Abstract
With the development of internet-related technology, more and more consumers are trading on second-hand platforms. However, due to the uncertainty of second-hand products, there are a lot of transaction disputes on the platform. It is important to efficiently solve the transaction disputes on the platform. Based on the comment data on social media, this paper systematically studies the public opinion towards the online dispute resolution of Xianyu, China’s largest second-hand goods-trading platform, using word-frequency analysis, theme analysis and sentiment analysis. The study found that online disputes mainly focus on the return and refund issues between buyers and sellers. Crowdsourcing online dispute resolution cannot completely solve all problems, and the platform is still needed to help solve disputes. Consumers are concerned about the convenience of the process operation and the fairness of the results of the crowdsourcing online dispute resolution, as well as the contact channels of customer service. The platform should prevent these situations in advance and avoid disputes from the source. Moreover, the platform should perfect the design of public review system and mechanism, broaden the appeal channels of platform customer service, and improve the platform dispute resolution mechanism. It is of great significance for the development of a second-hand goods-trading platform and the application of an online dispute resolution mechanism to mine the service evaluation and satisfaction factors of consumers on the online dispute resolution mechanism.
1. Introduction
With the improvement of people’s material and environmental awareness, the attitudes of consumers and their acceptability regarding owning used goods have shifted [1,2,3]. More and more consumers, especially the new generation of consumers, prefer to trade second-hand products on reliable second-hand platforms [4,5]. Second-hand goods trading is conducive to reducing waste, saving resources and energy, and protecting the environment [6,7]. According to the data of QYResearch, the commodity turnover of the global second-hand trading platform has reached USD 581.5 billion in 2020, with a compound annual growth rate of 19.66%. However, compared with traditional e-commerce, the uncertainty regarding sellers and products is stronger [8], which has seriously hindered transactions on second-hand platforms, resulting in a large number of transaction disputes. Due to the characteristics of low amount, large quantity, long distance and anonymity of online shopping, traditional dispute resolution methods are difficult to use to effectively solve the online shopping transaction disputes. The online dispute resolution mechanism can be suitable for solving online shopping disputes with the characteristics of low cost and high efficiency [9].
Online dispute resolution (ODR) is a mechanism to resolve disputes with internet-related technology [10]. In 2000, eBay, a typical shopping website, introduced Square Trade, a third-party dispute settlement mechanism, to deal with dispute resolution in transactions, but it still has problems of low efficiency and high cost [11]. After accumulating abundant experience in dispute resolution, eBay designed its own internal online dispute resolution mechanism in 2010, which deals with disputes in a typed manner, greatly improving the efficiency of dispute settlement [12]. Learning from the experience of eBay, Taobao, the largest shopping website in China, follows the concept of continuous case separation and quick settlement, and provides repeated opportunities to provide evidence and interaction in the process of settlement to promote peaceful settlement [13].
The second-hand goods-trading platform Xianyu has designed its own online dispute resolution mechanism, Xianyu Small Court, which, according to the characteristics of the platform, adjudicates disputes between buyers and sellers through high-quality users’ voting, which is similar to jury trial [14]. This mechanism, known as crowdsourced online dispute resolution, was first pioneered by eBay India in 2008 to resolve disputes arising from negative comments posted on the e-commerce platform [15]. The service was discontinued in late 2012 but it has been copied by other platforms. Xianyu Small Court provides users with a quick settlement of disputes, which is suitable for the characteristics of large and complex transactions on the second-hand goods-trading platform. At the same time, it uses the form of crowdsourcing to realize sharing governance of the platform.
At present, the crowdsourcing online dispute resolution mechanism is still in the exploratory stage, with inconsistent procedural rules and a lack of management supervision [16]. On social media, the new online dispute resolution mode has also received mixed reactions from users. This paper uses an exploratory approach to investigate what factors affect users’ satisfaction with the online dispute resolution mechanism on the second-hand goods-trading platform.
Therefore, it is of great significance for the development of the crowdsourcing online dispute resolution to understand users’ evaluation of the mechanism and dig out the main factors that affect customers’ emotional tendencies. This research can help the second-hand trading platform improve its own governance mechanism. The mining of user dispute information can reflect the obstacles faced by people when participating in the exchange in a second-hand trading platform, so as to provide targeted suggestions for improvement, which is conducive to sustainability and to more people participating in second-hand trading.
The crowdsourcing online dispute resolution has always been the main system of Xianyu platform to deal with disputes between buyers and sellers, and it has a wealth of textual data. Therefore, based on the online comments on the Xianyu Small Court on social media, this paper studies and analyzes the influence factors of the users’ emotional inclination of the crowdsourcing online dispute resolution on the second-hand goods-trading platform through the methods of text feature analysis, Latent Dirichlet Allocation (LDA ) topic model and sentiment analysis, among others, and puts forward relevant suggestions.
2. Literature Review
Crowdsourcing online dispute resolution is a type of online dispute resolution mechanism. There are two opinions on online dispute resolution mechanism ODR. One is that ODR evolved from (Alternative Dispute Resolution) ADR, an alternative dispute resolution mechanism [17]. The other is, from a broad perspective, that ODR is a general term for dispute resolution with the help of internet-related technology [18]. ODR is an emerging dispute resolution mechanism in the Internet era. The main feature of ODR is the application of internet-related technology. Therefore, this paper adopts the broad meaning of ODR and considers that ODR is a general way of using technology to solve disputes online.
