The Effect of Muscles Fatigue on the Knee’s Kinetics and Kinematics Characteristics
Abstract
:1. Introduction
2. Materials and Methods
2.1. Participants
2.2. Instrumentation
2.3. Experimental Procedure
2.4. Fatigue Protocol
2.5. Data Analysis
3. Results
4. Discussion
5. Conclusions
Author Contributions
Funding
Institutional Review Board Statement
Informed Consent Statement
Data Availability Statement
Acknowledgments
Conflicts of Interest
References
- Laffaye, G.; Phomsoupha, M.; Dor, F. Changes in the game characteristics of a badminton match: A longitudinal study through the Olympic game finals analysis in men’s singles. J. Sport. Sci. Med. 2015, 14, 584–590. [Google Scholar]
- Chen, T.L.-W.; Wang, Y.; Wong, D.W.-C.; Lam, W.-K.; Zhang, M. Joint contact force and movement deceleration among badminton forward lunges: A musculoskeletal modelling study. Sport. Biomech. 2022, 21, 1249–1261. [Google Scholar] [CrossRef] [PubMed]
- Abian-Vicen, J.; Castanedo, A.; Abian, P.; Gonzalez-Millan, C.; Salinero, J.J.; Del Coso, J. Influence of successive badminton matches on muscle strength, power, and body-fluid balance in elite players. Int. J. Sports Physiol. Perform. 2014, 9, 689–694. [Google Scholar] [CrossRef] [PubMed]
- Hong, Y.; Wang, S.J.; Lam, W.K.; Cheung, J.T. Kinetics of badminton lunges in four directions. J. Appl. Biomech. 2014, 30, 113–118. [Google Scholar] [CrossRef]
- Kuntze, G.; Mansfield, N.; Sellers, W. A biomechanical analysis of common lunge tasks in badminton. J. Sports Sci. 2010, 28, 183–191. [Google Scholar] [CrossRef]
- Morgan, K.D.; Donnelly, C.J.; Reinbolt, J.A. Elevated gastrocnemius forces compensate for decreased hamstrings forces during the weight-acceptance phase of single-leg jump landing: Implications for anterior cruciate ligament injury risk. J. Biomech. 2014, 47, 3295–3302. [Google Scholar] [CrossRef]
- Tamura, A.; Akasaka, K.; Otsudo, T.; Sawada, Y.; Okubo, Y.; Shiozawa, J.; Toda, Y.; Yamada, K. Fatigue Alters Landing Shock Attenuation During a Single-Leg Vertical Drop Jump. Orthop. J. Sports Med. 2016, 4, 1–7. [Google Scholar] [CrossRef]
- James, C.R.; Scheuermann, B.W.; Smith, M.P. Effects of two neuromuscular fatigue protocols on landing performance. J. Electromyogr. Kinesiol. 2010, 20, 667–675. [Google Scholar] [CrossRef]
- Rozzi, S.L.; Lephart, S.M.; Fu, F.H. Effects of muscular fatigue on knee joint laxity and neuromuscular characteristics of male and female athletes. J. Athl. Train 1999, 34, 106–114. [Google Scholar]
- Mejane, J.; Faubert, J.; Romeas, T.; Labbe, D.R. The combined impact of a perceptual-cognitive task and neuromuscular fatigue on knee biomechanics during landing. Knee 2019, 26, 52–60. [Google Scholar] [CrossRef]
- Harato, K.; Morishige, Y.; Niki, Y.; Kobayashi, S.; Nagura, T. Fatigue and recovery have different effects on knee biomechanics of drop vertical jump between female collegiate and recreational athletes. J. Orthop. Surg. Res. 2021, 16, 739. [Google Scholar] [CrossRef]
