Investigation of a Biomass-Driven Cogeneration System Integrated with an Externally Fired Gas Turbine, Organic Rankine Cycle, and Absorption Refrigeration Cycle: Thermodynamic and Exergoeconomic Analyses and Optimization
Abstract
1. Introduction
- To propose a novel biomass gasification-based cogeneration system combined with EFGT, ORC, and ARC.
- To evaluate the proposed system from thermodynamic and exergoeconomic viewpoints.
- To conduct a comprehensive parametric study for identifying the effects of some key operating parameters on the system performance.
- To perform a multi-objective optimization of the proposed system using exergy efficiency and SUCP as the objective functions.
2. System Description
3. Mathematical Modeling
3.1. Assumptions
- The system operates in a steady state;
- Any changes in kinetic and potential energies within the system are considered insignificant;
- Heat losses from the system components are overlooked;
- There are no significant pressure drops as the fluids move through the various components;
- The composition of ambient air is taken as 21% oxygen and 79% nitrogen by volume;
- Gas mixtures within the system are treated as ideal gases;
- Within the ARC, fluid streams exiting the evaporator and condenser are in a saturated condition, with the output solutions from the generator and absorber presumed to be at equilibrium in terms of temperature and concentration;
- In the ORC, the working fluids exiting the vapor generator and condenser are in saturated vapor and liquid states, respectively;
- The operation of compressors, pumps, and turbines is characterized by constant isentropic efficiencies throughout the simulation.
3.2. Energy Analysis
3.2.1. Biomass Gasifier
3.2.2. Combustion Chamber
3.2.3. Other System Components
3.3. Exergy Analysis
3.4. Exergoeconomic Analysis
3.5. Overall Performance Assessment
4. Results and Discussion
4.1. Model Validation
4.2. Base Case Results
4.3. Parametric Study
4.3.1. Effect of Air Compressor Pressure Ratio on the System Performance
4.3.2. Effect of Gas Turbine Inlet Temperature on the System Performance
4.3.3. Effect of Cold-End Temperature Difference on the System Performance
4.3.4. Effect of HT-ORC Turbine Inlet Pressure on the System Performance
4.3.5. Effect of HT-ORC Condensation Temperature on the System Performance
4.3.6. Effect of Exhaust Gas Temperature at the Outlet of VG1 on the System Performance
4.3.7. Effect of LT-ORC Turbine Inlet Pressure on the System Performance
4.3.8. Effect of Biomass Gasification Temperature and Moisture Content on the System Performance
4.4. Sensitivity Analysis
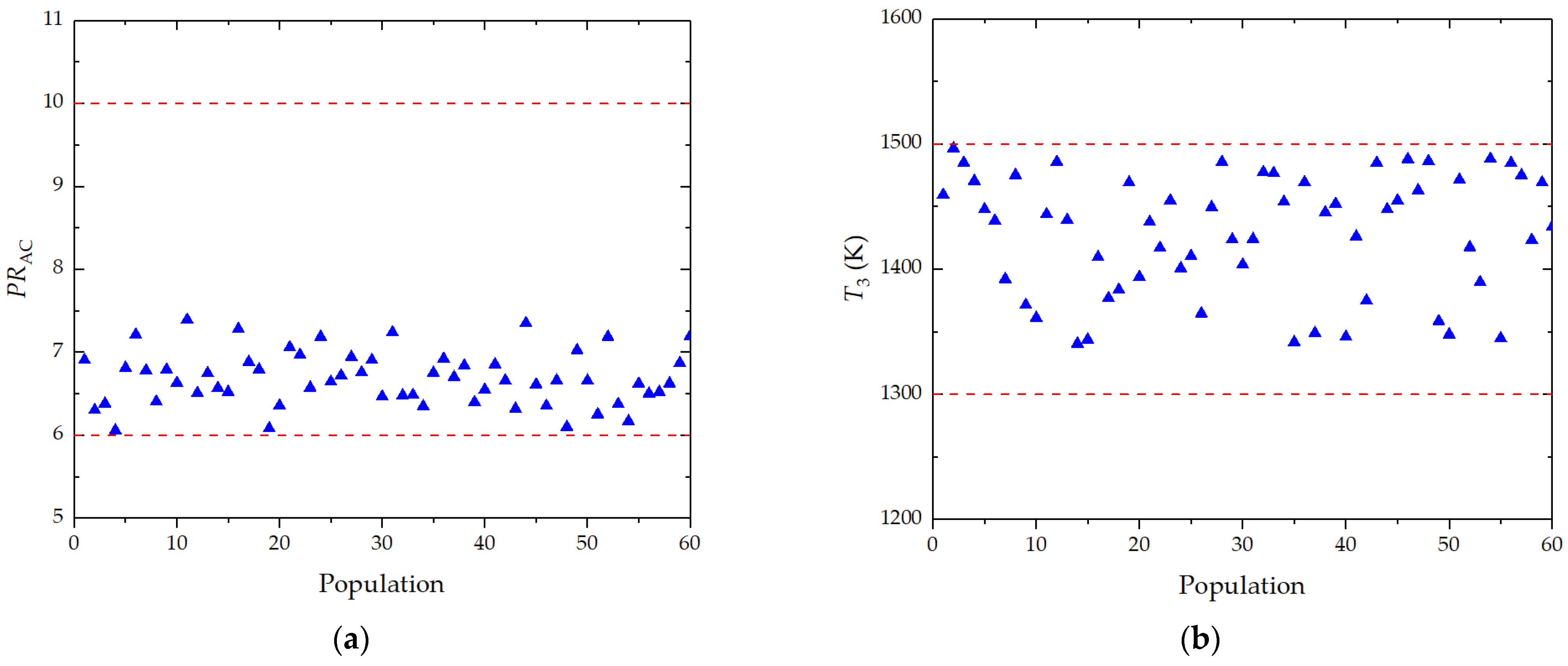
4.5. Multi-Objective Optimization
5. Conclusions
- (1)
- The proposed system is capable of generating a net power output of 4270.2 kW and a cooling capacity of 3658.4 kW, with a respective thermal efficiency, exergy efficiency, and SUCP of 66.36%, 32.04%, and 8.71 USD/GJ.
- (2)
- The combustion chamber is identified as the primary source of exergy destruction within the system, closely followed by the biomass gasifier. Additionally, the combustion chamber incurs the highest exergy destruction costs, with the vapor generator ranking second.
- (3)
- The gas turbine inlet temperature exerts a significant influence on system performance. An increase in this temperature from 1100 K to 1500 K notably enhances both thermal and exergy efficiencies by 8.8% and 36.8%, respectively, with the SUCP reaching its lowest at approximately 1400 K.
- (4)
- Elevations in the air compressor pressure ratio or cold end temperature difference are associated with enhanced thermal efficiency but reduced exergy efficiency. Moreover, such adjustments offer potential for SUCP optimization.
- (5)
- Enhancements in thermodynamic and economic outcomes are attainable through a reduction in the exhaust gas temperature at the VG1 outlet. The inlet pressure adjustments for the HT-ORC or LT-ORC turbines exhibit a minimal impact on the overall system performance.
