Abstract
The study aims to explore saline drainage modeling in coastal saline soils, particularly focusing on subsurface pipe drainage in the Shanghai coastal area. Utilizing Hydrus-2D/3D-2.05 software, dynamic changes in soil–water–salt under various subsurface pipe laying conditions in forested areas were simulated to identify optimal schemes. Indoor and outdoor experiments demonstrated the Hydrus model’s ability to effectively simulate soil–water–salt transport processes under complex conditions. Subsequent simulations under different parameters of underground pipe laying, including burial depths (D = 0.5/0.7/0.9/1.1/1.3/1.5 m) and pipe diameters (Ø = 8/10/12 cm), further corroborated model validation. Among the analyzed schemes, those with burial depths around 0.7 m and pipe diameters under 12 cm exhibited the most substantial salinity improvement. Regression analysis highlighted a significant impact of burial depth D on cumulative salt discharge, with a coefficient of 12.812, outweighing that of pipe diameter Ø. Furthermore, subsurface pipe laying schemes demonstrated long-term benefits and cost advantages, obviating the need for additional irrigation infrastructure. These findings underscore the significance of subsurface pipe drainage in enhancing soil quality, reducing construction expenses, and optimizing land utilization, providing a valuable foundation for the Shanghai Green Corridor development and related initiatives.
1. Introduction
The Fengxian area, located in the southern coastal zone of Shanghai, has been significantly impacted by high water tables and seawater salt intrusion [1]. Consequently, salt accumulation and poor drainage have occurred, rendering the soil sticky and characterized by high bulk density and low organic matter and nutrient content [2]. These unfavorable conditions fail to meet the essential growth requirements of 80% of garden plants, leading to extensive barren land in the coastal region and inefficient utilization of greening resources [3]. In order to meet the requirements of ecological corridor construction set forth in this year’s “Shanghai Ecological Corridor Construction Project Management Measures (2023)” [4], it is of great importance to improve the saline soil where the local corridor will be explored. Laying underground pipes for drainage and salt removal is an effective means commonly used in horticulture and agricultural production, and a large number of practical projects in China have proved that [5], based on the soil–water–salt relationship where “salt comes with water, salt goes with water, and salt stays when water goes away”, irrigation combined with a network of underground pipes can effectively transport out the excess salts in the soil to improve the soil environment, control the groundwater level, and control the water table, and effectively improve plant growth [6].
In the arid regions of northwestern China, saline–alkali soil poses a significant challenge. Research on subsurface pipe drainage in this area has been underway for some time, focusing on Xinjiang and the Hexi Corridor in Northwest China, aiming to improve crop growth conditions [7]. Liu et al. [8] found that the buried subsurface pipe desalination rate of mildly and moderately saline farmland in the Xinjiang region can reach 50.96% and 90.89%, respectively, but the salt content of the soil layer decreased significantly; however, the experiment adopted a random scheme and did not explore the layout parameters of the concealed pipes. Wang et al. [9] further explored the influence of subsurface pipe laying spacing (D) on soil salt drainage and proposed that the optimal pipe spacing to reduce soil salinity is 15 m. However, installing subsurface pipes for salt drainage can also result in soil nutrient loss. The spacing of the pipes is directly proportional to the amount of nutrient loss [10]. In recent years, the mainstream approach has been to utilize models combined with experiments for more comprehensive and long-term simulation studies. Ma et al. [11] employed the Hydrus-2D software to investigate subsurface pipe drainage schemes in the Yinbei Irrigation District of Ningxia. The results indicated that a depth of 0.95 m and spacing of 10 m were the optimal choices for high-quality improvement of saline–alkali soil. Under continuous leaching conditions, the soil desalination rate could reach 86%. Subsurface pipe laying has a positive impact on drainage and desalination in saline field conditions [12]. Different laying programs should be selected based on soil, water, and fertilizer conditions.
Currently, there are relatively few studies on the application of coastal saline areas in China, mainly focusing on coastal saline soils in the North China Plain. The study by Ma et al. [13] indicates that the initial desalination process of mildly saline–alkali soil (with a salt content below 0.3%) can rely on natural precipitation, and the rainfall during the rainy season in the coastal areas of Hebei Province significantly contributes to the desalination effect of mildly saline–alkali soil, but its effectiveness is limited for severely saline–alkali soil. Therefore, the subsequent experiments were mainly carried out in combination with agricultural irrigation, and the research results of Dong et al. [14] showed that the deployment of subsurface pipes can still effectively improve the effect of soil desalination even after considering the effect of crop root systems on salinity. On this basis, Yu et al. [15] found that the key time for drainage of subsurface pipes in agricultural fields is the thawing of permafrost water and the rainy season, which significantly reduces the salinity of 0–30 cm soil and produces a positive residual effect even when it is not drained. In summary, current research on the drainage of coastal soils focuses on saline farmland drainage, and exploration of drainage of mildly to moderately saline soils in seaside woodlands is still very limited, so it is important to explore the application of subsurface pipes for understory soils used for landscaping, combined with natural rainfall and deeper water table conditions, with the goal of low-cost drainage and salt removal. Therefore, this study aims to fill this research gap by investigating the effects of subsurface drainage on saline–alkali soil under natural rainfall conditions in coastal areas of Shanghai, China. It seeks to provide new insights and solutions to address soil drainage issues in the region, taking into account natural rainfall and deep groundwater conditions in forested areas.
In view of the above background, domestic research on subsurface pipe drainage law focuses on the investigation of subsurface pipe burial schemes and soil water and salt transport law [16], in which the main factors affecting the effect of subsurface drainage are the spacing, diameter, and burial depth of the subsurface pipe [17]. In this paper, we take the saline soil under the forest of Shanghai seashore as the research area and investigate the effect of subsurface pipes on soil improvement and water and salt migration law under natural precipitation conditions. Specifically, the Hydrus-2D model is combined with indoor and outdoor experiments to investigate the effects of different burial depths and pipe diameters on the soil moisture content and salt migration process, and the software is used to screen the optimal laying scheme. The aim of this study is to effectively reduce the water and salt content in the forest soil near the root system of underground plants and to support sustainable soil improvement and the construction of green corridors in seashore saline soils.
1.1. Hydrus Model and Principle
Considering that the results of field subsurface pipe research lack sufficient universality and systematicity [17], it is necessary to utilize numerical models instead of traditional experiments to systematically study soil water dynamics and salt transport processes. In recent years, the Hydrus model and its accompanying software have been widely used in long-term investigations to simulate soil water and salt transport with good simulation accuracy [18]. Hydrus software is a modeling tool developed by the U.S. Salinity Laboratory and has evolved into a series of models through many developments and updates, including Hydrus-1D, Hydrus-2D/3D, etc. In China, the Hydrus model is mainly applied to practical engineering and agricultural production research, especially to deal with soil water and salt transport processes under the influence of subsurface pipes using the flow dispersion equation [19,20,21]. Past studies have shown that Hydrus not only provides highly accurate simulation in soil improvement and irrigation management but also performs well in the simulation of saline soils under forests [18], which provides strong support for the development of water management strategies. Therefore, this paper chooses to use Hydrus-2D/3D software for subsequent simulation exploration.
