Quantitative Analysis Village Spatial Morphology Using “SPSS + GIS” Approach: A Case Study of Linxia Hui Autonomous Prefecture
Abstract
:1. Introduction
2. Summary of Cases
2.1. Study Area
2.2. Data Sources
2.3. Village Spatial Environment
3. Research Approach and Methodology
3.1. Conceptual Framework
3.2. Research Methodology
- A field survey is conducted to gather sample data directly from the source.
- A morphology index framework is developed to quantify the spatial morphology of traditional villages.
- Descriptive statistical analysis is performed using IBM SPSS Statistics 26 software, which is complemented by cluster analysis to classify village typologies based on Euclidean distance methods.
- ArcGIS 10.7 software aids in a layered analysis to investigate the spatial distribution and influencing factors of different traditional village patterns.
3.3. Development and Application of Spatial Morphology Indicators
4. Case Study Overview
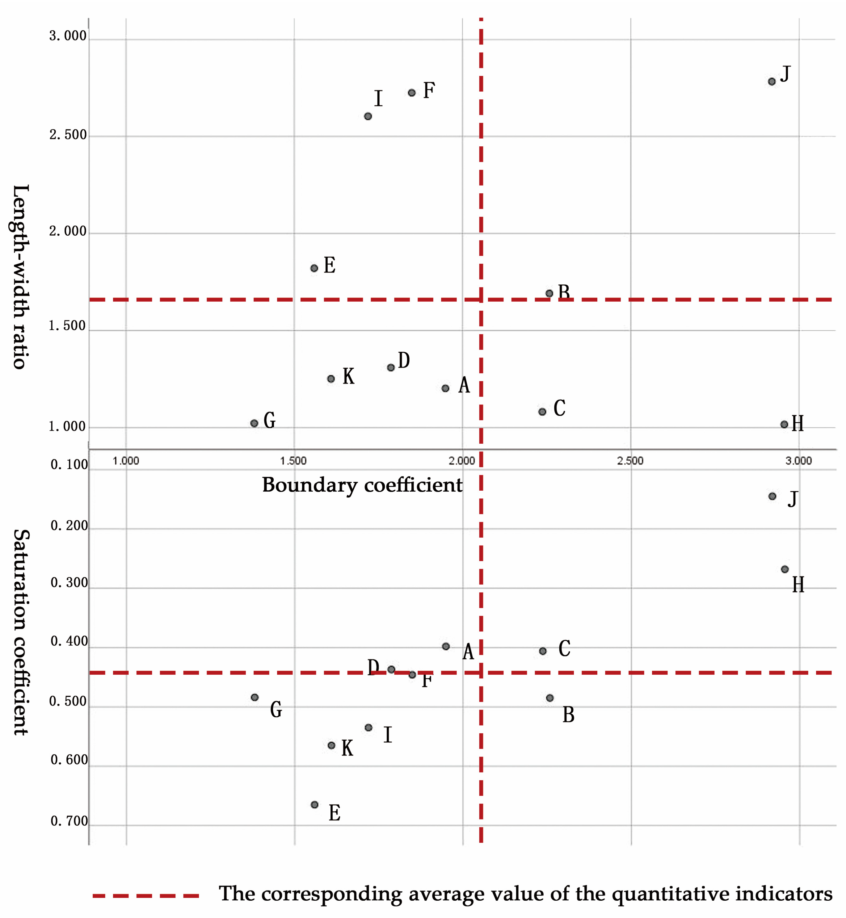
4.1. Analysis of Quantitative Indicators of Village Plan Form
4.2. Analysis of Quantitative Indicators of Spatial Relationship between Houses and Villages
4.3. Analysis of Village Spatial Morphology Types Based on Cluster Analysis
4.3.1. Cluster Intensity
4.3.2. Irregular Scatter
4.3.3. Striped Multi-Point Centralization
4.4. Characteristics of Spatial Distribution of Traditional Village Types
4.5. Elements Influencing Traditional Village Spatial Distribution
4.5.1. Elevation and Slope
4.5.2. Fluvial Networks and Land Use
4.5.3. Transportation
4.5.4. Trade Routes and Ethnic Integration
4.6. Spatial Patterns of Villages
5. Discussion
5.1. Effectiveness of “SPSS + GIS” Research Approach
5.1.1. “SPSS + GIS” Research Methodology SWOT Analysis
5.1.2. Suitability of “SPSS + GIS” Research Approach in Linxia Prefecture’s Traditional Villages
5.1.3. Expanding the Value of “SPSS + GIS” Research Approach
5.2. Sustainable Development of Traditional Villages
5.2.1. Integrity of Historical Villages
5.2.2. Resilience of Traditional Village Form
5.3. Limitations and Prospects
6. Conclusions
- (1)
- Based on the precise description from the quantitative morphological analysis, the spatial layout of traditional villages in Linxia Prefecture predominantly manifests as more square-shaped configurations. These configurations feature complex boundaries, low residential density, and smaller settlements, reflecting a hierarchical structure from village core to sub-center to residential buildings.
