Experimental and Modeling Study on the Removal of Mn, Fe, and Zn from Fiberboard Industrial Wastewater Using Modified Activated Carbon
Abstract
1. Introduction
2. Materials and Methods
2.1. Material Preparation
2.2. Material Characterization
2.3. Batch Adsorption
2.4. Design of Experimental Using RSM
2.5. Analytical Error Analysis
2.5.1. Coefficient of Determination (R2)
2.5.2. Mean Square Error (MSE)
2.5.3. The Root Mean Square Error (RMSE)
2.5.4. The Mean Absolute Deviation (MAD):
2.5.5. Mean Absolute Percentage Error (MAPE)
3. Results and Discussion
3.1. Cellulose, Hemicellulose, and Lignin Content
3.2. Thermal Degradation (TGA Analysis)
3.3. Yield Percentage
3.4. Fourier Transform Infrared (FTIR) Spectroscopy
3.5. Field Emission Scanning Electron Microscopy (FESEM)
3.6. Brunuer, Emmet, and Teller (BET) Surface Area and Pore Distributions Analysis
3.7. Batch Adsorption
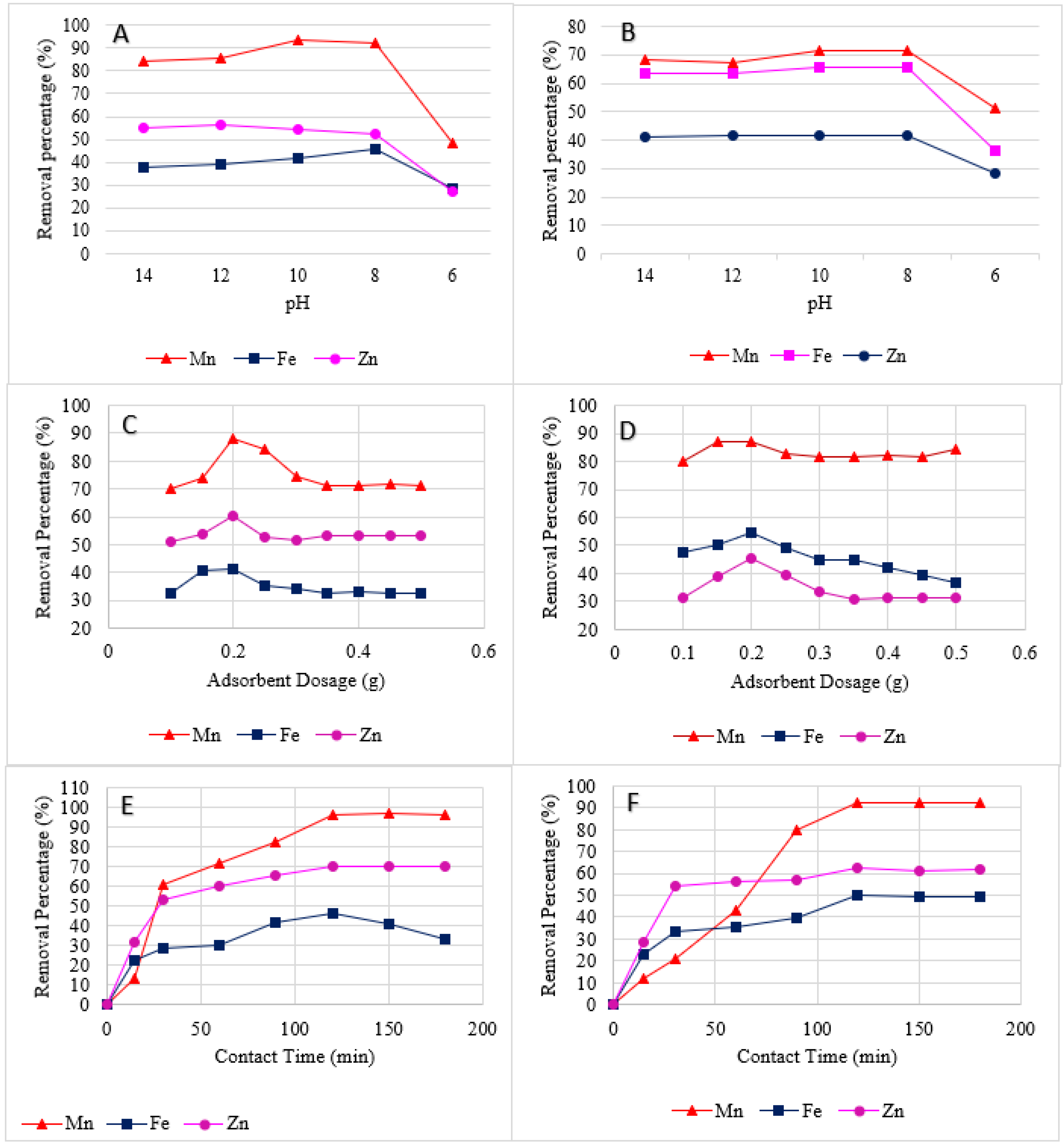
3.7.1. Effect of pH
3.7.2. Effect of Adsorbent Dosage
3.7.3. Effect of Contact Time
3.8. Removal of Mn, Fe, and Zn under Optimum Conditions
3.9. Prediction of Mn, Fe, and Zn Removal using the RSM Model
3.9.1. Analysis of Variance
- Zn Removal by KOH impregnated
- Fe Removal (%) by KOH impregnated
- Mn Removal (%) by KOH impregnated
- Mn Removal (%) by HNO_(3) impregnated
- Zn Removal by HNO_(3 ) impregnated
- Fe Removal (%) by HNO_3 impregnated
3.9.2. Three-Dimensional Surface and Contour Plots for Mn, Fe, and Zn Removal
4. Conclusions
Supplementary Materials
Author Contributions
Funding
Institutional Review Board Statement
Informed Consent Statement
Data Availability Statement
Acknowledgments
Conflicts of Interest
References
- Kloch, M.; Toczyłowska-Mamińska, R. Toward optimization of wood industry wastewater treatment in microbial fuel cells—Mixed wastewaters approach. Energies 2020, 13, 263. [Google Scholar] [CrossRef]
- Bouchareb, R.; Derbal, K.; Özay, Y.; Bilici, Z.; Dizge, N. Combined natural/chemical coagulation and membrane filtration for wood processing wastewater treatment. J. Water Process Eng. 2020, 37, 101521. [Google Scholar] [CrossRef]
- Saltberg, A.; Brelid, H.; Theliander, H. Removal of metal ions from wood chips during acidic leaching 1: Comparison between Scandinavian softwood, birch and eucalyptus. Nord. Pulp Pap. Res. J. 2006, 21, 507–512. [Google Scholar] [CrossRef]
- Portenkirchner, K.; Draxler, J.; Somitsch, W.; Stassen, O. Combined waste air and wastewater treatment plant for the wood panel industry. Eng. Life Sci. 2003, 3, 465–468. [Google Scholar] [CrossRef]
- Santos, R.B.; Gomide, J.L.; Hart, P.W. Impact of wood chips leaching pretreatment on wood chemical composition. Tappi J. 2015, 14, 9–14. [Google Scholar] [CrossRef]
- Lepine, C.; Christianson, L.; Soucek, D.; McIsaac, G.; Summerfelt, S. Metal leaching and toxicity of denitrifying woodchip bioreactor outflow—Potential reuse application. Aquac. Eng. 2021, 93, 102129. [Google Scholar] [CrossRef]