1.2. Overview of the Study Area
The study area (Figure 1) is located in Fengxian District, Shanghai, within the Phase II project of the coastal saline woodland sea defense forest (30°48′21.8″ N, 121°30′07.9″ E). It is characterized by a subtropical monsoon climate, featuring abundant summer precipitation, warm and humid conditions, an average annual rainfall of 111.7 mm [22], and an average annual evaporation of 7.884 mm [23]. The soil in the test area is affected by year-round seawater impregnation, resulting in alkaline soil with a pH range of 7.95–8.17. This soil is clay loam with low aeration porosity, low bulk density, a proneness to consolidation, and poor fertility, typical of mild saline and alkaline soils [2].
Figure 1.
Schematic diagram of the study area.
The test area covers 1.4 acres and features drainage ditches, burial areas, and observation wells. The concealed pipe burial area forms a rectangular woodland measuring 38 m in length and 25 m in width. This area is subdivided into three zones: A (with a concealed pipe burial depth of 1.0 m), B (with a concealed pipe burial depth of 1.3 m), and C (control group).
Data from observation points surrounding the test area, sourced from Geocloud (https://geocloud.cgs.gov.cn/, accessed on 17 May 2023), indicate groundwater burial depths as presented in Table 1. However, due to factors such as groundwater overexploitation, the significant depth of groundwater in the test area has limited influence on the study [24]. Consequently, groundwater will not be considered further in this paper.
Table 1.
Depth of groundwater in the test area.
2. Experimental Methods
2.1. Experimental Design
This study aims to thoroughly investigate the efficacy of subsurface drainage in ameliorating saline–alkali soils’ drainage and salinity reduction in the experimental area of Shanghai. To achieve this goal, we implemented subsurface drainage systems with varying parameters alongside control groups within the field experimental area (refer to Figure 2). Under controlled conditions devoid of external interference, we analyzed field sampling data to evaluate the soil improvement effects of subsurface drainage under natural precipitation and provide authentic data for the Hydrus software simulation. The data were collected from sampling points established on both sides of the subsurface drainage pipes, and the collected soil samples were transported to the laboratory for meticulous analysis.
Figure 2.
Layout of the experimental site.
To ensure the precision of our experimental findings, it is essential to calibrate the parameters of the Hydrus model and validate them against experimental data. Consequently, we conducted indoor soil column experiments to ascertain the fundamental soil parameters, followed by outdoor synchronous experiments. Employing the Hydrus model with refined parameters, we simulated the data collected from outdoor experiments and meticulously compared the simulation results with the experimental data for validation. Subsequent to confirming the model’s efficacy, we further utilized it to accurately simulate and predict the soil water–salt migration effects under various external conditions, thereby facilitating the selection of the subsurface drainage layout scheme with the most optimal comprehensive effects.
2.1.1. Subsurface Pipe Laying Program
In the experimental area, subsurface pipes were installed at depths of 1.3 m and 1.0 m, respectively, while open ground served as the control group. The pipes were spaced 6 m apart and buried at a 5° angle. DN80 mm polyethylene (HDPE) single-wall corrugated pipes, with an inner diameter of φ80 mm, were utilized. These pipes were equipped with φ1 cm drainage holes and a 5 mm thick PP filter to prevent soil clogging. Each pipe was connected to drainage canals on both sides, with two sets of repetitions. Additionally, at each pipeline terminal, polyethylene (PE) plastic infiltration observation wells, measuring 60 cm in diameter and 1.2 m deep, were installed to monitor subsurface pipe burial and adjacent soil conditions.
2.1.2. Sampling and Experimental Programs
Soil samples were collected from depths of 0–20 cm, 20–40 cm, and 40–60 cm at distances of 1 m, 2 m, and 3 m from the vertical axis of the pipe, respectively. These samples were then analyzed in the laboratory to determine their water content and salinity, serving as the foundational parameters for constructing the software model. Please refer to Figure 2 for a visual representation of the sampling locations. Sampling was conducted once at the start of each month, and the data measured on 1 June 2023 served as the initial reference data.
Meteorological information for this study relied on local weather stations. In the experiment, the bulk density of the soil was determined by the ring knife method, the water content of the soil was determined by the drying method in the laboratory, and the salinity of the soil was determined by the conductivity method with a water/soil ratio of 5:1, converted according to Equation (1) [24], in which the soil solution was measured by an EC meter (Shanghai Lichen CT-2), and the results of the measurements are shown in Table 2.
where Q is the soil salinity (), and EC is the soil computerization rate ().
Table 2.
Soil physical parameters of the test area.
2.2. Hydrus Model Setup
2.2.1. Fundamental Equations of Soil Water Movement
The Richards equation (1931) [25] is a fundamental tool for describing soil moisture movement and is widely used to study water percolation and movement in soils [26]. In Hydrus-2D, the model ignores the role of air in the moisture flow process and utilizes the modified Richards equation to describe the water movement in the saturated and unsaturated zones [19], thus simulating the complex dynamic process of saturated–unsaturated water flow [27]. The modified Richards equation ignores the role of air in the moisture flow process and can be written in the following form:
where θ is the volume water content of the soil (cm3/cm3); t is the time (min); K is the saturated hydraulic conductivity (cm/d); z is a one-dimensional vertical coordinate (cm); K(h) is the unsaturated water content of the soil (cm/s); h is the pressure head (CM); is the component of the i-th principal component of the dimensionless tensor KA in the j-direction; and the source and sink term S (d−1) is used to explain root water uptake.
A two-dimensional convective dispersion equation is used in the Hydrus model to describe soil salt transport:
where C is the salinity of the soil solution (); is the volume water content of soil ( q is soil water flux (; t is the simulated time (d); and D is the hydrodynamic dispersion coefficient (.
The Van Genuchten equation (1980) was used to fit the soil water characteristics and unsaturated hydraulic conductivity:
where is the saturated hydraulic conductivity (; is soil residual water content; n, m, and α are the hydraulic function shape determining coefficients; is the effective saturation; is the saturated hydraulic conductivity (); and l is the pore correlation parameter, taking the value 0.5 [28,29].
2.2.2. Modeling of Root Water Uptake
The source and sink term S in Equation (2) represents the most commonly used water uptake reduction model in the Hydrus-2D model. It uses Feddes’ water stress response function or S-type function to define the potential water uptake of roots as the actual water uptake [30]. It defines the source and sink terms S as follows:
where is the seepage head (cm), which is the linear combination of all solute concentrations; is the root water uptake stress response function; and is the potential water uptake rate (d−1).
