Abstract
COVID-19 caused a major shift in consumer behavior online at companies that focused on offering products to a traditional and more diverse (LGBTTTQI+) market. For this reason, an online survey was carried out through the digital platforms Facebook and LinkedIn in the last months of the pandemic (COVID-19) to determine how interpersonal influences and electronic word of mouth (eWOM) affect the intention to buy back online products and services, even after the pandemic. Data was collected from 384 consumers and analyzed using Partial Least Squares Structural Equation Modeling (PLS-SEM), confirming that both interpersonal influences and electronic word of mouth explain repurchase intention, and that electronic word of mouth had the greatest influence. Theoretical and practical implications include insights for social media marketers, and evidence of a dramatic shift in the use of technology by consumers from COVID-19 to new market segments. The findings showed that the behavior of consumers on these two social platforms was inclined to more diverse user; 50% of the users who responded to the survey were oriented to a more socio-diverse community.
1. Introduction
In recent years, online shopping has grown rapidly in the retail market, causing people to use different digital platforms to purchase their products [1]. However, in early 2020, governments around the world ordered citizens to stay home to limit the spread of the deadly coronavirus (COVID-19). This affected all segments of society, including consumers and suppliers [2]. On the other hand, other sectors such as e-commerce showed an increase in sales, even though social restrictions were imposed by governments [3]. The retail industry is using the latest technologies for growth in an increasingly platform-ized society, such as robotics and automation for a fast delivery system. In other words, machines and equipment will operate independently or can cooperate with humans for customized production [4].
The global population purchased preventive inputs associated with hygiene and care products, such as medical supplies, isopropyl alcohol, antibacterial wipes, first aid kits, antiseptics, cold and flu remedies, and cough remedies [5]. However, data analyzed indicate that the highest percentage of digital shoppers are young people (women, men and LGBTTTQI+ community) under the age of 35, which can be interpreted as the younger generation having a greater interest in the online shopping model [6]. Some experts argue that it is understandable that young people are more likely to shop on digital platforms due to their familiarity with technology, the Internet, social media, the daily use of mobile devices, and their lifestyle and consumption habits.
This population has been adapting to the “new normal”, indicating a transition from face-to-face to e-commerce [5]. These new challenges precipitated by the pandemic have forced companies to rethink their commercial strategies, evidencing the reasons why young people prefer to shop more on digital sites than in physical shops, according to data presented by some experts [7].
This shows that young people find opportunities on digital platforms, such as (a) online pages with the same offers as in the point of sale; (b) wider product availability than in a retailer; (c) websites with images and information explaining the specific characteristics of each product they wish to buy (avoiding gender labels); (d) relationships and communications with others; and (e) better promotions, with free shipping being the second most valued by 60% of consumers, among others [8,9]. Indeed, these companies invest resources in digital platforms for communication aimed at a connected and digitized society, through social networks, email, and advertising that replaces conventional marketing strategies [10].
In summary, the new consumer is characterized by a digital lifestyle, spending more time on activities, such as email, social networking, fashion, knowledge and education, personal interest, personal management, planning and organization, news, sports and weather, search and pre-purchase, multimedia and entertainment, online shopping, and online games [10,11]. Therefore, consumer media on digital platforms during the COVID-19 outbreak caused the social tension of information and opinions provided by other consumers’ reduced or increased purchase intentions [12]. For that reason, this research aims to determine the effect of interpersonal influences and electronic word of mouth (eWOM) on repurchase intention of online products and services by highlighting that more diverse youth markets show higher online consumption compared to other markets. The structure of this article is organized as follows. First, a literature review of variables for hypothesis development is compiled. Second, the research methodology is discussed. Third, the findings of the study are highlighted. Finally, in Section 4, conclusions, limitations, and future lines of research are presented.
2. Background
2.1. Repurchase Intention on Digital Platforms of a Diverse Population
Repurchase intention is a well-studied element in marketing known as the intention to repeat purchases of specific products and services, generating loyalty [13,14]. In terms of digital platform purchases, repurchase intention is the intention to buy again through a different distribution channel where companies act under a type of leadership style to position themselves (online) in relation to the traditional one [15,16].
Consumer purchase intention from a population that is immersed in plurality has diversified, being used as a key construct in marketing research in a variety of inclusive contexts, and including variables such as consumer attitudes, perceived value, usefulness, and ease of use [17]. However, focusing on repurchase intention on digital platforms, many previous studies have sought to measure the factors that most affect repurchase intention by considering over 80 variables as antecedents to consumer purchase intention that have been categorized into perceived website features, product features, and consumer characteristics [18].
2.2. Online Shopping (E-Commerce) Experience in Post COVID-19 Times in a Diverse Population
Shopping on digital platforms refers to the purchase of products and services over the Internet, and reflects a company’s ability to use that medium to share information, facilitate transactions, and improve customer service [19]. Over time, online commerce, has allowed companies to identify that not only are price and website design important for success or failure, but so is the quality of the online service the customer receives. Indeed, [20] highlight that the sexual and gender diverse community market purchases expensive products online as a way to self-express or indulge themselves. Therefore, customer experience on digital platforms is a crucial indicator in determining online purchase intentions [21].
This led to an increase in e-shopping, with gender being one of the most important components in consumers’ self-concept, according to [22]. To understand this situation, it is important to consider that gender roles are changing in many countries, including conservative ones where men are expected to be guided by goals and values emphasizing dominance, self-assertiveness, and self-sufficiency; whereas women are guided by communal goals and values emphasizing affiliation, harmonious relationships, submissiveness, emotionality, and home orientation.
