Network-Level Hierarchical Bottleneck Congestion Control Method for a Mixed Traffic Network
Abstract
1. Introduction
1.1. Background
1.2. Literature Review
1.2.1. Ramp Management
1.2.2. Speed Harmonization
1.2.3. Route Guidance
1.2.4. Network-Level Hybrid Traffic Control Method
2. Method
2.1. Traffic Data Acquisition
2.2. Congestion Bottleneck Identification
2.3. Control Layers Division
2.4. Control Method Implementation
2.4.1. Objective Function
2.4.2. Constraint Conditions
2.4.3. Computational Method
3. Simulation Results and Discussion
3.1. Small-Scale Network with Different CAVs’ Penetration Rates
3.1.1. A total of 50% CAVs’ Penetration Rate
3.1.2. Different CAVs’ Penetration Rates
3.2. Large-Scale Network under Different Proportions of Controlled CAVs
3.2.1. 50% CAVs’ Penetration Rate
- Congestion bottleneck and control layers;
- Optimal regulation scheme of traffic demand.
- Control effectiveness;
- Time indicators.
- 2.
- Speed indicator.
- 3.
- Calculation results of the indicators.
3.2.2. Comparison with Dynamic User Equilibrium Scheme
3.2.3. Different CAVs’ Control Proportions
4. Conclusions
Author Contributions
Funding
Institutional Review Board Statement
Informed Consent Statement
Data Availability Statement
Acknowledgments
Conflicts of Interest
References
- The Most Congested Cities in the World; Cutex Travel: London, UK, 2023.
- Pishue, B. 2022 Global Traffic Scorecard; Global Transportation Analytics Company; INRIX: Washington, DC, USA, 2023. [Google Scholar]
- Systematics, C. Traffic Congestion and Reliability: Trends and Advanced Strategies for Congestion Mitigation; U.S. Department of Transportation Federal Highway Administration: Washington, DC, USA, 2020.
- Department for Transport. Road Traffic Estimates in Great Britain; Department for Transport: London, UK, 2022.
- The U.S. Energy Information Administration (EIA). Congressional Research Service; The U.S. Energy Information Administration (EIA): Washington, DC, USA, 2020.
- Campbell, S.; Leach, D.; Valentine, K.; Coogan, M.; Meyer, M.; Casgar, C. From Handshake to Compact: Guidance to Foster Collaborative, Multimodal Decision Making; TCRP-NCHRP Report; Transportation Research Board: Washington, DC, USA, 2005. [Google Scholar]
- Angelevska, B.; Atanasova, V.; Andreevski, I. Urban air quality guidance based on measures categorization in road transport. Civ. Eng. J. 2021, 7, 253–267. [Google Scholar] [CrossRef]
- Fenger, J. Urban air quality. Atmos. Environ. 1999, 33, 4877–4900. [Google Scholar] [CrossRef]
- Hao, J.; Wang, L. Improving urban air quality in China: Beijing case study. J. Air Waste Manag. Assoc. 2005, 55, 1298–1305. [Google Scholar] [CrossRef] [PubMed]
- Ha PY, J.; Chen, S.; Dong, J.; Du, R.; Li, Y.; Labi, S. Leveraging the capabilities of connected and autonomous vehicles and multi-agent reinforcement learning to mitigate highway bottleneck congestion. arXiv 2020, arXiv:2010.05436. [Google Scholar]
- Qiangqiang, G.; Li, L.; Xuegang, B.J. Urban traffic signal control with connected and automated vehicles: A survey. Transp. Res. Part C Emerg. Technol. 2019, 101, 313–334. [Google Scholar]
- Sugiyama, Y.; Fukui, M.; Kikuchi, M.; Hasebe, K.; Nakayama, A.; Nishinari, K.; Tadaki, S.-I.; Yukawa, S. Traffic jams without bottlenecks—Experimental evidence for the physical mechanism of the formation of a jam. New J. Phys. 2008, 10, 033001. [Google Scholar] [CrossRef]
- Vickrey, W. Congestion theory and transport investment. Am. Econ. Rev. 1969, 59, 251–261. [Google Scholar]
- Highway Statistics; Federal Highway Administration: Washington, DC, USA, 2011.