- (2)
- Using cluster analysis, a statistical classification of the spatial morphology of traditional villages in Linxia Prefecture yields three types: cluster intensive, irregularly scattered, and strip multi-point concentrated. Further combined with GIS spatial analysis unveils the spatial distribution characteristics of each village type. Cluster-intensive villages show the spatial distribution pattern resembling an “olive-shaped southeast to northwest trending areas”. Irregularly scattered villages are located in relatively flat areas, such as mountains, hills, gullies, and river valleys, transitioning vertically from the southwestern highlands to the northeastern lowlands. This indicates the development trend characterized by multi-core villages along the valleys and mountains. Strip multi-point concentrated villages show the tendency toward random distribution, often featuring multi-point focal points that are accompanied by cluster-intensive villages.
- (3)
- The study reveals the spatial operational patterns that underlie the spatial morphology of traditional villages in Linxia Prefecture. The characteristics of the three spatial form types—clustered, irregularly dispersed, and strip-clustered—are a result of the complex interplay between the region’s intricate geographical patterns and the diversity of its ethnic cultures. This amalgamation has given rise to three distinct traditional village survival modes, each characterized by its orientation toward commerce, subsistence, or resource utilization.
Author Contributions
Funding
Data Availability Statement
Conflicts of Interest
References
- Yan, H.; Chen, S.; Cao, W.; Cao, C. The Concept and Cultural Connotation of Traditional Villages. Urban Dev. Res. 2014, 21, 11–13. [Google Scholar]
- Sustainable Development Goals: Knowledge Platform. Available online: https://www.un.org/sustainabledevelopment/cities/ (accessed on 20 August 2023).
- Su, W.; Yang, W. The Characteristics and Enlightenment of the Communication, Exchange, and Integration of Various Ethnic Groups in the Hehuang Region. Guizhou Ethn. Stud. 2023, 44, 177–183. [Google Scholar]
- Nugraha, L.F.; Sulistyowati, L.; Setiawan, I.; Noor, T.I. Alternative Community-Based Village Development Strategies in Indonesia: Using Multicriteria Decision Analysis. Agriculture 2022, 12, 1903. [Google Scholar] [CrossRef]
- Bielska, A.; Stańczuk-Gałwiaczek, M.; Sobolewska-Mikulska, K.; Mroczkowski, R. Implementation of the Smart Village Concept Based on Selected Spatial Patterns–A Case Study of Mazowieckie Voivodeship in Poland. Land Use Policy 2021, 104, 105366. [Google Scholar] [CrossRef]
- Agusta, Y. Managing the Development of a Sustainable Digital Village. Sustainability 2023, 15, 7575. [Google Scholar] [CrossRef]
- Sujarwo, W. Stand Biomass and Carbon Storage of Bamboo Forest in Penglipuran Traditional Village, Bali (Indonesia). J. For. Res. 2016, 27, 913–917. [Google Scholar] [CrossRef]
- Prevolšek, B.; Maksimović, A.; Puška, A.; Pažek, K.; Žibert, M.; Rozman, Č. Sustainable development of ethno-villages in Bosnia and Herzegovina—A multi criteria assessment. Sustainability 2020, 12, 1399. [Google Scholar] [CrossRef]
- Sardiyarso, E.S.; Puspitasari, P. Myth and Social Imagination: Traditional Village Preservation Concept (Case Study: Kampung Adat Kuta, Ciamis, West Java). Int. J. Livable Space 2018, 3, 1–12. [Google Scholar] [CrossRef]
- Rahman, A.; Ismail, S.; Ariffin, N. Public Perspective on Conservation Value of Malay Rural Traditional Village Landscape in Langkawi Geopark. IOP Conf. Ser. Earth Environ. Sci. 2018, 179, 012018. [Google Scholar] [CrossRef]