The Feddes model is a segmented function. Here, represents the anaerobiosis point, signifying that root water uptake ceases when soil matric potential falls below this threshold. Similarly, denotes the wilting point, indicating a cessation of root water uptake when soil matric potential exceeds this value. Within the range of and , root water uptake is maximized. Between and , root water uptake linearly increases with decreasing soil water potential (i.e., increasing soil matric potential). Conversely, between and , root water uptake linearly decreases with decreasing soil water potential (i.e., increasing soil matric potential).
The Hydrus model uses root water uptake parameters, root distribution parameters, and root growth parameters to manage the whole root water uptake simulation. In addition to the values of root water uptake parameters measured by experiments, Hydrus software also provides a parameter database specifically used for the Feddes water stress response function and salt stress function [20]. In this study, we selected one of the deciduous fruit water uptake model-related model parameters detailed in Table 3.
Table 3.
Deciduous fruit model root water uptake parameters.
2.3. Indoor Soil Column Experiment Rate Determination
In the laboratory, calibration experiments were performed on the Hydrus software using equipment such as acrylic soil columns and Mariotte bottles [31]. The experimental setup is shown in Figure 3, where the indoor soil column is a custom-made acrylic column with a height (H) of 45 cm and a diameter (D) of 10 cm. It was filled with air-dried soil samples, sieved through a 5 mm mesh, which were collected from the outdoor experimental area. Crushed stones were placed on the surface to prevent the impact of water flow. During the experiment, a continuous supply of water was provided using Mariotte bottles, maintaining a constant pressure head of 10 cm above the soil column. The water used in the experiment had an electrical conductivity (EC) value of 0.60 mS/cm. The experiment lasted a total of 90 h, during which time the Hydrus software was used simultaneously for computer simulation. At the end of the experiment, soil samples were taken layer by layer, and the soil moisture and total salt content were measured and compared with the results of the Hydrus simulation. The distribution of soil moisture/salt content in the soil column at the end of the experiment is shown in Figure 4, and the results of the soil hydraulic model parameters calibrated in this experiment are shown in Table 4.
Figure 3.
Experimental device schematic.
Figure 4.
Water/salt content of the soil column at the end of the soil column test.
Table 4.
Soil hydraulic characteristics and solute transport parameters.
The model accuracy was evaluated using root mean square error (RMSE) and coefficient of determination (R2) [32,33], with the following formulas:
where is the simulated value; is the measured value; is the average of the measured values; and n is the total number of samples taken.
It can be seen from the figure that the RMSE value in this experiment is small, which indicates that the simulated value is close to the measured value. The value of R2 is close to 1, which shows that the simulated soil water and salt value is in good agreement with the measured value, and it can simulate the salt discharge in the buried pipe under leaching conditions [34]. Because the form of soluble salt is relatively stable, when using Hydrus software to simulate water and salt transport, usually only the hydraulic parameters of solute transport with water are determined [19]. Therefore, this experiment only explores the dynamic changes in soil moisture and total salt, and the subsequent experiments use the calibrated soil hydraulic parameters for numerical simulation.
2.4. Validation of Outdoor Field Experiments
In order to better reflect the real complex soil conditions, short-term outdoor experiments were conducted in the experimental area to validate the Hydrus model and calibrated parameters [34]. Due to the complex nature of the backfilled soil and groundwater salinity in the experimental area, this simulation only examines the shallow soil layer (0–60 cm), which is strongly influenced by plant growth. According to the experimental method outlined in Section 2.1.2, samples were taken to measure the moisture and salinity content of the soil samples, and these data were used as the initial values for the experiment. The initial distribution of soil moisture and salinity is shown in Figure 5.
Figure 5.
Distribution of initial soil moisture/salinity.
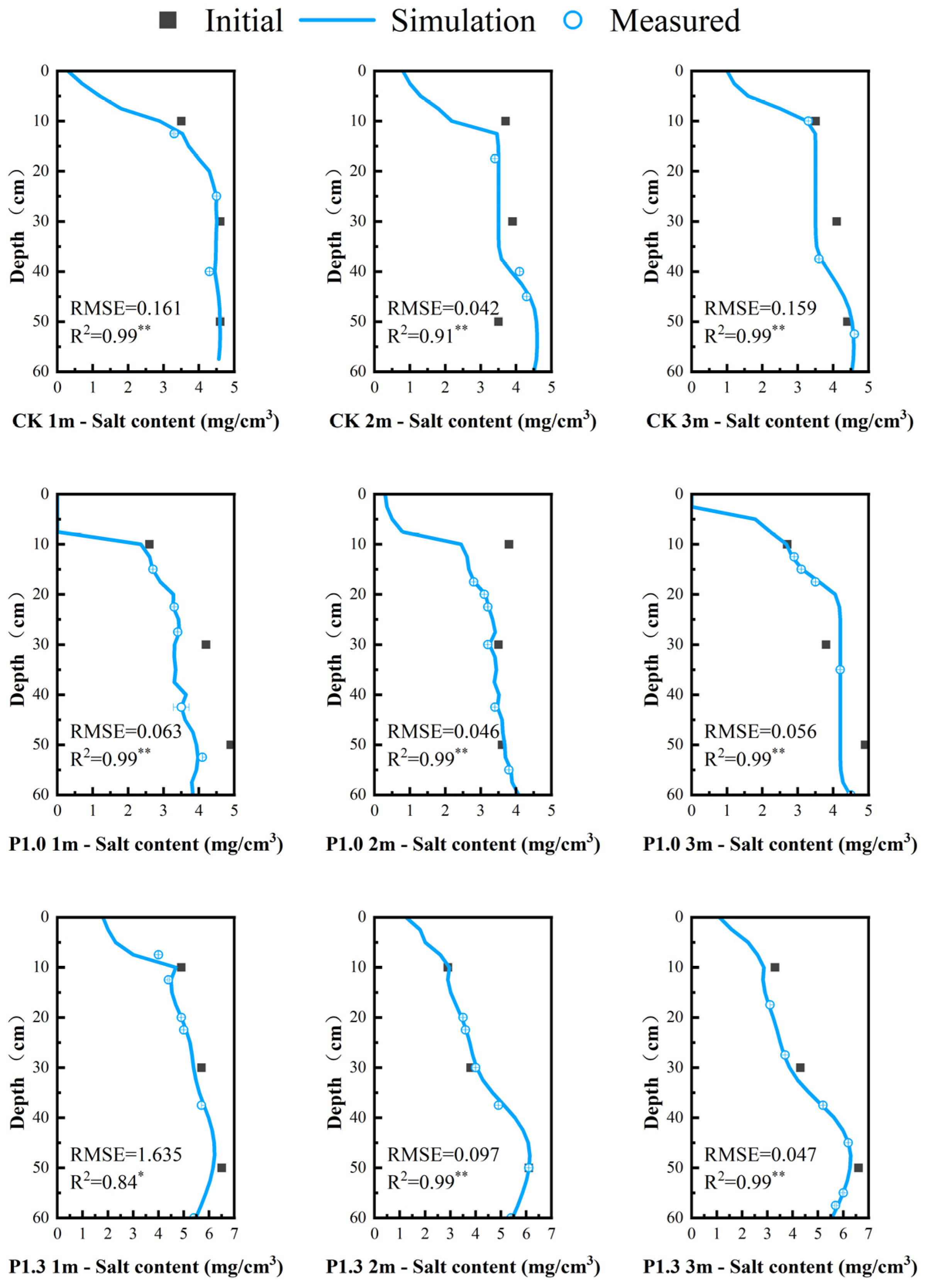
In the experiment, we accurately recorded the daily local precipitation and evaporation data (Figure 6) and used Hydrus-2D software to input the same initial values and meteorological data for data simulation. After 7 days, the sample was taken again and soil water and salinity data were measured. See Figure 7, Figure 8 and Figure 9 for the results of the measured and simulated data; CK was the blank control group, and P1.0 and P1.3 were the underground pipe experimental groups with burial depths of 1.0 m and 1.3 m, respectively.