The online dispute resolution mechanism mainly includes three types: online negotiation, online mediation and online arbitration. Online negotiation usually refers to the communication and negotiation between disputing parties on the online platform without the third party [19]. Online mediation is the process of resolving disputes between parties online and reaching an agreement by using network information technology with the help of a third party [20]. Online arbitration is a form of arbitration in which the parties and arbitrators use network information technology to arbitrate online awards under the auspices of arbitrators [21]. At present, online negotiation is encouraged on online shopping platforms, which is mainly divided into two modes: customer service staff adjudication process and crowdsourcing online dispute resolution [22]. Platform customer service staff adjudication process means that online platforms resolve disputes by setting up special customer service teams. The crowdsourcing online dispute resolution, on the other hand, is a process in which that the platform invites high-quality users as jurors to make judgments on disputes between parties by voting [23].
From a technical perspective, Clark, Cho, and Hoyle have focused on the use of information and communication technologies (ICTs) in online dispute resolution processes; they present its advantages and disadvantages, as well as the resulting policy and regulatory questions [24]. Zbynek Loebl describes the ODR technical standard and divides it into two layers—the access layer and the integration layer, posing suggestions to guide [25]. For the future development of the ODR, Ana Gonçalves and Irena Vanenkova describe the future development of ODRs as a specialization, whose practitioners and service providers currently need a set of standards, to break through into a recognized, trusted, independent, self-managed professional service [26]. Shannon Salter believes that online dispute resolution and the justice system should be co-integrated [27]. Through consumer research, Chin Eang suggests that the quality of the design of the ODR is critical to building consumer trust [28]. Dispute resolution can replace prior supplier quality signals, such as reputation, as an effective alternative to reducing supplier quality risks [29]. Other studies explored the ODR mechanism design from the perspective of the law [30].
Current research is still limited to the traditional online dispute resolution, and there are few studies on crowdsourcing online dispute resolution; moreover, there is no research on its impact on users. In addition, the studies are mostly theoretical explorations and do not reflect the application status of the crowdsourcing online dispute resolution based on real data. Therefore, this study studied the platform users’ attitude towards crowdsourcing online dispute resolution through the comment data on social media.
3. Research Methods
3.1. LDA Topic Clustering Model
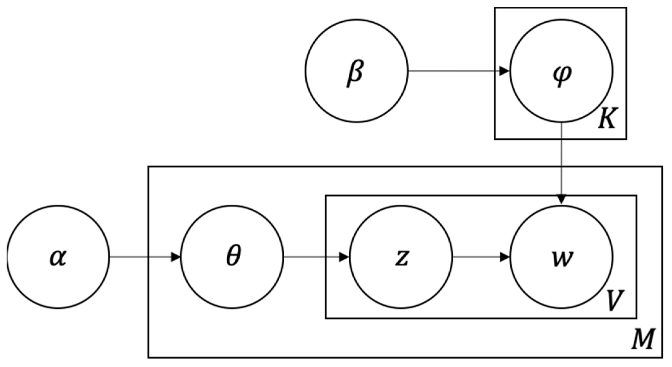
LDA is a typical word bag model, that is, it holds that a document is a collection of words, and there is no order or priority relationship between the words [31,32]. A document can contain multiple topics, and each word in the document is generated from one of these topics. LDA is a class of unsupervised learning algorithms, training sets that do not need to be manually annotated when training but need document sets as well as the number of specified topics K. The advantages of LDA include the ability to find a few words to describe each topic [33]. An LDA topic model is shown in Figure 1. An LDA model is a typical directed probability model, determined by parameters , with reflecting the relative strength of hidden topics in the document set, and representing the probability distribution of each hidden topic itself. Meaning of each parameter: represents the number of topics in the document set, is the topic–word probability distribution, is the number of texts in the document set, is the text–topic probability distribution, represents the frequency of feature words contained in each document, represents the topic variable, and represents the observable variable. The LDA topic model is used to extract the positive and negative bullet screens, respectively. The optimal number of topic extraction needs to be determined. The representative method is theme consistency score [34] and perplexity of topic. The experiment proves that the method of topic perplexity has a better clustering effect [35]. Topic perplexity represents the uncertainty degree of the research model about which topic a document belongs to. The lower the topic perplexity, the better the clustering effect at this time. LDA topic perplexity is used to determine the optimal number of topics.
Figure 1.
LDA model graph.
3.2. Sentiment Analysis
Sentiment analysis is the process of digging people’s sentiments and evaluating their attitudes towards products and services [36]. Text sentiment analysis is to analyze the text with subjective emotion, distinguish the text according to different granularity, construct the corresponding dictionary to assign values to different words, and take the final value as the result value of sentiment calculation, reflecting the negative or positive emotional tendency in the text [37]. Facing different scenes, sentiment analysis mainly includes sentiment dictionary, machine learning and deep learning three text analysis methods. Emotional dictionaries mainly rely on the construction of emotional dictionaries to obtain a document’s sentiment value [38,39]; emotion dictionaries in different fields should be constructed, but the analysis results of emotion dictionaries in different fields are not good. Machine learning is to train the sentiment classifier with the existing data with emotion labels, and then test the emotion tendency of new sentences. It can learn according to the emotion field, and improve the accuracy of sentiment judgment [40,41]. Deep learning is a kind of bionic learning, which uses artificial neural network to carry out multi-layer network learning application. Compared with the other two methods, the setting of model parameters and the complexity of the model itself are also difficult [42,43]. Based on the above theory, compared with the other two methods, machine learning can distinguish sentiments according to the sentiment classifier, and the analysis results are more accurate. SnowNLP library in Python 3.10 is mainly used for the sentiment analysis of shopping comments on e-commerce platforms. After abundant official pre-training, SnowNLP has a high accuracy for the sentiment analysis of online comments generated during online shopping [44,45]. The crowdsourcing online dispute resolution in this research is also mainly based on shopping transactions; thus, SnowNLP was chosen for sentiment analysis of the collected comments. The SnowNLP ‘s sentiment analysis range is [0–1]; the closer it is to 1, the stronger the positive tendency of the statement; the closer it is to 0, the stronger the negative tendency of the statement.
