Towards Expanding the Use of Paper Made from Recycled and Non-Woody Plants: Enhancing the Print Quality through the Application of Nano-Modified Offset Inks
Abstract
1. Introduction
2. Materials and Methods
2.1. Paper
2.2. Printing Ink and Nanoparticles
2.3. Ink Transfer Test
- C is the ink coverage in g/m2;
- m1 is the mass of the inked form before printing in g;
- m2 is the mass of the form after printing in g;
- P is the printed area in cm2.
2.4. Characterization Methods
3. Results and Discussion
3.1. Properties of Paper Substrates
- x is the basis weight (g/m2);
- d is the caliper (mm).
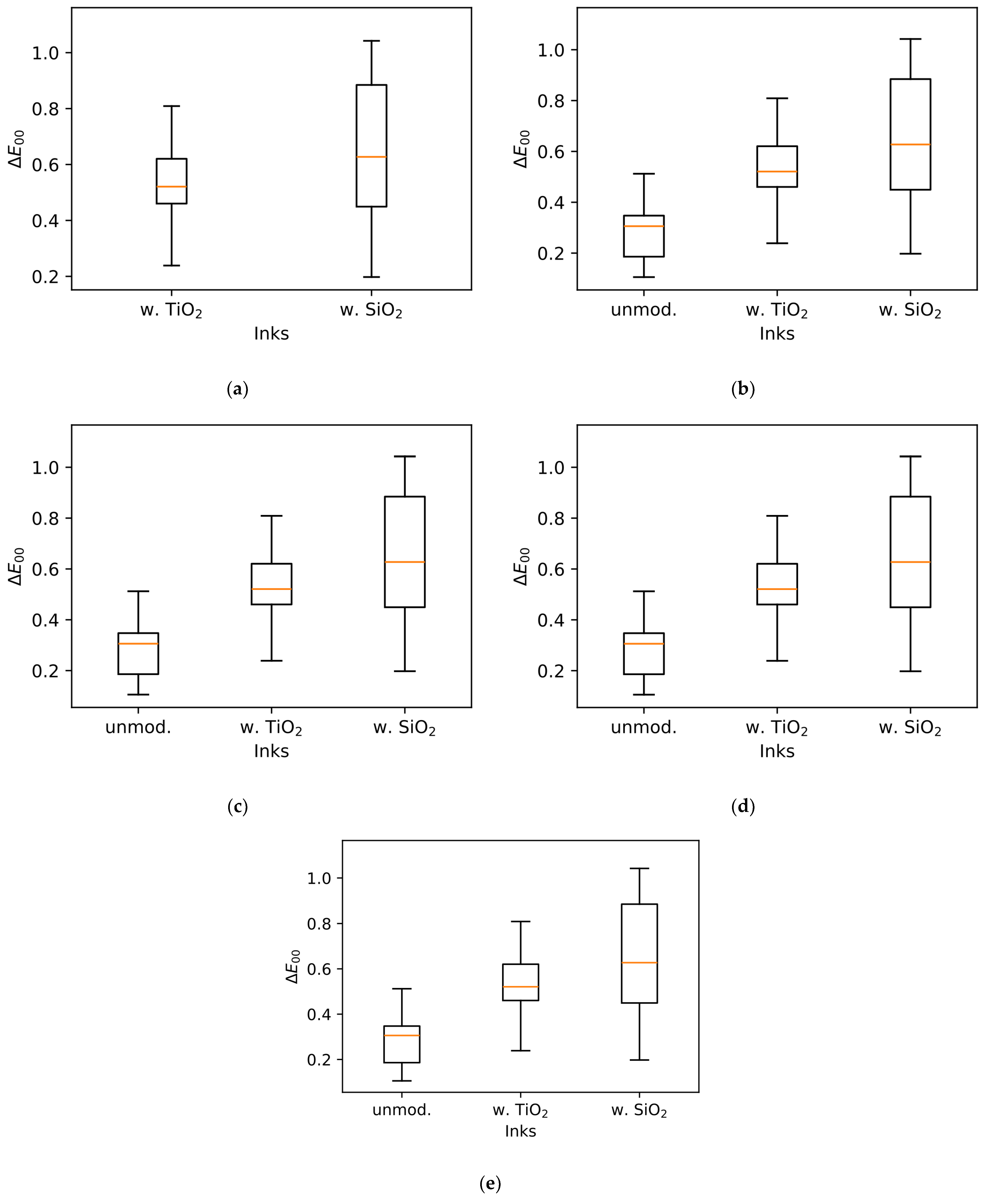
3.2. Properties of Printed Samples
4. Conclusions
Author Contributions
Funding
Institutional Review Board Statement
Informed Consent Statement
Data Availability Statement
Conflicts of Interest
References
- Teacă, C.A. Making Paper from Materials That Are Essential to Our Lives/Making Paper without Trees Is the New “Must”. BioResources 2023, 18, 4379–4382. [Google Scholar] [CrossRef]
- Kumar, P.N. Use of Alternative Raw Materials and Pulp Blending Improves the Strength Properties of Pulp and Paper. Tech. Innov. Eng. Res. 2022, 6, 96–106. [Google Scholar] [CrossRef]
- Jaishwal, K.K.; Izhar, A.; Chhaya, S. Development of Reinforced Paper and Mitigation of the Challenges of Raw Material Availability by Utilizing Areca Nut Leaf. Available online: https://imisrise.tappi.org/TAPPI/Products/22/SEP/22SEP469.aspx (accessed on 5 March 2024).
- Clift, M.J.D.; Lucia, L.; Vrabič-Brodnjak, U.; Možina, K. Invasive Alien Plant Species for Use in Paper and Packaging Materials. Fibers 2022, 10, 94. [Google Scholar] [CrossRef]
- Cassel, N.; Chalancon, J.; Pisaroni, H.; Plazonić, I.; Seleš, V.R.; Bates, I. Utilization of Laboratory Papers with Non-Wood Fibres as Printing Substrates Observed Through the Maximum Ink Penetration Depth. Teh. Glas. 2023, 17, 32–37. [Google Scholar] [CrossRef]