Regarding the consumers of a socio-diverse and sexually diverse population, classic authors such as [23,24] state that the majority of this society does not strictly conform to traditional male and female roles, and flexibility and shift-taking are instead the most common patterns. Likewise, [25] mention that gender roles are diminished in male, female, and LGBTQI+ couples due to the tendency to support feminist values, efforts to eradicate traditional gender roles, and the struggle against society to create new forms of relationships different from those of traditional couples. This new approach would enable shopping on digital platforms that target significant advantages for consumers, such as time savings, home delivery and, in times of COVID-19, social distancing [26].
2.3. Interpersonal Influence on the Repurchase Intention of the LGBTTTQI+ Community
Interpersonal influences refer to the influences that other people exert on an individual’s decisions by externally pressuring them to perform certain behaviors [27]. In the use of technology, interpersonal influences in social networks influence the individual through messages and signals from others about social expectations, and by observing their behavior in specific activities [11]. According to previous research, personal influence can improve customer satisfaction and the in-store experience, and can impact attitudes, social norms, values, aspirations and purchase behavior.
As noted by [28], the attitudes of the LGBTTTQI+ community simultaneously act to affect behavioral intentions; people are more likely to learn from social interactions rather than share their intentions, judgements, and attitudes towards life. As a diverse society, interpersonal influences are an important social pressure for consumer behavior, which describes the acceptance an individual needs from the people around them who are important in their lives. At the same time, interpersonal influence relates to an individual’s self-esteem [29]. In other words, the LGBTTTQI+ community members with high self-esteem have high interpersonal influence, and vice versa. In addition, such a person places trust in others because they identify with the products and brands that other individuals buy and they avoid disapproval from their close personal groups [30].
Similarly, other studies have demonstrated the impact of interpersonal relationships on the future purchase intentions of this type of consumer [31]. Additionally, many LGBTQIA+ activists, being aware that some brands support social movements such as Pride Month, purchase such brands and, in turn, expect others to follow suit [32].
Therefore, based on the literature review, the following hypothesis was developed:
Hypothesis 1 (H1).
Positive interpersonal influences directly and positively affect the intention to repurchase products and services online, in people who identify as LGBTTTQI.
2.4. Electronic Word of Mouth (eWOM) in Repurchase Intention
eWOM is well known for the way a recipient perceives non-commercial information about a brand, product, or service [33]. In terms of online shopping, it refers to any opinion, positive or negative, issued by previous or potential customers about a product or service which can be read by a large number of people and institutions via the Internet. The most commonly used media to communicate eWOM are personal blogs, discussion forums, online communities, personal email, chat rooms, instant messaging, social networking sites (e.g., Twitter, Facebook and Instagram), and online customer reviews [34].
It is important to note that online references from other shoppers are an important source of information about products and services for consumers when making their final purchase decision; thus, they have a significant impact on customer purchase intention [33]. In addition, reviews from other customers reduce search time and uncertainty about product quality, which positively affects purchase intention, sales, and customer satisfaction [35]. Furthermore, [36] analyzed the responses of several consumers in China who voluntarily participated in the circle of friends and WeChat mobile platforms, confirming that online reviews have a direct effect on internet purchase and repurchase intention. Similarly, [36] showed that a recommendation made on digital platforms by an LGBTTTQI+ identified influencer gained greater credibility among LGBTTTQI+ youth, increasing the intention to purchase the recommended brands.
Similarly, [20] mention that if a consumer believes the comments posted on a retailer’s website, they will be motivated to buy and revisit that shop for future purchases. Furthermore, [20] showed that the quality of eWOM has a positive and direct effect on the intention to repurchase products online. Similarly, [37] found that the quality and quantity of eWOM has positive results on online repurchase intention, leading to higher consumer trust. Finally, [38] confirmed that eWOM affects brand loyalty and perceived risk by triggering online repurchase intention. Based on the above, the following hypothesis was developed:
Hypothesis 2 (H2).
A positive eWOM directly and positively affects online repurchase intention for products and services, in people who identify as LGBTTTQI+.
Finally, in the context of online shopping, [29] mention that eWOM and online reviews have an effect on interpersonal influences. At the same manner, [39] show that active members, by reading online reviews from other consumers, create their own opinions which they share with others. Similarly, [40] argue that the eWOM in tourism encourages consumers to obtain and generate their own information to later share with others. Therefore, the following hypothesis arises:
Hypothesis 3 (H3).
A positive eWOM positively affects interpersonal influences.
3. Materials and Methods
For data collection, an online survey was conducted through Google Forms, with the prior permission of the respondents. The advantage of conducting online surveys is the lower cost, faster feedback, better coverage, shorter time, and that it allows the researcher to contact the sample group quickly [39]. The survey was sent via Facebook and LinkedIn, as users of Facebook and LinkedIn are more likely to disclose data and share information [40]. The first part of the questionnaire asked respondents whether COVID-19 had changed their purchasing habits since its onset. Subsequently, frequency of purchase before and during the pandemic was measured using a seven-point Likert scale where “1 = never and 7 = every day” [41]. Section 2 measured the respondents’ frequency of purchase of various products and services in the past two months, during the pandemic, based on [42], where “1 = never and 7 = ten times or more” [43,44]. In the third part, interpersonal influence items were measured based on Bhattacharya et al. [45]; eWOM was measured based on [46]; and online repurchase intention was measured based on [46,47,48], using the 5-point Likert-type scale where “1 = Strongly disagree and 5 = Strongly agree”. Table 1 presents the operationalization of the variables used in the survey. Finally, the demographic data of the participants was collected, including age, educational level and sex, where they had to indicate whether they were male, female, lesbian, gay, bisexual, transgender, transsexual, transvestite, queer or intersex (See Table 2).
Table 1.
Operationalization of variables.
Table 2.
Demographic data.
The type of sampling used was non-probabilistic, applying the technique out of convenience and to ensure a greater representation of the data; it also allowed for easy access, geographic proximity, time availability, and willingness to participate [17]. A sampling by quotas was made by characterizing the population according to gender (LGTBTTTQI+, female and male) [48,49]. In addition to reducing costs and time, inviting users to participate voluntarily and share the survey with their Facebook and LinkedIn contacts [50]. Data collection was conducted between 28 July and 13 August 2021 in the state of Tamaulipas, Mexico.