- (6)
- Under optimal conditions, the system’s exergy efficiency can be increased by 9.7%, despite an accompanying 1.8% rise in SUCP, illustrating the delicate balance between enhancing system efficiency and managing cost implications.
Author Contributions
Funding
Institutional Review Board Statement
Informed Consent Statement
Data Availability Statement
Conflicts of Interest
Nomenclature
| A | area (m2) | CETD | cold-end temperature difference |
| cost per exergy unit (USD·GJ−1) | con | condenser | |
| cost rate (USD·h−1) | COP | coefficient of performance | |
| ex | exergy per unit mass (kW·kg−1) | CRF | capital recovery factor |
| exergy rate (kW) | EFGT | externally fired gas turbine | |
| f | exergoeconomic factor | EV | expansion valve |
| h | specific enthalpy (kJ·kg−1) | eva | evaporator |
| ir | annual interest rate (%) | GA | genetic algorithm |
| K | equilibrium constant | Ga | gasifier |
| mass flow rate (kg·s−1) | gen | generator | |
| n | kilomoles of component (kmol) | GT | gas turbine |
| N | annual operating hours (h) | GTIT | gas turbine inlet temperature |
| nt | lifetime of the system | is | isentropic |
| P | pressure (kPa) | IHE | internal heat exchanger |
| heat transfer rate (kW) | LHV | lower heating value | |
| r | relative cost difference | MW | molecular weight |
| s | specific entropy (kJ·kg−1·K−1) | ORC | organic Rankine cycle |
| T | temperature (K) | PR | pressure ratio |
| U | heat transfer coefficient (W·m−2·K−1) | SHE | solution heat exchanger |
| power (kW) | SP | solution pump | |
| exergy destruction ratio (%) | SUCP | sum unit cost of the product | |
| Z | investment cost (USD) | VC | vapor condenser |
| investment cost rate (USD/h) | VG | vapor generator | |
| VP | organic fluid pump | ||
| Subscript and abbreviations | VT | vapor turbine | |
| 0 | dead state | ||
| 1, 2, … | state points | Greek Symbols | |
| abs | absorber | difference | |
| AC | air compressor | η | efficiency |
| AP | air preheater | ε | heat exchanger effectiveness |
| ARC | absorption refrigeration cycle | maintenance factor | |
| CC | combustion chamber | chemical exergy coefficient | |
Appendix A
| Item | Value | Unit |
|---|---|---|
| Tube inner diameter, di | 20 | mm |
| Tube outer diameter, do | 25 | mm |
| Tube pitch, STu | 60 | mm |
| Fin height, HF | 12.5 | mm |
| δF | 1 | mm |
| Fin pitch, YF | 4 | mm |
| Fouling factor | ||
| Exhaust gas, rexh | m2·K−1·W | |
| Refrigerant (liquid), rliq | m2·K−1·W | |
| Refrigerant (vapor), rvap | m2·K−1·W | |
| Refrigerant (two-phase), rtp | m2·K−1·W | |
| Tube row alignment | Staggered type | |
| Tube and Fin material | Stainless steel 316L | |
| Item | Value | Unit |
|---|---|---|
| Effective channel length, Le | 1250 | mm |
| Width of flow channel, Wch | 550 | mm |
| Plate thickness, δPl | 0.5 | mm |
| Mean flow channel gap, bch | 5 | mm |
| Corrugation pitch, Pco | 15 | mm |
| Chevron angle, β | π/3 | - |
| Plate material | Stainless steel 316L | |
| Component | Heat Transfer Coefficient Correlation |
|---|---|
| Vapor generator | Young correlation for single-phase flow in shell side [68]: |
| Gnielinski correlation for single-phase flow in the tube side [69]: | |
| For liquid state: | |
| For vapor state: | |
| Liu–Winterton correlation for two-phase flow boiling in the tube [70]: | |
| Condenser | Chisholm–Wanniarachchi correlation for single-phase flow [71]: |
| Han–Lee correlation for two-phase condensation [72]: | |
| Component | Heat Transfer Coefficient (W·m−2·K−1) |
|---|---|
| Generator | 1500 |
| Condenser | 2500 |
| Evaporator | 1500 |
| Absorber | 700 |
| SHE | 1000 |
Appendix B
| Constant | Equipment | |||
|---|---|---|---|---|
| FTHE | PHE | Turbine | Pump | |
| 4.3247 | 4.6656 | 2.2659 | 3.3892 | |
| −0.3030 | −0.1557 | 1.4398 | 0.0536 | |
| 0.1634 | 0.1547 | −0.1776 | 0.1538 | |
| 0.0388 | 0 | 0 | −0.3935 | |
| −0.11272 | 0 | 0 | 0.3957 | |
| 0.08183 | 0 | 0 | −0.00226 | |
| 1.63 | 0.96 | 0 | 1.89 | |
| 1.66 | 1.21 | 1 | 1.35 | |
| 1.4 | 1 | 3.5 | 1.5 | |
| 1 | 1 | 1 | 1 | |
References
- Medeiros, D.L.; Sales, E.A.; Kiperstok, A. Energy production from microalgae biomass: Carbon footprint and energy balance. J. Clean. Prod. 2015, 96, 493–500. [Google Scholar] [CrossRef]
- Friedlingstein, P.; Andrew, R.M.; Rogelj, J.; Peters, G.P.; Canadell, J.G.; Knutti, R.; Luderer, G.; Raupach, M.R.; Schaeffer, M.; van Vuuren, D.P.; et al. Persistent growth of CO2 emissions and implications for reaching climate targets. Nat. Geosci. 2014, 7, 709–715. [Google Scholar] [CrossRef]
- Saidur, R.; Abdelaziz, E.A.; Demirbas, A.; Hossain, M.S.; Mekhilef, S. A review on biomass as a fuel for boilers. Renew. Sustain. Energy Rev. 2011, 15, 2262–2289. [Google Scholar] [CrossRef]
- Qiu, B.; Tao, X.; Wang, J.; Liu, Y.; Li, S.; Chu, H. Research progress in the preparation of high-quality liquid fuels and chemicals by catalytic pyrolysis of biomass: A review. Energy Convers. Manag. 2022, 261, 115647. [Google Scholar] [CrossRef]
- Chen, W.-H.; Lin, B.-J.; Lin, Y.-Y.; Chu, Y.-S.; Ubando, A.T.; Show, P.L.; Ong, H.C.; Chang, J.-S.; Ho, S.-H.; Culaba, A.B.; et al. Progress in biomass torrefaction: Principles, applications and challenges. Prog. Energy Combust. Sci. 2021, 82, 100887. [Google Scholar] [CrossRef]