Figure 6.
Rainfall and measured evaporation in the test area between 5.23 and 6.01.
Figure 7.
Distribution of soil water content at the end of the experiment.
Figure 8.
Distribution of soil salinity at the end of the experiment.
Figure 9.
Comparative map of soil moisture/salt distribution under different subsurface pipe systems.
In Figure 7 and Figure 8, * indicates R² values less than 0.9, while ** indicates R² values greater than 0.9. The closer the R² value is to 1, the better the fit.
During the experiment, the soil underwent a complex process of surface salt return, rainfall salt leaching, and subsequent re-evaporation-induced salt return influenced by rainfall and surface plant transpiration. This resulted in dynamic changes in moisture content, first increasing and then decreasing. At the end of the experiment, Figure 7 and Figure 8 illustrate the distribution of water and salt at different soil depths. Compared to the initial conditions, the total water and salt content of the soil above 60 cm decreased due to the drainage and salt removal effects of the subsurface pipes, while the effectiveness of soil dehydration and desalination decreased with increasing depth and horizontal distance from the pipe facilities.
The RMSE coefficients of this soil moisture simulation range from 0.20 to 2.66 (cm3/cm3), while most of the R2 values equal 0.99, and only three items are low, which are also between 0.88 and 0.98. The RMSE coefficients of total soil salinity simulation ranged from 0.04 to 1.63 (mg/cm3), only two items of R2 are below 0.99, and the lowest value is 0.84. The above data show that the simulation results of soil water and salt in this experiment are quite consistent with the actual measured values. The Hydrus model performs well in simulating outdoor climate and complex soil conditions, showing its good applicability in simulating the change in soil water and salt in Fengxian Seashore.
The parallel comparison of the two schemes (Figure 9) shows that the difference in drainage performance between the two burial depths is not significant: the drainage performance of the concealed pipe scheme at 1.0 m burial depth is slightly better than that of the 1.3 m scheme. As the soil depth increases, the gap in drainage performance gradually widens. However, this difference decreases as the distance from the subsurface pipe increases, with the water distribution gradually approaching that of the control group, indicating that the lateral influence range of the pipe on soil drainage is very limited, less than half of the buried distance (3 m); in terms of salt removal, the subsurface pipe laying scheme at 1.3 m burial depth exhibits significant desalination effects in soil layers above 30 cm, but the soil water’s salt content gradually increases in the 30–60 cm depth, with a salt peak appearing at 50 cm depth. As the distance from the pipe increases, the peak salinity gradually increases and even exceeds that of the control group, which may be influenced by inhomogeneous initial conditions (Figure 5). In contrast, the subsurface pipe scheme with a burial depth of 1.0 m shows better salt removal effects, with no observed salt peaks in the soil layers, indicating superior desalination effects.
Overall, the subsurface pipes buried at a depth of 1.0 m show superior performance in terms of drainage and salt removal. However, due to the limitations of the experimental site conditions, there are too few comparative schemes with different burial depths for underground pipes. Therefore, software simulations are used in the following sections for further investigation.
3. Modelling Application
The above research indicates that the Hydrus-2D model can effectively simulate soil water and salt migration both indoors and outdoors. Therefore, further investigation of the effects of the underground pipes on soil improvement under different scenarios or conditions is considered necessary. Based on previous research results, if the groundwater depth is significant and the subsurface pipes are located in unsaturated soil areas, the limited catchment area results in only nearby soil moisture and solutes entering the subsurface pipes. This results in the pipe spacing having a minimal influence on soil improvement under natural rainfall conditions, a conclusion consistent with simulation results [35]. Therefore, the factor of subsurface pipe spacing was not considered in this simulation. Instead, the focus was on exploring the effects of different burial depths (D) and pipe diameters (Ø) on soil improvement. Referring to the Irrigation and Drainage Engineering Design Standards of the People’s Republic of China (GB 50288-2018) [36] and previous experimental conclusions in the literature [37,38], 10 hypothetical scenarios were determined, with an additional group set as a blank control group without buried pipes. The specific simulation scenarios and corresponding parameters for the subsurface pipe layout are detailed in Table 5.
Table 5.
Simulation scenario setup.
3.1. Hydrus Model Setup
3.1.1. Two-Dimensional Model Building
In order to investigate the long-term improvement effect of different systems, the simulation time was set to 20 d. The two-dimensional simulation study area was established by taking half of the distance of the subsurface pipes (6 m), with the simulation width of AG = EF = 300 cm, the simulation depth of the backfill in the test area as the standard, the depth of AE = GF = 300 cm, and the arc BCD representing the pipes. A triangular finite element mesh was created in the area, in which the unit nodes were densely placed near the subsurface pipe, and the node spacing gradually increased from the pipe to the peripheral area, expanding from 1.5 cm to 5 cm. A total of 7219 nodes and 14,110 units were formed after the dissection was completed.
3.1.2. Boundary and Initial Conditions
The moisture boundary conditions of the model are shown in Figure 10. The upper boundary AG represents the atmospheric boundary, which varies with time. Changes in the atmospheric boundary conditions are shown in Figure 11. The boundary BCD is considered the seepage boundary. The left and right boundaries (AE, GF) are set to zero flux boundaries due to symmetry, neglecting the horizontal flux. Below the EF boundary, within 150 cm of the subsurface pipe, groundwater flow is approximately horizontal, so vertical flux is ignored and it is also set as a zero-flux boundary [32,39,40].
Figure 10.
Model setup schematic.
Figure 11.
Atmospheric boundary condition setup.
In the modeling process, a simplified model was established based on the actual situation: the experimental area 0–300 cm is backfill soil, so the average value of the measured data in May 2023 (Figure 5) was taken as the initial condition for the soil simulation. The effect of temperature on the response was not considered; the effect of the atmosphere on the movement of water flow in the soil was not considered; and only the transport of water and salts in the soil was considered without considering the movement of water vapor in the soil [41]. In addition, to optimize the soil model, a VSL (virtual soil layer) with a thickness of 1 cm was added around the model subsurface pipe to simulate the geotextile layer outside the pipe, and the model parameters are shown in Table 6 [42].