The sample consisted of 384 participants [41] 27.6% female, 22.9% male, and 50% from the LGBTTTQI+ community, all over the age of 15. Table 2 shows the demographics of the respondents. In terms of educational level, 65.6% had bachelor’s degrees, 21.4% had master’s degrees, 9.8% had doctorates, and the remaining 3.1% had high school degrees. In terms of age, 72.4% were between 15 and 20 years old, and 27.6% were between 21 and 30 years old (See Table 2).
PLS-SEM Model
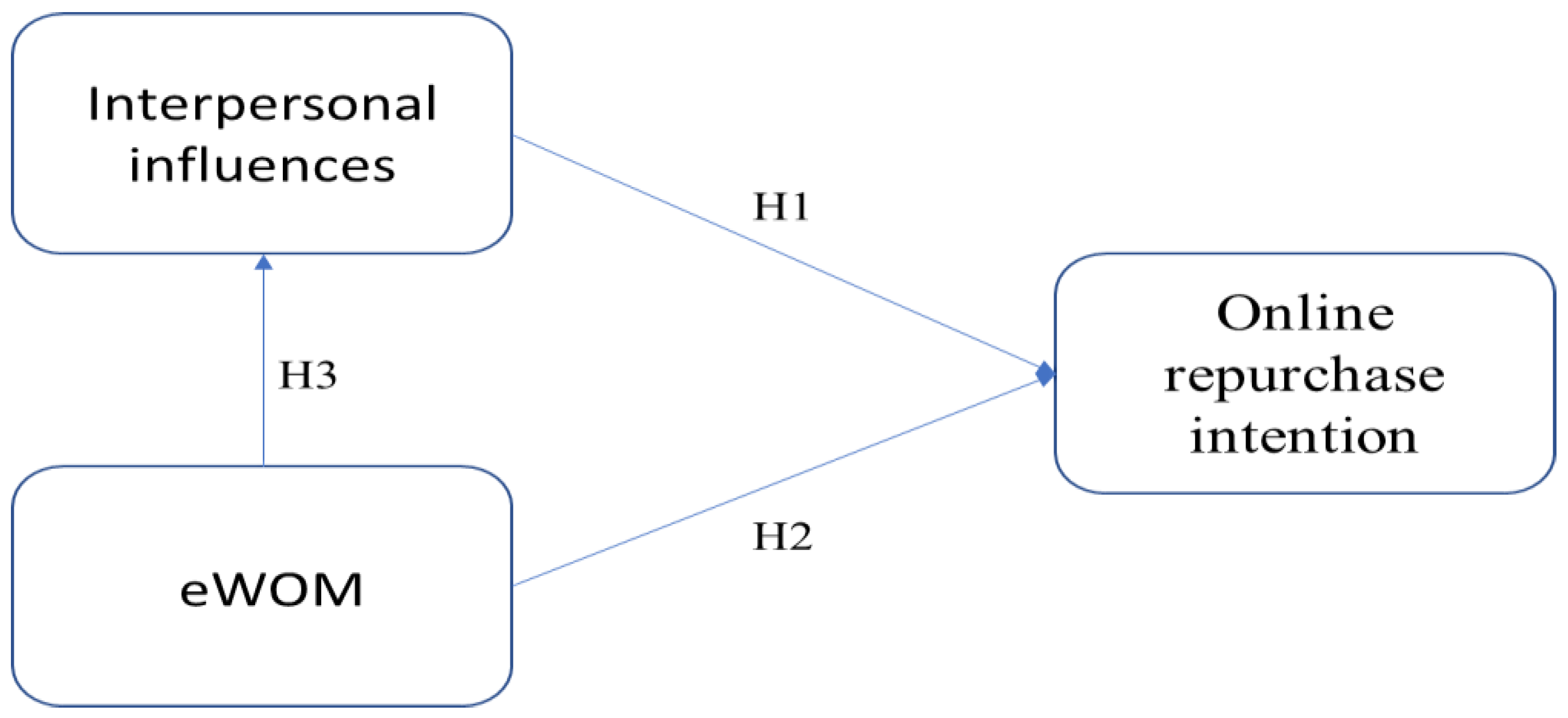
To identify the magnitude of the impact of interpersonal influences and eWOM on the intention to repurchase products and services online, and the effect of eWOM on interpersonal influences (see Figure 1), we used the Partial Least Squares Structural Equation Model (PLS-SEM), as it allows us to test the hypotheses when the sample is small [49,50]. The evaluation of the PLS-SEM was conducted in two stages: the evaluation of the measurement instrument, i.e., the evaluation of each construct, and the evaluation of the structural model.
Figure 1.
Conceptual model.
In the evaluation of the measurement instrument, three indicators were examined. Firstly, internal consistency and reliability, where Cronbach’s alpha and composite reliability (CR) indices were sought to be above 0.70. Secondly, convergent validity, which occurs when all the items of the construct have loadings greater than 0.70, and item communality and the average variance extracted from the construct are greater than 0.50. Finally, the discriminant validity of the construct is determined by identifying that the Heterotrait-Monotrait confidence interval (HTMT) does not contain the value of one.
The structural model was tested by first examining whether the relationships established in the model were significant [51,52]. This was done by bootstrapping and verifying that the confidence interval did not contain zero or that the p-value was less than 0.05. Subsequently, the predictive power of the model was tested by examining two indicators, R2 and f2. According to [53], adjusted R2 values of 0.25, 0.50 and 0.75 are considered weak, moderate, and significant, respectively. Similarly, f2 values of 0.02, 0.15, and 0.35 indicate small, moderate, and large effects. Finally, we test predictive relevance through q2 (which must be positive). In addition, we examined the q2 effect of each construct. Values 0.02, 0.15 and 0.35 show low, medium, or high predictive relevance, respectively [54]. SmartPLS3 software was used to perform the above estimations.