- Senthil Kumar, P.; Saravanan, A.; Anish Kumar, K.; Yashwanth, R.; Visvesh, S. Removal of toxic zinc from water/wastewater using eucalyptus seeds activated carbon: Non-linear regression analysis. IET Nanobiotechnol. 2016, 10, 244–253. [Google Scholar] [CrossRef]
- Moreno, J.C.; Gómez, R.; Giraldo, L. Removal of Mn, Fe, Ni and Cu ions from wastewater using cow bone charcoal. Materials 2010, 3, 452–466. [Google Scholar] [CrossRef]
- Yunus, M.A.M.; Ibrahim, S.; Altowayti, W.A.H.; San, G.P.; Mukhopadhyay, S.C. Selective membrane for detecting nitrate based on planar electromagnetic sensors array. In Proceedings of the 2015 10th Asian Control Conference (ASCC), Kota Kinabalu, Malaysia, 31 May–3 June 2015; IEEE: Piscataway, NJ, USA, 2015; pp. 1–6. [Google Scholar]
- Duan, D.; Chen, D.; Huang, L.; Zhang, Y.; Zhang, Y.; Wang, Q.; Xiao, G.; Zhang, W.; Lei, H.; Ruan, R. Activated carbon from lignocellulosic biomass as catalyst: A review of the applications in fast pyrolysis process. J. Anal. Appl. Pyrolysis 2021, 158, 105246. [Google Scholar] [CrossRef]
- Anisuzzaman, S.; Joseph, C.G.; Daud, W.M.A.B.W.; Krishnaiah, D.; Yee, H.S. Preparation and characterization of activated carbon from Typha orientalis leaves. Int. J. Ind. Chem. 2015, 6, 9–21. [Google Scholar] [CrossRef]
- Urbain, K.; Aim, S.E.; Jacques, A.Y.; Albert, T. Adsorption of iron and zinc on commercial activated carbon. J. Environ. Chem. Ecotoxicol. 2013, 5, 168–171. [Google Scholar]
- Bakar, N.A.; Othman, N.; Yunus, Z.M.; Altowayti, W.A.H.; Al-Gheethi, A.; Asharuddin, S.M.; Tahir, M.; Fitriani, N.; Mohd-Salleh, S.N.A. Nipah (Musa Acuminata Balbisiana) banana peel as a lignocellulosic precursor for activated carbon: Characterization study after carbonization process with phosphoric acid impregnated activated carbon. Biomass Convers. Biorefinery 2021, 1–14. [Google Scholar] [CrossRef]
- El-Bendary, N.; El-Etriby, H.K.; Mahanna, H. High performance removal of iron from aqueous solution using modified activated carbon prepared from corn cobs and luffa sponge. Desalin. Water Treat. 2021, 213, 348–357. [Google Scholar] [CrossRef]
- Ayob, S.; Othman, N.; Altowayti, W.A.H.; Khalid, F.S.; Bakar, N.A.; Tahir, M.; Soedjono, E.S. A review on adsorption of heavy metals from wood-industrial wastewater by oil palm waste. J. Ecol. Eng. 2021, 22, 249–265. [Google Scholar] [CrossRef]
- Dungani, R.; Aditiawati, P.; Aprilia, S.; Yuniarti, K.; Karliati, T.; Suwandhi, I.; Sumardi, I. Biomaterial from oil palm waste: Properties, characterization and applications. Palm Oil 2018, 31, 1–6. [Google Scholar]
- Ooi, Z.X.; Teoh, Y.P.; Kunasundari, B.; Shuit, S.H. Oil palm frond as a sustainable and promising biomass source in Malaysia: A review. Environ. Prog. Sustain. Energy 2017, 36, 1864–1874. [Google Scholar] [CrossRef]
- Said, F.M.; Hamid, N.F.; Razali, M.A.-A.; Daud, N.F.S. Lignocellulosic of Oil Palm Biomass to Chemical Product via Fermentation. In Elaeis guineensis; IntechOpen: London, UK, 2021. [Google Scholar]