- Karimi-Maleh, H.; Rajendran, S.; Vasseghian, Y.; Dragoi, E.-N. Advanced integrated nanocatalytic routes for converting biomass to biofuels: A comprehensive review. Fuel 2022, 314, 122762. [Google Scholar] [CrossRef]
- Felix, C.B.; Chen, W.-H.; Ubando, A.T.; Park, Y.-K.; Lin, K.-Y.A.; Pugazhendhi, A.; Nguyen, T.-B.; Dong, C.-D. A comprehensive review of thermogravimetric analysis in lignocellulosic and algal biomass gasification. Chem. Eng. J. 2022, 445, 136730. [Google Scholar] [CrossRef]
- Franco, A.; Giannini, N. Perspectives for the use of biomass as fuel in combined cycle power plants. Int. J. Therm. Sci. 2005, 44, 163–177. [Google Scholar] [CrossRef]
- Cao, Y.; Mihardjo, L.W.W.; Dahari, M.; Tlili, I. Waste heat from a biomass fueled gas turbine for power generation via an ORC or compressor inlet cooling via an absorption refrigeration cycle: A thermoeconomic comparison. Appl. Therm. Eng. 2021, 182, 116117. [Google Scholar] [CrossRef]
- Song, Q.; Kong, F.; Liu, B.-F.; Song, X.; Ren, H.-Y. Biochar-based composites for removing chlorinated organic pollutants: Applications, mechanisms, and perspectives. Environ. Sci. Ecotechnol. 2024, 21, 100420. [Google Scholar] [CrossRef]
- Du, J.; Xu, P.-P.; Ren, H.-Y.; Cao, G.-L.; Xie, G.-J.; Ren, N.-Q.; Liu, B.-F. Improved sequential production of hydrogen and caproate by addition of biochar prepared from cornstalk residues. Bioresour. Technol. 2023, 387, 129702. [Google Scholar] [CrossRef] [PubMed]
- Karamarkovic, R.; Karamarkovic, V. Energy and exergy analysis of biomass gasification at different temperatures. Energy 2010, 35, 537–549. [Google Scholar] [CrossRef]
- Soltani, S.; Mahmoudi, S.M.S.; Yari, M.; Rosen, M.A. Thermodynamic analyses of a biomass integrated fired combined cycle. Appl. Therm. Eng. 2013, 59, 60–68. [Google Scholar] [CrossRef]
- Datta, A.; Ganguly, R.; Sarkar, L. Energy and exergy analyses of an externally fired gas turbine (EFGT) cycle integrated with biomass gasifier for distributed power generation. Energy 2010, 35, 341–350. [Google Scholar] [CrossRef]
- Soltani, S.; Mahmoudi, S.M.S.; Yari, M.; Rosen, M.A. Thermodynamic analyses of an externally fired gas turbine combined cycle integrated with a biomass gasification plant. Energy Convers. Manag. 2013, 70, 107–115. [Google Scholar] [CrossRef]
- Al-attab, K.A.; Zainal, Z.A. Externally fired gas turbine technology: A review. Appl. Energy 2015, 138, 474–487. [Google Scholar] [CrossRef]
- Durante, A.; Pena-Vergara, G.; Curto-Risso, P.L.; Medina, A.; Calvo Hernández, A. Thermodynamic simulation of a multi-step externally fired gas turbine powered by biomass. Energy Convers. Manag. 2017, 140, 182–191. [Google Scholar] [CrossRef]
- Kautz, M.; Hansen, U. The externally-fired gas-turbine (EFGT-Cycle) for decentralized use of biomass. Appl. Energy 2007, 84, 795–805. [Google Scholar] [CrossRef]
- Galletti, C.; Giomo, V.; Giorgetti, S.; Leoni, P.; Tognotti, L. Biomass furnace for externally fired gas turbine: Development and validation of the numerical model. Appl. Therm. Eng. 2016, 96, 372–384. [Google Scholar] [CrossRef]
- Soltani, S.; Mahmoudi, S.M.S.; Yari, M.; Morosuk, T.; Rosen, M.A.; Zare, V. A comparative exergoeconomic analysis of two biomass and co-firing combined power plants. Energy Convers. Manag. 2013, 76, 83–91. [Google Scholar] [CrossRef]
- Desideri, A.; Gusev, S.; van den Broek, M.; Lemort, V.; Quoilin, S. Experimental comparison of organic fluids for low temperature ORC (organic Rankine cycle) systems for waste heat recovery applications. Energy 2016, 97, 460–469. [Google Scholar] [CrossRef]
- Shu, G.; Li, X.; Tian, H.; Liang, X.; Wei, H.; Wang, X. Alkanes as working fluids for high-temperature exhaust heat recovery of diesel engine using organic Rankine cycle. Appl. Energy 2014, 119, 204–217. [Google Scholar] [CrossRef]
- Dovichi Filho, F.B.; Castillo Santiago, Y.; Silva Lora, E.E.; Escobar Palacio, J.C.; Almazan del Olmo, O.A. Evaluation of the maturity level of biomass electricity generation technologies using the technology readiness level criteria. J. Clean. Prod. 2021, 295, 126426. [Google Scholar] [CrossRef]
- Khanmohammadi, S.; Atashkari, K.; Kouhikamali, R. Exergoeconomic multi-objective optimization of an externally fired gas turbine integrated with a biomass gasifier. Appl. Therm. Eng. 2015, 91, 848–859. [Google Scholar] [CrossRef]
- Camporeale, S.M.; Pantaleo, A.M.; Ciliberti, P.D.; Fortunato, B. Cycle configuration analysis and techno-economic sensitivity of biomass externally fired gas turbine with bottoming ORC. Energy Convers. Manag. 2015, 105, 1239–1250. [Google Scholar] [CrossRef]
- Mondal, P.; Ghosh, S. Exergo-economic analysis of a 1-MW biomass-based combined cycle plant with externally fired gas turbine cycle and supercritical organic Rankine cycle. Clean Technol. Environ. Policy 2017, 19, 1475–1486. [Google Scholar] [CrossRef]
- Vera, D.; Jurado, F.; Carpio, J.; Kamel, S. Biomass gasification coupled to an EFGT-ORC combined system to maximize the electrical energy generation: A case applied to the olive oil industry. Energy 2018, 144, 41–53. [Google Scholar] [CrossRef]
- Badshah, N.; Al-attab, K.A.; Zainal, Z.A. Design optimization and experimental analysis of externally fired gas turbine system fuelled by biomass. Energy 2020, 198, 117340. [Google Scholar] [CrossRef]