3.3. TF–IDF Weights
Term frequency–inverse document frequency () is a weighting technique used for information retrieval and data mining, which is commonly used to evaluate the importance of a certain phrase or word to the total document [46]. is called word frequency, which is used to calculate the ability of the word to describe the document content, and is called inverse document frequency, which is used to calculate the ability of the word to distinguish the document. The higher the value of , the higher the importance of the word in the document, reflecting the degree of consumer concern for a certain feature [47]. The formula is as follows:
Where is the number of the word in the document, is the total number of documents, represents the total number of documents containing feature words, and represents the total number of documents in the corpus.
4. Research Process and Result Analysis
This research process is mainly divided into the following five specific steps: 1. Collect relevant comment data from Weibo, Douban and Zhihu to form a comment review text base; 2. Text data preprocessing: mainly includes Chinese text word segmentation, stop words’ removal and parts-of-speech tagging; 3. Feature analysis: feature words are extracted from the processed text, and visualized in the form of a word cloud; 4. Clustering text comments based on LDA topic model, mining topics, and using the SnowNLP algorithm for sentiment analysis; 5. Make a comparative analysis of the feature words and sentiment analysis results of the two kinds of texts, namely the crowdsourcing online dispute resolution and the customer service staff adjudication process. The specific process is shown in Figure 2:
Figure 2.
Research processes.
4.1. Data Acquisition and Preprocessing
Xianyu Small Court is a dispute resolution mechanism set up on the Xianyu platform to solve the disputes encountered by users in the transaction. When there is a transaction dispute between the buyer and the seller, the platform will randomly invite 17 anonymous users to make a ruling. The buyer and seller will present evidence to anonymous juror, and the user who gets nine votes first wins, so as to solve the contradiction between the two parties. However, if users do not accept the results of the Small Court, they can be transferred to customer service staff, who will mediate. Launched in 2017, Xianyu Small Court has been running for nearly six years. Users’ comments on Xianyu Small Court on social media are relatively abundant, providing a good data source for analyzing the crowdsourcing online dispute resolution.
Houyi Collector is a web crawler collector with a friendly interface, convenient operation and accurate data collection. In this study, using Houyi Collector, a total of 4017 comments and columns were collected from June 2017 to October 2022 on Weibo, Douban and Zhihu using the keywords “Xianyu Small court”. Due to the existence of more noise in the unprocessed data, the obtained text should be preprocessed. After removing useless comments and repeated comments, the number of texts was 3926. Chinese words cannot be distinguished by spaces in the same way English words can, and word segmentation is required before the analysis of text characteristics. The “jieba” package is widely used in Chinese word segmentation with high accuracy and is widely used in practice. Considering the ease and accuracy of word segmentation, this paper uses the “jieba” package as the word segmentation tool, and uses the Harbin Institute of Technology stop words list to remove the useless words. Finally, the desired word segmentation result is obtained, and effective data is provided for text mining.
4.2. Text-Feature Extraction
Text-feature extraction is one of the basic problems in the field of text mining and information retrieval. It aims to quantify the feature words extracted from the text to represent the text information [48]. This study used is to extract the features of text. is usually used to assess the importance of a word or phrase to a document. A high value indicates that the word has a high importance to the document [47]. According to the calculation results, extract the top 30 feature words, respectively: Seller, Xianyu, Buyer, Small Court, Refund, Return Goods, Customer Service Staff, Video, Receive Goods, Defects, Delivery, Fraud, Skirts, Fakes, Problems, Defend Rights, Freight Charge, Platform, Evidence, Involved, Clothes, Unpack, Transaction, Chat Records, Pictures, Goods, Certified Products, Mobile Phone, Reason, Address. The larger the value of , the higher the importance of this feature word to the total comment text. Table 1 lists the top 30 feature words ranked by word frequency statistics and . Xianyu Small Court ranks third in the top words of word frequency, but does not appear in the top 30 words of . This is because all the comment data contain the word Xianyu Small Court, and this reduces its importance in the ranking. In the ranking, Seller, Buyer, Refund and Return Goods are high, indicating that the dispute focuses on the refund and return issues of both buyers and sellers, and users attach importance to the results of the mechanism; Defects, Fraud and Fakes illustrate the frequent disputes in the mechanism; Videos, Evidence, Chat Records and Pictures show the details of the proceedings of crowdsourcing online dispute resolution.
Table 1.
The top 30 feature words of TF–IDF weight value and word frequency.