4. Results
Figure 2 shows that before COVID-19 the frequency of online shopping was rare (44.80%) or once a month (34.50%). However, after the start of the pandemic, it increased to once every two weeks (31.00%) and once a week (12.80%). The results showed the COVID-19 pandemic impacted the frequency of online shopping. This was for security reasons and due to restrictions on leaving home only in case of emergency or essential activities [43].
Figure 2.
Changes in online shopping frequency before and after COVID-19.
4.1. Evaluation of the Measurement Model
Regarding the convergent assessment, Table 3 shows that item three of the interpersonal influences construct does not meet this validation, as the factor loadings and community were lower than required. Therefore, item three of the interpersonal influences construct was removed from the model and the measurement model was re-evaluated without considering it. The new estimate meets the established criteria, the constructs have internal consistency reliability, and meet convergent and discriminant validity (See Table 3).
Table 3.
Model Evaluation Fit.
4.2. Evaluation of the Structural Model
In Figure 3, the structural model presents significant relationships, so it was possible to verify the three established hypotheses; i.e., eWOM and interpersonal influences directly and positively affect the intention to repurchase products and services online, and eWOM positively affects interpersonal influences on online repurchase intention (See Figure 3).
Figure 3.
Results of the structural assessment.
Finally, eWOM was found to have a greater influence on online repurchase intention (0.581) compared to interpersonal influences (0.144) (See Table 4).
Table 4.
Results of hypothesis testing.
We examined the predictive power of eWOM and interpersonal influences on online repurchase intention, then examined the predictive power of eWOM on interpersonal influences. First, the predictive power of online repurchase intention was moderate (adjusted R2 of 0.420), the construct size effect of interpersonal influences was moderate, and eWOM was high (f2 of 0.03 and 0.53, respectively). The model exhibits predictive relevance as the Q2 is greater than zero (0.378). Furthermore, the eWOM construct has a high predictive significance (q2 is 0.69), and the interpersonal influences construct has a medium significance (q2 of 0.17). The above results confirm that eWOM is the variable that has a high influence on online repurchase intention. The predictive power on interpersonal influences is weak (adjusted R2 is 0.136), and the model exhibits predictive significance. The Q2 is greater than zero (0.110), which confirms that interpersonal influences are influenced by eWOM; however, this influence is weak.
5. Discussion
The findings in this research show that although the new generations are more tolerant of sexually diverse people, there is still hate speech in our society that perpetuates phobic attitudes towards a group that sometimes clouds even the most tolerant people, and which is promoted by some political parties, religious institutions, and associations of various kinds, who shamelessly attack a group that has had to face a multitude of situations. It is of interest for this research team to be able to discuss these findings with other research sources at a global level, which will make it possible to significantly advance the market segments and the behavior of consumers, not only from a gender perspective but also with other tolerant societies. The effect of interpersonal influences on repurchase intention was significant, so H1 was not rejected. Similarly, [55] showed that interpersonal influences significantly influenced repurchase intention in the organic category. Similarly, [2] identified that in Chinese society, other people’s opinions directly influence repurchase intention for electronic products, even as younger generations use other consumers’ online reviews to make purchasing decisions. However, [56,57] found that interpersonal influences have a negative effect on the repurchase intention of mall products offered online, in Chinese youth.
Similarly, repurchase intention is positively affected by eWOM, so H2 was not rejected. These results are consistent with previous research [56,58]. Researchers have emphasized that the above phenomenon occurs because consumers spend more time on social networks [56,58].
As for the relationship between eWOM and interpersonal influences (H3), this relationship was confirmed to be positive. This finding is similar to the results of [59]. Likewise, [60] commented that communication between family and friends through social networks generates a normative influence that indirectly affects members by modifying attitudes and behaviors. However, [61] did not find a direct link between interpersonal influences and eWOM, as they found that people with little or no information about products and brands consult friends and family to decide to make a purchase.
Furthermore, [62,63] mention that eWOM is an important factor for retailers, as it allows them to recommend brands through the development of social network communities, which encourages others to share their experiences on social networks. The results revealed significant differences in the relationship between repurchase intention and interpersonal influences and eWOM. This is consistent with [58], who confirmed that online comments are more influential than recommendations made by friends, family, or co-workers. Although eWOM has a greater influence on repurchase intention, interpersonal influences are still important when deciding to buy products or new brands on different digital platforms.
5.1. Theoretical and Practical Implications
The findings of this study provide theoretical and practical implications. Firstly, it contributes to the literature in the field of e-commerce by indicating how consumers’ repurchase intention can be influenced in the digital environment, with an emphasis on gender-diverse youth. It also demonstrates the power of social networks to influence people to positively reinforce their behavioral outcomes, which is supported in the literature review, for example, [64] study that stated that information from social networks can generate positive attitudes and increased purchase intention. Moreover, eWOM is rapidly supplanting interpersonal influences as a driver of customer behavior. Likewise, marketers should take advantage of the fact that the LGBTQI+ market is more likely to purchase online, as they are exposed to campaigns that support their beliefs and are more willing to buy not only digitally, but to purchase products from recognized brands. It is also notable that the majority of the sample in this study identified with this group [58,62,63,65].
Companies can reward customers for creating content, such as an online review or a live stream, which increases the potential impact of digital messages and creates a dynamic online community for companies, fostering positive interpersonal influence online. Secondly, the research suggests that social media marketers develop a better understanding of the effect of eWOM on customer repurchase intent on social media. It also highlights the importance of comments from friends, co-workers, and family in their purchasing decisions, when they have little or no information about the product and brand However, companies should consider that young consumers use social networks frequently for consumption and, for that reason, they could create an integrated digital strategy that spans multiple social networks and facilitates online dialogue among young consumers, including about gender diversity characteristics; and above all, enable customers themselves to create content specific to the new diverse markets that companies are willing to serve.