- Wang, F.Y. Parallel control and management for intelligent transportation systems: Concepts, architectures, and applications. IEEE Trans. Intell. Transp. Syst. 2010, 11, 630–638. [Google Scholar] [CrossRef]
- Hamilton, A.; Waterson, B.; Cherrett, T.; Robinson, A.; Snell, I. The evolution of urban traffic control: Changing policy and technology. Transp. Plan. Technol. 2013, 36, 24–43. [Google Scholar] [CrossRef]
- Savelsbergh, M.; Van Woensel, T. 50th anniversary invited article—City logistics: Challenges and opportunities. Transp. Sci. 2016, 50, 579–590. [Google Scholar] [CrossRef]
- Tahir, M.N.; Leviäkangas, P.; Katz, M. Connected vehicles: V2V and V2I road weather and traffic communication using cellular technologies. Sensors 2022, 22, 1142. [Google Scholar] [CrossRef] [PubMed]
- Wang, B.; Han, Y.; Wang, S.; Tian, D.; Cai, M.; Liu, M.; Wang, L. A Review of Intelligent Connected Vehicle Cooperative Driving Development. Mathematics 2022, 10, 3635. [Google Scholar] [CrossRef]
- Automated Vehicles for Safety; National Highway Traffic Safety Administration (NHTSA): Washington, DC, USA, 2016.
- Ahmed, H.U.; Huang, Y.; Lu, P.; Bridgelall, R. Technology developments and impacts of connected and autonomous vehicles: An overview. Smart Cities 2022, 5, 382–404. [Google Scholar] [CrossRef]
- Guo, Q.; Ban, X.J.; Aziz, H.M.A. Mixed traffic flow of human driven vehicles and automated vehicles on dynamic transportation networks. Transp. Res. Part C Emerg. Technol. 2021, 128, 103–159. [Google Scholar] [CrossRef]
- Li, C.; Yue, W.; Mao, G.; Xu, Z. Congestion propagation based bottleneck identification in urban road networks. IEEE Trans. Veh. Technol. 2020, 69, 4827–4841. [Google Scholar] [CrossRef]
- Siri, S.; Pasquale, C.; Sacone, S.; Ferrara, A. Freeway traffic control: A survey. Automatic 2021, 130, 109655. [Google Scholar] [CrossRef]
- Han, X.; Shao, M.; Sun, L.; Yuan, Y. A study on Autonomous Vehicles’ Driving Behavior Based on Open Road Test Data. In Proceedings of the 2023 7th International Conference on Transportation Information and Safety (ICTIS), Xi’an, China, 4–6 August 2023; pp. 2256–2264. [Google Scholar]
- Luo, X.; Li, X.; Shaon, M.R.R.; Zhang, Y. Multi-lane-merging strategy for connected automated vehicles on freeway ramps. Transp. B Transp. Dyn. 2023, 11, 127–145. [Google Scholar] [CrossRef]
- Yang, L.; Zhan, J.; Shang, W.L.; Fang, S.; Wu, G.; Zhao, X.; Deveci, M. Multi-Lane Coordinated Control Strategy of Connected and Automated Vehicles for On-Ramp Merging Area Based on Cooperative Game. IEEE Trans. Intell. Transp. Syst. 2023, 24, 13448–13461. [Google Scholar] [CrossRef]