Table 6.
Parameters of the VSL virtual soil model.
3.2. Model Results Analysis
At the end of the simulation, the soil profile water and salt distribution under different scenarios can visually reflect the results of water and salt transport with different subsurface pipe layouts. Figure 12 and Figure 13 show the simulation results of the soil profile water and salt content at different distances (h = 10 cm, 50 cm, 100 cm) at the end of the simulation. Since the variation in salt content in soil layers below 100 cm is minimal, only changes in salt content in the 0–100 cm soil depth are shown. Overall, the influence of the subsurface pipes on the soil moisture distribution is greater than their influence on the salt distribution. In the 0–60 cm depth range, there is a significant overall desalination effect in the soil as moisture penetrates deeper into the soil. However, beyond a distance of 50 cm from the pipes, both drainage and desalination effects diminish, resulting in a decreased disparity in water and salt distribution among various systems, aligning with the findings of Li et al. [43].
Figure 12.
Soil water content distribution at different distances at the end of the simulation.
Figure 13.
Soil salt content distribution at different distances at the end of the simulation.
Observing Figure 12, rainfall during the experiment resulted in an overall increase in soil moisture, particularly noticeable in the layers above 100 cm. However, within an area of about 30 cm around the subsurface pipe at various depths, the convergence effect of the pipe significantly reduced soil moisture, forming a small peak about 20 cm above the pipe. The height of this peak gradually increased before a burial depth of 1.1 m and then decreased in the range of 1.1–1.5 m underground. As the burial depth increased, the soil moisture in deeper layers gradually decreased, indicating that the subsurface pipe effectively drained around the deep soil but had minimal effect on the shallow soil. In the near-pipe profile representation, schemes D0.5 and D0.7 showed the most significant drainage effects in shallow soil layers. Schemes D0.9 and D1.1, buried at approximately 1.0 m, showed similar effects, with some water accumulation observed at depths of 20–100 cm, indicating relatively poor overall drainage. Conversely, schemes D1.3 and D1.5 showed poor drainage performance above 120 cm but with minimal changes in water peaks, indicating optimal drainage in deep soil layers. Overall, the optimum drainage effect of a subsurface pipe occurs in soil areas approximately 60 cm vertically and 100 cm laterally from the pipe burial depth.
Observing Figure 13, while the overall desalination effect of the soil is significant, there is little difference in the desalination effect among the different schemes. In the shallow soil layers of 0–60 cm, scheme D0.5 performs best, but due to its shallow burial depth, it cannot effectively desalinate soil below 60 cm, and the convergence distance is close (<50 cm); scheme D0.7 follows, with lower salt peaks, significantly lower than the control in the entire soil layer, demonstrating good overall performance. Schemes D0.9 and D1.1 show poor desalination effects in shallow soil layers, with slight salt accumulation. Deeper burial schemes (D1.3, D1.5) show no significant desalination effect in shallow soil layers, with most of the salt entering deeper soil layers with the water, similar to the control group. Similarly, as the distance from the subsurface pipe increases, the influence of burial depth on salt distribution decreases, with a limited effect on soil desalination. Combining the previous discussion, scheme D0.7 of the subsurface pipe shows excellent overall soil drainage and desalination performance, but there is a water peak about 20 cm above the pipe, and due to the burial depth, its deep drainage effect is limited.
In addition, Figure 14 and Figure 15 provide detailed insight into the effect of different pipe diameters on soil water and salt distribution based on the D0.7 scheme. Overall, the trends in water and salt distribution are similar to previous studies. In terms of drainage, the Ø12 subsurface pipe performs better; however, when the soil depth exceeds 100 cm, the drainage effect of Ø10 is inferior to that of Ø8. However, in soil layers below 120 cm, its drainage effect surpasses the former two. In terms of desalination, subsurface pipes of different diameters all exhibit significant desalination effects, although compared to burial depth, the range of diameter influence on soil water and salt distribution and the differences in desalination effects are relatively small, with Ø12 and Ø10 slightly superior to Ø8. Looking at the cumulative desalination effects (Figure 16), there is a proportional relationship between diameter and desalination effect, with increases of 12.71% and 9.46% for Ø12 and Ø10, respectively. The trend of increase suggests that a further increase in diameter may reduce the effectiveness.
Figure 14.
Soil water content distribution of different pipe sizes at the end of the simulation.
Figure 15.
Soil salt content distribution of different pipe sizes at the end of the simulation.
Figure 16.
Comparison of cumulative salt discharge from culverts with different pipe diameters.
The results shown in Figure 17 clearly illustrate the cumulative solute flux at the drainage surface for different burial depth schemes during the simulation process, which in this experiment represents the total soluble salt content discharged from the soil through the subsurface pipe. As shown in the figure, as the burial depth of the subsurface pipe increases, the cumulative salt discharge increases significantly, with the increment gradually increasing and yet to reach its peak. The D1.5 scheme has the highest cumulative salt discharge, which is 3.6 times that of D0.5, while the differences in cumulative salt discharge among the shallower burial depth schemes, D0.5, D0.7, D0.9, and D1.1, are relatively small, with an increase of only about 20%. This emphasizes that moderate increases in the burial depth of the subsurface pipes can effectively enhance the desalination effect in soil desalination processes.
Figure 17.
Comparison of cumulative salt discharge from culverts with different burial depths.
According to Figure 16 and Figure 17, regression analysis was conducted on the cumulative simulated salt flux at the end of the experiment (t = 20 d), with the results shown in Equation (11).
cum. solute flux = −6.338 + 12.812D + 0.436Ø (R2 = 0.900)
In this equation, the dependent variable is the cumulative simulated salt flux (g/cm), and the burial depth D (m) and pipe diameter Ø (cm) serve as the two independent variables. The constant term is −6.338.
With an R2 value of 0.900, the model’s high coefficient of determination indicates the strong credibility of the regression equation for soil cumulative simulated salt flux. Upon conducting an F-test on the model, it was found to be statistically significant (F = 22.560, p = 0.003 < 0.05), confirming its validity. Specifically, the regression coefficient for burial depth D was 12.812 (t = 6.522, p = 0.001 < 0.01), signifying a significant positive relationship with flux, surpassing the impact of pipe diameter φ, whose regression coefficient was 0.436 (t = 0.956, p = 0.383 > 0.05). This underscores the crucial role of burial depth in influencing salt discharge, consistent with earlier conclusions. It demonstrates the pivotal role of burial depth in influencing salt discharge and suggests further research to explore other factors affecting salt flux and validate the efficacy of different drainage parameters under varying environmental conditions.
4. Results and Discussion
4.1. Influence of Burial Depth (D) on the Effectiveness of Amelioration
In order to explore the optimal subsurface pipe installation scheme for the coastal soils under Fengxian Forest, this study primarily investigates the effects of subsurface pipe burial depth and diameter on salt drainage efficiency. The study’s findings suggest that subsurface drainage can significantly improve saline soil under natural precipitation conditions in Shanghai’s coastal area. The optimal burial depth and pipe diameter of the subsurface drainage system were found to be D0.7 m and Ø12 cm, respectively. The analysis of experimental results is as follows.
