S.; Schmidt, J.; van Zyl, A.; Schmid, E. The impact of the EU Car CO2 Regulation on the Energy System and the Role of Electro-mobility to Achieve Transport Decarbonisation. Energy Policy 2016, 96, 153–166. [Google Scholar] [CrossRef]
- Elgin, C.; Mazhar, U. Environmental Regulation, Pollution and the Informal Economy; Working Papers of Bogazic University: Istanbul, Turkey, 2012. [Google Scholar]
- Ma, J.; Yang, C.; Cui, H.-Y.; Wang, X. Environmental effects and impact mechanisms of agricultural insurance—An examination from the perspective of chemical fertilizer surface pollution in China. Insur. Res. 2021, 46–61. [Google Scholar] [CrossRef]
- Wu, C.; Gao, K. Research on environmental regulation and environmental efficiency of high-tech manufacturing industry in the Yangtze River Economic Belt—The test based on “Porter’s hypothesis”. Yangtze River Basin Resour. Environ. 2022, 31, 972–982. [Google Scholar]
- Cao, L.; Ruan, C.; Lei, T. EKC test of agricultural surface source pollution in coastal areas of China analysis based on spatial Durbin model. Jiangsu Agric. Sci. 2021, 49, 239–245. [Google Scholar]
- Ge, J.; Zhou, S. Whether factor market distortion stimulates agricultural surface pollution—Take chemical fertilizer as an example. Agric. Econ. Issues 2012, 33, 92–98+112. [Google Scholar]
- Zhang, S.; Ebenstein, A.; McMillan, M.; Chen, Z. Rural labor migration, fertilizer overuse and environmental pollution. Comp. Econ. Soc. Syst. 2017, 149–160. [Google Scholar]
- Luan, J.; Li, T.; Ma, K. Research on the impact of labor transfer on agricultural fertilizer surface pollution in China. World Agric. 2016, 63–69+199. [Google Scholar] [CrossRef]
- He, Z.; Cao, C.; Wang, J. Spatial spillover research on environmental regulation, industrial agglomeration and environmental pollution. East China Econ. Manag. 2022, 36, 12–23. [Google Scholar]
- Dong, X.L.; Zhang, Y.Y. Industrial Division of Labor, Environmental Pollution and Regional Economic Development—Empirical Evidence Based on Heavy Chemical Industry in the Yangtze River Economic Belt. Econ. Jingwei 2020, 37, 20–28. [Google Scholar]
- Ran, Q.-Y.; Xu, L.-N. Environmental regulation, interprovincial industrial transfer and pollution spillover effects—Based on the spatial Durbin model and dynamic threshold panel model. East China Econ. Manag. 2019, 33, 5–13. [Google Scholar]
- Hansen, B.E. Threshold effects in non-dynamic panels: Estimation, testing and inference. J. Econom. 1999, 93, 345–368. [Google Scholar] [CrossRef]
- Lai, S.-Y.; Du, P.-F.; Chen, J.-N. A non-point source pollution survey and assessment method based on unit analysis. J. Tsinghua Univ. (Nat. Sci. Ed.) 2004, 1184–1187. [Google Scholar]
- Chen, M.; Chen, J.; Lai, S. Inventory analysis and spatial characteristics of agricultural and rural pollution in China. China Environ. Sci. 2006, 751–755. [Google Scholar]
- Ma, J.; Gao, H.; Shi, Y.Q. Study on the quantification and spatial and temporal pattern of carbon offset in the Yangtze River Economic Belt. Resour. Ind. 2023, 25, 52–64. [Google Scholar] [CrossRef]
- Qin, T.; Peng, J.; Dang, Z.; Wang, J. Impact of environmental decentralization and environmental regulation on agricultural surface pollution. China Popul.-Resour. Environ. 2021, 31, 61–70. [Google Scholar]
- Zhan, J.; Xu, Y. Environmental regulation, agricultural green productivity and food security. China Popul.-Resour. Environ. 2019, 29, 167–176. [Google Scholar]
- Christensen, L.R.; Jorgenson, D.W.; Lau, L.J. Transcendental Logarithmic Production Frontiers. Rev. Econ. Stat. 1973, 55, 28–45. [Google Scholar] [CrossRef]
- Shi, J.; Zhao, Z. Ownership constraints and factor price distortions—An empirical analysis based on Chinese industrial sector data. Stat. Res. 2007, 42–47. [Google Scholar] [CrossRef]