- Liu, H.; Zhuang, W.; Yin, G.; Li, Z.; Cao, D. Safety-critical and flexible cooperative on-ramp merging control of connected and automated vehicles in mixed traffic. IEEE Trans. Intell. Transp. Syst. 2023, 24, 2920–2934. [Google Scholar] [CrossRef]
- Abdel-Aty, M.; Dilmore, J.; Dhindsa, A. Evaluation of variable speed limits for real-time freeway safety improvement. Accid. Anal. Prev. 2006, 38, 335–345. [Google Scholar] [CrossRef]
- Dowling, R.; Nevers, B.; Jia, A.; Skabardonis, A.; Krause, C.; Vasudevan, M. Performance benefits of connected vehicles for implementing speed harmonization. Transp. Res. Procedia 2016, 15, 459–470. [Google Scholar] [CrossRef][Green Version]
- Lee, C.; Hellinga, B.; Saccomanno, F. Evaluation of variable speed limits to improve traffic safety. Transp. Res. Part C Emerg. Technol. 2006, 14, 213–228. [Google Scholar] [CrossRef]
- Strömgren, P.; Lind, G. Harmonization with variable speed limits on motorways. Transp. Res. Procedia 2016, 15, 664–675. [Google Scholar] [CrossRef]
- Malikopoulos, A.A.; Hong, S.; Park, B.B.; Lee, J.; Ryu, S. Optimal control for speed harmonization of automated vehicles. IEEE Trans. Intell. Transp. Syst. 2018, 20, 2405–2417. [Google Scholar] [CrossRef]
- Elfar, A.; Talebpour, A.; Mahmassani, H.S. Predictive Speed Harmonization Using Machine Learning in Traffic Flow with Connected and Automated Vehicles. Transp. Res. Rec. 2023. [Google Scholar] [CrossRef]
- Hegyi, A.; Hoogendoorn, S.P.; Schreuder, M.; Stoelhorst, H.; Viti, F. SPECIALIST: A Dynamic Speed Limit Control Algorithm Based on Shock Wave Theory. In Proceedings of the 11th International IEEE Conference on Intelligent Transportation Systems, Beijing, China, 12–15 October 2008; IEEE: Piscataway, NY, USA, 2008. [Google Scholar]
- Lighthill, M.J.; Whitham, G.B. On Kinematic Waves II. A Theory of Traffic Flow on Long Crowded Roads. Proc. R. Soc. Lond. Ser. A Math. Phys. Sci. 1955, 229, 317–345. [Google Scholar]
- Richards, P.I. Shock Waves on the Highway. Oper. Res. 1956, 4, 42–51. [Google Scholar] [CrossRef]
- Hegyi, A.; Hoogendoorn, S.P.; Schreuder, M.; Stoelhorst, H. The Expected Effectivity of the Dynamic Speed Limit Algorithm SPECIALIST—A Field Data Evaluation Method. In Proceedings of the European Control Conference (ECC), Budapest, Hungary, 23–26 August 2009; IEEE: Piscataway, NY, USA, 2009. [Google Scholar]
- Chen, D.; Ahn, S. Variable Speed Limit Control for Severe Non-Recurrent Freeway Bottlenecks. Transp. Res. Part C Emerg. Technol. 2015, 51, 210–230. [Google Scholar] [CrossRef]