The experiment includes blank control and 10 different schemes with different burial depths (D0.5, D0.7, D0.9, D1.1, D1.3, D1.5) and pipe diameters (Ø8, Ø10, Ø12). Simulation results show a significant improvement in overall desalination and drainage efficiency with increasing burial depth. In contrast to the effect on soil moisture distribution, the simulation results for soil salinity are quite similar among different schemes, indicating that burial depth has a relatively small effect on salt drainage, consistent with the findings of Yang et al. [44]. Among these schemes, subsurface pipes buried at a depth of approximately 0.7 m show the most effective soil improvement within the target soil area. However, schemes with depths of D0.9 and below show limited soil improvement effectiveness, particularly schemes D0.9 and D1.1, which have moisture and salinity peaks higher than the control group. In addition, the effects of D1.3 and D1.5 on salt distribution within the 0–60 cm soil layer are nearly identical. This trend suggests that excessively deep burial depths may not enhance soil improvement and could potentially weaken salt drainage effectiveness. In contrast, burial depths around 0.7 m not only show excellent desalination performance but also have relatively lower installation costs, making them the preferred choice for soil improvement in Fengxian coastal gardens in Shanghai.
4.2. Influence of Pipe Diameter on the Effectiveness of the Improvement
In this study, the influence of different pipe diameters on the salt drainage effect was investigated, and three groups of pipe diameters Ø8, Ø10, and Ø12 were set up for further investigation by using the burial depth scheme of D0.7 in the previous paper. The simulation results show that different pipe diameter schemes have significant drainage and salt removal effects, among which the Ø12 subsurface pipe performs better; however, the differences in salt removal effects between different schemes are small for soil salt distribution, which is consistent with the results of Qian et al. [45]. From the perspective of the cumulative salt removal effect, although pipe diameter and salt removal effect have a positive relationship, the increase gradually decreases, showing a decreasing trend. This suggests that a moderate increase in pipe diameter can improve the salt removal effect, but too large a pipe diameter does not necessarily lead to more significant improvement.
4.3. Discussion of Findings
Although research on the use of subsurface pipes to remove excess water and salt from the soil has been ongoing for some time [7], in China, this approach has only been implemented in certain regions, mainly in the northwest [8] and along the east coast [46], where saline and alkaline conditions are particularly severe. It is primarily integrated with agricultural practices, using a combination of irrigation and drainage to achieve soil desalination and increase crop yields [19]. While subsurface pipes have proven effective in these applications, there remains a gap in their use to improve medium- and low-saline soils in landscaping. Despite the potential advantages of subsurface pipes, such as low cost and long-term effectiveness [47], they are underutilized in many coastal saline soils due to poor irrigation conditions and minimal saline drainage requirements, where the focus is on landscaping rather than agricultural production. Lu et al. [48] conducted a study on the long-term effects of saline drainage in wheat fields using Hydrus modeling and demonstrated its effectiveness in this context. Li et al. [35,49] found that when the water table is significantly lower than the buried depth of the subsurface pipe, reducing the spacing of the subsurface pipe to about 100 cm can maximize the desalination effect due to the limited catchment area of the pipe. This is consistent with the results of this paper, which indicate that the confluence of subsurface pipes in unsaturated soil layers occurs within about 60 cm vertically and about 100 cm laterally. However, excessively reducing the spacing between subsurface pipes for cost reasons would significantly increase project costs and undermine the original purpose of their application. Therefore, this factor was not explored in depth in this paper.
5. Conclusions
- (1)
- Hydrus-2D/3D software shows excellent applicability in simulating water and salt transport in coastal saline soils under forests in Fengxian, Shanghai. The range of RMSE coefficients varies from 0.04 to 1.63, with the R2 values in most cases reaching as high as 0.99, demonstrating its outstanding reliability in field applications and providing solid support for future research.
- (2)
- In cases where the groundwater level is relatively deep, the improvement of water and salt in the shallow soil layer (0–60 cm) under the coastal forests in Fengxian is mainly related to the burial depth when using subsurface pipes. Pipes buried at a depth of 0.7 m with a diameter of 12 cm perform best. Furthermore, a burial depth of 1.5 m leads to more uniform soil amelioration and higher salt removal rates in the deeper soil layers, albeit with a relatively modest overall increase in cumulative simulated salt flux. Regression analysis reveals that the burial depth (D) significantly influences soil salt discharge, with a regression coefficient of 12.812, indicating its pronounced impact on soil salt emission. In contrast, the effect of pipe diameter on salt discharge is not significant, consistent with previous conclusions.
- (3)
- Based on observations within the experimental area, concealed pipe laying schemes offer long-term effectiveness and cost advantages without relying on other facilities such as irrigation or drip irrigation. This study aims to provide a scientific basis for the development of green corridors and the optimization of subsurface drainage and salt discharge schemes in coastal areas, which can help improve soil quality and reduce construction costs. Furthermore, the study endeavors to furnish practical technical insights for future landscape soil rehabilitation and the establishment of ecological corridors.
- (4)
- Field measurements reveal variations in soil homogeneity across the experimental area, with subsurface pipe installation causing significant soil disturbance and yielding inconsistent construction results. These issues significantly diminish the efficacy and durability of subsurface drainage systems. Thus, it is essential to continuously refine models in future research endeavors to augment their precision and relevance in predicting soil water movement. Additionally, further investigation into the long-term simulation outcomes is warranted.
Author Contributions
Software, Y.W.; formal analysis, Y.W.; investigation, Q.M. and C.Z.; data curation, Y.W.; writing—original draft, Y.W.; writing—review & editing, H.S.; supervision, H.S. All authors have read and agreed to the published version of the manuscript.
Funding
This research received no external funding.
Institutional Review Board Statement
Not applicable.
Informed Consent Statement
Not applicable.
Data Availability Statement
Data generated and/or analyzed during the current study are available from the corresponding author upon reasonable request. All original data can be accessed by contacting Wang Yuying at 13920455681@139.com.
Conflicts of Interest
The authors declare no conflicts of interest.
References
- Ma, B. Experiment and Simulation on Soil Water and Salt Transport under Drip Irrigation in Tianjin Coastal Area. Master’s Thesis, Tianjin Agricultural University, Tianjin, China, 2020. [Google Scholar]
- Kou, Y.; Dai, J.; Liu, S.; Wu, W.; Chen, J. Microbialproperty improvement of saline-alkali soil for vegetable cultivation in Shanghai coastal area and its evaluation. J. Shanghai Norm. Univ. (Nat. Sci.) 2015, 44, 599–605. [Google Scholar]
- Wei, F.; Xia, R.; Qian, J.; Shen, Z. Exploration on the Practice and Law of Greening Salty Soil in Shanghai Coastal Area; Shanghai Scientific & Technical Publishers: Shanghai, China, 2011. [Google Scholar]
- Shanghai Municipal Administration of Gardening and Landscaping; Shanghai Development and Reform Commission; Shanghai Municipal Finance Bureau. Management Measures for Shanghai Ecological Corridor Construction Projects; Shanghai Municipal Administration of Gardening and Landscaping: Shanghai, China; Shanghai Development and Reform Commission: Shanghai, China; Shanghai Municipal Finance Bureau: Shanghai, China, 2023.