- Amirante, R.; Bruno, S.; Distaso, E.; La Scala, M.; Tamburrano, P. A biomass small-scale externally fired combined cycle plant for heat and power generation in rural communities. Renew. Energy Focus 2019, 28, 36–46. [Google Scholar] [CrossRef]
- Mirandola, S.; Pedrazzi, S.; Allesina, G.; Muscio, A. Modeling of a hybrid externally fired gas turbine applied to a landfill and green waste management facility. Energy Convers. Manag. 2021, 244, 114483. [Google Scholar] [CrossRef]
- Quan, L.M.; Kamyab, H.; Yuzir, A.; Ashokkumar, V.; Hosseini, S.E.; Balasubramanian, B.; Kirpichnikova, I. Review of the application of gasification and combustion technology and waste-to-energy technologies in sewage sludge treatment. Fuel 2022, 316, 123199. [Google Scholar] [CrossRef]
- Tavallaei, M.; Farzaneh-Gord, M.; Moghadam, A.J. 4E analysis and thermodynamic optimization of flaring associated gas recovery using external firing recuperative gas turbine. Energy Convers. Manag. 2022, 266, 115836. [Google Scholar] [CrossRef]
- El-Sattar, H.A.; Kamel, S.; Vera, D.; Jurado, F. Tri-generation biomass system based on externally fired gas turbine, organic rankine cycle and absorption chiller. J. Clean. Prod. 2020, 260, 121068. [Google Scholar] [CrossRef]
- Roy, D.; Samanta, S.; Ghosh, S. Techno-economic and environmental analyses of a biomass based system employing solid oxide fuel cell, externally fired gas turbine and organic Rankine cycle. J. Clean. Prod. 2019, 225, 36–57. [Google Scholar] [CrossRef]
- Roy, D.; Samanta, S.; Ghosh, S. Performance optimization through response surface methodology of an integrated biomass gasification based combined heat and power plant employing solid oxide fuel cell and externally fired gas turbine. Energy Convers. Manag. 2020, 222, 113182. [Google Scholar] [CrossRef]
- Musharavati, F.; Khoshnevisan, A.; Alirahmi, S.M.; Ahmadi, P.; Khanmohammadi, S. Multi-objective optimization of a biomass gasification to generate electricity and desalinated water using Grey Wolf Optimizer and artificial neural network. Chemosphere 2022, 287, 131980. [Google Scholar] [CrossRef] [PubMed]
- Zaman, S.A.; Ghosh, S. Thermo-economic and environmental performance analyses of a biomass-based carbon negative system integrating externally fired gas turbine and molten carbonate fuel cell. Energy Convers. Manag. X 2022, 14, 100187. [Google Scholar] [CrossRef]
- Ding, H.; Li, J.; Heydarian, D. Energy, exergy, exergoeconomic, and environmental analysis of a new biomass-driven cogeneration system. Sustain. Energy Technol. Assess. 2021, 45, 101044. [Google Scholar] [CrossRef]
- Almatrafi, E.; Khaliq, A.; Abuhabaya, A. Thermodynamic and exergetic assessment of a biomass derived syngas fueled gas turbine powered trigeneration system. Case Stud. Therm. Eng. 2022, 35, 102099. [Google Scholar] [CrossRef]
- Hai, T.; Ashraf Ali, M.; Alizadeh, A.a.; Fahad Almojil, S.; Ibrahim Almohana, A.; Singh Chauhan, B.; Alali, A.F.; Raise, A. Optimization next to environmental analysis of harvesting waste heat from a biomass-driven externally-fired gas turbine cycle for sub-zero cooling and production of hydrogen, freshwater, and hot water. Appl. Therm. Eng. 2023, 223, 119884. [Google Scholar] [CrossRef]
- Sharafi Laleh, S.; Safarpour, A.; Shahbazi Shahrak, A.; Fatemi Alavi, S.H.; Soltani, S. Thermodynamic and exergoeconomic analyses of a novel biomass-fired combined cycle with solar energy and hydrogen and freshwater production in sports arenas. Int. J. Hydrogen Energy 2024, 59, 1507–1517. [Google Scholar] [CrossRef]
- Aghabalazadeh, M.; Neshat, E. Proposal and optimization of a novel biomass-based tri-generation system using energy, exergy and exergoeconomic analyses and design of experiments method. Energy 2024, 288, 129723. [Google Scholar] [CrossRef]
- Maryami, R.; Dehghan, A.A. An exergy based comparative study between LiBr/water absorption refrigeration systems from half effect to triple effect. Appl. Therm. Eng. 2017, 124, 103–123. [Google Scholar] [CrossRef]
- Navongxay, B.; Chaiyat, N. Energy and exergy costings of organic Rankine cycle integrated with absorption system. Appl. Therm. Eng. 2019, 152, 67–78. [Google Scholar] [CrossRef]
- Zhou, T.; Liu, J.; Ren, J.; Yang, S. Conceptual design, modelling and optimization of an integrated system by combining Organic Rankine Cycle and absorption refrigeration cycle for efficient energy recovery. J. Taiwan Inst. Chem. Eng. 2022, 133, 104276. [Google Scholar] [CrossRef]
- Zoghi, M.; Habibi, H.; Chitsaz, A.; Ayazpour, M.; Mojaver, P. Thermo-economic assessment of a novel trigeneration system based on coupling of organic Rankine cycle and absorption-compression cooling and power system for waste heat recovery. Energy Convers. Manag. 2019, 196, 567–580. [Google Scholar] [CrossRef]
- Aghaziarati, Z.; Aghdam, A.H. Thermoeconomic analysis of a novel combined cooling, heating and power system based on solar organic Rankine cycle and cascade refrigeration cycle. Renew. Energy 2021, 164, 1267–1283. [Google Scholar] [CrossRef]
- Invernizzi, C.M.; Iora, P.; Manzolini, G.; Lasala, S. Thermal stability of n-pentane, cyclo-pentane and toluene as working fluids in organic Rankine engines. Appl. Therm. Eng. 2017, 121, 172–179. [Google Scholar] [CrossRef]
- Tian, H.; Liu, L.; Shu, G.; Wei, H.; Liang, X. Theoretical research on working fluid selection for a high-temperature regenerative transcritical dual-loop engine organic Rankine cycle. Energy Convers. Manag. 2014, 86, 764–773. [Google Scholar] [CrossRef]