- Peeta, S.; Ziliaskopoulos, A.K. Foundations of Dynamic Traffic Assignment: The Past, the Present and the Future. Netw. Spat. Econ. 2001, 1, 233–265. [Google Scholar] [CrossRef]
- Ran, B.; Boyce, D. Modeling Dynamic Transportation Networks: An Intelligent Transportation Systems Oriented Approach; Springer: New York, NY, USA, 1996. [Google Scholar]
- Moradi, H.; Sasaninejad, S.; Wittevrongel, S.; Walraevens, J. The contribution of connected vehicles to network traffic control: A hierarchical approach. Transp. Res. Part C Emerg. Technol. 2022, 139, 103644. [Google Scholar] [CrossRef]
- Guo, Q.; Ban, X.J. A multi-scale control framework for urban traffic control with connected and automated vehicles. Transp. Res. Part B Methodol. 2023, 175, 102787. [Google Scholar] [CrossRef]
- Zeng, Y.C.; Shao, M.H.; Sun, L.J.; Chang, L.U. Traffic prediction and congestion control based on directed graph convolufion neural network. China J. Highw. Transp. 2021, 34, 239–248. [Google Scholar]
- Kesting, A.; Treiber, M.; Helbing, D. Enhanced intelligent driver model to access the impact of driving strategies on traffic capacity. Philos. Trans. R. Soc. A Math. Phys. Eng. Sci. 2010, 368, 4585–4605. [Google Scholar] [CrossRef]
- Ulungu, E.L.; Teghem, J. Multi-objective combinatorial optimization problems: A survey. J. Multi-Criteria Decis. Anal. 1994, 3, 83–104. [Google Scholar] [CrossRef]
- Ceylan, H.; Bell, M.G.H. Traffic signal timing optimization based on genetic algorithm approach, including drivers’ routing. Transp. Res. Part B Methodol. 2004, 38, 329–342. [Google Scholar] [CrossRef]
- Sofronova, E. Variational Genetic Algorithm and Its Application to Urban Traffic Flow Control. Int. J. Open Inf. Technol. 2023, 11, 3–13. [Google Scholar]
- Chai, W.; Zheng, Y.; Tian, L.; Qin, J.; Zhou, T. GA-KELM: Genetic-algorithm-improved kernel extreme learning machine for traffic flow forecasting. Mathematics 2023, 11, 3574. [Google Scholar] [CrossRef]
- Kaffash, S.; Nguyen, A.T.; Zhu, J. Big data algorithms and applications in intelligent transportation system: A review and biblioindicator analysis. Int. J. Prod. Econ. 2021, 231, 107868. [Google Scholar] [CrossRef]
- Gen, M.; Lin, L. Genetic algorithms and their applications. In Springer Handbook of Engineering Statistics; Springer: London, UK, 2023. [Google Scholar]
- SAE International. Taxonomy and Definitions for Terms Related to Driving Automation Systems for On-Road Motor Vehicles; SAE International: Warrendale, PA, USA, 2016. [Google Scholar]
