Assessment of Meteorological and Agricultural Drought Indices under Climate Change Scenarios in the South Saskatchewan River Basin, Canada
Abstract
1. Introduction
2. Research Methodology
2.1. Study Area
2.2. Datasets
2.3. Drought Indices
- Standardized Precipitation Index (SPI)
- b.
- Standardized precipitation evaporation index (SPEI)
- c.
- Self-Calibrated Palmer Drought Severity Index (scPDSI)
- d.
- Soil Moisture Deficit Index (SMDI).
- e.
- Evapotranspiration Deficit Index (ETDI)
2.4. Hydrologic Modeling
3. Results
3.1. Uncertainty, Sensitivity, and Calibration
3.2. Impact of Climate Change on Weather Parameters
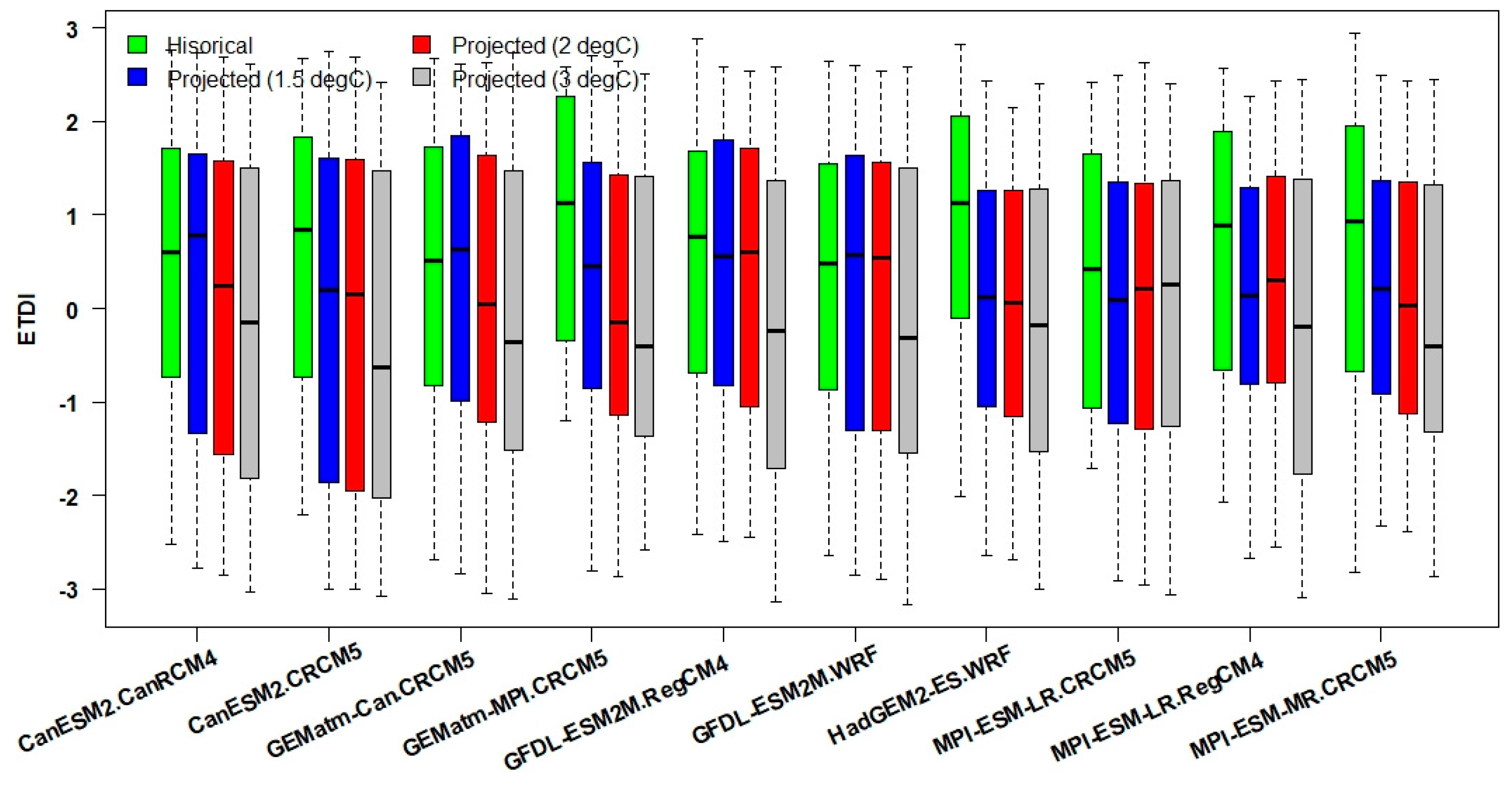
3.3. Impact of Climate Change on Drought
- Meteorological drought
- b.