4.3. Feature Visualization Analysis Based on Word Cloud
In order to visually show the important words of user comments, this study realized feature visualization by drawing a word cloud according to word frequency. The word cloud is generated by all the comment data, as shown in Figure 3. The main feature words of users include: Xianyu Small Court, Seller, Buyer, Return, Rejection, Customer Service Staff, Defect, Concealment, Problems, Videos, Pictures, Platform, Express Delivery, etc. These reflect that the main concerns of users participating in the Xianyu Small Court are about the return of goods as well as related reasons for the return of goods, such as Defects, Concealment, Problems and others, and the buyers and sellers should display sufficient evidence, such as Videos, Photos, Screenshots, among others. The words Platform and Customer Service Staff also reflect that the Xianyu Small Court cannot completely solve the transaction disputes between users, and the platform is still needed to assist in governance. Based on the visualization analysis of the word cloud, the research found that users’ discussions about the Xianyu Small Court can be divided into the specific conflicts faced by buyers and sellers in the transaction and the process of the Xianyu Small Court.
Figure 3.
Word cloud of comment data.
4.4. LDA Topic Clustering
After feature extraction analysis, some key factors that users pay attention to can be observed, but there is no further semantic mining of comment content, and topic model is an important tool for semantic mining. Among them, the LDA topic model is a kind of document topic generation model, including a document, topic and vocabulary three-layer structure; therefore, it is also known as the three-layer Bayesian probability model, which is one of the most convenient and effective models among many topic models [31]. Through the feature analysis of the LDA topic model, the potential topic information in the text can be discovered. After calculation, as shown in Figure 4, the perplexity of comments is the lowest, at 8, which means that the model is better at extracting eight topics. Therefore, this study selected 8 topics and extracted 15 feature words. The topics, feature words and their weights generated with the LDA topic analysis are shown in Table 2.
Figure 4.
Perplexity curve.
Table 2.
Keywords and their weights in LDA topic analysis.
According to the eight topics and their keywords in the table, when users discuss Xianyu Small Court, the main concerns of discussion are the subject of the dispute (seller and buyer), the second-hand items causing the dispute (mobile phones and clothes), and the two mechanisms of dispute resolution (small court and customer service staff). For each type of topic, users have specific priorities. Through the analysis of the feature words in Table 2, the meanings of each theme are shown as follows: theme 1 reflects the concerns of users in second-hand mobile-phone-trading disputes, including Mobile phone, Battery, Price, Quality Detection, and After-sales Service, showing attention to the quality of electronic products. Theme 2 reflects the buyers’ complaints to the sellers, including Freight Charge, Quality, and Attitude, reflecting the buyers’ attention to the quality of goods, freight and the sellers’ attitude. Theme 3 reflects the sellers’ problems on the platform, but it is more serious than theme 2, including the keywords Fakes, Certified Products, Real and Fake, showing the buyers’ attention to the fake goods. Theme 4 reflects the users’ concern regarding the platform fraud and puts forward the preventive measures, including Evaluation, Address, Information, Records, Links and other keywords. Theme 5 reflects the seller’s complaints to the buyer, including Return Goods, Refund, Videos, Evidence, Reasons, Vouchers and other keywords, showing that the buyer returns the goods without causing trouble to the seller. Theme 6 reflects the content emphasized by users when the customer service staff on the platform solves disputes, including Defend Rights, Official, Telephone, etc. Theme 7 reflects the users’ concerns in the trade disputes of clothing items, including Defects, Hanging Tags, Photos, etc. Theme 8 reflects that users are concerned about crowdsourcing online dispute resolution, including keywords such as Review, Voting, Juror, Winning the Case and Justice.
4.5. Sentiment Analysis
Online comments contain consumers’ attitude towards the Xianyu Small Court. Sentiment analysis can obtain the emotional tendency of users’ comments and convert the comment text into users’ sentiment value [49]. According to the SnowNLP library mentioned in Section 3.2, SnowNLP is used in this paper to analyze the emotional tendency of the collected texts. Specifically, the SnowNLP is trained by using the e-commerce corpus obtained from the website and the marked comment text; the training accuracy is 80.3%. Then, the trained SnowNLP model is used to calculate the sentiment value of the comment. The result is between 0 and 1 the closer to 1, the stronger the positive tendency of the sentence; the closer to 0, the stronger the negative tendency of the statement. This study determined the user’s attitude towards the Xianyu Small Court from the distribution of the sentiment value of the text.
As can be seen from the Figure 5, when discussing the Xianyu Small Court, the emotional polarization distribution is obvious. About half of the users hold a negative attitude and about half hold a positive attitude. It can be seen that there is still a huge room for improvement in the Xianyu Small Court. In order to further analyze the focus of users’ attention on Xianyu Small Court, this paper then compares and analyzes the relevant texts of customer service staff and Xianyu Small Court, determines users’ attitudes towards the two dispute resolution mechanisms, and explores users’ concerns on different dispute resolution mechanisms.
Figure 5.
Distribution of sentiment value.
4.6. Comparative Analysis
According to the results of LDA topic division in Section 4.4, the text of the customer service staff adjudication process is selected to be divided into topic 6, containing 517 texts. The text of the crowdsourcing online dispute resolution selects the text divided into topic 8 in LDA, with a total of 565 texts. Sentiment analysis and feature extraction were carried out on the two types of texts in order to judge the different issues that users pay attention to in the dispute resolution mechanism, so as to put forward specific improvement measures for the dispute resolution mechanism on the platform.