- Van Arem, B.; Van Driel, C.J.G.; Visser, R. The impact of cooperative adaptive cruise control on traffic-flow characteristics. IEEE Trans. Intell. Transp. Syst. 2006, 7, 429–436. [Google Scholar] [CrossRef]
- Shladover, S.E.; Su, D.; Lu, X. Impacts of Cooperative Adaptive Cruise Control on Freeway Traffic Flow. Transp. Res. Rec. J. Transp. Res. Board 2012, 2324, 63–70. [Google Scholar] [CrossRef]
- Liu, H.; Kan, X.; Shladover, S.E.; Lu, X.-Y.; Ferlis, R.E. Modeling impacts of Cooperative Adaptive Cruise Control on mixed traffic flow in multi-lane freeway facilities. Transp. Res. Part C Emerg. Technol. 2018, 95, 261–279. [Google Scholar] [CrossRef]
- Milanes, V.; Shladover, S.E.; Spring, J.; Nowakowski, C.; Kawazoe, H.; Nakamura, M. Cooperative Adaptive Cruise Control in Real Traffic Situations. IEEE Trans. Intell. Transp. Syst. 2014, 15, 296–305. [Google Scholar] [CrossRef]
- Zeng, Y.; Shao, M.; Sun, L. Comprehensive Multi-Layered and Time-Dependent Congestion Control Strategy for Mixed Traffic Flow. In Proceedings of the 2023 7th International Conference on Transportation Information and Safety (ICTIS), Xi’an, China, 4–6 August 2023. [Google Scholar]
- Friesz, T.L.; Han, K. The mathematical foundations of dynamic user equilibrium. Transp. Res. Part B Methodol. 2019, 126, 309–328. [Google Scholar] [CrossRef]
- Huang, H.J.; Lam, W.H.K. Modeling and solving the dynamic user equilibrium route and departure time choice problem in network with queues. Transp. Res. Part B Methodol. 2002, 36, 253–273. [Google Scholar] [CrossRef]












| Parameter | Meaning | Example |
|---|---|---|
| id | Detector number | “e_121047599_0_1” |
| time | Moment of data collection | “4.19” |
| state | Vehicle status (including enter, stay, leave) | “enter” |
| vehID | Vehicle number captured | “121047599_375822882#1_HDV_time4200.0” |
| speed | Instantaneous speed of each vehicle (m/s) | “10.14” |
| length | Length of each vehicle (m) | “5.00” |
| type | Vehicle type (includes both HDVs and CAVs) | “HDV” |
| Parameter | Value |
|---|---|
| Pop Size | 20 |
| Generation Size | 30 |
| Crossover Probability | 0.6 |
| Mutation Probability | 0.1 |
| Elite | True |
| Parameter | HDVs | CAVs |
|---|---|---|
| Minimum gap (m) | 2.5 | 1.5 |
| Acceleration (m/s2) | 2.6 | 2.6 |
| Deceleration (m/s2) | 4.5 | 4.5 |
| Emergency deceleration (m/s2) | 9 | 9 |
| Car following model | Intelligent driver model (IDM) | Cooperative adaptive cruise control (CACC) |
| Evaluation Indicators | Scenario I | Scenario II | Scenario III | ||||||
|---|---|---|---|---|---|---|---|---|---|
| Before Control (s) | After Control (s) | Improvement (%) | Before Control (s) | After Control (s) | Improvement (%) | Before Control (s) | After Control (s) | Improvement (%) | |