- Agricultural drought
4. Discussion
5. Conclusions
Author Contributions
Funding
Institutional Review Board Statement
Informed Consent Statement
Data Availability Statement
Acknowledgments
Conflicts of Interest
References
- Marcos-Garcia, P.; Lopez-Nicolas, A.; Pulido-Velazquez, M. Combined use of relative drought indices to analyze climate change impact on meteorological and hydrological droughts in a Mediterranean basin. J. Hydrol. 2017, 554, 292–305. [Google Scholar] [CrossRef]
- Heim, R.R. A review of twentieth-century drought indices used in the United States. Bull. Am. Meteorol. Soc. 2002, 83, 1149. [Google Scholar] [CrossRef]
- Pielke, R.A.; Doesken, N.; Bliss, O.; Green, T.; Chaffin, C.; Salas, J.D.; Woodhouse, C.A.; Lukas, J.J.; Wolter, K. Drought 2002 in Colorado: An Unprecedented Drought or a Routine Drought? Pure Appl. Geophys. 2005, 162, 1455–1479. [Google Scholar] [CrossRef]
- Naumann, G.; Alfieri, L.; Wyser, K.; Mentaschi, L.; Betts, R.A.; Carrao, H.; Spinoni, J.; Vogt, J.; Feyen, L. Global Changes in Drought Conditions Under Different Levels of Warming. Geophys. Res. Lett. 2018, 45, 3285–3296. [Google Scholar] [CrossRef]
- Kim, T.-W.; Jehanzaib, M. Drought Risk Analysis, Forecasting and Assessment under Climate Change. Water 2020, 12, 1862. [Google Scholar] [CrossRef]
- Aadhar, S.; Mishra, V. High-resolution near real-time drought monitoring in south Asia. Sci. Data 2017, 4, 170145. [Google Scholar] [CrossRef]
- Aghakouchak, A.; Farahmand, A.; Melton, F.S.; Teixeira, J.; Anderson, M.C.; Wardlow, B.D.; Hain, C.R. Remote sensing of drought: Progress, challenges and opportunities. Rev. Geophys. 2015, 53, 452–480. [Google Scholar] [CrossRef]
- Dai, A. Characteristics and trends in various forms of the Palmer Drought Severity Index during 1900–2008. J. Geophys. Res. 2011, 116, D12115. [Google Scholar] [CrossRef]
- Bush, E.; Lemmen, D.S. Canada’s Changing Climate Report; Government of Canada: Ottawa, ON, Canada, 2019; p. 444.