- Li, L.; Ge, Y.T.; Luo, X.; Tassou, S.A. Experimental investigations into power generation with low grade waste heat and R245fa Organic Rankine Cycles (ORCs). Appl. Therm. Eng. 2017, 115, 815–824. [Google Scholar] [CrossRef]
- Li, L.; Ge, Y.T.; Luo, X.; Tassou, S.A. Experimental analysis and comparison between CO2 transcritical power cycles and R245fa organic Rankine cycles for low-grade heat power generations. Appl. Therm. Eng. 2018, 136, 708–717. [Google Scholar] [CrossRef]
- Zoghi, M.; Habibi, H.; Yousefi Choubari, A.; Ehyaei, M.A. Exergoeconomic and environmental analyses of a novel multi-generation system including five subsystems for efficient waste heat recovery of a regenerative gas turbine cycle with hybridization of solar power tower and biomass gasifier. Energy Convers. Manag. 2021, 228, 113702. [Google Scholar] [CrossRef]
- Moharamian, A.; Soltani, S.; Rosen, M.A.; Mahmoudi, S.M.S.; Morosuk, T. A comparative thermoeconomic evaluation of three biomass and biomass-natural gas fired combined cycles using organic Rankine cycles. J. Clean. Prod. 2017, 161, 524–544. [Google Scholar] [CrossRef]
- Balafkandeh, S.; Zare, V.; Gholamian, E. Multi-objective optimization of a tri-generation system based on biomass gasification/digestion combined with S-CO2 cycle and absorption chiller. Energy Convers. Manag. 2019, 200, 112057. [Google Scholar] [CrossRef]
- Tezer, Ö.; Karabağ, N.; Öngen, A.; Çolpan, C.Ö.; Ayol, A. Biomass gasification for sustainable energy production: A review. Int. J. Hydrogen Energy 2022, 47, 15419–15433. [Google Scholar] [CrossRef]
- Bejan, A.; Tsatsaronis, G.; Moran, M. Thermal Design and Optimization; John Wiley & Sons: Hoboken, NJ, USA, 1996. [Google Scholar]
- Gholizadeh, T.; Vajdi, M.; Mohammadkhani, F. Thermodynamic and thermoeconomic analysis of basic and modified power generation systems fueled by biogas. Energy Convers. Manag. 2019, 181, 463–475. [Google Scholar] [CrossRef]
- Wang, E.H.; Zhang, H.G.; Fan, B.Y.; Ouyang, M.G.; Zhao, Y.; Mu, Q.H. Study of working fluid selection of organic Rankine cycle (ORC) for engine waste heat recovery. Energy 2011, 36, 3406–3418. [Google Scholar] [CrossRef]
- Ma, Y.; Zhang, X.; Liu, M.; Yan, J.; Liu, J. Proposal and assessment of a novel supercritical CO2 Brayton cycle integrated with LiBr absorption chiller for concentrated solar power applications. Energy 2018, 148, 839–854. [Google Scholar] [CrossRef]
- Gholizadeh, T.; Vajdi, M.; Rostamzadeh, H. Exergoeconomic optimization of a new trigeneration system driven by biogas for power, cooling, and freshwater production. Energy Convers. Manag. 2020, 205, 112417. [Google Scholar] [CrossRef]
- Hoang, A.T. Waste heat recovery from diesel engines based on Organic Rankine Cycle. Appl. Energy 2018, 231, 138–166. [Google Scholar] [CrossRef]
- Chatzopoulou, M.A.; Lecompte, S.; Paepe, M.D.; Markides, C.N. Off-design optimisation of organic Rankine cycle (ORC) engines with different heat exchangers and volumetric expanders in waste heat recovery applications. Appl. Energy 2019, 253, 113442. [Google Scholar] [CrossRef]
- Nondy, J.; Gogoi, T.K. Comparative performance analysis of four different combined power and cooling systems integrated with a topping gas turbine plant. Energy Convers. Manag. 2020, 223, 113242. [Google Scholar] [CrossRef]
- Nazari, N.; Porkhial, S. Multi-objective optimization and exergo-economic assessment of a solar-biomass multi-generation system based on externally-fired gas turbine, steam and organic Rankine cycle, absorption chiller and multi-effect desalination. Appl. Therm. Eng. 2020, 179, 115521. [Google Scholar] [CrossRef]
- Liu, J.; Ren, J.; Zhang, Y.; Huang, W.; Xu, C.; Liu, L. Exergoeconomic Evaluation of a Cogeneration System Driven by a Natural Gas and Biomass Co-Firing Gas Turbine Combined with a Steam Rankine Cycle, Organic Rankine Cycle, and Absorption Chiller. Processes 2024, 12, 82. [Google Scholar] [CrossRef]
- Yang, F.; Zhang, H.; Song, S.; Bei, C.; Wang, H.; Wang, E. Thermoeconomic multi-objective optimization of an organic Rankine cycle for exhaust waste heat recovery of a diesel engine. Energy 2015, 93, 2208–2228. [Google Scholar] [CrossRef]
- Imran, M.; Park, B.S.; Kim, H.J.; Lee, D.H.; Usman, M.; Heo, M. Thermo-economic optimization of Regenerative Organic Rankine Cycle for waste heat recovery applications. Energy Convers. Manag. 2014, 87, 107–118. [Google Scholar] [CrossRef]
- Zhang, H.G.; Wang, E.H.; Fan, B.Y. Heat transfer analysis of a finned-tube evaporator for engine exhaust heat recovery. Energy Convers. Manag. 2013, 65, 438–447. [Google Scholar] [CrossRef]
- Gnielinski, V. New equations for heat mass transfer in turbulent pipe and channel flows. Int. Chem. Eng. 1976, 16, 359–368. [Google Scholar]
- Liu, Z.; Winterton, R.H.S. A general correlation for saturated and subcooled flow boiling in tubes and annuli, based on a nucleate pool boiling equation. Int. J. Heat Mass Transf. 1991, 34, 2759–2766. [Google Scholar] [CrossRef]
- Ayub, Z.H. Plate heat exchanger literature survey and new heat transfer and pressure drop correlations for refrigerant evaporators. Heat Transf. Eng. 2003, 24, 3–16. [Google Scholar] [CrossRef]