- Zubaidah, S.; Putri Hartoyo, A.P.; Sihombing, J.K.; Herliyana, E.N.; Darmawan, S.; Sari, N.R.; Prabowo, M.N.I.; Hermawan, I.; Maulida, I.; Solikhin, A. Oil palm empty fruit bunch valorization for activated and non-activated carbon nanoparticles and its heavy-metal-removal efficiency. Water Sci. Technol. 2021, 83, 2652–2668. [Google Scholar] [CrossRef]
- Selvam, K.; Sudhakar, C.; Uma Maheswari, S.; Poonkothai, M.; Shri Devi, S.; Vijayakumar, N. Synthesis of activated carbon from Borassus flabellifer empty fruit bunch waste and their application in chromium (VI) removal. Int. J. Environ. Anal. Chem. 2021, 1–12. [Google Scholar] [CrossRef]
- Ibrahim, I.; Tsubota, T.; Hassan, M.A.; Andou, Y. Surface functionalization of biochar from oil palm empty fruit bunch through hydrothermal process. Processes 2021, 9, 149. [Google Scholar] [CrossRef]
- Ujile, A.; Okwakwam, C. Adsorption process of iron, cadmium, copper, lead from aqueous solution using palm bunch adsorbent. Chem. Process Eng. Res. 2018, 55, 11–21. [Google Scholar]
- Baby, R.; Hussein, M.Z. Ecofriendly approach for treatment of heavy-metal-contaminated water using activated carbon of kernel shell of oil palm. Materials 2020, 13, 2627. [Google Scholar] [CrossRef] [PubMed]
- Ajala, A.K.; Otunola, O.O.; Oyeniyan, W.O. Adsorption of Lead and Iron from Industrial Wastewater using Melon (Citrullus Colocynthis) Husk Activated Carbon. Int. J. Eng. Res. Technol. (IJERT) 2020, 9, 1638–1642. [Google Scholar]
- Gao, Y.; Yue, Q.; Gao, B.; Li, A. Insight into activated carbon from different kinds of chemical activating agents: A review. Sci. Total Environ. 2020, 746, 141094. [Google Scholar] [CrossRef] [PubMed]
- Yasin, Y.; Mohamad, M.; Ahmad, F.B. The application of response surface methodology for lead ion removal from aqueous solution using intercalated tartrate-Mg-Al layered double hydroxides. Int. J. Chem. Eng. 2013, 2013, 1–7. [Google Scholar] [CrossRef]
- Nicholas, A.F.; Hussein, M.Z.; Zainal, Z.; Khadiran, T. The effect of surface area on the properties of shape-stabilized phase change material prepared using palm kernel shell activated carbon. Sci. Rep. 2020, 10, 15047. [Google Scholar] [CrossRef]
- Angın, D.; Altintig, E.; Köse, T.E. Influence of process parameters on the surface and chemical properties of activated carbon obtained from biochar by chemical activation. Bioresour. Technol. 2013, 148, 542–549. [Google Scholar] [CrossRef]
- Song, J.; Wang, L.; Song, G. Research on influence factors on determination of specific surface area of carbon materical by N2 adsorption method. J. Appl. Sci. Eng. Innov. 2014, 1, 77–82. [Google Scholar]
- Altowayti, W.A.H.; Dahawi, A.A.; Shahir, S. Significance of bio-treatment by acid washing for enlargement of arsenic desorption in indigenous arsenic-resistant bacteria from gold mine. Malays. J. Fund. Appl. Sci. 2020, 16, 190–195. [Google Scholar] [CrossRef]