- Koga, H.; Nakamae, A.; Shima, Y.; Iwasa, J.; Myklebust, G.; Engebretsen, L.; Bahr, R.; Krosshaug, T. Mechanisms for noncontact anterior cruciate ligament injuries: Knee joint kinematics in 10 injury situations from female team handball and basketball. Am. J. Sports Med. 2010, 38, 2218–2225. [Google Scholar] [CrossRef]
- Olsen, O.E.; Myklebust, G.; Engebretsen, L.; Bahr, R. Injury mechanisms for anterior cruciate ligament injuries in team handball: A systematic video analysis. Am. J. Sports Med. 2004, 32, 1002–1012. [Google Scholar] [CrossRef]
- Meyer, E.G.; Haut, R.C. Anterior cruciate ligament injury induced by internal tibial torsion or tibiofemoral compression. J. Biomech. 2008, 41, 3377–3383. [Google Scholar] [CrossRef]
- Mokhtarzadeh, H.; Yeow, C.H.; Hong Goh, J.C.; Oetomo, D.; Malekipour, F.; Lee, P.V. Contributions of the soleus and gastrocnemius muscles to the anterior cruciate ligament loading during single-leg landing. J. Biomech. 2013, 46, 1913–1920. [Google Scholar] [CrossRef]
- Lam, W.K.; Ding, R.; Qu, Y. Ground reaction forces and knee kinetics during single and repeated badminton lunges. J. Sports Sci. 2017, 35, 587–592. [Google Scholar] [CrossRef]
- Boden, B.P.; Sheehan, F.T. Mechanism of non-contact ACL injury. J. Orthop. Res. 2022, 40, 531–540. [Google Scholar] [CrossRef]
- Cohen, J. Statistical Power Analysis for the Behavioral Sciences, 2nd ed.; Routledge: Abingdon, UK, 1988. [Google Scholar]
- Nielsen, M.H.; Lund, J.N.; Lam, W.K.; Kersting, U.G. Differences in impact characteristics, joint kinetics and measurement reliability between forehand and backhand forward badminton lunges. Sports Biomech. 2020, 19, 547–560. [Google Scholar] [CrossRef]
- Willy, R.; Pohl, M.B.; Davis, I.S. Calculation of vertical load rates in the absence of vertical impact peaks. In Proceedings of the American Society of Biomechanics Meeting, Ann Arbor, MI, USA, 5–9 August 2008. [Google Scholar]
- Feagin, J.A.J.; Lambert, K.L.; Cunningham, R.R.; Anderson, L.M.; Riegel, J.; King, P.H.; Vangenderen, L. Consideration of the Anterior Cruciate Ligament Injury in Skiing. Clin. Orthop. Relat. Res. 1987, 216, 13–18. [Google Scholar] [CrossRef]
- Lamontagne, M.; Benoit, D.L.; Ramsey, D.K.; Caraffa, A.; Cerulli, G. What Can We Learn from In Vivo Biomechanical Investigations of Lower Extremity? In Proceedings of the XXIII International Symposium of Biomechanics in Sports, Beijing, China, 22–27 August 2005. [Google Scholar]
- Yu, B.; Lin, C.F.; Garrett, W.E. Lower extremity biomechanics during the landing of a stop-jump task. Clin. Biomech. Mar. 2006, 21, 297–305. [Google Scholar] [CrossRef]
- Lam, W.K.; Lee, K.K.; Park, S.K.; Ryue, J.; Yoon, S.H.; Ryu, J. Understanding the impact loading characteristics of a badminton lunge among badminton players. PLoS ONE 2018, 13, e0191493. [Google Scholar] [CrossRef] [PubMed]