In Figure 6 and Figure 7, users’ attitudes towards the two dispute resolution mechanisms can be seen from the distribution of sentiment values. They show that users have a higher positive emotion towards the crowdsourcing online dispute resolution and a higher negative emotion towards the customer service staff adjudication process. Next, feature extraction of the text is carried out to analyze the reasons for the difference in users’ attitudes. As can be seen from the table below, users’ positive feelings towards the crowdsourcing online dispute resolution are a result of being invited to participate in the court, winning the suit, and supporting and recognizing the jurors’ serious attitude. From the results of text-feature extraction in Table 3, it can be seen that users’ negative emotions toward the customer service staff adjudication process are a result of the timeliness of the service process and specific complaints that require service staff to intervene.
Figure 6.
Distribution of sentiment value based on the topic of crowdsourcing online dispute resolution.
Figure 7.
Distribution of sentiment value based on the topic of customer service staff adjudication process.
Table 3.
Top 20 feature words based on crowdsourcing online dispute resolution and customer service staff adjudication process.
5. Discussion and Conclusions
5.1. Discussion
This paper finds out the main types of disputes and problems causing disputes on the second-hand goods-trading platform through text mining, such as defects, fraud, fake goods, sellers’ attitudes, and freight charge, among others. Previous literature explored the barriers of second-hand goods trading. For example, Wang et al. found that the barriers for users to participate in second-hand platforms are unregulated industry, fake identification, and sanitation concern [5]. Lang and Zhang found that performance risk and social risk have a negative impact on consumers’ participation in second-hand transactions [50]. Mencarelli et al. also revealed that the anonymity of members affects people’s willingness to participate in second-hand transactions [51]. From the perspective of disputes in second-hand platforms, this paper confirms the existence of these obstacles in user transactions. In addition, it also finds that other factors easily cause problems, such as return, sellers’ attitudes, and freight charges. In addition, the previous literature has mainly explored the willingness of second-hand transactions from the perspective of buyers, though this paper also finds the obstacles of sellers in transactions: buyers’ goods-returning behavior for no reason and fraudulent behavior. The findings of this paper are conducive to reducing the disputes on the platform, improving the construction of second-hand goods-trading platforms, and enabling more users to participate in the trading of idle resources, which is conducive to the recycling of resources and the realization of sustainability.
In addition, according to the results of sentiment analysis, users have different attitudes towards the two online dispute resolution mechanisms of crowdsourcing online dispute resolution and customer service staff adjudication process. Previous studies focused less on crowdsourcing online dispute resolution, and more on descriptive studies of such mechanisms in legal academics [15,23]. However, the crowdsourced online dispute resolution mechanism borrowed from the jury system, and the previous literature has shown that the experience of the jury has a positive impact on the attitude [52]. Based on the analysis of users’ reviews towards crowdsourcing online dispute resolution mechanism, this paper finds that participation in the process of the mechanism is easy to generate positive emotions. Moreover, the victory of a small court and the judges’ serious work also can generate users’ positive reviews.
5.2. Suggestions
Combined with the main results of the study, the following management suggestions are proposed.
First, from the perspective of the causes of disputes, the second-hand goods-trading platform should take precautions in advance and formulate corresponding regulations according to the categories of commodities in order to prevent disputes. On the platform, sellers can clearly mark on the product’s details page whether they goods can be returned without reason, as well as mark the range and reasons for return, in order to reduce the disputes between the buyer and the seller about returning goods by as much as possible. For mobile phones and other electronic products, pre-sale quality-testing services and after-sales services can be launched to reduce disputes on the quality of electronic products. For clothing products, the standard of product display can be set in detail, so that users can provide a more detailed photos of the product, showing the details and defects of the product, in order to avoid a situation of inconsistency between the goods and the photos. These can also be applied on traditional e-commerce platforms.
Secondly, the mechanism design of the platform’s crowdsourcing online dispute resolution can be more transparent in order to encourage more users to participate in the review process. The crowdsourcing online dispute resolution can increase the transparency of the arbitrament process. In order to ensure fairness, the jurors are anonymous; however, the jurors’ standards, related qualifications and experience can be properly disclosed. The review process is in the form of voting; therefore, the progress of the vote can be reported to the user in real time. In addition to the public vote comparison, it is necessary to encourage jurors to provide detailed reasons for their vote, thus enhancing the user’s trust in the results.
Finally, the platform’s crowdsourcing online dispute resolution ensures smooth appeal channels, quickly solves disputes and takes care of users’ negative emotions. As customer service is the last barrier to dispute resolution, the platform should broaden the channels for users to appeal and open various channels for contacting the customer service, such as an online chat and by telephone. The platform should standardize the customer service staff adjudication process and ensure that the processing process is open and transparent to facilitate user tracking, as well ensure that disputes are solved within the specified time. The platform should strengthen customer service staff’s training, cultivate a group of high-quality customer service staff, and pay attention to users’ negative emotions.
5.3. Conclusions
Based on the comments data on social media, this paper systematically studies the public attitude towards the crowdsourcing online dispute resolution using word frequency analysis, topic analysis and sentiment analysis.
Firstly, from the core words, it can be seen that the court mainly deals with the disputes between buyers and sellers of returned goods and refunds, and the types of disputes mainly regard defects, fraud, fake goods, etc. Both parties provide evidence, such as their chat screenshots, videos, and photos, among others, and then the court votes to judge. However, the court cannot completely solve all the problems; it still needs the assistance of the platform to solve these disputes.