5.2. Implications for Management
Consumer behavior at this time goes beyond interpersonal influences, the eWOM, and online repurchase intention. Although this contribution is known in theory, this study has shown through statistical evidence that the creation of content by consumers can have various managerial implications with respect to consumer diversity. It is essential that companies know and understand the needs and preferences of the consumers of various demographic groups, with a diversity of perspectives and genders [5,17,24]. It also involves conducting research and market studies to identify the characteristics and behaviors of different consumer groups. Therefore, products and services must also be tailored; companies must adapt their products and services to meet the needs and preferences of consumers from different demographic groups. This involves customizing products and services, offering a wide range of options, and removing barriers that may limit some consumers’ access to products and services.
6. Conclusions
Consumer demand for goods and services from businesses is an ongoing phenomenon. This fact remains unchanged even after the onset of COVID-19, as people have developed new ways of consuming. The results support the idea that comments made in social media communities, influences management reflecting diverse markets, and feedback from family and friends encourages other consumers to repurchase products and services online. However, the study showed that eWOM had the greatest influence on online repurchase intention. Furthermore, the study specifically focused on online shopping behavior due to the restriction of human-human interaction and the closure of offline stores during the spread of COVID-19. However, the results also showed something very interesting: they point to the fundamental role of digital technologies in strengthening purchase intention through socio-diverse communities, as well as in the development of business resilience in the post-COVID economy. They also provide a new managerial perspective on how eWOM and interpersonal influence could help business performance on a digital platform, respecting preferences, tastes, cultures, and even sexual diversity. Above all, if you want to reach new market niches from these perspectives, such as those with respect to the LGBTTTQI+ community, strategies should be focused to cover more diverse market segments.
Limitations and Future Research Directions
This study has some limitations. First, the focus was only limited to eWOM and interpersonal influences. Therefore, other elements can be included in future studies, such as information credibility, customer rating, recommended product or service category, positive and negative reviews, price, promotions, specific product category, and specific digital platforms. Second, qualitative research can be conducted based on interviews with the LGBTTTQI+ community and heterosexuals. In addition, future studies can study demographic differences, such as age and occupation groups, within the same research design, in which the effects of age and gender could also be analyzed. In addition, the study was conducted in a city in northern Mexico, so comparison with other cities or countries could further refine the influence of other variables, such as culture or attitudes on repurchase intentions. Finally, the data collection tool was the Facebook and LinkedIn platforms, so a future study may benefit from using a more traditional data method.
Author Contributions
Conceptualization, J.M.-P., Á.A.-D. and P.V.R.; methodology, J.M.-P., Á.A.-D. and E.E.G.-S.; software, J.M.-P. and Á.A.-D.; validation, J.M.-P., Á.A.-D., P.V.R., E.E.G.-S., M.M.F.-M., S.S.I.-M. and R.Á.-B., formal analysis, J.M.-P., Á.A.-D., P.V.R., E.E.G.-S., M.M.F.-M., S.S.I.-M. and R.Á.-B., investigation, J.M.-P., Á.A.-D. and P.V.R., resources, J.M.-P., Á.A.-D., P.V.R., E.E.G.-S., M.M.F.-M., S.S.I.-M. and R.Á.-B.; data curation, J.M.-P., Á.A.-D., P.V.R., E.E.G.-S., M.M.F.-M., S.S.I.-M. and R.Á.-B.; writing—original draft preparation, J.M.-P., Á.A.-D., P.V.R., E.E.G.-S., M.M.F.-M., S.S.I.-M. and R.Á.-B.; writing—review and editing, J.M.-P., Á.A.-D., P.V.R., E.E.G.-S., M.M.F.-M., S.S.I.-M. and R.Á.-B.; visualization, J.M.-P., Á.A.-D., P.V.R., E.E.G.-S., M.M.F.-M., S.S.I.-M. and R.Á.-B.; supervision, J.M.-P. and Á.A.-D.; project administration, J.M.-P. and Á.A.-D.; funding acquisition, J.M.-P., Á.A.-D., P.V.R., E.E.G.-S., M.M.F.-M., S.S.I.-M. and R.Á.-B. All authors have read and agreed to the published version of the manuscript.
Funding
This research received no external funding.
Institutional Review Board Statement
Not applicable.
Informed Consent Statement
Not applicable.
Data Availability Statement
Data are available upon request from the authors.
Conflicts of Interest
The authors declare no conflict of interest.