- Allozy, H.G.A.; Abd Karim, K.J. Removal of copper ions from aqueous solutions using poly (vinylbenzyl chloride). Malays. J. Anal. Sci. 2020, 24, 978–991. [Google Scholar]
- Auta, M.; Hameed, B. Optimized waste tea activated carbon for adsorption of Methylene Blue and Acid Blue 29 dyes using response surface methodology. Chem. Eng. J. 2011, 175, 233–243. [Google Scholar] [CrossRef]
- Ahmad, A.; Hameed, B. Effect of preparation conditions of activated carbon from bamboo waste for real textile wastewater. J. Hazard. Mater. 2010, 173, 487–493. [Google Scholar] [CrossRef]
- Alslaibi, T.M.; Abustan, I.; Ahmad, M.A.; Foul, A.A. Application of response surface methodology (RSM) for optimization of Cu2+, Cd2+, Ni2+, Pb2+, Fe2+, and Zn2+ removal from aqueous solution using microwaved olive stone activated carbon. J. Chem. Technol. Biotechnol. 2013, 88, 2141–2151. [Google Scholar] [CrossRef]
- Alshalif, A.F.; Irwan, J.; Tajarudin, H.A.; Othman, N.; Al-Gheethi, A.; Shamsudin, S.; Altowayti, W.A.H.; Abo Sabah, S. Optimization of bio-foamed concrete brick strength via bacteria based self-healing and bio-sequestration of CO2. Materials 2021, 14, 4575. [Google Scholar] [CrossRef]
- Altowayti, W.A.H.; Shahir, S.; Eisa, T.A.E.; Nasser, M.; Babar, M.I.; Alshalif, A.F.; AL-Towayti, F.A.H. Smart Modelling of a Sustainable Biological Wastewater Treatment Technologies: A Critical Review. Sustainability 2022, 14, 5353. [Google Scholar] [CrossRef]
- Chan, L.; Cheung, W.; Allen, S.; McKay, G. Error analysis of adsorption isotherm models for acid dyes onto bamboo derived activated carbon. Chin. J. Chem. Eng. 2012, 20, 535–542. [Google Scholar] [CrossRef]
- Altowayti, W.A.H.; Othman, N.; Al-Gheethi, A.; Dzahir, N.H.b.M.; Asharuddin, S.M.; Alshalif, A.F.; Nasser, I.M.; Tajarudin, H.A.; Al-Towayti, F.A.H. Adsorption of Zn2+ from Synthetic Wastewater Using Dried Watermelon Rind (D-WMR): An Overview of Nonlinear and Linear Regression and Error Analysis. Molecules 2021, 26, 6176. [Google Scholar] [CrossRef]
- Altowayti, W.A.H.; Salem, A.A.; Al-Fakih, A.M.; Bafaqeer, A.; Shahir, S.; Tajarudin, H.A. Optimization of As (V) Removal by Dried Bacterial Biomass: Nonlinear and Linear Regression Analysis for Isotherm and Kinetic Modelling. Metals 2022, 12, 1664. [Google Scholar] [CrossRef]
- Othmani, A.; John, J.; Rajendran, H.; Mansouri, A.; Sillanpää, M.; Chellam, P.V. Biochar and activated carbon derivatives of lignocellulosic fibers towards adsorptive removal of pollutants from aqueous systems: Critical study and future insight. Sep. Purif. Technol. 2021, 274, 119062. [Google Scholar] [CrossRef]
- Yunus, Z.M.; Al-Gheethi, A.; Othman, N.; Hamdan, R.; Ruslan, N.N. Removal of heavy metals from mining effluents in tile and electroplating industries using honeydew peel activated carbon: A microstructure and techno-economic analysis. J. Clean. Prod. 2020, 251, 119738. [Google Scholar] [CrossRef]