Secondly, the eight topics in the analysis’ results include the disputes between the two types of second-hand commodities, the respective concerns of the buyers and sellers, and the two dispute resolution mechanisms. The disputes are mainly related to mobile phones and clothing products. The problems of mobile phones mainly regard batteries, price, quality inspection and after-sales service. The main problems of clothing regard the mismatch between photos and goods, defects, and hanging tags, among others. Buyers are mainly concerned with the quality of goods, fake goods, freight charge and sellers’ attitude, while sellers are mainly concerned with the buyers’ goods-returning behavior for no reason, as well as fraud on the platform (which both buyers and sellers are concerned about). The two dispute resolution mechanisms include the crowdsourcing online dispute resolution and the manual customer service adjudication system. As for the crowdsourcing online dispute resolution, users pay attention to the specific process mechanism and fairness of result. In terms of customer service adjudication mechanism, users hope to protect their rights through customer service, and mainly focus on customer service contact channels.
Finally, from the sentiment analysis, it is further found that the overall comments of users are polarized. Specifically, users have a higher positive emotion towards the Xianyu Small Court, while a higher negative emotion is shown towards the platform’s customer service. The positive emotion of users regarding the small court comes from the participation in the review process, the success of the small court, and the support and recognition of the juror’s serious attitude. The more consumers participate in juries, the greater the educational effect, which reflects the concept of restorative justice [53]. The negative feelings of users towards customer service are a result of the blocking of contact channels.
5.4. Limitations and Future Work
Based on users’ online comments on Xianyu Small Court on social media, this paper analyzes public attitude regarding the crowdsourcing online dispute resolution through text feature analysis, LDA topic model, sentiment analysis and other methods, and puts forward relevant suggestions for the second-hand platform, which is helpful to the recycling economy. The limitations of this paper are as follows: there is little users’ comment data on social platforms, and the amount of data collected is limited. As a type of unsupervised machine learning, the LDA model has a low accuracy in understanding human language; therefore, a clustering method with higher accuracy can be adopted in future research. The sentiment analysis method of machine learning is still to be improved. The supervised learning method can be adopted by manual labeling to improve the accuracy of machine learning. These problems can be further studied in the future.
Author Contributions
Conceptualization, Y.L. and Y.W.; methodology, Y.L.; software, Y.L.; validation, Y.L. and Y.W.; formal analysis, Y.L.; investigation, Y.L.; resources, Y.W.; data curation, Y.L.; writing—original draft preparation, Y.L.; writing—review and editing, Y.W.; visualization, Y.W.; supervision, Y.W.; project administration, Y.W.; funding acquisition, Y.W. All authors have read and agreed to the published version of the manuscript.
Funding
This work was supported, in part, by a grant from the National Natural Science Foundation of China, grant number 71874018.
Institutional Review Board Statement
Not applicable.
Informed Consent Statement
Not applicable.
Acknowledgments
The authors acknowledge the financial support provided by the National Natural Science Foundation of China.
Conflicts of Interest
The authors declare no conflict of interest. The funder had no role in the design of the study, in the collection, analyses, or interpretation of data, in the writing of the manuscript, or in the decision to publish the results.
References
- Ferraro, C.; Sands, S.; Brace-Govan, J. The Role of Fashionability in Second-Hand Shopping Motivations. J. Retail. Consum. Serv. 2016, 32, 262–268. [Google Scholar] [CrossRef]
- Borusiak, B.; Szymkowiak, A.; Horska, E.; Raszka, N.; Zelichowska, E. Towards Building Sustainable Consumption: A Study of Second-Hand Buying Intentions. Sustainability 2020, 12, 875. [Google Scholar] [CrossRef]
- Evans, F.; Grimmer, L.; Grimmer, M. Consumer Orientations of Secondhand Fashion Shoppers: The Role of Shopping Frequency and Store Type. J. Retail. Consum. Serv. 2022, 67, 102991. [Google Scholar] [CrossRef]
- Parguel, B.; Lunardo, R.; Benoit-Moreau, F. Sustainability of the Sharing Economy in Question: When Second-Hand Peer-to-Peer Platforms Stimulate Indulgent Consumption. Technol. Forecast. Soc. Change 2017, 125, 48–57. [Google Scholar] [CrossRef]
- Wang, B.; Fu, Y.; Li, Y. Young Consumers’ Motivations and Barriers to the Purchase of Second-Hand Clothes: An Empirical Study of China. Waste Manag. 2022, 143, 157–167. [Google Scholar] [CrossRef]
- Arrigo, E. Collaborative Consumption in the Fashion Industry: A Systematic Literature Review and Conceptual Framework. J. Clean. Prod. 2021, 325, 129261. [Google Scholar] [CrossRef]
- Zhao, G.; Geng, Y.; Sun, H.; Tian, X.; Chen, W.; Wu, D. Mapping the Knowledge of Green Consumption: A Meta-Analysis. Environ. Sci. Pollut. Res. 2020, 27, 44937–44950. [Google Scholar] [CrossRef]
- Dimoka, A.; Hong, Y.; Pavlou, P.A. On Product Uncertainty in Online Markets: Theory and Evidence. MIS Q. 2012, 36, 395–426. [Google Scholar] [CrossRef]
- Cortés, P. Developing Online Dispute Resolution for Consumers in the EU: A Proposal for the Regulation of Accredited Providers. Int. J. Law Info. Tech. 2011, 19, 1–28. [Google Scholar] [CrossRef]
- Katsh, E. Online Dispute Resolution: Resolving Conflicts in Cyberspace, 1st ed.; Jossey-Bass: San Francisco, CA, USA, 2001; ISBN 978-0-7879-5676-9. [Google Scholar]
- eBay Inc. General Announcement; eBay Inc.: San Jose, CA, USA, 2008. [Google Scholar]
- Buying | EBay. Available online: https://www.ebay.co.uk/help/buying (accessed on 11 January 2023).