- Park, K.-O.; Lee, S.-U.; Ryu, H.-S. Characteristics of Community Village Development by the Rural Village Development Policy-Focused on the In-Depth Interviews with Company Operatives. Korean J. Hum. Ecol. 2012, 21, 597–609. [Google Scholar] [CrossRef]
- Kılıc, D.; Yagci, C.; Iscan, F. A GIS-Based Multi-Criteria Decision Analysis Approach Using AHP for Rural Settlement Site Selection and Eco-Village Design in Erzincan, Turkey. Socio-Econ. Plan. Sci. 2023, 86, 101478. [Google Scholar] [CrossRef]
- Geng, D. Spatial Planning Strategy for the Human Settlement Environment of Ancient Villages Considering the Common Characteristics of Agglomeration. Fresenius Environ. Bull. 2021, 30, 7004–7010. [Google Scholar]
- Hudson, C.; Silva, M.-I.; McEwan, C. Tourism and Community: An Ecuadorian Village Builds on Its Past. Public Archaeol. 2016, 15, 65–86. [Google Scholar] [CrossRef]
- Maryetti, M.; Sulistiadi, Y.; Damanik, D.; Nurhidayati, H. The Implementation of Sustainable Tourism Object Development Model at Betawi Village Setu Babakan South Jakarta. In Proceedings of the Asia Tourism Forum 2016—The 12th Biennial Conference of Hospitality and Tourism Industry in Asia, Bandung, Indonesia, 7–9 May 2016; Atlantis Press: Shanghai, China, 2016; pp. 175–182. [Google Scholar]
- Vitasurya, V.R.; Hardiman, G.; Sari, S.R. Geographical Conditions and Cultural Tradition as Determinants in Sustaining Tourism Village Program Case Study Tourism Villages in Yogyakarta. ARChive 2018, 2, 9. [Google Scholar] [CrossRef]
- Pei, Y.; Gong, K.; Leng, J. Study on the Inter-Village Space of a Traditional Village Group in Huizhou Region: Hongguan Village Group as an Example. Front. Archit. Res. 2020, 9, 588–605. [Google Scholar] [CrossRef]
- Yamazaki, J.; Ikeda, H. The Spatial Formation of Fukusumi Village in Sasayama [Japan] City with Attention to Water System and Landscape: In Relation to Traditional Architectures Preservation Measures Investigation at Fukusumi District in Sasayama City. J. Rural Plan. Assoc. 2010, 28, 426–432. [Google Scholar] [CrossRef]
- Umar, G.K.; Yusuf, D.A.; Ahmed, A.; Usman, A.M. The Practice of Hausa Traditional Architecture: Towards Conservation and Restoration of Spatial Morphology and Techniques. Sci. Afr. 2019, 5, e00142. [Google Scholar] [CrossRef]
- Huang, H.; Miao, H.; Li, S.; Wang, Y. Spatial Pattern and Influence Mechanism of Traditional Villages in Northwest China. Econ. Geogr. 2021, 41, 233–240. [Google Scholar]
- Li, A.; Huang, C. Exploring the Spatial Form of Traditional Villages in Southern Hunan from the Perspective of Quantification of Settlements. Shanxi Archit. 2021, 47, 22–24. [Google Scholar]
- Zhou, Y. Research on Landscape Types and Distribution Characteristics of Traditional Villages in Ganjiang River Basin Based on Hierarchical Clustering; Jiangxi Agricultural University: Nanchang, China, 2022. [Google Scholar]
- Zheng, Z.; Li, F. Analysis of the Spatial Characteristics of Traditional Villages with Mixed Ethnic Groups. Urban Archit. 2023, 20, 9–11. [Google Scholar]
- Fernandez, M. Increasing Community Engagement in Latino Residents to Improve Health Outcomes. Local Environ. 2018, 23, 920–933. [Google Scholar] [CrossRef]
- Nguyen, T.T.; Hoffmann, E.; Buerkert, A. Spatial Patterns of Urbanising Landscapes in the North Indian Punjab Show Features Predicted by Fractal Theory. Sci. Rep. 2022, 12, 1819. [Google Scholar] [CrossRef] [PubMed]
- Li, H.; Zhang, X. A Review and Trend on Rural Settlement Geography Abroad. Hum. Geogr. 2012, 27, 103–108. [Google Scholar]
- Hosseini, S.H.; Allah-Kalteh, E.; Sofizadeh, A. The Effect of Geographical and Climatic Factors on the Distribution of Phlebotomus papatasi (Diptera: Psychodidae) in Golestan Province, an Endemic Focus of Zoonotic Cutaneous Leishmaniasis in Iran, 2014. J. Arthropod Borne Dis. 2021, 15, 225. [Google Scholar] [CrossRef] [PubMed]