References
- Satrio, D.; Priyanto, S.; Nugraha, A. Viral Marketing for Cultural Product: The Role of Emotion and Cultural Awareness to Influence Purchasing Intention. Montenegrin J. Econ. 2020, 16, 77–91. [Google Scholar] [CrossRef]
- Filieri, R.; Lin, Z. The role of aesthetic, cultural, utilitarian and branding factors in young Chinese consumers’ repurchase intention of smartphone brands. Comput. Hum. Behav. 2017, 67, 139–150. [Google Scholar] [CrossRef]
- Whelan, E.; Islam, A.K.M.N.; Brooks, S. Applying the SOBC paradigm to explain how social media overload affects academic performance. Comput. Educ. 2020, 143, 103692. [Google Scholar] [CrossRef]
- Kumar, A.; Huerta-Guerrero, C.; López-Domínguez, E.; Hernández-Velázquez, Y.; Domínguez-Isidro, S.; Cueto-García, A.; De-La-Calleja, J.; Medina-Nieto, M.A.; Kamal, M.; Aljohani, A.; et al. Some considerations regarding the new trends in marketing approaches. Rom. Econ. J. 2020, 23, 2–10. [Google Scholar]
- Zwanka, R.J.; Buff, C. COVID-19 Generation: A Conceptual Framework of the Consumer Behavioral Shifts to Be Caused by the COVID-19 Pandemic. J. Int. Consum. Mark. 2021, 33, 58–67. [Google Scholar] [CrossRef]
- Camilleri, M.A.; Falzon, L. Understanding motivations to use online streaming services: Integrating the technology acceptance model (TAM) and the uses and gratifications theory (UGT). Span. J. Mark. ESIC 2020, 25, 217–238. [Google Scholar] [CrossRef]
- Taddeo, G.; de-Frutos-Torres, B.; Alvarado, M. Creators and spectators facing online information disorder. Effects of digital content production on information skills. [Creadores y espectadores frente al desorden informativo online. Efectos de la producción de contenidos digitales en competencias informativas]. Comunicar 2022, 30, 9–20. [Google Scholar] [CrossRef]
- Marín López, J.C.; López Trujillo, M. Análisis de datos para el marketing digital emprendedor: Caso de estudio Parque de Innovación Empresarial—Universidad Nacional sede Manizales. Rev. Univ. Y Empresa 2020, 22, 65. [Google Scholar] [CrossRef]
- Wachs, S.; Wettstein, A.; Bilz, L.; Gámez-Guadix, M. Adolescents’ motivations to perpetrate hate speech and links with social norms. [Motivos del discurso de odio en la adolescencia y su relación con las normas sociales]. Comunicar 2022, 71, 9–20. [Google Scholar] [CrossRef]
- Peltier, J.W.; Dahl, A.J.; Swan, E.L. Digital information flows across a B2C/C2C continuum and technological innovations in service ecosystems: A service-dominant logic perspective. J. Bus. Res. 2020, 121, 724–734. [Google Scholar] [CrossRef]
- Díaz-Pérez, S.; Soler-i-Martí, R.; Ferrer-Fons, M. From the global myth to local mobilization: Creation and resonance of Greta Thunberg’s frame. [Del mito global a la movilización local: Creación y resonancia del marco Greta Thunberg]. Comunicar 2021, 68, 35–45. [Google Scholar] [CrossRef]
- Nilashi, M.; Asadi, S.; Minaei-Bidgoli, B.; Abumalloh, R.A.; Samad, S.; Ghabban, F.; Ahani, A. Recommendation agents and information sharing through social media for coronavirus outbreak. Telemat. Inform. 2021, 61, 101597. [Google Scholar] [CrossRef]
- Khalifa, M.; Liu, V. Online consumer retention: Contingent effects of online shopping habit and online shopping experience. Eur. J. Inf. Syst. 2007, 16, 780–792. [Google Scholar] [CrossRef]
- Dixit, P.; Kohli, R.; Acevedo-Duque, A.; Gonzalez-Diaz, R.R.; Jhaveri, R.H. Comparing and analyzing applications of intelligent techniques in cyberattack detection. Secur. Commun. Netw. 2021, 2021, 5561816. [Google Scholar] [CrossRef]
- Pérez-Villarreal, H.H.; Martínez-Ruiz, M.P.; Izquierdo-Yusta, A. Testing model of purchase intention for fast food in Mexico: How do consumers react to food values, positive anticipated emotions, attitude toward the brand, and attitude toward eating hamburgers? Foods 2019, 8, 369. [Google Scholar] [CrossRef]
- González-Díaz, R.R.; Acevedo-Duque, Á.; Salazar-Sepúlveda, G.; Castillo, D. Contributions of Subjective Well-Being and Good Living to the Contemporary Development of the Notion of Sustainable Human Development. Sustainability 2021, 13, 3298. [Google Scholar] [CrossRef]
- Müller, J.; Acevedo-Duque, Á.; Müller, S.; Kalia, P.; Mehmood, K. Predictive Sustainability Model Based on the Theory of Planned Behavior Incorporating Ecological Conscience and Moral Obligation. Sustainability 2021, 13, 4248. [Google Scholar] [CrossRef]
- Vergara, O.; Acevedo, Á.; González, Y. Marketing Responsable: Ventaja Distintiva en la Cadena de Valor de las Organizaciones. J. Manag. Bus. Stud. 2019, 1, 44–74. [Google Scholar] [CrossRef]
- Hess, T.; Matt, C.; Benlian, A.; Wiesböck, F. Options for Formulating a Digital Transformation Strategy. MIS Q. Exec. 2016, 15, 123–139. [Google Scholar]
- Matute, J.; Polo-Redondo, Y.; Utrillas, A. The influence of EWOM characteristics on online repurchase intention. Online Inf. Rev. 2016, 40, 1090–1110. [Google Scholar] [CrossRef]
- Bhattacharya, A.; Srivastava, M. A Framework of Online Customer Experience: An Indian Perspective. Glob. Bus. Rev. 2020, 21, 800–817. [Google Scholar] [CrossRef]
- Jung, H.; Park, M.; Hong, K.; Hyun, E. The Impact of an Epidemic Outbreak on Consumer Expenditures:An Empirical Assessment for MERS Korea. Sustainability 2016, 8, 454. [Google Scholar] [CrossRef]