- Hameed, A.; Khurshid, S.; Adnan, A. Synthesis and characterization of carboxymethyl cellulose based hydrogel and its applications on water treatment. Adsorption 2020, 5, 8. [Google Scholar] [CrossRef]
- Maulina, S.; Iriansyah, M. Characteristics of activated carbon resulted from pyrolysis of the oil palm fronds powder. IOP Conf. Ser. Mater. Sci. Eng. 2018, 309, 012072. [Google Scholar] [CrossRef]
- Wahyuningsih; Abidin, Z.; Yulianto, M.E.; Hartati, I.; Yohana, E. Preparation and characterization of oil palm shell activated carbon by alkali chemical activation method. AIP Conf. Proc. 2018, 1977, 020028. [Google Scholar]
- Nyamful, A.; Nyogbe, E.K.; Mohammed, L.; Zainudeen, M.; Darkwa, S.; Phiri, I.; Mohammed, M.; Ko, J. Processing and characterization of activated carbon from coconut shell and palm kernel shell waste by H3PO4 activation. Ghana J. Sci. 2020, 61, 91–104. [Google Scholar] [CrossRef]
- Kumar, A.; Jena, H.M. Preparation and characterization of high surface area activated carbon from Fox nut (Euryale ferox) shell by chemical activation with H3PO4. Results Phys. 2016, 6, 651–658. [Google Scholar] [CrossRef]
- Maulina, S.; Anwari, F. Utilization of oil palm fronds in producing activated carbon using Na2CO3 as an activator. IOP Conf. Ser. Mater. Sci. Eng. 2018, 309, 012087. [Google Scholar] [CrossRef]
- Ukanwa, K.S.; Patchigolla, K.; Sakrabani, R.; Anthony, E.; Mandavgane, S. A review of chemicals to produce activated carbon from agricultural waste biomass. Sustainability 2019, 11, 6204. [Google Scholar] [CrossRef]
- Arundina, R.Y.; Permana, I.; Togatorop, E.R.S.; Ismadi, I.; Kusumah, S.S.; Budiman, I.; Subyakto, S.; Marlina, R. Synthesis and Characterization of Activated Carbon from Lignocellulosic Biomass: Oil Palm Empty Fruit Bunches and Mahogany Sawdust. J. Bahan Alam Terbarukan 2021, 10, 81–88. [Google Scholar] [CrossRef]
- Al-Swaidan, H.M.; Ahmad, A. Synthesis and characterization of activated carbon from Saudi Arabian dates tree’s fronds wastes. In Proceedings of the 3rd International Conference on Chemical, Biological and Environmental Engineering (IPCBEE), Singapore, 23–25 September 2011; Citeseer: Singapore, 2011; pp. 25–31. [Google Scholar]
- Zainol, M.M.; Amin, N.A.S.; Asmadi, M. Preparation and characterization of impregnated magnetic particles on oil palm frond activated carbon for metal ions removal. Sains Malays. 2017, 46, 773–782. [Google Scholar] [CrossRef]
- Kaewtrakulchai, N.; Kaewmeesri, R.; Itthibenchapong, V.; Eiad-Ua, A.; Faungnawakij, K. Palm oil conversion to bio-jet and green diesel fuels over cobalt phosphide on porous carbons derived from palm male flowers. Catalysts 2020, 10, 694. [Google Scholar] [CrossRef]
- Hidayu, A.; Sukor, M.; Mohammad, N.; Elham, O.; Azri, N.; Azhar, M.; Jalil, M. In Preparation of activated carbon from palm kernel shell by chemical activation and its application for β-carotene adsorption in crude palm oil. J. Phys. Conf. Ser. 2019, 1349, 012103. [Google Scholar] [CrossRef]