- Podraza, J.T.; White, S.C. Effect of knee flexion angle on ground reaction forces, knee moments and muscle co-contraction during an impact-like deceleration landing: Implications for the non-contact mechanism of ACL injury. The Knee 2010, 17, 291–295. [Google Scholar] [CrossRef] [PubMed]
- Winter, D.A. Overall principle of lower limb support during stance phase of gait. J. Biomech. 1980, 13, 923–927. [Google Scholar] [CrossRef] [PubMed]
- Hewett, T.E.; Myer, G.D.; Ford, K.R. Anterior cruciate ligament injuries in female athletes: Part 1, mechanisms and risk factors. Am. J. Sports Med. 2006, 34, 299–311. [Google Scholar] [CrossRef]
- Hewett, T.E.; Myer, G.D.; Ford, K.R.; Heidt, R.S., Jr.; Colosimo, A.J.; McLean, S.G.; van den Bogert, A.J.; Paterno, M.V.; Succop, P. Biomechanical measures of neuromuscular control and valgus loading of the knee predict anterior cruciate ligament injury risk in female athletes: A prospective study. Am. J. Sports Med. 2005, 33, 492–501. [Google Scholar] [CrossRef]
- Kristianslund, E.; Krosshaug, T.; van den Bogert, A.J. Effect of low pass filtering on joint moments from inverse dynamics: Implications for injury prevention. J. Biomech. 2012, 45, 666–671. [Google Scholar] [CrossRef]
- Donelon, T.A.; Dos’Santos, T.; Pitchers, G.; Brown, M.; Jones, P.A. Biomechanical Determinants of Knee Joint Loads Associated with Increased Anterior Cruciate Ligament Loading During Cutting: A Systematic Review and Technical Framework. Sports Med. Open. 2020, 6, 53. [Google Scholar] [CrossRef]
- Markolf, K.L.; Gorek, J.F.; Kabo, J.M.; Shapiro, M.S. Direct measurement of resultant forces in the anterior cruciate ligament. An in vitro study performed with a new experimental technique. JBJS 1990, 72, 557–567. [Google Scholar] [CrossRef]
- Garrett, W.E.; Yu, B. Anterior cruciate ligament injury mechanisms and risk factors. J. Orthop. Sports Phys. Ther. 2007, 37, A10–A11. [Google Scholar]
- Valldecabres, R.; De Benito, A.M.; Littler, G.; Richards, J. An exploration of the effect of proprioceptive knee bracing on biomechanics during a badminton lunge to the net, and the implications to injury mechanisms. Peer J. 2018, 6, e6033. [Google Scholar] [CrossRef]
- Roth, R.; Donath, L.; Zahner, L.; Faude, O. Acute Leg and Trunk Muscle Fatigue Differentially Affect Strength, Sprint, Agility, and Balance in Young Adults. J. Strength Cond. Res. 2021, 35, 2158–2164. [Google Scholar] [CrossRef] [PubMed]
- Jonhagen, S.; Halvorsen, K.; Benoit, D.L. Muscle activation and length changes during two lunge exercises: Implications for rehabilitation. Scand. J. Med. Sci. Sports 2009, 19, 561–568. [Google Scholar] [CrossRef] [PubMed]
- Liederbach, M.; Kremenic, I.J.; Orishimo, K.F.; Pappas, E.; Hagins, M. Comparison of landing biomechanics between male and female dancers and athletes, part 2: Influence of fatigue and implications for anterior cruciate ligament injury. Am. J. Sports Med. 2014, 42, 1089–1095. [Google Scholar] [CrossRef] [PubMed]