- Reiss, M.C.; Webster, C. Relative Influence in Purchase Decision Making: Married, Cohabitating, and Homosexual Couples. Adv. Consum. Res. 1997, 24, 42–47. [Google Scholar]
- García-Salirrosas, E.E.; Acevedo-Duque, Á. PERVAINCONSA Scale to Measure the Consumer Behavior of Online Stores of MSMEs Engaged in the Sale of Clothing. Sustainability 2022, 14, 2638. [Google Scholar] [CrossRef]
- Marecek, J.; Finn, S.E.; Cardell, M. Gender roles in the relationships of lesbians and gay men. J. Homosex. 1982, 8, 45–49. [Google Scholar] [CrossRef]
- Sohail, M.T.; Elkaeed, E.B.; Irfan, M.; Acevedo-Duque, Á.; Mustafa, S. Determining Farmers’ Awareness About Climate Change Mitigation and Wastewater Irrigation: A Pathway Toward Green and Sustainable Development. Front. Environ. Sci. 2022, 10, 900193. [Google Scholar] [CrossRef]
- Boonlertvanich, K. Conceptual Model for The Repurchase Intentions In The Automobile Service Industry: The Role of Switching Barriers in Satisfaction-Repurchase Intentions Relationship. Int. J. Bus. Res. 2009, 9, 140–157. [Google Scholar]
- Shareef, M.A.; Kapoor, K.K.; Mukerji, B.; Dwivedi, R.; Dwivedi, Y.K. Group behavior in social media: Antecedents of initial trust formation. Comput. Hum. Behav. 2020, 105, 106225. [Google Scholar] [CrossRef]
- Sharma, V.M.; Klein, A. Consumer perceived value, involvement, trust, susceptibility to interpersonal influence, and intention to participate in online group buying. J. Retail. Consum. Serv. 2020, 52, 101946. [Google Scholar] [CrossRef]
- Kalia, P.; Dwivedi, Y.K.; Acevedo-Duque, Á. Cellulographics©: A novel smartphone user classification metrics. J. Innov. Knowl. 2022, 7, 100179. [Google Scholar] [CrossRef]
- Liang, C.-C.; Shiau, W.-L. Moderating effect of privacy concerns and subjective norms between satisfaction and repurchase of airline e-ticket through airline-ticket vendors. Asia Pac. J. Tour. Res. 2018, 23, 1142–1159. [Google Scholar] [CrossRef]
- Kabi, T. Sustainability in consumer marketing. In Marketing to South African Consumers; UCT Liberty Institute of Strategic Marketing & UCT Libraries: Cape Town, South Africa, 2021. [Google Scholar] [CrossRef]
- Liu, Y.; Du, R. Examining the effect of reviewer socioeconomic status disclosure on customers’ purchase intention. J. Glob. Inf. Manag. 2020, 83, 17–35. [Google Scholar] [CrossRef]
- Azizi, S.; Shahri, M.M.; Rahman, H.S.; Rahim, R.A.; Rasedee, A.; Mohamad, R. Green synthesis palladium nanoparticles mediated by white tea (Camellia sinensis) extract with antioxidant, antibacterial, and antiproliferative activities toward the human leukemia (MOLT-4) cell line. Int. J. Nanomed. 2017, 12, 8841. [Google Scholar] [CrossRef]
- Acevedo-Duque, Á.; Gonzalez-Diaz, R.; Vega-Muñoz, A.; Fernández Mantilla, M.M.; Ovalles-Toledo, L.V.; Cachicatari-Vargas, E. The Role of B Companies in Tourism towards Recovery from the Crisis COVID-19 Inculcating Social Values and Responsible Entrepreneurship in Latin America. Sustainability 2021, 13, 7763. [Google Scholar] [CrossRef]
- Zhu, L.; Li, H.; Wang, F.-K.; He, W.; Tian, Z. How online reviews affect purchase intention: A new model based on the stimulus-organism-response (S-O-R) framework. Aslib J. Inf. Manag. 2020, 72, 463–488. [Google Scholar] [CrossRef]
- Bulut, Z.A.; Karabulut, A.N. Examining the role of two aspects of eWOM in online repurchase intention: An integrated trust–loyalty perspective. J. Consum. Behav. 2018, 17, 407–417. [Google Scholar] [CrossRef]
- Li, M. Influence for social good: Exploring the roles of influencer identity and comment section in Instagram-based LGBTQ-centric corporate social responsibility advertising. Int. J. Advert. 2022, 41, 462–499. [Google Scholar] [CrossRef]
- Sun, Y.; Luo, B.; Wang, S.; Fang, W. What you see is meaningful: Does green advertising change the intentions of consumers to purchase eco-labeled products? Bus. Strategy Environ. 2021, 30, 694–704. [Google Scholar] [CrossRef]
- Rajković, B.; Đurić, I.; Zarić, V.; Glauben, T. Gaining trust in the digital age: The potential of social media for increasing the competitiveness of small and medium enterprises. Sustainability 2021, 13, 1884. [Google Scholar] [CrossRef]
- Nikbin, D.; Iranmanesh, M.; Ghobakhloo, M.; Foroughi, B. Marketing mix strategies during and after COVID-19 pandemic and recession: A systematic review. Asia-Pac. J. Bus. Adm. 2022, 14, 405–420. [Google Scholar] [CrossRef]
- Jang, W.E.; Chun, J.W.; Kim, J.J.; Bucy, E. Effects of Self-Presentation Strategy and Tie Strength on Facebook Users’ Happiness and Subjective Vitality. J. Happiness Stud. 2021, 22, 2961–2979. [Google Scholar] [CrossRef]
- Jribi, S.; Ben Ismail, H.; Doggui, D.; Debbabi, H. COVID-19 virus outbreak lockdown: What impacts on household food wastage? Environ. Dev. Sustain. 2020, 22, 3939–3955. [Google Scholar] [CrossRef] [PubMed]
- Tasci, A.D.A.; Fyall, A.; Woosnam, K.M. Sustainable tourism consumer: Socio-demographic, psychographic and behavioral characteristics. Tour. Rev. 2022, 77, 341–375. [Google Scholar] [CrossRef]