- Han, D.H.; Lee, K.J.; Kim, Y.H. The characteristics of condensation in brazed plate heat exchangers with different chevron angles. J. Korean Phys. Soc. 2003, 43, 66–73. [Google Scholar]
- Mazzei, M.S.; Mussati, M.C.; Mussati, S.F. NLP model-based optimal design of LiBr–H2O absorption refrigeration systems. Int. J. Refrig. 2014, 38, 58–70. [Google Scholar] [CrossRef]
- Mussati, S.F.; Gernaey, K.V.; Morosuk, T.; Mussati, M.C. NLP modeling for the optimization of LiBr-H2O absorption refrigeration systems with exergy loss rate, heat transfer area, and cost as single objective functions. Energy Convers. Manag. 2016, 127, 526–544. [Google Scholar] [CrossRef]
- Misra, R.D.; Sahoo, P.K.; Sahoo, S.; Gupta, A. Thermoeconomic optimization of a single effect water/LiBr vapour absorption refrigeration system. Int. J. Refrig. 2003, 26, 158–169. [Google Scholar] [CrossRef]
- Turton, R.; Bailie, R.C.; Whiting, W.B.; Shaeiwitz, J.A.; Bhattacharyya, D. Analysis, Synthesis and Design of Chemical Processes, 4th ed.; Pearson Education: Upper Saddle River, NJ, USA, 2012. [Google Scholar]
















| Researcher | Year | Energy Source | Configuration | Assessment | Result |
|---|---|---|---|---|---|
| Vera et al. [27] | 2018 | Olive tree pruning | EFGT, ORC | energy | electrical efficiency of 20.7% |
| Amirante et al. [29] | 2019 | solid and gaseous biomass | EFGT, ORC, SRC | energy, exergy, economic | electrical efficiency of 10–17%, LCOE of 160 EUR/MWh without cogeneration and 140 EUR/MWh with cogeneration |
| Mirandola et al. [30] | 2021 | wood, landfill gas | H-EFGT | energy, economic | thermal efficiency of 47.00%, CHP total efficiency of 66.10% |
| Quan et al. [31] | 2022 | sewage sludge | EFGT | energy, exergy, economic | exergy efficiency of 37.1% |
| Tavallaei et al. [32] | 2022 | associated gas | EFGT | energy, exergy, environmental, economic | energy and exergy efficiencies of 27.6% and 35.8% |
| El-Sattar et al. [33] | 2020 | bagasse | EFGT, ORC, ARC | energy | thermal efficiency of 43.9% |
| Roy et al. [34] | 2019 | wood, rice husk, paper | SOFC, EFGT, ORC | energy, exergy, economic | energy and exergy efficiencies of 41.17% and 37.76% |
| Roy et al. [35] | 2020 | sawdust | SOFC, EFGT, HRSG | energy, exergy, economic, environmental | exergy efficiency of 46.58%, levelized cost of exergy of 0.0657 USD/kWh |
| Musharavati et al. [36] | 2022 | paper | EFGT, multi-effect desalination unit | energy, exergy, thermoeconomic | exergy efficiency and total cost rate of 15.61% and 206.78 USD/h |
| Zaman et al. [37] | 2022 | rice husk, bagasse, furniture waste | EFGT, MCFC, SRC, ORC | energy, exergy, economy, environmental | energy efficiency of 50.8%, levelized electricity price of 0.097 USD/kWh |
| Ding et al. [38] | 2021 | paper, wood, paddy husk, municipal solid waste | EFGT, Stirling engine, S-CO2 cycle, DWH | energy, exergy, exergoeconomic, environmental | energy efficiency of 72.36%, exergy efficiency of 36.4% |
| Almatrafi et al. [39] | 2022 | rubber seed, corn stalk, sawdust, coconut shell | a GT cycle, a SRC, and a single-effect ARC | energy, exergy | energy efficiency of 73.5%, exergy efficiency of 43.4% |
| Hai et al. [40] | 2023 | wood, LNG | EFGT, SBC, ORC, DWH, RO desalination unit, PEME | energy, exergy, exergoeconomic, environmental | exergy efficiency of 39.22%, unit cost of polygeneration equal to 15.41 USD/GJ |
| Sharafi Laleh et al. [41] | 2024 | wood, solar | EFGT, ORC, S-CO2 cycle, RO desalination unit, PEME | energy, exergy, exergoeconomic, environmental | energy efficiency of 40.6%, exergy efficiency of 36.7%, total product cost of 64.6 USD/GJ |
| Aghabalazadeh et al. [42] | 2024 | natural gas, wood | GT, SRC, Kalina cycle, ERC | energy, exergy, thermoeconomic | energy efficiency of 82.21%, exergy efficiency of 51.66%, LCOE of 41.01 USD/MWh |
| Component | Mass and Energy Balance Equations |
|---|---|
| Air compressor | |
| Air preheater | |
| Gas turbine | |
| Vapor generator 1 | |
| Vapor turbine 1 | |
| Pump 1 | |
| Generator | |
| Condenser | |
| Evaporator | |
| Absorber | |
| Solution pump | |
| SHE | |
| Vapor generator 2 | |
| Vapor turbine 2 | |
| Vapor condenser | |
| Pump 2 | |
| Component | |||
|---|---|---|---|
| Air compressor | |||
| Air preheater | |||
| Gas turbine | |||
| Combustion chamber | |||
| Biomass gasifier | |||
| Vapor generator 1 | |||
| Vapor turbine 1 | |||
| Pump 1 | |||
| Generator | |||
| Condenser | |||
| Evaporator | |||
| Absorber | |||
| Solution pump | |||
| SHE | |||
| Vapor generator 2 | |||
| Vapor turbine 2 | |||
| Vapor condenser | |||
| Pump 2 |
| Component | Cost Balance Equation | Auxiliary Equation |
|---|---|---|
| Air compressor | ||
| Air preheater | ||
| Gas turbine | ||
| Combustion chamber | ||
| Biomass gasifier | ||
| Vapor generator 1 | ||
| Vapor turbine 1 | ||
| Pump 1 | ||
| Generator | ||
| Condenser | ||
| Evaporator | ||
| Absorber | ||
| Solution pump | ||
| SHE | ||
| Vapor generator 2 | ||
| Vapor turbine 2 | ||
| Vapor condenser | ||
| Pump 2 |
| State | Substance | P (kPa) | T (K) | (kg/s) | |||
|---|---|---|---|---|---|---|---|
| Ref. [53] | Present Work | Ref. [53] | Present Work | Ref. [53] | Present Work | ||
| 1 | Air | 101.3 | 101.3 | 298.15 | 298.15 | 9.45 | 9.84 |
| 2 | Air | 911.7 | 911.7 | 589.9 | 583.84 | 9.45 | 9.84 |
| 3 | Air | 884.35 | 884.35 | 1400 | 1400 | 9.45 | 9.84 |