- Kim, K.; Daly, E.J.; Flesch, T.K.; Coates, T.W. Carbon and water dynamics of a perennial versus an annual grain crop in temperate agroecosystems. Agric. For. Meteorol. 2022, 314, 108805. [Google Scholar] [CrossRef]
- Sauchyn, D.; Barrow, E.; Fang, X.; Henderson, N.; Johnston, M.; Pomeroy, J.; Thorpe, J.; Wheaton, E.; Williams, B. Saskatchewan Natural Capital in a Changing Climate: An Assessment of Impact and Adaptation; Report to Saskatchewan Ministry of Environment; Prairie Adaptation Research Collaborative: Regina, SK, Canada, 2009; 162p. [Google Scholar]
- Akhter, A.; Azam, S. Flood-drought hazard assessment for a flat clayey deposit in the Canadian Prairies. J. Environ. Inform. Lett. 2019, 1, 8–19. [Google Scholar] [CrossRef]
- Loukas, A.; Vasiliades, L.; Tzabiras, J. Climate change effects on drought severity. Adv. Geosci. 2008, 17, 23–29. [Google Scholar] [CrossRef]
- Wheater, H.; Gober, P. Water security in the Canadian Prairies: Science and management challenges. Philos. Trans. R. Soc. A 2013, 371, 20120409. [Google Scholar] [CrossRef] [PubMed]
- Farm Credit Canada (FCC), Technology Disruptors Study, FCC Vision October 2022. Available online: https://www.fccvision.ca/ (accessed on 19 December 2022).
- Chipanshi, A.C.; Findlater, K.M.; Hadwen, T.; O’Brien, E.G. Analysis of consecutive droughts on the Canadian prairies. Clim. Res. 2006, 30, 175–187. [Google Scholar] [CrossRef]
- Bonsal, B.R.; Wheaton, E.E.; Chipanshi, A.C.; Lin, C.; Sauchyn, D.J.; Wen, L. Drought research in Canada: A review. Atmos. Ocean 2011, 49, 303–319. [Google Scholar] [CrossRef]
- Sauchyn, D.; Ilich, N. Nine Hundred Years of Weekly Streamflows: Stochastic Downscaling of Ensemble Tree-Ring Reconstructions. Water Resour. Res. 2017, 53, 9266–9283. [Google Scholar] [CrossRef]
- Akinremi, O.; McGinn, S.; Barr, A. Evaluation of the palmer drought index on the Canadian prairies. J. Clim. 1996, 9, 897–905. [Google Scholar] [CrossRef]
- Quiring, S.M.; Papakryiakou, T.N. An evaluation of agricultural drought indices for the Canadian prairies. Agric. For. Meteorol. 2003, 118, 49–62. [Google Scholar] [CrossRef]
- Roberts, E.; Stewart, R.E.; Lin, C.A. A study of drought characteristics over the Canadian Prairies. Atmos. Ocean. 2006, 44, 331–345. [Google Scholar] [CrossRef]
- Mkhabela, M.S.; Bullock, P.; Raj, S.; Wang, S.; Yang, Y. Crop yield forecasting on the Canadian Prairies using MODIS NDVI data. Agr. Forest Meteorol. 2011, 151, 385–393. [Google Scholar] [CrossRef]
- Masud, M.B.; Qian, B.; Faramarzi, M. Performance of multivariate and multiscalar drought indices in identifying impacts on crop production. Int. J. Climatol. 2019, 40, 292–307. [Google Scholar] [CrossRef]
- Masud, M.; Khaliq, M.; Wheater, H. Future changes to drought characteristics over the Canadian Prairie Provinces based on NARCCAP multi-RCM ensemble. Clim. Dyn. 2017, 48, 2685–2705. [Google Scholar] [CrossRef]
- Bonsal, B.; Liu, Z.; Wheaton, E.; Stewart, R. Historical and projected changes to the stages and other characteristics of severe Canadian Prairie droughts. Water 2020, 12, 3370. [Google Scholar] [CrossRef]
- Zare, M.; Azam, S.; Sauchyn, D. Evaluation of Soil Water Content Using SWAT for Southern Saskatchewan, Canada. Water. 2022, 14, 249. [Google Scholar] [CrossRef]
- Tanzeeba, S.; Gan, T.Y. Potential impact of climate change on the water availability of South Saskatchewan River Basin. Clim. Chang. 2012, 112, 355–386. [Google Scholar] [CrossRef]
- Zare, M.; Azam, S.; Sauchyn, D. A Modified SWAT Model to Simulate Soil Water Content and Soil Temperature in Cold Regions: A Case Study of the South Saskatchewan River Basin in Canada. Sustainability 2022, 14, 10804. [Google Scholar] [CrossRef]