- Elawwad, A.; Ragab, M.; Abdel-Halim, H. An Economical, Environmental, and Social Comparison between Vacuum and Gravity Sewers in Decentralized Sanitation Systems, with Egypt as a Case Study. J. Water Sanit. Hyg. Dev. 2015, 5, 614–619. [Google Scholar] [CrossRef]
- Moussa, R.A. A Responsive Approach for Designing Shared Urban Spaces in Tourist Villages. Sustainability 2023, 15, 7549. [Google Scholar] [CrossRef]
- Purnamawati, I.G.A.; Jie, F.; Hatane, S.E. Cultural Change Shapes the Sustainable Development of Religious Ecotourism Villages in Bali, Indonesia. Sustainability 2022, 14, 7368. [Google Scholar] [CrossRef]
- Zhao, Q.; Ren, Y. Pattern Matching System of Traditional Village Pattern Ecological Protection Based on Cluster Analysis. Fresenius Environ. Bull. 2021, 30, 6509–6515. [Google Scholar]
- Duan, Y.; Yan, L.; Lai, Z.; Chen, Q.; Sun, Y.; Zhang, L. The Spatial Form of Traditional Villages in Fuzhou Area of Jiangxi Province Determined Via GIS Methods. Front. Earth Sci. 2022, 1–13. [Google Scholar] [CrossRef]
- Fan, Q.; Du, F.; Li, H. A Study of the Spatial Form of Maling Village, Henan, China. Sustainability 2020, 12, 7350. [Google Scholar] [CrossRef]
- Li, B.; Wang, J.; Jin, Y. Spatial Distribution Characteristics of Traditional Villages and Influence Factors Thereof in Hilly and Gully Areas of Northern Shaanxi. Sustainability 2022, 14, 15327. [Google Scholar] [CrossRef]
- Jia, A.; Liang, X.; Wen, X.; Yun, X.; Ren, L.; Yun, Y. GIS-Based Analysis of the Spatial Distribution and Influencing Factors of Traditional Villages in Hebei Province, China. Sustainability 2023, 15, 9089. [Google Scholar] [CrossRef]
- Hoffmann, E.M.; Jose, M.; Nölke, N.; Möckel, T. Construction and Use of a Simple Index of Urbanisation in the Rural-Urban Interface of Bangalore, India. Sustainability 2017, 9, 2146. [Google Scholar] [CrossRef]
- Sun, Y. Research on Spatial Morphology of the Hakka Traditional Villages in Meizhou Area. Ph.D. Thesis, South China University of Technology, Guangzhou, China, 2016. [Google Scholar]
- Pu, X. A Study of Quantitative Methods for the Planar Morphology of Traditional Rural Settlements; Southeast University Press: Nanjing, China, 2013. [Google Scholar]
- Ye, M.; Li, Z. A study on the spatial form types of traditional villages based on cluster analysis. Industr. Constr. 2018, 48, 50–55+80. [Google Scholar]
- Duan, S. Research on Spatial Morphology of Traditional Villages in Guilin; Beijing Forestry University: Beijing China, 2020. [Google Scholar]
- Li, D.; Xu, C.; Yang, L.; Ruan, Y. Research on spatial morphology of Lahu people villages in Lancang County based on quantitative analysis of settlements. J. Yunnan Agric. Univ. (Soc. Sci.) 2018, 12, 22–28. [Google Scholar]
- Gao, W.; Xiao, D.; Zhuo, X. Distribution Characteristics and Influencing Factors of Minority Villages in Yunnan Province. Econ. Geogr. 2022, 42, 228–238. [Google Scholar]
- Liu, B.; Zhang, X.; Li, Q. Traditional Villages in Gansu; Southeast University Press: Nanjing China, 2018. [Google Scholar]
- Lin, Y. Spatial Pattern and Cause Analysis of Traditional Villages in Gansu Province; Lanzhou University: Lanzhou, China, 2018. [Google Scholar]
- Liu, J. Study on the Protection and Development of Traditional Villages in Ethnic Areas of Gansu Province; Xi’an University of Architecture and Technology: Xi’an China, 2018. [Google Scholar]
- Yao, Y. Research on the Spatial Morphology of Traditional Villages along the Tao River Valley; Lanzhou Jiaotong University: Lanzhou China, 2020. [Google Scholar]
- People’s Government of Linxia Hui Autonomous Prefecture. Situation of Linxia Prefecture. Available online: https://www.linxia.gov.cn/lxz/yxlx/lxgk/art/2022/art_0de97d45ef5c4e38b4b4464ec68273b5.html (accessed on 28 October 2023).