| 4 | Air | 103.83 | 103.88 | 877.6 | 886.18 | 9.45 | 9.84 |
| 5 | Syngas | 101.3 | 101.3 | 1073.15 | 1073.15 | 2.789 | 2.792 |
| 8 | Comb. gas | 102.82 | 102.84 | 1562 | 1578.6 | 12.24 | 12.63 |
| 9 | Comb. gas | 101.3 | 101.3 | 1000 | 1000 | 12.24 | 12.63 |
| Constituent | Present Work | Cao et al. [9] | Roy et al. [34] |
|---|---|---|---|
| H2 (%) | 21.50 | 21.66 | 21.63 |
| CO (%) | 20.21 | 20.25 | 20.25 |
| CH4 (%) | 0.95 | 1.011 | 0.98 |
| CO2 (%) | 12.50 | 12.36 | 12.48 |
| N2 (%) | 44.84 | 44.72 | 44.94 |
| Parameter | Peva (kPa) | Tcon (K) | (kg/s) | (kW) | (kW) | ηth (%) |
|---|---|---|---|---|---|---|
| Ref. [58] | 1492.3 | 304.44 | 0.4988 | 119.08 | 10.615 | 8.40 |
| Present work | 1492.3 | 304.44 | 0.5032 | 118.96 | 10.621 | 8.41 |
| Parameter | Ref. [59] | Present Work |
|---|---|---|
| Heat capacity of generator (kW) | 3092.71 | 3093.32 |
| Heat capacity of absorber (kW) | 2942.09 | 2942.70 |
| Heat capacity of condenser (kW) | 2506.37 | 2506.37 |
| Heat capacity of evaporator (kW) | 2355.75 | 2355.75 |
| Heat capacity of SHE (kW) | 523.07 | 522.10 |
| Coefficient of performance | 0.762 | 0.762 |
| Parameter | Value | Unit |
|---|---|---|
| Reference temperature (T0) | 298.15 | K |
| Reference pressure (P0) | 101.3 | kPa |
| Cost of biomass [40,42] | 2 | USD/GJ |
| LHV of dry biomass [14] | 18,732 | kJ/kg |
| EFGT [15,60] | ||
| 86 | % | |
| 9 | - | |
| 86 | % | |
| Gas turbine inlet temperature (T3) | 1400 | K |
| Cold end temperature difference (CETD) | 245 | K |
| Pressure drop of the cold side in the AP | 5 | % |
| Pressure drop of the hot side in the AP | 3 | % |
| Pressure drop of the flue gas in the CC | 1 | % |
| Pressure drop of the flue gas in the VG1 | 5 | % |
| Pressure drop of the flue gas in the VG2 | 5 | % |
| 3000 | kW | |
| HT-ORC [61,62] | ||
| Turbine inlet pressure (P13) | 3200 | kPa |
| Exhaust gas temperature at outlet of the VG1 (T10) | 473.15 | K |
| Condenser temperature (T15) | 363.15 | K |
| 80 | % | |
| 65 | % | |
| ARC [63] | ||
| Generator temperature (T23) | 358.15 | K |
| Condenser temperature (T17) | 308.15 | K |
| Evaporator temperature (T19) | 278.15 | K |
| Absorber temperature (T20) | 308.15 | K |
| Effectiveness of solution heat exchanger | 70 | % |
| Cooling water inlet/outlet temperature in condenser (T26/T27) | 298.15/303.15 | K |
| Cooling water inlet/outlet temperature in evaporator (T28/T29) | 285.15/280.15 | K |
| Cooling water inlet/outlet temperature in absorber (T30/T31) | 298.15/303.15 | K |
| LT-ORC [62] | ||
| Turbine inlet pressure (P33) | 2200 | kPa |
| Condenser temperature (T35) | 308.15 | K |
| 80 | % | |
| 65 | % | |
| Cooling water inlet/outlet temperature in condenser (T36/T37) | 298.15/303.15 | K |
| State | Fluid | (kg/s) | P (kPa) | T (K) | h (kJ/kg) | s (kJ·kg−1·K−1) | (kW) | (USD/h) | c (USD/GJ) |
|---|---|---|---|---|---|---|---|---|---|
| 1 | Air | 298.15 | 101.3 | 12.24 | 0 | 6.888 | 54.54 | 0 | 0 |
| 2 | Air | 587.05 | 911.7 | 12.24 | 303.43 | 6.963 | 3496.44 | 106.12 | 8.43 |
| 3 | Air | 1400 | 866.12 | 12.24 | 1233.37 | 7.966 | 11,222.61 | 258.30 | 6.39 |
| 4 | Air | 929.23 | 116.88 | 12.24 | 684.94 | 8.066 | 4140.74 | 95.30 | 6.39 |
| 5 | Air | 298.15 | 101.3 | 1.29 | 0 | 6.888 | 5.75 | 0 | 0 |
| 6 | Biomass | 298.15 | 101.3 | 0.80 | −7104.72 | - | 13,893.28 | 86.02 | 1.72 |
| 7 | Biogas | 1073.15 | 101.3 | 2.09 | −2710.35 | 10.10 | 11,795.64 | 97.27 | 2.29 |
| 8 | Comb. gas | 1484.22 | 115.72 | 14.33 | 190.16 | 8.77 | 12,592.63 | 200.46 | 4.42 |
| 9 | Comb. gas | 832.05 | 112.24 | 14.33 | −604.27 | 8.076 | 4171.44 | 66.40 | 4.42 |
| 10 | Comb. gas | 473.15 | 106.63 | 14.33 | −1014.56 | 7.448 | 977.12 | 15.55 | 4.42 |
| 11 | Comb. gas | 393.15 | 101.3 | 14.33 | −1101.57 | 7.261 | 527.37 | 8.39 | 4.42 |
| 12 | Toluene | 365.16 | 3200 | 9.25 | −34.45 | −0.102 | 145.20 | 6.24 | 11.94 |
| 13 | Toluene | 571.30 | 3200 | 9.25 | 601.41 | 1.20 | 2434.85 | 64.61 | 7.37 |
| 14 | Toluene | 454.44 | 54.29 | 9.25 | 476.0 | 1.27 | 1080.78 | 28.68 | 7.37 |
| 15 | Toluene | 363.15 | 54.29 | 9.25 | −40.49 | −0.108 | 105.33 | 2.80 | 7.37 |
| 16 | Water | 358.15 | 5.629 | 1.55 | 2659.54 | 8.637 | 137.55 | 5.90 | 11.91 |
| 17 | Water | 308.15 | 5.629 | 1.55 | 146.63 | 0.505 | 0.91 | 0.04 | 11.91 |
| 18 | Water | 278.15 | 0.873 | 1.55 | 146.63 | 0.528 | −9.58 | −0.41 | 11.91 |
| 19 | Water | 278.15 | 0.873 | 1.55 | 2510.06 | 9.025 | −272.63 | −11.69 | 11.91 |
| 20 | LiBr/H2O | 308.15 | 0.873 | 13.34 | 85.37 | 0.211 | 358.75 | 12.13 | 9.40 |
| 21 | LiBr/H2O | 308.15 | 5.629 | 13.34 | 85.37 | 0.211 | 358.75 | 12.14 | 9.40 |
| 22 | LiBr/H2O | 336.17 | 5.629 | 13.34 | 142.44 | 0.389 | 415.16 | 15.77 | 10.55 |
| 23 | LiBr/H2O | 358.15 | 5.629 | 11.79 | 217.14 | 0.463 | 986.94 | 36.11 | 10.16 |
| 24 | LiBr/H2O | 323.15 | 5.629 | 11.79 | 152.58 | 0.273 | 893.02 | 32.67 | 10.16 |
| 25 | LiBr/H2O | 323.15 | 0.873 | 11.79 | 152.58 | 0.273 | 893.02 | 32.67 | 10.16 |
| 26 | Water | 298.15 | 101.3 | 186.09 | 104.92 | 0.367 | 0 | 0 | 0 |
| 27 | Water | 303.15 | 101.3 | 186.09 | 125.82 | 0.437 | 32.25 | 6.02 | 51.83 |
| 28 | Water | 285.15 | 101.3 | 174.37 | 50.51 | 0.181 | 213.16 | 0 | 0 |
| 29 | Water | 280.15 | 101.3 | 174.37 | 29.53 | 0.106 | 413.89 | 12.58 | 8.44 |
| 30 | Water | 298.15 | 101.3 | 217.46 | 104.92 | 0.367 | 0 | 0 | 0 |