- Sauchyn, D.; Davidson, D.; Johnston, M. Prairie Provinces; Chapter 4. In Canada in a Changing Climate: Regional Perspectives, Report; Warren, F.J., Lulham, N., Lemmen, D.S., Eds.; Government of Canada: Ottawa, ON, Canada, 2020. [Google Scholar]
- Lac, S. A Climate change adaptation study for the South Saskatchewan River Basin. In SSHRC MCRI-Institutional Adaptation to Climate Change Project; Canadian Plains Research Centre, University of Regina: Regina, SK, Canada, 2004. [Google Scholar]
- Masud, M.B.; McAllister, T.; Cordeiro, M.R.C.; Faramarzi, M. Modeling future water footprint of barley production in Alberta, Canada: Implications for water use and yields to 2064. Sci. Total Environ. 2018, 616, 208–222. [Google Scholar] [CrossRef] [PubMed]
- Giorgi, F.; Jones, C.; Asrar, G. Addressing climate information needs at the regional level: The CORDEX framework. WMO Bull. 2009, 58, 175–183. [Google Scholar]
- Mearns, L.; McGinnis, S.; Korytina, D.; Arritt, R. The NA-CORDEX Dataset, Version 1.0. NCAR Climate Data Gateway, Boulder CO. 2017. Available online: https://doi.org/10.5065/D6SJ1JCH (accessed on 16 May 2017). [CrossRef]
- McKee, T.B.; Doesken, N.J.; Kleist, J. The relationship of drought frequency and duration to time scales. In Proceedings of the Eighth Conference on Applied Climatology, Anaheim, CA, USA, 17–22 January 1993. [Google Scholar]
- Ogunrinde, A.T.; Oguntunde, P.G.; Akinwumiju, A.S.; Fasinmirin, J.T. Evaluation of the Impact of Climate Change on the Characteristics of Drought in Sahel Region of Nigeria: 1971–2060. Afr. Geogr. Rev. 2021, 40, 192–210. [Google Scholar] [CrossRef]
- Jehanzaib, M.; Yoo, J.; Kwon, H.-H.; Kim, T.-W. Reassessing the frequency and severity of meteorological drought considering non-stationarity and copula-based bivariate probability. J. Hydrol. 2021, 603, 126948. [Google Scholar] [CrossRef]
- Vicente-Serrano, S.M.; Begueria, S.; Lopez-Moreno, J.I. A multiscalar drought index sensitive to global warming: The Standardized Precipitation Evapotranspiration Index. J. Clim. 2010, 23, 1696–1718. [Google Scholar] [CrossRef]
- Nam, W.H.; Hayes, M.J.; Wilhite, D.A.; Svoboda, M.D. Projection of temporal trends on drought characteristics using the standardized precipitation evapotranspiration index (SPEI) in South Korea. J. Kor. Soc. Agri. Eng. 2015, 57, 37–45. [Google Scholar]
- Jiang, R.; Xie, J.; He, H.; Luo, J.; Zhu, J. Use of four drought indices for evaluating drought characteristics under climate change in Shaanxi, China: 1951–2012. Nat. Hazard. 2015, 75, 2885–2903. [Google Scholar] [CrossRef]
- Ahmadalipour, A.; Moradkhani, H.; Yan, H.; Zarekarizi, M. Remote Sensing of Drought: Vegetation, Soil Moisture and Data Assimilation, Remote Sensing of Hydrological Extremes. In Remote Sensing of Hydrological Extremes; Springer International Publishing: Cham, Switzerland, 2017; pp. 121–149. [Google Scholar]
- Wang, H.; Chen, Y.; Pan, Y.; Chen, Z.; Ren, Z. Assessment of candidate distributions for SPI/SPEI and sensitivity of drought to climatic variables in China. Int. J. Clim. 2019, 39, 4392–4412. [Google Scholar] [CrossRef]
- Guttman, N.B. Accepting the standardized precipitation index: A calculation algorithm. J. Am. Water Resour. Assoc. 1999, 35, 311–322. [Google Scholar] [CrossRef]
- Abramowitz, M.; Stegun, I.A. Handbook of Mathematical Functions. Dover Publications: New York, NY, USA, 1965. [Google Scholar]
- Wells, N.; Goddard, S.; Hayes, M.J. A self-calibrating Palmer drought severity index. J. Clim. 2004, 17, 2335–2351. [Google Scholar] [CrossRef]
- Palmer, W.C. Meteorological Drought, Research Paper No. 45; U.S. Department of Commerce Weather Bureau: Washington, DC, USA, 1965.