- Li, Y.; Zhu, Y.; Zhou, Y.; Sun, Z. Quantitative study on spatial morphological characteristics of villages based on fractal theory—Taking villages in Nanning City as an example. South Archit. 2020, 64–69. [Google Scholar]
- Shao, W.; Li, Z.; Ye, M. A Study on the Spatial Form and Elements of Traditional Residential Courtyards in Huizhou Based on Cluster Analysis. South Archit. 2022, 76–84. [Google Scholar]
- Sugimoto, I.; Yokota, N.; Nakazawa, H. Evaluation of Particle Shape Based on Two Shape Indices. J. Jpn. Soc. Powder Powder Technol. 1989, 26, 624–631. [Google Scholar] [CrossRef]
- Zhang, L. Analysis and planning practice of features regulation elements of historic districts with national characteristics—A case study of eight lanes and thirteen Lanes in Linxia City. Jushe 2019, 91–92. [Google Scholar]
- Yang, X.; Bai, Y.; Che, L.; Zhou, L.; Qiao, F.; Wang, Z. Delineation of Urban growth boundary in ecologically fragile areas in the upper reaches of the Yellow River—Taking Linxia Hui Autonomous Prefecture as an example. J. Nat. Resour. 2021, 36, 162–175. [Google Scholar]
- Zhang, R.; Gao, S.; Gao, Y. Application of SPSS Software; Tsinghua University Press: Beijing, China, 2015. [Google Scholar]
- Ding, C. How to Make “Community and Unity” Possible—A Brief Discussion on Xunzi’s Thought of “People Can Group”. Philos. Trends 2011, 48–53. [Google Scholar]
- Jing, L. Population-Land-Economy Urbanization System in Underdeveloped Ethnic Areas—A Case Study of Linxia prefecture. Ph.D. Thesis, Lanzhou University, Lanzhou, China, 2019. [Google Scholar]
- Zhang, T.; Liu, T. History of Highway Transportation in Linxia Hui Autonomous Prefecture; Gansu Ethnic Publishing House: Lanzhou, China, 1992. [Google Scholar]
- Ma, Z.; Ding, H. The Development History and Characteristics of Commerce among the Hui Ethnic Group in Linxia. J. Hui Muslim Minor. Stud. 1994, 68–75. [Google Scholar]
- Qin, Y. Fei Xiaotong and the Northwest ethnic Corridor. Qinghai J. Ethnol. 2011, 22, 1–6. [Google Scholar]
- Qin, Y. The Boundary and Geographic Features of the Northwest Ethnic Minority Corridor. J. Minzu Univ. China Philos. Soc. Sci. Ed. 2011, 38, 67–72. [Google Scholar]
- Wang, H.-F.; Chiou, S.-C. Study on the sustainable development of human settlement space environment in traditional villages. Sustainability 2019, 11, 4186. [Google Scholar] [CrossRef]














| Number | Village Name | Topographic Features | Ethnic Information | Aerial Photo of Village Appearance | 
|---|---|---|---|---|
| A | Dadun Village 1 | Mid-elevations platform | Bao’an nationality |  | 
| B | Ganhetan Village 1 | Mid-elevations platform | Bao’an nationality |  | 
| C | Sanerjia Village 4 | Mid-elevations foothills and valleys | Tu nationality |  | 
| D | Alimatu Village 4 | Mountain valley area | Dongxiang nationality |  | 
| E | Baijia Village 1 | Valley plain area | Han, Hui ethnic groups |  | 
| F | Dahejia Village 4 | High-altitude platform | Dongxiang, Han nationality |  | 
| G | Muchang Village 2 | Mountain valley | Hui nationality |  | 
| H | Yaowan Village 1 | Mid-mountain area | Han and Hui ethnic groups |  | 
| I | Yaoshui Village 2 | High-altitude foothills and valleys | Dongxiang nationality |  | 
| J | Hanzeling Village 1 | Mountainous region | Dongxiang nationality |  | 
| K | Zheqiao Village 3 | River region | Dongxiang, Han, and Hui ethnic groups |  | 
| Quantitative Index | Algorithm Equation | Independent Variable | Remark | 
|---|---|---|---|