| Controlling vehicles proportion | - | 2.71% | - | - | 4.35% | - | - | 5.53% | - |
| - | 4020 | - | - | 5940 | - | - | 7620 | - | |
| 229.18 | 153.51 | 33.02 | 350.47 | 32.38 | 90.76 | 435.65 | 283.99 | 34.81 | |
| 327.53 | 98.81 | 69.83 | 332.18 | 161.95 | 51.25 | 246.26 | 208.09 | 15.50 | |
| Average travel time | 556.71 | 252.32 | 54.68 | 682.65 | 194.33 | 71.53 | 681.89 | 492.08 | 27.84 |
| 556.71 | 257.05 | 53.83 | 682.65 | 201.32 | 70.51 | 681.89 | 501.04 | 26.52 | |
| CAVs’ Penetration Rate | Traffic Demand (pcu/1800 s) | Total Simulation Time (s) | Average Depart (s) | Average Travel (s) | Average Travel Time (s) |
|---|---|---|---|---|---|
| 10% | 740 | 3430 | 108.96 | 399.83 | 508.79 |
| 20% | 730 | 3429 | 136.03 | 265.36 | 401.39 |
| 30% | 825 | 3656 | 105.33 | 315.57 | 420.90 |
| 40% | 900 | 3319 | 140.02 | 305.78 | 445.80 |
| 50% | 850 | 3658 | 229.18 | 327.53 | 556.71 |
| 60% | 900 | 3575 | 265.60 | 399.06 | 664.66 |
| 70% | 975 | 3429 | 175.91 | 270.88 | 446.79 |
| 80% | 1150 | 3562 | 251.57 | 240.34 | 491.91 |
| 90% | 1230 | 3433 | 169.89 | 202.21 | 372.10 |
| 100% | 1500 | 3698 | 192.29 | 164.97 | 357.26 |
| CAVs’ Penetration Rate (%) | before Control (s) | Proportion of Controlled CAVs (%) | after Control (s) | Improvement of (%) | |
|---|---|---|---|---|---|
| 10 | 508.79 | 0.27 | 7 | 260.57 | 50.05 |
| 20 | 401.39 | 0.96 | 20 | 391.27 | 7.09 |
| 30 | 420.90 | 1.82 | 32 | 249.75 | 47.71 |
| 40 | 445.80 | 2.11 | 54 | 323.46 | 38.75 |
| 50 | 556.71 | 2.71 | 61 | 300.85 | 56.14 |
| 60 | 664.66 | 3.78 | 114 | 636.66 | 20.22 |
| 70 | 446.79 | 3.90 | 84 | 349.49 | 39.42 |
| 80 | 491.91 | 4.17 | 107 | 454.68 | 28.19 |
| 90 | 372.10 | 6.26 | 231 | 464.54 | 34.21 |
| 100 | 357.26 | 3.40 | 126 | 416.43 | 17.30 |
| Evaluation Indicators | Free Flow (s) | 50% CAVs Penetration Rate | ||
|---|---|---|---|---|
| Without Control (s) | With Control | |||
| Value (s) | Compare to without Control (%) | |||
| 2.04 | 103.95 | 101.96 | 1.91 | |
| 935.96 | 2381.45 | 2087.58 | 12.34 | |
| Average travel time | 938.00 | 2485.40 | 2189.54 | 11.90 |
| - | - | 309,900 | - | |
| 938.00 | 2485.40 | 2204.24 | 11.31 | |
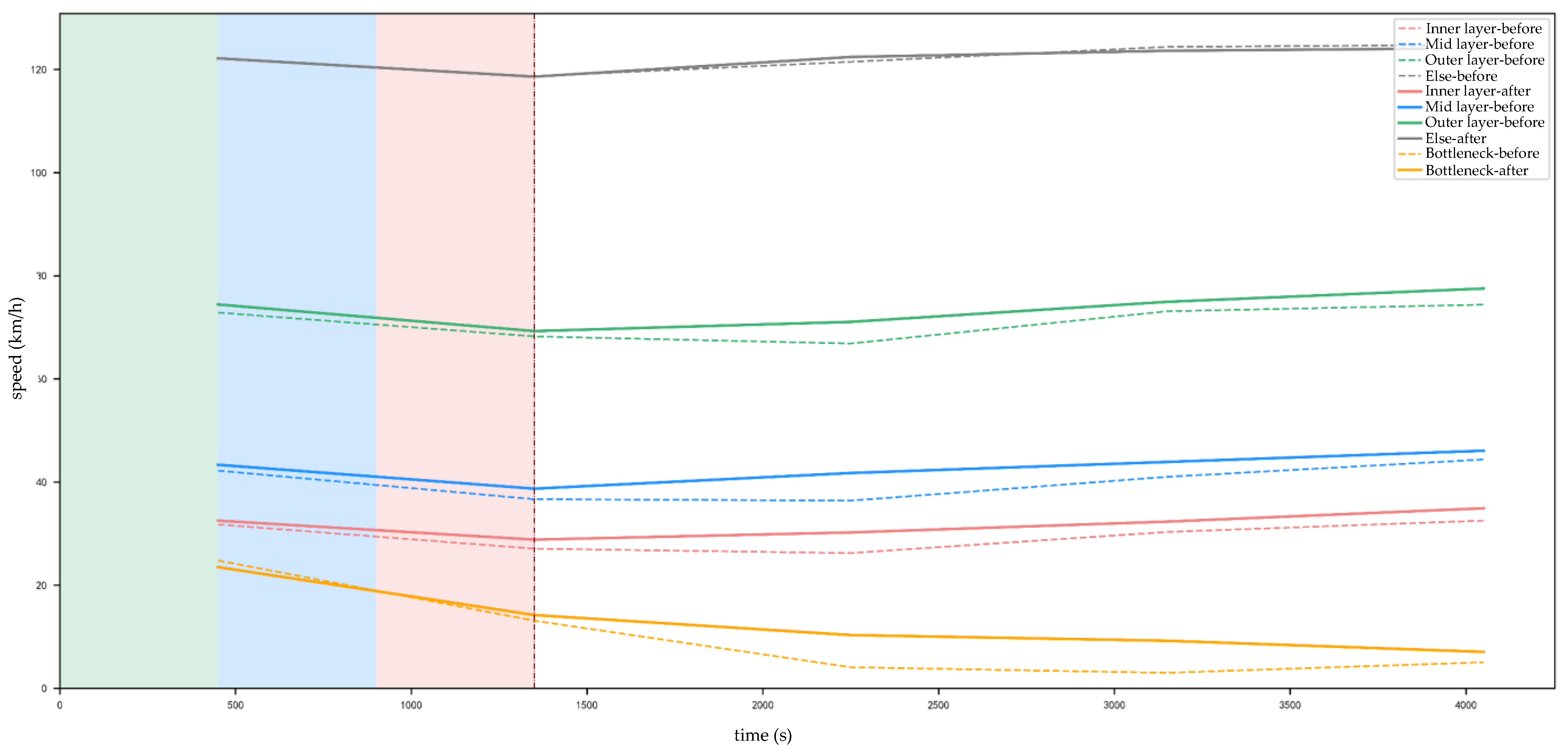
| Bottleneck | Inner Layer | Middle Layer | Outer Layer | |
|---|---|---|---|---|
| Before control (km/h) | 10.0 | 8.22 | 11.15 | 19.75 |
| After control (km/h) | 12.86 | 8.82 | 11.87 | 20.40 |
| Improvement (%) | 28.60 | 7.30 | 6.46 | 3.29 |
| Bottleneck | Inner Layer | Middle Layer | Outer Layer | |
|---|---|---|---|---|