- Narasimhan, B.; Srinivasan, R. Development and evaluation of Soil Moisture Deficit Index (SMDI) and Evapotranspiration Deficit Index (ETDI) for agricultural drought monitoring. Agric. For. Meteorol. 2005, 133, 69–88. [Google Scholar] [CrossRef]
- Mishra, A.K.; Singh, V.P. A review of drought concepts. J. Hydrol. 2010, 391, 202–216. [Google Scholar] [CrossRef]
- Spinoni, J.; Naumann, G.; Carrao, H.; Barbosa, P.; Vogt, J. World drought frequency, duration, and severity for 1951–2010. Int. J. Climatol. 2014, 34, 2792–2804. [Google Scholar] [CrossRef]
- Tan, C.; Yang, J.; Li, M. Temporal-spatial variation of drought indicated by SPI and SPEI in Ningxia Hui Autonomous region, China. Atmosphere 2015, 6, 1399–1421. [Google Scholar] [CrossRef]
- Arnold, J.G.; Moriasi, D.N.; Gassman, P.W.; Abbaspour, K.C.; White, M.J.; Srinivasan, R.; Santhi, C.; Harmel, R.D.; Van Griensven, A.; Van Liew, M.W.; et al. SWAT: Model use, calibration, and validation. Trans. ASABE 2012, 55, 1491–1508. [Google Scholar] [CrossRef]
- Mapfumo, E.; Chanasyk, D.S.; Willms, W.D. Simulating daily soil water under foothills fescue grazing with the Soil and Water Assessment Tool model (Alberta, Canada). Hydrol. Process. 2004, 18, 2787–2800. [Google Scholar] [CrossRef]
- Refsgaard, J.C.; Storm, B. MIKE-SHE. In Computer Models of Watershed Hydrology; Singh, V.J., Ed.; Water Resources Pub.: Englewood, CO, USA, 1995; pp. 809–846. [Google Scholar]
- Abbaspour, K.C.; Yang, J.; Maximov, I.; Siber, R.; Bogner, K.; Mieleitner, J.; Zobrist, J.; Srinivasan, R. Modelling hydrology and water quality in the pre-alpine/alpine Thur watershed using SWAT. J. Hydrol. 2007, 333, 413–430. [Google Scholar] [CrossRef]
- Nash, J.E.; Sutcliffe, J.V. River flow forecasting through conceptual models: Part I—A discussion of principles. J. Hydrol. 1970, 10, 282–290. [Google Scholar] [CrossRef]
- Moriasi, D.N.; Arnold, J.G.; Van Liew, M.W.; Binger, R.L.; Harmel, R.D.; Veith, T. Model evaluation guidelines for systematic quantification of accuracy in watershed simulations. Trans. ASABE 2007, 50, 885–900. [Google Scholar] [CrossRef]
- Legates, D.R.; McCabe, G.J. Evaluating the use of “goodness-of-fit” measures in hydrologic and hydroclimatic model validation. Water Resour. Res. 1999, 35, 233–241. [Google Scholar] [CrossRef]
- Rücker, A.; Boss, S.; Kirchner, J.W.; von Freyberg, J. Monitoring snowpack outflow volumes and their isotopic composition to better understand streamflow generation during rain-on-snow events. Hydrol. Earth Syst. Sci. Discuss. 2019, 23. [Google Scholar] [CrossRef]
- Mamo, K.H.M.; Jain, M.K. Runoff and sediment modeling using SWAT in Gumera catchment, Ethiopia. Open J. Mod. Hydrol. 2013, 3, 38391. [Google Scholar]
- Gyamfi, C.; Ndambuki, J.M.; Salim, R.W. A historical analysis of rainfall trend in the Olifants Basin in South Africa. Earth Sci. Res. 2016, 5, 129–142. [Google Scholar] [CrossRef]