- Kurek, M.; Bates, I.; Plazonić, I.; Rudolf, M.; Seleš, V.R.; Galić, K.; Maretić, K.P. Effects of Non-Wood Fibres in Printed Paper Substrate on Barrier and Migration Properties. Teh. Glas. 2022, 16, 299–305. [Google Scholar] [CrossRef]
- Zhao, Z.; Deng, J.; Tae, H.; Ibrahim, M.S.; Suresh, S.; Cho, N.J. Recyclable and Reusable Natural Plant-Based Paper for Repeated Digital Printing and Unprinting. Adv. Mater. 2022, 34, 2109367. [Google Scholar] [CrossRef] [PubMed]
- Eugenio, M.E.; Ibarra, D.; Martín-Sampedro, R.; Espinosa, E.; Bascón, I.; Rodríguez, A.; Eugenio, M.E.; Ibarra, D.; Martín-Sampedro, R.; Espinosa, E.; et al. Alternative Raw Materials for Pulp and Paper Production in the Concept of a Lignocellulosic Biorefinery. Cellulose 2019, 12, 78. [Google Scholar] [CrossRef]
- Adeoye, M.D.; Lawal, A.T.; Jimoh, A.O.; Adelani, A.K.; Ojo, O.O.; Ndukwe, N.A.; Salaudeen, T.; Adewuyi, S. Fascinating physical-chemical properties and fiber morphology of selected waste plant leaves as potential pulp and paper making agents. Biomass Convers. Biorefinery 2021, 11, 3061–3070. [Google Scholar] [CrossRef]
- Robles, J.D.; Víctor, E.E.; Ruíz, M.D.V.P.; Martín, M.E.E.; Pascual, A.R.; Raya, A.R. Evaluation of the potential of alternative vegetable materials for production of paper through kraft processes. Cellul. Chem. Technol. 2020, 54, 73–81. [Google Scholar] [CrossRef]
- Starešinič, M.; Podgornik, B.B.; Javoršek, D.; Leskovšek, M.; Možina, K. Fibers Obtained from Invasive Alien Plant Species as a Base Material for Paper Production. Forests 2021, 12, 527. [Google Scholar] [CrossRef]
- Subramaniyan, S.K.; Rajkumar, J.; Santhanam, S.S.; Raja, K.; Lakshmanan, G. Preliminary studies on the production of paper from millet husk and rice straw. Environ. Eng. Manag. J. 2022, 21, 1545. [Google Scholar] [CrossRef]
- Rudolf, M.; Bates, I.; Plazonić, I.; Seleš, V.R.; Maretić, K.P.; Mendeš, M.M. Evaluation of the Line and Edge Quality of Printed Letters on Recycled Paper with Straw Pulp. Available online: https://zaklada.grf.hr/wp-content/uploads/sites/3/2022/11/3.-Rudolf_GRID22.pdf (accessed on 5 March 2024).