- Maulina, S.; Mentari, V.A. In Comparison of functional group and morphological surface of activated carbon from oil palm fronds using phosphoric acid (H3PO4) and nitric acid (HNO3) as an activator. IOP Conf. Ser. Mater. Sci. Eng. 2019, 505, 012023. [Google Scholar] [CrossRef]
- Hesas, R.H.; Daud, W.M.A.W.; Sahu, J.; Arami-Niya, A. The effects of a microwave heating method on the production of activated carbon from agricultural waste: A review. J. Anal. Appl. Pyrolysis 2013, 100, 1–11. [Google Scholar] [CrossRef]
- Gokce, Y.; Aktas, Z. Nitric acid modification of activated carbon produced from waste tea and adsorption of methylene blue and phenol. Appl. Surf. Sci. 2014, 313, 352–359. [Google Scholar] [CrossRef]
- Okman, I.; Karagöz, S.; Tay, T.; Erdem, M. Activated carbons from grape seeds by chemical activation with potassium carbonate and potassium hydroxide. Appl. Surf. Sci. 2014, 293, 138–142. [Google Scholar] [CrossRef]
- Sultana, M.; Rownok, M.H.; Sabrin, M.; Rahaman, M.H.; Alam, S.N. A review on experimental chemically modified activated carbon to enhance dye and heavy metals adsorption. Clean. Eng. Technol. 2022, 6, 100382. [Google Scholar] [CrossRef]
- ALOthman, Z.A. A review: Fundamental aspects of silicate mesoporous materials. Materials 2012, 5, 2874–2902. [Google Scholar] [CrossRef]
- Rugayah, A.; Astimar, A.; Norzita, N. Preparation and characterization of activated carbon from palm kernel shell by physical activation with steam. J. Oil Palm Res. 2014, 26, 251–264. [Google Scholar]
- Yankovych, H.; Novoseltseva, V.; Kovalenko, O.; Behunova, D.M.; Kanuchova, M.; Vaclavikova, M.; Melnyk, I. New perception of Zn (II) and Mn (II) removal mechanism on sustainable sunflower biochar from alkaline batteries contaminated water. J. Environ. Manag. 2021, 292, 112757. [Google Scholar] [CrossRef]
- Mohanta, J.; Dey, B.; Dey, S. Sucrose-triggered, self-sustained combustive synthesis of magnetic nickel oxide nanoparticles and efficient removal of malachite green from water. ACS Omega 2020, 5, 16510–16520. [Google Scholar] [CrossRef]
- Aziz, R.; Li, C.; Salleh, M.; Saleh, M. In Removal of Iron and Manganese from Palm Oil Mill Effluent (POME) using Activated Clinoptilolite Zeolite. IOP Conf. Ser. Earth Environ. Sci. 2021, 765, 012029. [Google Scholar] [CrossRef]
- Liu, Y.; Xu, X.; Qu, B.; Liu, X.; Yi, W.; Zhang, H. Study on adsorption properties of modified corn cob activated carbon for mercury ion. Energies 2021, 14, 4483. [Google Scholar] [CrossRef]
- Altowayti, W.A.H.; Algaifi, H.A.; Bakar, S.A.; Shahir, S. The adsorptive removal of As (III) using biomass of arsenic resistant Bacillus thuringiensis strain WS3: Characteristics and modelling studies. Ecotoxicol. Environ. Saf. 2019, 172, 176–185. [Google Scholar] [CrossRef] [PubMed]
- Aziz, N.I.A.; Othman, N.; Altowayti, W.A.H.; Yunus, Z.M.; Fitriani, N.; Din, M.F.M.; Fikri, F.M. Hardness Removal of Groundwater Through Sand, Zeolite And Rice Husk Activated Carbon. Malays. J. Anal. Sci. 2021, 25, 605–621. [Google Scholar]