- Khalid, K.; Ali, M.F.; Rahman, N.F.A.; Mispan, M.R.; Haron, S.H.; Othman, Z.; Bachok, M.F. Sensitivity analysis in watershed model using SUFI-2 algorithm. Procedia Eng. 2016, 162, 441–447. [Google Scholar] [CrossRef]
- Thavhana, M.P.; Savage, M.J.; Moeletsi, M.E. SWAT model uncertainty analysis, calibration and validation for runo ff simulation in the Luvuvhu River catchment, South Africa. Phys. Chem. Earth. 2018, 105, 115–124. [Google Scholar] [CrossRef]
- Moriasi, D.N.; Gitau, M.W.; Pai, N.; Daggupati, P. Hydrologic and water quality models: Performance measures and evaluation criteria. Trans. ASABE 2015, 58, 1763–1785. [Google Scholar]
- Pomeroy, J.; Fang, X.; Williams, B. Impacts of Climate Change on Saskatchewan’s Water Resources; Centre for Hydrology, University of Saskatchewan: Saskatoon, SK, Canada, 2009. [Google Scholar]
- Qi, J.; Zhang, X.; Wang, Q. Improving hydrological simulation in the Upper Mississippi River Basin through enhanced freeze-thaw cycle representation. J. Hydrol. 2019, 571, 605–618. [Google Scholar] [CrossRef]
- Lévesque, É.; Anctil, F.; Van Griensven, A.N.N.; Beauchamp, N. Evaluation of streamflow simulation by SWAT model for two small watersheds under snowmelt and rainfall. Hydrol. Sci. J. 2008, 53, 961–976. [Google Scholar] [CrossRef]
- Liang, K.; Jiang, Y.; Qi, J.; Fuller, K.; Nyiraneza, J.; Meng, F.R. Characterizing the impacts of land use on nitrate load and water yield in an agricultural watershed in Atlantic Canada. Sci. Total Environ. 2020, 729, 138793. [Google Scholar] [CrossRef] [PubMed]
- He, Y.; Wang, H.; Qian, B.; McConkey, B.; DePauw, R. How early can the seeding dates of spring wheat be under current and future climate in Saskatchewan, Canada? PLoS ONE 2012, 7, e45153. [Google Scholar] [CrossRef]
- Touma, D.; Ashfaq, M.; Nayak, M.A.; Kao, S.-C.; Diffenbaugh, N.S. A multi-model and multi-index evaluation of drought characteristics in the 21st century. J. Hydrol. 2015, 526, 196–207. [Google Scholar] [CrossRef]
- Nguvava, M.; Abiodun, B.J.; Otieno, F. Projecting drought characteristics over East African basins at specific global warming levels. Atmos. Res. 2019, 228, 41–54. [Google Scholar] [CrossRef]
- Haile, G.G.; Tang, Q.; Hosseini-Moghari, S.M.; Liu, X.; Gebremicael, T.G.; Leng, G.; Kebede, A.; Xu, X.; Yun, X. Projected impacts of climate change on drought patterns over East Africa. Earths Future 2020, 8, e2020EF001502. [Google Scholar] [CrossRef]
- Masud, M.B.; Khaliq, M.N.; Wheater, H.S. Analysis of meteorological droughts for the Saskatchewan River basin using univariate and bivariate approaches. J. Hydrol. 2015, 522, 452–466. [Google Scholar] [CrossRef]
- Šeparovi´c, L.; Alexandru, A.; Laprise, R.; Martynov, A.; Sushama, L.; Winger, K.; Tete, K.; Valin, M. Present Climate and Climate Change over North America as Simulated by the Fifth-Generation Canadian Regional Climate Model; Springer: Berlin/Heidelberg, Germany, 2013; Volume 41. ISBN 003820131 7375.