- Thakker, A.M.; Sun, D. Handmade Papers: Innovation, Technology, and Design. J. Nat. Fibers 2023, 20, 2187505. [Google Scholar] [CrossRef]
- Tamboli, D.A.; Doshi, S.T.; Mule, S.D.; Lamkane, K.E.; Patil, S.R. Design and Fabrication of Paper Recycling Unit. Int. J. Adv. Res. Sci. Commun. Technol. 2022, 2, 17–20. [Google Scholar] [CrossRef]
- Çiçekler, M.; Tutuş, A. Overcoming Barriers to Paper Recycling: A Review of Challenges and Solutions. Int. Conf. Sci. Innov. Stud. 2023, 1, 60–67. [Google Scholar] [CrossRef]
- Zaimis, U.; Ozolina, S.; Kukuskins, A. Recycled Algae Paper Density Control System for Quality Screening with Adjustable Light Source Wavelength. Available online: https://www.tf.lbtu.lv/conference/proceedings2022/Papers/TF254.pdf (accessed on 5 March 2024).
- Nisha; Singh, R.; Singh, K. Handmade Paper Industry: A Green and Sustainable Enterprise and Its Challenges. In Biotechnological Innovations for Environmental Bioremediation; Springer: Singapore, 2022; pp. 171–188. [Google Scholar] [CrossRef]
- Publications Office of the European Union. Literature Study on the Uses and Risks of Nanomaterials as Pigments in the European Union. Available online: https://op.europa.eu/en/publication-detail/-/publication/dd38af13-bca7-11e8-99ee-01aa75ed71a1 (accessed on 5 March 2024).
- Dubbert, W.; Schwirn, K.; Völker, D.; Apel, P. Use of Nanomaterials in Coatings. Available online: https://www.umweltbundesamt.de/sites/default/files/medien/378/publikationen/use_of_nanomaterials_in_coatings_0.pdf (accessed on 5 March 2024).
- Application of Nano Inorganic Materials in Printing Ink. Available online: https://www.hwnanomaterial.com/blog/application-of-nano-inorganic-materials-in-printing-ink/ (accessed on 5 March 2024).
- Mahović Poljaček, S.; Tomašegović, T.; Jakovljević, M.S.; Donevski, D. Surface Modification and Properties of Thin Ink Films with Added TiO2 and ZnO Nanoparticles Applied on Paperboard Substrates. Materials 2023, 16, 478. [Google Scholar] [CrossRef] [PubMed]
- Al-Kattan, A.; Wichser, A.; Vonbank, R.; Brunner, S.; Ulrich, A.; Zuin, S.; Arroyo, Y.; Golanski, L.; Nowack, B. Characterization of materials released into water from paint containing nano-SiO2. Chemosphere 2015, 119, 1314–1321. [Google Scholar] [CrossRef] [PubMed]
- Jacobs, D.S.; Huang, S.R.; Cheng, Y.L.; Rabb, S.A.; Gorham, J.M.; Krommenhoek, P.J.; Yu, L.L.; Nguyen, T.; Sung, L. Surface degradation and nanoparticle release of a commercial nanosilica/polyurethane coating under UV exposure. J. Coat. Technol. Res. 2016, 13, 735–751. [Google Scholar] [CrossRef]
- Mizutani, T.; Arai, K.; Miyamoto, M.; Kimura, Y. Application of silica-containing nano-composite emulsion to wall paint: A new environmentally safe paint of high performance. Prog. Org. Coat. 2006, 55, 276–283. [Google Scholar] [CrossRef]
- Han, Y.; Shan, M.; Lu, Y.; Abdalqadir, M.; Saeed, Z.; Azhdar, B.; Ali, S.S.; Abdel-moneam, Y.K.; Hegazy, M. Preparation and application of titanium dioxide nanoparticles in offset ink. J. Phys. Conf. Ser. 2022, 2305, 12016. [Google Scholar] [CrossRef]
- Mahović Poljaček, S.; Tomašegović, T.; Leskovšek, M.; Stanković Elesini, U. Effect of SiO2 and TiO2 Nanoparticles on the Performance of UV Visible Fluorescent Coatings. Coatings 2021, 11, 928. [Google Scholar] [CrossRef]
- ISO 2834-1:2020; Graphic Technology—Laboratory Preparation of Test Prints—Part 1: Paste Inks. ISO: Geneva, Switzerland, 2020. Available online: https://cdn.standards.iteh.ai/samples/76486/c256ddbc384442b0bac05da43d422fa5/ISO-2834-1-2020.pdf (accessed on 5 March 2024).