- Hui, T.S.; Zaini, M.A.A. Potassium hydroxide activation of activated carbon: A commentary. Carbon Lett. 2015, 16, 275–280. [Google Scholar] [CrossRef]
- Azman, A.; Ngadi, N.; Khairunnisa, D.; Zaini, A.; Jusoh, M.; Arsad, A. Effect of adsorption parameter on the removal of aspirin using tyre waste adsorbent. Chem. Eng. 2019, 72, 157–162. [Google Scholar]
- Inglezakis, V.J.; Balsamo, M.; Montagnaro, F. Liquid–solid mass transfer in adsorption systems—An overlooked resistance? Ind. Eng. Chem. Res. 2020, 59, 22007–22016. [Google Scholar] [CrossRef]
- Mustapha, S.; Ndamitso, M.; Abdulkareem, A.; Tijani, J.; Mohammed, A.; Shuaib, D. Potential of using kaolin as a natural adsorbent for the removal of pollutants from tannery wastewater. Heliyon 2019, 5, e02923. [Google Scholar] [CrossRef]
- Alshalif, A.F.; Juki, M.I.; Tajarudin, H.A.; Othman, N.; Al-Gheethi, A.A.; Shamsudin, S.; Altowayti, W.; Sabah, S.A. Optimisation of self-healing of bio-foamed concrete bricks pores using Bacillus tequilensis under different temperature and CO2 curing conditions. Sci. Rep. 2022, 12, 2682. [Google Scholar] [CrossRef]
- Alshalif, A.F.; Irwan, J.; Tajarudin, H.A.; Othman, N.; Al-Gheethi, A.; Shamsudin, S.; Altowayti, W.A.H.; Sabah, S.A. Factors Affecting Carbonation Depth in Foamed Concrete Bricks for Accelerate CO2 Sequestration. Sustainability 2021, 13, 10999. [Google Scholar] [CrossRef]
- Suwannahong, K.; Sirilamduan, C.; Deepatana, A.; Kreetachat, T.; Wongcharee, S. Characterization and Optimization of Polymeric Bispicolamine Chelating Resin: Performance Evaluation via RSM Using Copper in Acid Liquors as a Model Substrate through Ion Exchange Method. Molecules 2022, 27, 7210. [Google Scholar] [CrossRef]
- Suwannahong, K.; Wongcharee, S.; Kreanuarte, J.; Kreetachat, T. Pre-treatment of acetic acid from food processing wastewater using response surface methodology via Fenton oxidation process for sustainable water reuse. J. Sustain. Dev. Energy Water Environ. Syst. 2021, 9, 1–18. [Google Scholar] [CrossRef]










| Name | Units | Low | High | −Alpha | +Alpha | |
|---|---|---|---|---|---|---|
| A [X1] | pH | 6 | 14 | 3 | 14 | |
| B [X2] | Dosage | g/L | 0.1 | 0.5 | −0.05 | 0.7 |
| C [X3] | Time | Min | 15 | 180 | −47 | 242 |
| Temperature (°C) | Percentage Yield (%) | |
|---|---|---|
| KOH | HNO3 | |
| 460 | 78.4 | 46.56 |
| 480 | 91.4 | 53.46 |
| 500 | 67 | 49 |
| SBET (m2/g) | Vtotal (cm3/g) | Vmicro (cm3/g) | Vmeso (cm3/g) | |
|---|---|---|---|---|
| Raw OPP | 0.579 | - | - | - |
| 10KOH480 | 883.3 | 0.460 | 0.310 | 0.150 |
| 10HNO480 | 372.4 | 0.26 | 0.120 | 0.140 |
| pH | Adsorption Dosage (g/L) | Contact Time (min) | Removal Percentage (%) | ||
|---|---|---|---|---|---|
| KOH-impregnated AC and | Mn | 12 | 0.2 | 150 | 97 |
| Fe | 10 | 0.2 | 120 | 46 | |
| Zn | 8 | 0.2 | 120 | 70 | |
| HNO3-impregnated AC | Mn | 10 | 0.2 | 120 | 93 |