- Yang Kam Wing, G.; Sushama, L.; Diro, G.T. The intraannual variability of land-atmosphere coupling over North America in the Canadian Regional Climate Model (CRCM5). J. Geophys. Res. Atmos. 2016, 121, 13859–13885. [Google Scholar] [CrossRef]




















| Data Type | Description | Information | Source |
|---|---|---|---|
| Digital Elevation Model | Watershed delineation | Raster, 30 m resolution | http://geogratis.gc.ca |
| accessed 8 September 2022 | |||
| Land use | Land-use classification | Raster, 30 m resolution | http://geogratis.gc.ca |
| accessed 14 September 2022 | |||
| Soil type | Soil properties | Vector | http://www.agr.gc.ca |
| accessed 27 September 2022 | |||
| Weather | Precipitation and temperature | Daily | https://weather.gc.ca |
| accessed 15 August 2022 | |||
| Streamflow measured | Calibration and validation | Daily | https://wateroffice.ec.gc.ca |
| accessed 29 August 2022 | |||
| Soil moisture measured | Calibration model | Daily | https://acis.alberta.ca |
| accessed 3 September 2022 |
| Simulation Name | GCM Derived | RCM Model Name | Institute |
|---|---|---|---|
| CanESM2.CanRCM4 | CanESM2 | Canadian Regional Climate Model version 4 | Canadian Centre for Climate Modelling and Analysis (CCCma) |
| CanESM2.CRCM5 | CanESM2 | Canadian Regional Climate Model (CRCM) version 5 | Université du Québec à Montréal (UQAM) |
| GEMatm-Can.CRCM5 | GEMatm | Canadian Regional Climate Model (CRCM) version 5 | Université du Québec à Montréal (UQAM) |
| GEMatm-MPI.CRCM5 | GEMatm | Canadian Regional Climate Model (CRCM) version 5 | Université du Québec à Montréal (UQAM) |
| GFDL-ESM2M.RegCM4 | GFDL-ESM2 | Regional Climate Model version 4 | Iowa State University and National Center for Atmospheric Research (NCAR) |
| GFDL-ESM2M.WRF | GFDL-ESM2 | Weather Research and Forecast model | University of Arizona and NCAR |
| HadGEM2-ES.WRF | HadGEM2-ES | Weather Research and Forecast model | University of Arizona and NCAR |
| MPI-ESM-LR.CRCM5 | MPI-ESM-LR | Canadian Regional Climate Model (CRCM) version 5 | Université du Québec à Montréal (UQAM) |
| MPI-ESM-LR.RegCM4 | MPI-ESM-LR | Regional Climate Model version 4 | Iowa State University and National Center for Atmospheric Research (NCAR) |
| MPI-ESM-LR.WRF | MPI-ESM-LR | Weather Research and Forecast model | University of Arizona and NCAR |
| MPI-ESM-MR.CRCM5 | MPI-ESM-MR | Canadian Regional Climate Model (CRCM) version 5 | Université du Québec à Montréal (UQAM) |
| GCMs Model | 1.5 °C | 2.0 °C | 3.0 °C |
|---|---|---|---|
| CanESM2 | 2016–2045 | 2028–2057 | 2047–2076 |
| MPI-ESM-LR | 2029–2058 | 2041–2070 | 2063–2092 |
| MPI-ESM-MR | 2030–2059 | 2040–2069 | 2061–2090 |
| GFDL-ESM2 | 2023–2052 | 2038–2067 | 2068–2097 |
| HadGEM2-ES | 2003–2032 | 2016–2045 | 2037–2066 |
| GEM.Can | 2016–2045 | 2028–2057 | 2047–2076 |