| Ratio coefficient of length to width | is the length of the long axis of the village area; is the short axis length of the village area. | The coefficient of length to width ratio, boundary coefficient, and saturation collectively delineate the planar geometry and boundary complexity of village layouts. | |
| Boundary coefficient | is the length of the long axis of the village area; is the circumference of the ellipse. | ||
| Saturation coefficient | is the village area; is the external rectangular area. | ||
| Building density | is the building area; is the number of dwellings; is the village area. | Building density and dispersion coefficient are key indicators that define the spatial patterns of village settlements. | |
| Dispersion coefficient | is the distance between the building center of mass and the village center; is the average distance. | 
| Data | Boundary Perimeter/m | External Rectangular Area/m2 | Village Area/m2 | Major Radius of Ellipse/m | Minor Radius of Ellipse/m | Elliptic Perimeter/m | 
|---|---|---|---|---|---|---|
| A | 4809.16 | 120 | 47.7 | 428 | 356 | 2468.2 | 
| B | 6851.65 | 136.8 | 66.3 | 597 | 353 | 3033.94 | 
| C | 3993.34 | 62.32 | 25.3 | 295 | 273 | 1785.09 | 
| D | 1850.92 | 19 | 8.3 | 186 | 142 | 1035.08 | 
| E | 3008.56 | 39.4 | 26.2 | 387 | 215 | 1930.03 | 
| F | 3684.21 | 49.8 | 22.2 | 441 | 160 | 1992.77 | 
| G | 2840.27 | 69.7 | 33.7 | 331 | 324 | 2057.8 | 
| H | 2412.96 | 19.8 | 5.3 | 131 | 129 | 816.82 | 
| I | 2738.74 | 41.6 | 14.7 | 349 | 134 | 1593.53 | 
| J | 5239.89 | 124.5 | 18 | 398 | 143 | 1795.39 | 
| K | 4245.6 | 95.8 | 54.2 | 465 | 372 | 2637.63 | 
| Length–Width Ratio | Boundary Coefficient | Saturation Coefficient | |
|---|---|---|---|
| Average value | 1.68227 | 2.02027 | 0.43945 | 
| Number of cases | 11 | 11 | 11 | 
| Standard deviation | 0.704640 | 0.525068 | 0.140999 | 
| Building Density | Dispersion Coefficient | |
|---|---|---|
| Average value | 0.37055 | 0.42945 | 
| Number of cases | 11 | 11 | 
| Standard deviation | 0.130010 | 0.056536 | 
| Disclaimer/Publisher’s Note: The statements, opinions and data contained in all publications are solely those of the individual author(s) and contributor(s) and not of MDPI and/or the editor(s). MDPI and/or the editor(s) disclaim responsibility for any injury to people or property resulting from any ideas, methods, instructions or products referred to in the content. | 
© 2023 by the authors. Licensee MDPI, Basel, Switzerland. This article is an open access article distributed under the terms and conditions of the Creative Commons Attribution (CC BY) license (https://creativecommons.org/licenses/by/4.0/).
Share and Cite
An, Y.; Wu, X.; Liu, R.; Liu, L.; Liu, P. Quantitative Analysis Village Spatial Morphology Using “SPSS + GIS” Approach: A Case Study of Linxia Hui Autonomous Prefecture. Sustainability 2023, 15, 16828. https://doi.org/10.3390/su152416828
An Y, Wu X, Liu R, Liu L, Liu P. Quantitative Analysis Village Spatial Morphology Using “SPSS + GIS” Approach: A Case Study of Linxia Hui Autonomous Prefecture. Sustainability. 2023; 15(24):16828. https://doi.org/10.3390/su152416828
Chicago/Turabian StyleAn, Yuyuan, Xiao Wu, Rui Liu, Lu Liu, and Pengquan Liu. 2023. "Quantitative Analysis Village Spatial Morphology Using “SPSS + GIS” Approach: A Case Study of Linxia Hui Autonomous Prefecture" Sustainability 15, no. 24: 16828. https://doi.org/10.3390/su152416828
APA StyleAn, Y., Wu, X., Liu, R., Liu, L., & Liu, P. (2023). Quantitative Analysis Village Spatial Morphology Using “SPSS + GIS” Approach: A Case Study of Linxia Hui Autonomous Prefecture. Sustainability, 15(24), 16828. https://doi.org/10.3390/su152416828
 
        



 
       