- Li, X.; Lu, Z. Evaluation of Innovation Factor Allocation Efficiency in the Pearl River Delta Region-Analysis Based on beyond Logarithmic Production Function. Reform 2021, 97–111. [Google Scholar]
- Liu, L.; Liu, J. Analysis of the elasticity of substitution between organic fertilizer and chemical fertilizer based on beyond logarithmic production function—From a survey on the fertilizer application behavior of fruit farmers in the main apple-producing areas of Bohai Bay. Agric. Technol. Econ. 2022, 69–82. [Google Scholar] [CrossRef]
- Liu, P.; Luo, C. Labor marginal output and firm wage distribution. Econ. Dyn. 2019, 52–65. [Google Scholar]
- Gu, R. Research on the Impact of Labor Wage Distortion on Enterprise Innovation and Its Role Mechanism. Ph.D. Thesis, Chongqing University, Chongqing, China, 2020. [Google Scholar]
- Shi, H.-P.; Yi, M.-L. Environmental regulation, non-agricultural part-time employment and agricultural surface source pollution—An example of chemical fertilizer application. Rural. Econ. 2020, 127–136. [Google Scholar]
- Ma, J.; Le, Z. Analysis of spatial differences and influencing factors of agricultural surface pollution in China. Agric. Mod. Res. 2021, 42, 1137–1145. [Google Scholar]
- Ma, J.; Cao, F.; Zhou, P. Analysis of the evolution of eco-efficiency and driving factors of cities in the Yangtze River Economic Belt. Resour. Ind. 2020, 22, 32–40. [Google Scholar]
- China Rural Statistics Yearbook. Available online: https://www.shujuku.org/china-rural-statistical-yearbook.html (accessed on 20 July 2023).
- China Environmental Statistics Yearbook. Available online: http://navi-cnki-net-s.vpn.hhu.edu.cn:8118/knavi/yearbooks/YHJSD/detail?uniplatform=NZKPT&language=chs (accessed on 20 July 2023).
- China Statistical Yearbook. Available online: http://www.stats.gov.cn/sj/ndsj/ (accessed on 20 July 2023).
- National Compendium of Cost-Benefit Information on Agricultural Products. Available online: https://www.shujuku.org/agricultural-products-cost-benefit.html (accessed on 20 July 2023).
- China Science and Technology Statistical Yearbook. Available online: http://navi-cnki-net-s.vpn.hhu.edu.cn:8118/knavi/yearbooks/YBVCX/detail?uniplatform=NZKPT (accessed on 20 July 2023).
- Yin, A.; Shen, C.; Huang, Y.; Yue, M.; Huang, B.; Xin, J. Reduction of Cd accumulation in Se-biofortified rice by using fermented manure and fly ash. Environ. Sci. Pollut. Res. 2020, 27, 39391–39401. [Google Scholar] [CrossRef] [PubMed]

| Source of Contamination | Module of Investigation | Survey Indicators | Emission Inventories | 
|---|---|---|---|
| Fertilizer application | Nitrogen fertilizer, phosphorus fertilizer | Application rate/million tons | Tn, Tp | 
| Agricultural solid waste | Cereals, pulses, potatoes, cotton, oilseeds, sugar, vegetables, fruits | Total production/million tons | Cod, Tn, Tp | 
| Year | I | Year | I | 
|---|---|---|---|
| 2006 | 0.431 *** | 2014 | 0.087 ** | 
| 2007 | 0.034 *** | 2015 | 0.158 *** | 
| 2008 | 0.017 ** | 2016 | 0.311 ** | 
| 2009 | 0.271 * | 2017 | 0.023 ** | 
| 2010 | 0.176 *** | 2018 | 0.156 *** | 
| 2011 | 0.189 ** | 2019 | 0.022 ** | 
| 2012 | 0.123 ** | 2020 | 0.087 * | 
| 2013 | 0.146 * | 2021 | 0.380 * | 
| Variables | Spatial-Fixed Effects | Time-Fixed Effects | Spatio-Temporal-Fixed Effects | |||
|---|---|---|---|---|---|---|
| ER/W × ER | −0.167 ** | −0.056 * | −1.205 *** | 0.087 | −0.023 * | −0.377 ** | 
| Dis/W × Dis | 0.127 | 0.348 ** | 2.416 *** | 2.007 *** | 0.054 ** | 0.873 *** | 
| LM/W × LM | −0.417 * | −0.947 | 1.122 *** | −0.320 *** | −0.476 * | −0.151 | 
| Lncpi1/W × lncpi1 | 0.675 ** | 0.878 *** | 1.128 ** | 0.747 | 0.234 | −1.856 *** | 