| 31 | Water | 303.15 | 101.3 | 217.46 | 125.82 | 0.437 | 37.69 | 9.97 | 73.48 |
| 32 | R245fa | 309.50 | 2200 | 5.23 | 248.14 | 1.160 | 44.37 | 3.75 | 23.49 |
| 33 | R245fa | 399.86 | 2200 | 5.23 | 486.80 | 1.80 | 294.46 | 16.93 | 15.98 |
| 34 | R245fa | 331.08 | 211.72 | 5.23 | 452.68 | 1.826 | 75.43 | 4.34 | 15.98 |
| 35 | R245fa | 308.15 | 211.72 | 5.23 | 245.81 | 1.157 | 36.30 | 2.09 | 15.98 |
| 36 | Water | 298.15 | 101.3 | 51.72 | 104.92 | 0.367 | 0 | 0 | 0 |
| 37 | Water | 303.15 | 101.3 | 51.72 | 125.82 | 0.437 | 8.96 | 6.41 | 198.54 |
| Component | (kW) | (kW) | (kW) | (%) | (USD/h) | (USD/h) | fk | rk |
|---|---|---|---|---|---|---|---|---|
| Air compressor | 3715.30 | 3441.91 | 273.40 | 92.64 | 12.68 | 6.88 | 64.85 | 0.226 |
| Air preheater | 8421.19 | 7726.17 | 695.02 | 91.75 | 18.13 | 11.06 | 62.11 | 0.237 |
| Gas turbine | 7081.87 | 6715.30 | 366.56 | 94.82 | 5.88 | 8.44 | 41.07 | 0.093 |
| Combustion chamber | 15,936.38 | 12,592.63 | 3343.75 | 79.02 | 7.89 | 40.40 | 16.33 | 0.317 |
| Biomass gasifier | 13,899.03 | 11,795.64 | 2103.39 | 84.87 | 11.25 | 13.02 | 46.35 | 0.332 |
| Vapor generator 1 | 3194.32 | 2289.65 | 904.67 | 71.68 | 7.52 | 14.40 | 34.32 | 0.602 |
| Vapor turbine 1 | 1354.06 | 1159.85 | 194.22 | 85.66 | 9.79 | 5.15 | 65.52 | 0.486 |
| Pump 1 | 55.85 | 39.87 | 15.99 | 71.38 | 1.24 | 0.63 | 66.35 | 1.192 |
| Generator | 975.45 | 709.33 | 266.12 | 72.72 | 0.35 | 7.06 | 4.71 | 0.394 |
| Condenser | 136.64 | 32.25 | 104.39 | 23.61 | 0.16 | 4.48 | 3.46 | 3.352 |
| Evaporator | 263.05 | 200.73 | 62.32 | 76.31 | 1.30 | 2.67 | 32.81 | 0.462 |
| Absorber | 261.64 | 37.69 | 223.95 | 14.41 | 1.12 | 7.58 | 12.88 | 6.820 |
| SHE | 93.92 | 56.41 | 37.51 | 60.06 | 0.20 | 1.37 | 12.46 | 0.760 |
| Vapor generator 2 | 449.75 | 250.09 | 199.66 | 55.61 | 6.02 | 3.18 | 65.46 | 2.311 |
| Vapor turbine 2 | 219.03 | 178.34 | 40.69 | 81.42 | 3.87 | 2.34 | 62.32 | 0.605 |
| Vapor condenser | 39.13 | 8.96 | 30.17 | 22.91 | 4.16 | 1.73 | 70.55 | 11.428 |
| Pump 2 | 12.17 | 8.06 | 4.11 | 66.25 | 0.54 | 0.38 | 58.72 | 1.234 |
| Performance Parameters | Unit | Value |
|---|---|---|
| HT-ORC turbine work | kW | 1159.85 |
| HT-ORC pump consumed power | kW | 55.85 |
| LT-ORC turbine work | kW | 178.34 |
| LT-ORC pump consumed power | kW | 12.17 |
| Net power output | kW | 4270.2 |
| Cooling output | kW | 3658.4 |
| Thermal efficiency | % | 66.36 |
| Exergy efficiency | % | 32.04 |
| Unit cost of the EFGT produced power | USD/GJ | 6.99 |
| Unit cost of the HT-ORC produced power | USD/GJ | 10.95 |
| Unit cost of the LT-ORC produced power | USD/GJ | 25.65 |
| Unit cost of cooling produced by the ARC | USD/GJ | 8.44 |
| SUCP of the system | USD/GJ | 8.71 |
| Parameter | Unit | Range |
|---|---|---|
| PRAC | - | |
| T3 | K | |
| CETD | K | |
| T10 | K | |
| P13 | kPa | |
| T15 | K | |
| P33 | kPa |
| Parameter | A | B | C |
|---|---|---|---|
| PRAC | 6.30 | 6.57 | 6.57 |
| T3 (K) | 1496.4 | 1340.5 | 1454.9 |
| CETD (K) | 208.5 | 299.5 | 208.5 |
| T10 (K) | 432.4 | 448.0 | 446.6 |
| P13 (kPa) | 3380.4 | 3223.2 | 3392.2 |
| T15 (K) | 359.7 | 368.1 | 361.5 |
| P33 (kPa) | 3255.2 | 3039.7 | 3127.9 |
| (kW) | 3947.2 | 4478.5 | 3990.1 |
| (kW) | 2778.6 | 4586.8 | 2853.2 |
| ηex (%) | 36.18 | 30.23 | 35.15 |
| (USD/GJ) | 9.38 | 8.48 | 8.87 |
Disclaimer/Publisher’s Note: The statements, opinions and data contained in all publications are solely those of the individual author(s) and contributor(s) and not of MDPI and/or the editor(s). MDPI and/or the editor(s) disclaim responsibility for any injury to people or property resulting from any ideas, methods, instructions or products referred to in the content. |
© 2024 by the authors. Licensee MDPI, Basel, Switzerland. This article is an open access article distributed under the terms and conditions of the Creative Commons Attribution (CC BY) license (https://creativecommons.org/licenses/by/4.0/).
Share and Cite
Ren, J.; Qian, Z.; Wang, X.; Huang, W.; Wang, B. Investigation of a Biomass-Driven Cogeneration System Integrated with an Externally Fired Gas Turbine, Organic Rankine Cycle, and Absorption Refrigeration Cycle: Thermodynamic and Exergoeconomic Analyses and Optimization. Sustainability 2024, 16, 4495. https://doi.org/10.3390/su16114495
Ren J, Qian Z, Wang X, Huang W, Wang B. Investigation of a Biomass-Driven Cogeneration System Integrated with an Externally Fired Gas Turbine, Organic Rankine Cycle, and Absorption Refrigeration Cycle: Thermodynamic and Exergoeconomic Analyses and Optimization. Sustainability. 2024; 16(11):4495. https://doi.org/10.3390/su16114495
Chicago/Turabian StyleRen, Jie, Zuoqin Qian, Xinyu Wang, Weilong Huang, and Baolin Wang. 2024. "Investigation of a Biomass-Driven Cogeneration System Integrated with an Externally Fired Gas Turbine, Organic Rankine Cycle, and Absorption Refrigeration Cycle: Thermodynamic and Exergoeconomic Analyses and Optimization" Sustainability 16, no. 11: 4495. https://doi.org/10.3390/su16114495
APA StyleRen, J., Qian, Z., Wang, X., Huang, W., & Wang, B. (2024). Investigation of a Biomass-Driven Cogeneration System Integrated with an Externally Fired Gas Turbine, Organic Rankine Cycle, and Absorption Refrigeration Cycle: Thermodynamic and Exergoeconomic Analyses and Optimization. Sustainability, 16(11), 4495. https://doi.org/10.3390/su16114495