- Zhou, X. Description and Explanation: Dispute Resolution Mechanism of Taobao China’s Experience and Observation of ODR. J. Shanghai Jiaotong Univ. Soc. Sci. 2021, 29, 97–108. [Google Scholar] [CrossRef]
- Han, X. Application and improvement of non -judicial ODR in China: Taking Xianyu court as example. J. Beijing Technol. Bus. Univ. Soc. Sci. 2020, 35, 117–126. [Google Scholar] [CrossRef]
- Rule, C.; Nagarajan, C. Crowdsourcing Dispute Resolution over Mobile Devices. Springer Neth. 2011, 93–106. [Google Scholar] [CrossRef]
- Sela, A. The effect of online technologies on dispute resolution system design: Antecedents, current trends, and future directions. Lewis Clark Law Rev. 2017, 21, 633. [Google Scholar]
- Wahab, M. The Global Information Society and Online Dispute Resolution: A New Dawn for Dispute Resolution. J. Int. Arbitr. 2004. [Google Scholar] [CrossRef]
- Katsh, E. Bringing Online Dispute Resolution to Virtual Worlds: Creating Processes Through Code. NYLS Law Rev. 2004, 49, 12. [Google Scholar]
- Rule, C. Online Dispute Resolution For Business: B2B, ECommerce, Consumer, Employment, Insurance, and Other Commercial Conflicts, 1st ed.; Jossey-Bass: San Francisco, CA, USA, 2002; ISBN 978-0-7879-5731-5. [Google Scholar]
- Goodman, J. The Pros and Cons of Online Dispute Resolution: An Assessment of Cyber-Mediation Websites. Duke Law Technol. Rev. 2003. [Google Scholar]
- Kaufmann-Kohler, G.; Schultz, T. Online Dispute Resolution: Challenges for Contemporary Justice; Kluwer Law International BV: Zürich, Switzerland, 2004; ISBN 978-90-411-2318-3. [Google Scholar]
- Xiao, X. Research on the Online Resolution of Online Shopping Disputes in China. J. North Univ. ChinaSocial Sci. Ed. 2022, 38, 63–70. [Google Scholar] [CrossRef]
- Herik, J.; Dimov, D. Towards Crowdsourced Online Dispute Resolution. J. Int. Commer. Law Technol. 2012, 7, 141–162. [Google Scholar]
- Clark, E.; Cho, G.; Hoyle, A. Online Dispute Resolution: Present Realities, Pressing Problems and Future Prospects. Int. Rev. Law Comput. Technol. 2003, 17, 7–25. [Google Scholar] [CrossRef]
- Loebl, Z. Identifying and Establishing Standard ODR Processes. Int. J. Online Disput. Resolut. 2016, 3, 125–134. [Google Scholar] [CrossRef]
- Gonçalves, A.; Vanenkova, I. From Practice to Profession: The ODR Community’s Next Vital Step. Int. J. Online Disput. Resolut. 2016, 3, 146–150. [Google Scholar] [CrossRef]
- Salter, S. Online dispute resolution and justice system integration: British columbia’s civil resolution tribunal. Windsor Yearb. Access Justice 2017, 34, 112. [Google Scholar] [CrossRef]
- Ong, C.E.; Teh, D. Redress Procedures Expected by Consumers during a Business-to-Consumer e-Commerce Dispute. Electron. Commer. Res. Appl. 2016, 17, 150–160. [Google Scholar] [CrossRef]
- Burtch, G.; Hong, Y.; Kumar, S. When Does Dispute Resolution Substitute for a Reputation System? Empirical Evidence from a Service Procurement Platform. Prod. Oper. Manag. 2021, 30, 1565–1582. [Google Scholar] [CrossRef]
- Kaufmann-Kohler, G. Online Dispute Resolution and Its Significance for International Commercial Arbitration; International Chamber of Commerce: Paris, France, 2023. [Google Scholar]
- Xu, H.; Zhang, F.; Wang, W. Implicit Feature Identification in Chinese Reviews Using Explicit Topic Mining Model. Knowl.-Based Syst. 2014, 76, 166–175. [Google Scholar] [CrossRef]
- Karmaker Santu, S.K.; Sondhi, P.; Zhai, C. Generative Feature Language Models for Mining Implicit Features from Customer Reviews. In Proceedings of the 25th ACM International on Conference on Information and Knowledge Management, Indianapolis, IA, USA, 24 October 2016; pp. 929–938. [Google Scholar]
- Zhang, L.; Liu, B. Aspect and Entity Extraction for Opinion Mining; Springer: Berlin/Heidelberg, Germany, 2014; Volume 1, pp. 1–40. ISBN 978-3-642-40836-6. [Google Scholar]
- Santosh, D.T.; Vardhan, B.V.; Ramesh, D. Extracting Product Features from Reviews Using Feature Ontology Tree Applied on LDA Topic Clusters. In Proceedings of the 6th International Conference on Advanced Computing (IACC 2016), Bhimavaram, India, 27–28 February 2016; pp. 163–168. [Google Scholar] [CrossRef]
- Blei, D.M.; Ng, A.; Jordan, M.I. Latent Dirichlet Allocation. J. Mach. Learn. Res. 2003, 933–1022. [Google Scholar] [CrossRef]