| Before control (km) | 8.77 | 28.93 | 39.33 | 70.45 |
| After control (km) | 12.26 | 31.27 | 42.46 | 72.81 |
| Improvement (%) | 39.79 | 8.09 | 7.45 | 3.35 |
| Bottleneck | Inner Layer | Middle Layer | Outer Layer | |
|---|---|---|---|---|
| Before control (h) | 0.38 | 0.25 | 0.25 | 0.25 |
| After control (h) | 0.50 | 0.12 | 0.12 | 0.12 |
| Improvement (%) | −31.58 | 52.00 | 52.00 | 52.00 |
| Evaluation Indicators | Control Method Proposed in This Study | DUE |
|---|---|---|
| (s) | 101.96 | 113.00 |
| (s) | 2087.58 | 1925.68 |
| (s) | 2204.24 | 2038.68 |
| Approximate compute duration (h) | 12 | 26 |
| Serial Number | Proportion of Controlled CAVs (%) | Average Depart (s) | Average Travel (s) | (min) | (s) | Improvement of (%) | |
|---|---|---|---|---|---|---|---|
| Before control | - | - | 103.95 | 2381.45 | - | 2485.40 | - |
| After control | 1 | 0.54 | 103.29 | 2138.63 | 300 | 2242.77 | 9.76 |
| 2 | 2.29 | 104.55 | 2126.73 | 1370 | 2235.18 | 10.07 | |
| 3 | 4.47 | 102.33 | 2113.00 | 2581 | 2222.67 | 10.57 | |
| 4 | 6.56 | 100.67 | 2102.36 | 3813 | 2213.88 | 10.92 | |
| 5 | 9.88 | 101.96 | 2087.58 | 5165 | 2204.24 | 11.31 | |
Disclaimer/Publisher’s Note: The statements, opinions and data contained in all publications are solely those of the individual author(s) and contributor(s) and not of MDPI and/or the editor(s). MDPI and/or the editor(s) disclaim responsibility for any injury to people or property resulting from any ideas, methods, instructions or products referred to in the content. |
© 2023 by the authors. Licensee MDPI, Basel, Switzerland. This article is an open access article distributed under the terms and conditions of the Creative Commons Attribution (CC BY) license (https://creativecommons.org/licenses/by/4.0/).
Share and Cite
Zeng, Y.; Shao, M.; Sun, L. Network-Level Hierarchical Bottleneck Congestion Control Method for a Mixed Traffic Network. Sustainability 2023, 15, 16160. https://doi.org/10.3390/su152316160
Zeng Y, Shao M, Sun L. Network-Level Hierarchical Bottleneck Congestion Control Method for a Mixed Traffic Network. Sustainability. 2023; 15(23):16160. https://doi.org/10.3390/su152316160
Chicago/Turabian StyleZeng, Yuncheng, Minhua Shao, and Lijun Sun. 2023. "Network-Level Hierarchical Bottleneck Congestion Control Method for a Mixed Traffic Network" Sustainability 15, no. 23: 16160. https://doi.org/10.3390/su152316160
APA StyleZeng, Y., Shao, M., & Sun, L. (2023). Network-Level Hierarchical Bottleneck Congestion Control Method for a Mixed Traffic Network. Sustainability, 15(23), 16160. https://doi.org/10.3390/su152316160