- Wang, S.; Wang, X.; Brown, L.C.; Qu, X. Current status and prospects of agricultural drainage in China. Irrig. Drain. 2007, 56, S47–S58. [Google Scholar] [CrossRef]
- Zhou, H.; Zhang, L.; Yu, F.; Li, P. Summary and prospect of saline-alkali land improvement technology in China. Xiandai Nongye Keji|Mod. Agric. Sci. Technol. 2007, 159–161+164. [Google Scholar]
- Gupta, S.K. Drainage Engineering: Principles and Practices; Scientific Publishers: Jodhpur, India, 2019. [Google Scholar]
- Liu, Y.; Yang, H.; Wang, K.; Lu, T.; Zhang, F. Shallow subsurface pipe drainage in Xinjiang lowers soil salinity and improves cotton seed yield. Trans. Chin. Soc. Agric. Eng. 2014, 30, 84–90. [Google Scholar]
- Wang, Z.; Heng, T.; Li, W.; Zhang, J.; Zhangzhong, L. Effects of subsurface pipe drainage on soil salinity in saline-sodic soil under mulched drip irrigation. Irrig. Drain. 2020, 69, 95–106. [Google Scholar] [CrossRef]
- Zhou, L.; Li, R.; Miao, Q.; Dou, X.; Tian, F.; Yu, D.; Sun, C. Effects of Underground Drainage Pipe Spacing on Salt and Alkali Characteristics and Fertility of Heavy Saline Soil in Hetao Irrigation Area. Soils 2021, 53, 602–609. [Google Scholar] [CrossRef]
- Ma, J. Research on Water-Salt Migrating Characteristics under the Subsurface Pipe Drainage of Shallow-Tight Type in Yinbei Irrigation Area. Master’s Thesis, Ningxia University, Yinchuan, China, 2023. [Google Scholar] [CrossRef]
- Valipour, M.; Krasilnikof, J.; Yannopoulos, S.; Kumar, R.; Deng, J.; Roccaro, P.; Mays, L.; Grismer, M.E.; Angelakis, A.N. The Evolution of Agricultural Drainage from the Earliest Times to the Present. Sustainability 2020, 12, 416. [Google Scholar] [CrossRef]
- Ma, F.J.; Tan, L.M.; Liu, H.T.; Yu, S.H.; Liu, H.J.; Yuan, Y.; Liu, J.T. Evaluation of the rainfall effectiveness for reclaim of saline soil by subsurface pipe drainage system in coastal saline regions of Hebei Province. Zhongguo Shengtai Nongye Xuebao/Chin. J. Eco-Agric. 2011, 19, 409–414. [Google Scholar] [CrossRef]
- Fang, D.; Guo, K.; Ameen, A.; Wang, S.; Xie, J.; Liu, J.; Han, L. A Root Density Tradeoff in an Okra-Assisted Subsurface Pipe Drainage System for Amelioration of Saline Soil. Agronomy 2022, 12, 866. [Google Scholar] [CrossRef]
- Yu, S.; Liu, J.; Eneji, A.E.; Han, L.; Tan, L.; Liu, H. Dynamics of Soil Water and Salinity Under Subsurface Drainage of a Coastal Area With High Groundwater Table in Spring and Rainy Season. Irrig. Drain. 2016, 65, 360–370. [Google Scholar] [CrossRef]
- Li, G.; Li, X.; Chi, D. Development status and dynamics of domestic and international subsurface pipe drainage. Agric. Technol. 2003, 65–71. [Google Scholar]
- Liu, Y.; Ao, C.; Zeng, W.; Srivastava, A.K.; Gaiser, T.; Wu, J.; Huang, J. Simulating water and salt transport in subsurface pipe drainage systems with HYDRUS-2D. J. Hydrol. 2021, 592, 125823. [Google Scholar] [CrossRef]
- Fan, Y.-W.; Huang, N.; Zhang, J.; Zhao, T. Simulation of Soil Wetting Pattern of Vertical Moistube-Irrigation. Water 2018, 10, 601. [Google Scholar] [CrossRef]
- ZGao; Zhong, R.; Yang, S.; Li, X.; Yang, X. Recent Progresses in Research and Applications of Hydrus Model in China. Soils 2022, 54, 219–231. [Google Scholar] [CrossRef]
- Šimůnek, J.; Šejna, M.; van Genuchten, M.T. New features of version 3 of the HYDRUS (2D/3D) computer software package. J. Hydrol. Hydromech. 2018, 66, 133–142. [Google Scholar] [CrossRef]
- Li, X.; Zuo, Q.; Shi, J.; Alon, B.; Wang, S. Evaluation of salt discharge by subsurface pipes in the cotton field with film mulched drip irrigation in Xinjiang, China I. Calibration to models and parameters. J. Hydraul. Eng. 2016, 47, 537–544. [Google Scholar] [CrossRef]
- Huang, Q.J.; Wang, H.W.; Li, P.; Zhu, J.J.; Chen, B.S. Analysis of Planting Herbal Energy Plants Suitable to the Saline-alkali Mudflats in Shanghai Areas. J. Shanghai Inst. Technol. (Nat. Sci.) 2012, 12, 210–213+239. [Google Scholar]
- Chen, S. Remote Sensing Analysis of Urban Evapotranspiration in Shanghai. Master’s Thesis, East China Normal University, Shanghai, China, 2011. Available online: https://kns.cnki.net/KCMS/detail/detail.aspx?dbcode=CMFD&dbname=CMFD2011&filename=1011130669.nh&v= (accessed on 8 April 2024).