- Kang, D.; Park, Y. Review-Based Measurement of Customer Satisfaction in Mobile Service: Sentiment Analysis and VIKOR Approach. Expert Syst. Appl. 2014, 41, 1041–1050. [Google Scholar] [CrossRef]
- Liang, T.-P.; Li, X.; Yang, C.-T.; Wang, M. What in Consumer Reviews Affects the Sales of Mobile Apps: A Multifacet Sentiment Analysis Approach. Int. J. Electron. Commer. 2015, 20, 236–260. [Google Scholar] [CrossRef]
- Chen, L.-C.; Lee, C.-M.; Chen, M.-Y. Exploration of Social Media for Sentiment Analysis Using Deep Learning. Soft Comput. 2020, 24, 8187–8197. [Google Scholar] [CrossRef]
- Liu, B. Sentiment Analysis and Opinion Mining; Springer: Berlin/Heidelberg, Germany, 2012; Volume 5. [Google Scholar]
- Pang, B.; Lee, L.; Vaithyanathan, S. Thumbs up? Sentiment Classification Using Machine Learning Techniques; Association for Computational Linguistics: Toronto, ON, Canada, 2002. [Google Scholar]
- Yoshida, S.; Kitazono, J.; Ozawa, S.; Sugawara, T.; Haga, T.; Nakamura, S. Sentiment Analysis for Various SNS Media Using Naïve Bayes Classifier and Its Application to Flaming Detection. In Proceedings of the 2014 IEEE Symposium on Computational Intelligence in Big Data (CIBD, Orlando, FL, USA, 9–12 December 2014; pp. 1–6. [Google Scholar]
- Chen, T.; Xu, R.; He, Y.; Wang, X. Improving Sentiment Analysis via Sentence Type Classification Using BiLSTM-CRF and CNN. Expert Syst. Appl. 2017, 72, 221–230. [Google Scholar] [CrossRef]
- Xiao, K.; Zhang, Z.; Wu, J. Chinese Text Sentiment Analysis Based on Improved Convolutional Neural Networks. In Proceedings of the 2016 7th IEEE International Conference on Software Engineering and Service Science (ICSESS), Beijing, China, 26–28 August 2016; pp. 922–926. [Google Scholar]
- Turney, P.D. Thumbs Up or Thumbs Down? Semantic Orientation Applied to Unsupervised Classification of Reviews. Assoc. Comput. Linguist. 2002, 417–424. [Google Scholar] [CrossRef]
- Wu, Z.; Duan, C.; Cui, Y.; Qin, R. Consumers’ Attitudes toward Low-Carbon Consumption Based on a Computational Model: Evidence from China. Technol. Forecast. Soc. Change 2023, 186, 122119. [Google Scholar] [CrossRef]
- Huang, C.-H.; Yin, J.; Hou, F. A Text Similarity Measurement Combining Word Semantic Information with TF-IDF Method. Chin. J. Comput. 2011, 34, 856–864. [Google Scholar] [CrossRef]
- Shahid, N.; Ilyas, M.U.; Alowibdi, J.S.; Aljohani, N.R. Word Cloud Segmentation for Simplified Exploration of Trending Topics on Twitter. IET Softw. 2017, 11, 214–220. [Google Scholar] [CrossRef]
- Yan, Z.; Xing, M.; Zhang, D.; Ma, B. EXPRS: An Extended Pagerank Method for Product Feature Extraction from Online Consumer Reviews. Inf. Manage. 2015, 52, 850–858. [Google Scholar] [CrossRef]
- Wilson, T.; Wiebe, J.; Hoffmann, P. Recognizing Contextual Polarity: An Exploration of Features for Phrase-Level Sentiment Analysis. Comput. Linguist. 2009, 35, 399–433. [Google Scholar] [CrossRef]
- Lang, C.; Zhang, R. Second-Hand Clothing Acquisition: The Motivations and Barriers to Clothing Swaps for Chinese Consumers. Sustain. Prod. Consum. 2019, 18, 156–164. [Google Scholar] [CrossRef]
- Mencarelli, R.; Lunardo, R.; Lombart, C.; Blut, M.; Henon, E. Perceiving Control over the Exchange on Peer-to-Peer Platforms: Measurement and Effects in the Second-Hand Market. Mark. Lett. 2022, 1–19. [Google Scholar] [CrossRef]
- Pyo, J. The Impact of Jury Experience on Perception of the Criminal Prosecution System. Int. J. Law Crime Justice. 2018, 52, 176–184. [Google Scholar] [CrossRef]
- Conforti, O. ODR and Restorative Justice Online: Clarifying Concepts Due to Its Legal Implications. Int. J. Adv. Res. 2018, 6, 850–857. [Google Scholar] [CrossRef]
Disclaimer/Publisher’s Note: The statements, opinions and data contained in all publications are solely those of the individual author(s) and contributor(s) and not of MDPI and/or the editor(s). MDPI and/or the editor(s) disclaim responsibility for any injury to people or property resulting from any ideas, methods, instructions or products referred to in the content. |
© 2023 by the authors. Licensee MDPI, Basel, Switzerland. This article is an open access article distributed under the terms and conditions of the Creative Commons Attribution (CC BY) license (https://creativecommons.org/licenses/by/4.0/).