| S2/W × s2 | −0.979 *** | −0.417 * | −0.219 * | −1.458 *** | −0.764 *** | −0.809 ** | 
| t/W × t | 0.219 | 0.476 * | −0.517 | 0.725 *** | 0.151 ** | 0.513 *** | 
| ρ | −0.219 ** | −0.654 *** | −0.135 * | |||
| N | 176 | 176 | 176 | |||
| R2 | 0.5471 | 0.7412 | 0.5819 | |||
| Variables | SDM | SAR | SEM | |
|---|---|---|---|---|
| ER/W × ER | −0.674 *** | −0.014 ** | −0.456 *** | −0.352 ** | 
| Dis/W × Dis | 1.766 *** | 2.980 *** | 2.433 *** | 1.098 *** | 
| LM/W × LM | −0.734 *** | −0.675 *** | −0.546 *** | 0.489 *** | 
| Lncpi1/W × lncpi1 | 1.218 ** | 1.657 * | 0.452 *** | 0.082 | 
| S2/W × s2 | −0.356 * | −1.209 *** | −0.561 * | −0.144 | 
| t/W × t | 0.597 ** | 1.615 *** | 0.462 *** | −0.407 | 
| ρ | −0.764 *** | −0.143 *** | −0.105 * | |
| N | 176 | 176 | 176 | |
| R2 | −0.674 *** | −0.014 ** | −0.456 *** | |
| Variables | Decomposition of Effects | ||
|---|---|---|---|
| Direct Effect | Spatial Effect | Total Effect | |
| ER | −0.134 *** | −0.145 | 0.102 | 
| Dis | 1.203 *** | 1.403 *** | 2.145 *** | 
| LM | 0.346 *** | −0.207 | 0.203 *** | 
| lncpi | 2.103 ** | 1.245 | 2.301 | 
| S2 | 0.807 *** | 1.093 *** | −1.128 *** | 
| t | −0.163 | 1.018 *** | 0.217 ** | 
| Variables | Dynamic GMM | 
|---|---|
| L1 | 0.7609 *** | 
| ER | −0.0356 *** | 
| D | 0.1450 ** | 
| LM | −0.5512 *** | 
| CPI | 0.6770 * | 
| S | −0.1026 ** | 
| T | 0.0145 ** | 
| AR (1) | −0.92 | 
| AR (2) | −0.78 | 
| Sargan | 138 | 
| N | 176 | 
| Threshold Number | F-Statistic | p-Value | Critical Value | Threshold | 95% Confidence Interval | ||
|---|---|---|---|---|---|---|---|
| 1% | 5% | 10% | |||||
| Single Threshold | 10.12 | 0.0102 | 6.2475 | 8.5790 | 11.8042 | η1 = 0.1405 | (0.0801, 0.0867) | 
| Double threshold | 1.74 | 0.2023 | 7.9022 | 11.3527 | 16.2680 | ||
| Variables | Estimated Value | 
|---|---|
| D (D ≤ 0.1405) | 0. 4572 **(3.07) | 
| D (D > 0.1405) | 0.2013 * (3.04) | 
| LM | 0.1178 * (1.85) | 
| CPI | 0.2147 ** (2.60) | 
| S | −0.7304 *** (−4.50) | 
| T | 0.1217 ** (2.48) | 
| conr | 4.8301 *** (12.32) | 
| R2 | 0.975 | 
| Disclaimer/Publisher’s Note: The statements, opinions and data contained in all publications are solely those of the individual author(s) and contributor(s) and not of MDPI and/or the editor(s). MDPI and/or the editor(s) disclaim responsibility for any injury to people or property resulting from any ideas, methods, instructions or products referred to in the content. | 
© 2023 by the authors. Licensee MDPI, Basel, Switzerland. This article is an open access article distributed under the terms and conditions of the Creative Commons Attribution (CC BY) license (https://creativecommons.org/licenses/by/4.0/).
Share and Cite
Ma, J.; Huang, K. Examining the Factors Influencing Agricultural Surface Source Pollution in the Yangtze River Economic Zone from the Perspectives of Government, Enterprise, and Agriculture. Sustainability 2023, 15, 14753. https://doi.org/10.3390/su152014753
Ma J, Huang K. Examining the Factors Influencing Agricultural Surface Source Pollution in the Yangtze River Economic Zone from the Perspectives of Government, Enterprise, and Agriculture. Sustainability. 2023; 15(20):14753. https://doi.org/10.3390/su152014753
Chicago/Turabian StyleMa, Jun, and Ke Huang. 2023. "Examining the Factors Influencing Agricultural Surface Source Pollution in the Yangtze River Economic Zone from the Perspectives of Government, Enterprise, and Agriculture" Sustainability 15, no. 20: 14753. https://doi.org/10.3390/su152014753
APA StyleMa, J., & Huang, K. (2023). Examining the Factors Influencing Agricultural Surface Source Pollution in the Yangtze River Economic Zone from the Perspectives of Government, Enterprise, and Agriculture. Sustainability, 15(20), 14753. https://doi.org/10.3390/su152014753
 
        

 
       