- Arruzza, C.; Bhattacharya, T. Teoría de la Reproducción Social. Elementos fundamentales para un feminismo marxista. Arch. De Hist. Del Mov. Obrero Y La Izqda. 2020, 16, 37–69. [Google Scholar] [CrossRef]
- Reza Jalilvand, M.; Samiei, N. The impact of electronic word of mouth on a tourism destination choice: Testing the theory of planned behavior (TPB). Internet Res. 2012, 22, 591–612. [Google Scholar] [CrossRef]
- Beenakker, K.G.; Ling, C.H.; Meskers, C.G.; de Craen, A.J.; Stijnen, T.; Westendorp, R.G.; Maier, A.B. Patterns of muscle strength loss with age in the general population and patients with a chronic inflammatory state. Ageing Res. Rev. 2010, 9, 431–436. [Google Scholar] [CrossRef]
- Huang, X.; Ge, J. Electric vehicle development in Beijing: An analysis of consumer purchase intention. J. Clean. Prod. 2019, 216, 361–372. [Google Scholar] [CrossRef]
- Olsen, S.J.; Azziz-Baumgartner, E.; Budd, A.P.; Brammer, L.; Sullivan, S.; Pineda, R.F.; Cohen, C.; Fry, A.M. Decreased influenza activity during the COVID-19 pandemic—United States, Australia, Chile, and South Africa, 2020. Am. J. Transplant. 2020, 20, 3681–3685. [Google Scholar] [CrossRef]
- Babić Rosario, A.; de Valck, K.; Sotgiu, F. Conceptualizing the electronic word-of-mouth process: What we know and need to know about eWOM creation, exposure, and evaluation. J. Acad. Mark. Sci. 2020, 48, 422–448. [Google Scholar] [CrossRef]
- Martínez, P.; Herrero, Á.; Gómez-López, R. Corporate images and customer behavioral intentions in an environmentally certified context: Promoting environmental sustainability in the hospitality industry. Corp. Soc. Responsib. Environ. Manag. 2019, 26, 1382–1391. [Google Scholar] [CrossRef]
- Patak, M.; Branska, L.; Pecinova, Z. Consumer Intention to Purchase Green Consumer Chemicals. Sustainability 2021, 13, 7992. [Google Scholar] [CrossRef]
- Cohen, J. Statistical Power Analysis. Current Directions in Psychological Science. Curr. Dir. Psy-Chological Sci. 1992, 1, 98–101. [Google Scholar] [CrossRef]
- Hair, J.F., Jr.; Hult, G.T.M.; Ringle, C.M.; Sarstedt, M.; Castillo Apraiz, J.; Cepeda Carrión, G.; Roldán, J.L. Manual de Partial Least Squares Structural Equation Modeling (PLS-SEM) (Segunda Edición). In Manual de Partial Least Squares Structural Equation Modeling (PLS-SEM), 2nd ed.; OmniaScience: Terrassa, Spain, 2019. [Google Scholar] [CrossRef]
- Li, F. The digital transformation of business models in the creative industries: A holistic framework and emerging trends. Technovation 2020, 92, 102012. [Google Scholar] [CrossRef]
- Alhidari, A.; Iyer, P.; Paswan, A. Personal level antecedents of eWOM and purchase intention, on social networking sites. J. Cust. Behav. 2015, 14, 107–125. [Google Scholar] [CrossRef]
- Sohaib, M.; Hui, P.; Akram, U. Impact of eWOM and risk-taking in gender on purchase intentions: Evidence from Chinese social media. Int. J. Inf. Syst. Change Manag. 2018, 10, 101. [Google Scholar] [CrossRef]
- Erkan, I.; Evans, C. The influence of eWOM in social media on consumers’ purchase intentions: An extended approach to information adoption. Comput. Hum. Behav. 2016, 61, 47–55. [Google Scholar] [CrossRef]
- Picone, P.M.; De Massis, A.; Tang, Y.; Piccolo, R.F. The psychological foundations of management in family firms: Values, biases, and heuristics. Fam. Bus. Rev. 2021, 34, 12–32. [Google Scholar] [CrossRef]
- Zimmermann, P.; Curtis, N. COVID-19 in children, pregnancy and neonates: A review of epidemiologic and clinical features. Pediatr. Infect. Dis. J. 2020, 39, 469. [Google Scholar] [CrossRef]
- Farzin, M.; Fattahi, M. eWOM through social networking sites and impact on purchase intention and brand image in Iran. J. Adv. Manag. Res. 2018, 15, 161–183. [Google Scholar] [CrossRef]
- Bresciani, G.; Marchetti, F.; Rizzi, G.; Gabbani, A.; Pineider, F.; Pampaloni, G. Metal N, N-dialkylcarbamates as easily available catalytic precursors for the carbon dioxide/propylene oxide coupling under ambient conditions. J. CO2 Util. 2018, 28, 168–173. [Google Scholar] [CrossRef]
- Paulienė, R.; Sedneva, K. The influence of recommendations in social media on purchase intentions of generations Y and Z. Organ. Mark. Emerg. Econ. 2019, 10, 227–256. [Google Scholar] [CrossRef]
- Yoon, S.; Zhang, D. Social media, information presentation, consumer involvement, and cross-border adoption of pop culture products. Electron. Commer. Res. Appl. 2018, 27, 129–138. [Google Scholar] [CrossRef]
- Madinga, N.W.; Maziriri, E.T.; Chuchu, T.; Mototo, L. The LGBTQAI+ community and luxury brands: Exploring drivers of luxury consumption in South Africa. Afr. J. Bus. Econ. Res. 2021, 16, 207. [Google Scholar] [CrossRef]
Disclaimer/Publisher’s Note: The statements, opinions and data contained in all publications are solely those of the individual author(s) and contributor(s) and not of MDPI and/or the editor(s). MDPI and/or the editor(s) disclaim responsibility for any injury to people or property resulting from any ideas, methods, instructions or products referred to in the content. |
© 2023 by the authors. Licensee MDPI, Basel, Switzerland. This article is an open access article distributed under the terms and conditions of the Creative Commons Attribution (CC BY) license (https://creativecommons.org/licenses/by/4.0/).