- Winter, D.A. Kinematic and kinetic patterns in human gait: Variability and compensating effects. Hum. Mov. Sci. 1984, 3, 51–76. [Google Scholar] [CrossRef]





| Variables | PRE | POST | P | ||
|---|---|---|---|---|---|
| Mean | (SD) | Mean | (SD) | ||
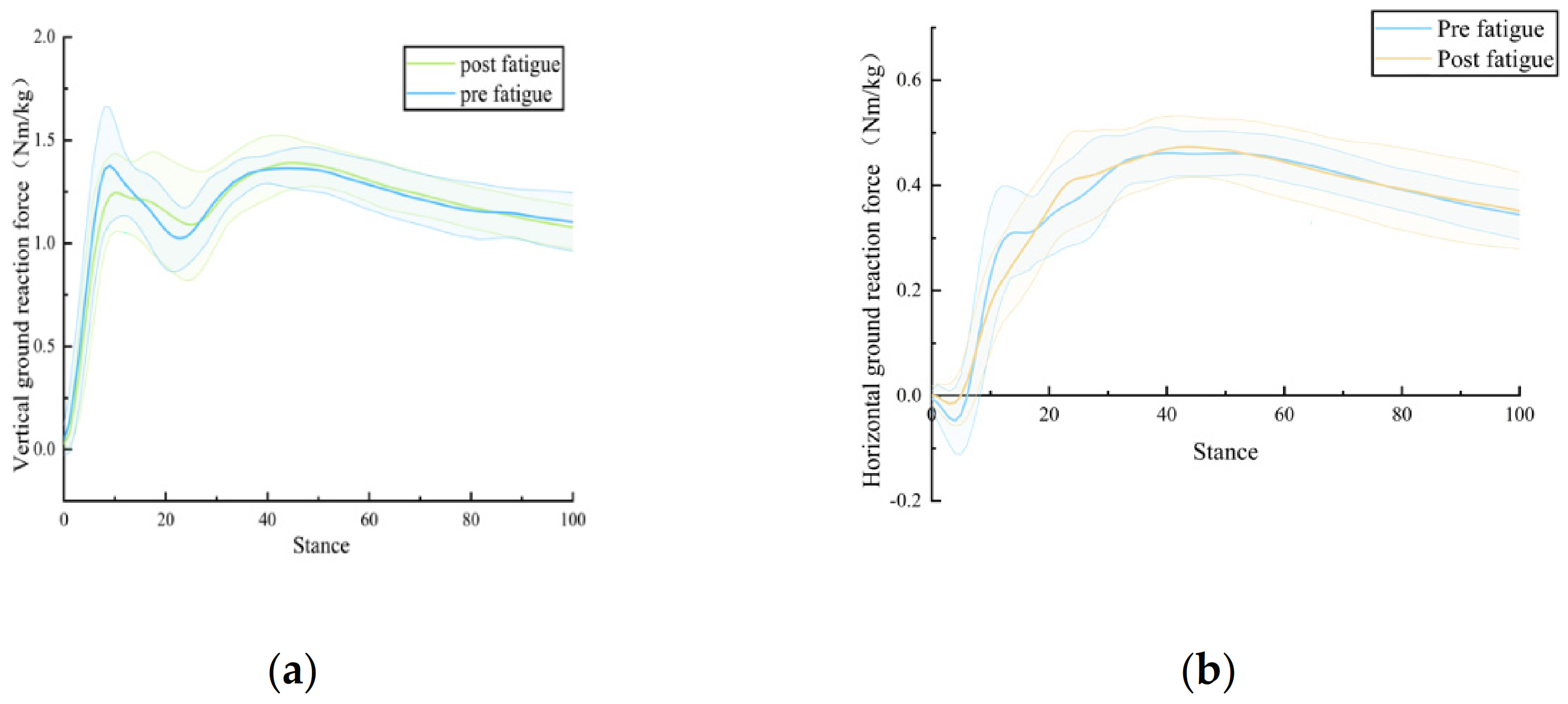
| Mean loading rate of peak (BW/s) | 50.45 | 19.96 | 31.82 | 24.26 | 0.00 * |
| Max loading rate of peak (BW/s) | 68.69 | 31.96 | 58.86 | 35.41 | 0.62 |
| Max GRF (Nm/kg) | 1.51 | 1.64 | 1.50 | 2.71 | 0.23 |
| Variables | PRE | POST | P | ||
|---|---|---|---|---|---|
| Mean | (SD) | Mean | (SD) | ||
| Mean loading rate of peak (BW·s-1) | 6.83 | 2.81 | 6.40 | 2.97 | 0.48 |
| Max loading rate of peak (BW·s-1) | 13.16 | 9.15 | 9.25 | 5.08 | 0.026 * |
| Max GRF (Nm/kg) | 0.49 | 0.08 | 0.53 | 0.07 | 0.027 * |
| Variables | PRE | POST | P | ||
|---|---|---|---|---|---|
| Mean | (SD) | Mean | (SD) | ||
| Peak knee flexion moment at IC | 0.40 | 0.46 | 0.55 | 0.81 | 0.012 * |
| Peak knee adduction moment at IC | 0.27 | 0.28 | 0.32 | 0.50 | 0.46 |
| Peak knee abduction moment at IC | 0.40 | 0.27 | 0.52 | 1.20 | 0.01 * |
| Variables | PRE | POST | P | ||
|---|---|---|---|---|---|
| Mean | (SD) | Mean | (SD) | ||
| Knee flexion angle at IC | 69.77 | 12.92 | 66.90 | 9.82 | 0.45 |
| Knee ROM at IC | 41.08 | 7.70 | 39.69 | 6.51 | 0.38 |
Disclaimer/Publisher’s Note: The statements, opinions and data contained in all publications are solely those of the individual author(s) and contributor(s) and not of MDPI and/or the editor(s). MDPI and/or the editor(s) disclaim responsibility for any injury to people or property resulting from any ideas, methods, instructions or products referred to in the content. |
© 2023 by the authors. Licensee MDPI, Basel, Switzerland. This article is an open access article distributed under the terms and conditions of the Creative Commons Attribution (CC BY) license (https://creativecommons.org/licenses/by/4.0/).
Share and Cite
Liu, Z.; Yang, C.; Yu, J.; Zhao, X.; Wu, J.; Zhang, Y.; Li, J.; Gu, Y. The Effect of Muscles Fatigue on the Knee’s Kinetics and Kinematics Characteristics. Sustainability 2023, 15, 3029. https://doi.org/10.3390/su15043029
Liu Z, Yang C, Yu J, Zhao X, Wu J, Zhang Y, Li J, Gu Y. The Effect of Muscles Fatigue on the Knee’s Kinetics and Kinematics Characteristics. Sustainability. 2023; 15(4):3029. https://doi.org/10.3390/su15043029
Chicago/Turabian StyleLiu, Zhiyong, Chen Yang, Jiabin Yu, Xiaoguang Zhao, Jinan Wu, Yu Zhang, Jianshe Li, and Yaodong Gu. 2023. "The Effect of Muscles Fatigue on the Knee’s Kinetics and Kinematics Characteristics" Sustainability 15, no. 4: 3029. https://doi.org/10.3390/su15043029
APA StyleLiu, Z., Yang, C., Yu, J., Zhao, X., Wu, J., Zhang, Y., Li, J., & Gu, Y. (2023). The Effect of Muscles Fatigue on the Knee’s Kinetics and Kinematics Characteristics. Sustainability, 15(4), 3029. https://doi.org/10.3390/su15043029