| Fe | 10 | 0.2 | 120 | 66 | |
| Zn | 8 | 0.2 | 120 | 62 |
| Model | F-Value | p-Value | Adjusted R² | Predicted R² | ||
|---|---|---|---|---|---|---|
| KOH-impregnated AC | Mn | 2 FI | 970.81 | <0.0001 | 0.9967 | 0.9900 |
| Fe | Linear | 160.95 | <0.0001 | 0.9619 | 0.9423 | |
| Zn | Quadratic | 105.32 | <0.0001 | 0.9802 | 0.9190 | |
| HNO3-impregnated AC | Mn | 2FI | 276.06 | <0.0001 | 0.9886 | 0.9037 |
| Fe | Quadratic | 60.17 | <0.0001 | 0.9656 | 0.9137 | |
| Zn | Linear | 125.18 | <0.0001 | 0.9515 | 0.9389 |
| Type of AC | Metal | Removal | Mean | MSE | RMSE | MAD | MAPE | R² | |
|---|---|---|---|---|---|---|---|---|---|
| Experiment | Prediction | ||||||||
| KOH-impregnated AC | Mn | 97 | 95 | 2 | 4 | 2 | 2 | 0.021 | 0.9978 |
| Fe | 46 | 49 | 3 | 9 | 3 | 3 | 0.065 | 0.9679 | |
| Zn | 70 | 71 | 1 | 1 | 1 | 1 | 0.014 | 0.9896 | |
| HNO3-impregnated AC | Mn | 93 | 91 | 2 | 4 | 2 | 2 | 0.021 | 0.9922 |
| Fe | 66 | 70 | 4 | 16 | 4 | 4 | 0.061 | 0.9819 | |
| Zn | 62 | 63 | 1 | 1 | 1 | 1 | 0.016 | 0.9591 | |
Disclaimer/Publisher’s Note: The statements, opinions and data contained in all publications are solely those of the individual author(s) and contributor(s) and not of MDPI and/or the editor(s). MDPI and/or the editor(s) disclaim responsibility for any injury to people or property resulting from any ideas, methods, instructions or products referred to in the content. |
© 2023 by the authors. Licensee MDPI, Basel, Switzerland. This article is an open access article distributed under the terms and conditions of the Creative Commons Attribution (CC BY) license (https://creativecommons.org/licenses/by/4.0/).
Share and Cite
Ayob, S.; Altowayti, W.A.H.; Othman, N.; Khalid, F.S.; Shahir, S.; Tajarudin, H.A.; Alqadasi, A.M.A. Experimental and Modeling Study on the Removal of Mn, Fe, and Zn from Fiberboard Industrial Wastewater Using Modified Activated Carbon. Sustainability 2023, 15, 6734. https://doi.org/10.3390/su15086734
Ayob S, Altowayti WAH, Othman N, Khalid FS, Shahir S, Tajarudin HA, Alqadasi AMA. Experimental and Modeling Study on the Removal of Mn, Fe, and Zn from Fiberboard Industrial Wastewater Using Modified Activated Carbon. Sustainability. 2023; 15(8):6734. https://doi.org/10.3390/su15086734
Chicago/Turabian StyleAyob, Syafiqa, Wahid Ali Hamood Altowayti, Norzila Othman, Faisal Sheikh Khalid, Shafinaz Shahir, Husnul Azan Tajarudin, and Ammar Mohammed Ali Alqadasi. 2023. "Experimental and Modeling Study on the Removal of Mn, Fe, and Zn from Fiberboard Industrial Wastewater Using Modified Activated Carbon" Sustainability 15, no. 8: 6734. https://doi.org/10.3390/su15086734
APA StyleAyob, S., Altowayti, W. A. H., Othman, N., Khalid, F. S., Shahir, S., Tajarudin, H. A., & Alqadasi, A. M. A. (2023). Experimental and Modeling Study on the Removal of Mn, Fe, and Zn from Fiberboard Industrial Wastewater Using Modified Activated Carbon. Sustainability, 15(8), 6734. https://doi.org/10.3390/su15086734