- Fu, X. Analysis and countermeasures of groundwater management in Shanghai. China Water Resour. 2022, 36–38. [Google Scholar]
- Richards, L.A. Capillary conduction of liquids through porous mediums. Physics 2004, 1, 318–333. [Google Scholar] [CrossRef]
- van Dam, J.C.; Feddes, R.A. Numerical simulation of infiltration, evaporation and shallow groundwater levels with the Richards equation. J. Hydrol. 2000, 233, 72–85. [Google Scholar] [CrossRef]
- Šimůnek, J.; Köhne, J.M.; Kodešová, R.; Šejna, M. Simulating nonequilibrium movement of water, solutes and particles using hydrus—A review of recent applications. Soil Water Res. 2008, 3, S42–S51. [Google Scholar] [CrossRef]
- Chen, N.; Li, X.; Šimůnek, J.; Shi, H.; Hu, Q.; Zhang, Y. Evaluating soil nitrate dynamics in an intercropping dripped ecosystem using HYDRUS-2D. Sci. Total Environ. 2020, 718, 137314. [Google Scholar] [CrossRef] [PubMed]
- Kandelous, M.M.; Šimůnek, J. Numerical simulations of water movement in a subsurface drip irrigation system under field and laboratory conditions using HYDRUS-2D. Agric. Water Manag. 2010, 97, 1070–1076. [Google Scholar] [CrossRef]
- Feddes, R.A.; Kowalik, P.J.; Zaradny, H.; Feddes, R.A.; Kowalik, P.J.; Zaradny, H. Simulation of Field Water Use and Crop Yield; Centre for Agricultural Publishing and Documentation: Wageningen, The Netherlands, 1978. [Google Scholar]
- Fan, Y.; Huang, N.; Gong, J.; Shao, X.; Zhang, J.; Zhao, T. A Simplified Infiltration Model for Predicting Cumulative Infiltration during Vertical Line Source Irrigation. Water 2018, 10, 89. [Google Scholar] [CrossRef]
- Liu, L.; Zhang, J.; Zhang, K.; Jia, L.; Zhang, D.; Nie, A. Effect of the Subsurface Drain Parameters on Water-salt Transport Based on HYDRUS-2D. Pearl River 2021, 42, 70–77. [Google Scholar]
- Chicco, D.; Warrens, M.J.; Jurman, G. The coefficient of determination R-squared is more informative than SMAPE, MAE, MAPE, MSE and RMSE in regression analysis evaluation. PeerJ Comput. Sci. 2021, 7, e623. [Google Scholar] [CrossRef] [PubMed]
- Liu, B.; Liu, Y.; Zhang, K. Numerical simulations of water infiltration for various soil textures using HYDRUS-1D. Agric. Res. Arid. Areas 2018, 36, 140–145. [Google Scholar]
- Li, X. Reclamation Strategies of Salt Discharge by Subsurface Pipes in the Salinized Cotton Field of Xinjiang. Ph.D. Thesis, China Agricultural University, Gunagzhou, China, 2017. Available online: https://kns.cnki.net/kcms2/article/abstract?v=3uoqIhG8C447WN1SO36whLpCgh0R0Z-iTEMuTidDzndci_h58Y6ouegocGvRGpxCMa07sRb6alpYQ1emsL4WB5SIlnwvSCm7&uniplatform=NZKPT (accessed on 22 October 2023).
- GB 50288-2018; Design standard for irrigation and drainage engineering. Institute of Standards: Beijing, China, 2018.
- Heng, T.; He, X.-L.; Yang, L.-L.; Xu, X.; Feng, Y. Mechanism of Saline–Alkali land improvement using subsurface pipe and vertical well drainage measures and its response to agricultural soil ecosystem. Environ. Pollut. 2022, 293, 118583. [Google Scholar] [CrossRef] [PubMed]
- Gao, H.; Fu, T.; Tang, S.; Liu, J. Effects of saline water irrigation on winter wheat and its safe utilization under a subsurface drainage system in coastal saline-alkali land of Hebei Province, China. Irrig. Sci. 2023, 41, 251–260. [Google Scholar] [CrossRef]
- Qian, Y.; Zhu, Y.; Wu, J.; Huang, J. Subsurface drains layout in arid areas with purposes of salt control and discharge. Trans. Chin. Soc. Agric. Eng. 2019, 35, 74–83. [Google Scholar]
- Mirjat, M.S.; Mughal, A.Q.; Chandio, A.S. Simulating Water Flow and Salt Leaching under Sequential Flooding between Subsurface Drains. Irrig. Drain. 2014, 63, 112–122. [Google Scholar] [CrossRef]
- Lv, J.; Shi, L.; Dou, Y.; Gong, W.; Zhang, L. Study on modified soil infiltration system model for wastewater treatment based on HYDRUS—1D. Environ. Prot. Technol. 2022, 28, 1–5+16. [Google Scholar]
- Liu, Y.; Zeng, W.; Ao, C.; Lei, G.; Wu, J.; Huang, J. Simulation of drainage process of subsurface pipe based on improved HYDRUS-2D model. Agric. Res. Arid. Areas 2020, 38, 221–228. [Google Scholar]
- Li, Y.; Xu, L.; Qi, F.; Gao, H.; Yu, S.; Fu, T.; Liu, J. Seepage field simulation of subsurface pipe salt drainage processes in coastal saline-alkali farmland. Chin. J. Eco-Agric. 2023, 31, 1110–1120. [Google Scholar] [CrossRef]
- Yang, Y.; Zhou, X.; Gao, Y.; Li, D.; Wang, X.; Li, Z. Factors influencing usage of subsurface drainage to improve soil desalination and cotton yield in the Tarim Basin oasis in China. Irrig. Sci. 2022, 40, 857–871. [Google Scholar] [CrossRef]
- Qian, Y.; Zhu, Y.; Ye, M.; Huang, J.; Wu, J. Experiment and numerical simulation for designing layout parameters of subsurface drainage pipes in arid agricultural areas. Agric. Water Manag. 2021, 243, 106455. [Google Scholar] [CrossRef]
- Wang, X.; Liu, G.; Yang, J.; Huang, G.; Yao, R. Evaluating the effects of irrigation water salinity on water movement, crop yield and water use efficiency by means of a coupled hydrologic/crop growth model. Agric. Water Manag. 2017, 185, 13–26. [Google Scholar] [CrossRef]
- Stuyt, L.C.P.M.; Dierickx, W. Design and performance of materials for subsurface drainage systems in agriculture. Agric. Water Manag. 2006, 86, 50–59. [Google Scholar] [CrossRef]
- Lu, P.; Yang, Y.; Luo, W.; Zhang, Y.; Jia, Z. Numerical Simulation of Soil Water–Salt Dynamics and Agricultural Production in Reclaiming Coastal Areas Using Subsurface Pipe Drainage. Agronomy 2023, 13, 588. [Google Scholar] [CrossRef]
- Li, X.; Zuo, Q.; Shi, J.; Alon, B.; Wang, S. Evaluation of salt discharge by subsurface pipes in the cotton field with film mulched drip irrigation in Xinjiang, China II: Application of the calibrated models and parameters. J. Hydraul. Eng. 2016, 47, 616–625. [Google Scholar] [CrossRef]
Disclaimer/Publisher’s Note: The statements, opinions and data contained in all publications are solely those of the individual author(s) and contributor(s) and not of MDPI and/or the editor(s). MDPI and/or the editor(s) disclaim responsibility for any injury to people or property resulting from any ideas, methods, instructions or products referred to in the content. |
© 2024 by the authors. Licensee MDPI, Basel, Switzerland. This article is an open access article distributed under the terms and conditions of the Creative Commons Attribution (CC BY) license (https://creativecommons.org/licenses/by/4.0/).
