| GEM.MPI | 2029–2058 | 2041–2070 | 2063–2092 |
| SPI and SPEI Value | PDSI Value | Class |
|---|---|---|
| Greater than 2.00 | Greater than 4.00 | Extremely wet |
| 1.50 to 1.99 | 3.00 to 3.99 | Severely wet |
| 1.00 to 1.49 | 2.00 to 2.99 | Moderately wet |
| 0.50 to 0.99 | 1.00 to 1.99 | Slightly wet |
| −0.49 to 0.49 | −0.99 to 0.99 | Near normal |
| −0.99 to −0.50 | −1.99 to −1.00 | Mild dry |
| −1.49 to −1.00 | −2.99 to −2.00 | Moderately dry |
| −1.99 to −1.5 | −3.99 to −3.00 | Severely dry |
| Less than −2.00 | Less than −4.00 | Extremely dry |
| SMDI and ETDI | Class |
|---|---|
| Greater than 2.00 | Extremely wet |
| 1.50 to 1.99 | Severely wet |
| 1.00 to 1.49 | Moderately wet |
| −0.99 to 0.99 | Near normal |
| −1.49 to −1.00 | Moderately dry |
| −1.99 to −1.5 | Severely dry |
| Less than −2.00 | Extremely dry |
| Statistical Indices | PBIAS | NSE | |
|---|---|---|---|
| Hussar | 0.55 | 9.5 | 0.72 |
| Morrin | 0.53 | −10.2 | 0.79 |
| Old college | 0.45 | −9.1 | 0.61 |
| Leedale | 0.33 | 15.7 | 0.57 |
| Brocket | 0.57 | −8.2 | 0.86 |
| Kenaston | 0.65 | 7.1 | 0.78 |
| Mean | 0.51 | 10 | 0.72 |
Disclaimer/Publisher’s Note: The statements, opinions and data contained in all publications are solely those of the individual author(s) and contributor(s) and not of MDPI and/or the editor(s). MDPI and/or the editor(s) disclaim responsibility for any injury to people or property resulting from any ideas, methods, instructions or products referred to in the content. |
© 2023 by the authors. Licensee MDPI, Basel, Switzerland. This article is an open access article distributed under the terms and conditions of the Creative Commons Attribution (CC BY) license (https://creativecommons.org/licenses/by/4.0/).
Share and Cite
Zare, M.; Azam, S.; Sauchyn, D.; Basu, S. Assessment of Meteorological and Agricultural Drought Indices under Climate Change Scenarios in the South Saskatchewan River Basin, Canada. Sustainability 2023, 15, 5907. https://doi.org/10.3390/su15075907
Zare M, Azam S, Sauchyn D, Basu S. Assessment of Meteorological and Agricultural Drought Indices under Climate Change Scenarios in the South Saskatchewan River Basin, Canada. Sustainability. 2023; 15(7):5907. https://doi.org/10.3390/su15075907
Chicago/Turabian StyleZare, Mohammad, Shahid Azam, David Sauchyn, and Soumik Basu. 2023. "Assessment of Meteorological and Agricultural Drought Indices under Climate Change Scenarios in the South Saskatchewan River Basin, Canada" Sustainability 15, no. 7: 5907. https://doi.org/10.3390/su15075907
APA StyleZare, M., Azam, S., Sauchyn, D., & Basu, S. (2023). Assessment of Meteorological and Agricultural Drought Indices under Climate Change Scenarios in the South Saskatchewan River Basin, Canada. Sustainability, 15(7), 5907. https://doi.org/10.3390/su15075907