- Solano, R.; Patiño-Ruiz, D.; Herrera, A. Preparation of modified paints with nano-structured additives and its potential applications. Nanomater. Nanotechnol. 2020, 10, 1847980420909188. [Google Scholar] [CrossRef]
- Todd, R.E. Printing Inks: Formulation Principles, Manufacture and Quality Control Testing Procedures; Pira International: Leatherhead, UK, 1994. [Google Scholar]
- Puceković, N.; Hooimeijer, A.; Lozo, B. Cellulose nanocrystals coating—A novel paper coating for use in the graphic industry. Acta Graph. Znan. Časopis Tisk. Graf. Komun. 2015, 26, 21–26. [Google Scholar]
- Hayta, P.; Oktav, M.; Duru, Ö.A. An ecological approach to printing industry: Development of ecofriendly offset printing inks using vegetable oils and pine resin as renewable raw materials and evaluation of printability. Color Res. Appl. 2022, 47, 164–171. [Google Scholar] [CrossRef]
- Yang, S.; Chen, S.; He, T.F.; Wei, Y.; Shen, J. Preparation of sustainable mineral oil-free offset printing ink with vegetable oil esters. Environ. Sci. Pollut. Res. Int. 2023, 30, 97404–97415. [Google Scholar] [CrossRef]
- Bhattacharjee, M.; Roy, A.S.; Ghosh, S.; Dey, M. Development of Karanja Oil Based Offset Printing Ink in Comparison with Linseed Oil. J. Oleo Sci. 2011, 60, 19–24. [Google Scholar] [CrossRef] [PubMed][Green Version]
- ISO 187:2022; Paper, Board and Pulps—Standard Atmosphere for Conditioning and Testing and Procedure for Monitoring the Atmosphere and Conditioning of Samples. ISO: Geneva, Switzerland, 2022. Available online: https://cdn.standards.iteh.ai/samples/71218/71b6efe84b6a44c580a6240847036d1f/oSIST-prEN-ISO-187-2022.pdf (accessed on 5 March 2024).
- Vlachopoulos, G. Phenomena Affecting Ink Transfer in Offset Lithographic Printing. Available online: https://cronfa.swan.ac.uk/Record/cronfa42395 (accessed on 25 May 2024).
- ISO 534:2011; Paper and Board—Determination of Thickness, Density and Specific Volume. ISO: Geneva, Switzerland, 2011. Available online: https://cdn.standards.iteh.ai/samples/53060/5dca48d6975d42898e536cb86b96132e/ISO-534-2011.pdf (accessed on 5 March 2024).
- ISO 5627:1995; Paper and Board—Determination of Smoothness (Bekk Method). ISO: Geneva, Switzerland, 1995. Available online: https://www.iso.org/standard/20129.html (accessed on 5 March 2024).
- ISO 21920-2:2021; Geometrical Product Specifications (GPS)—Surface Texture: Profile—Part 2: Terms, Definitions and Surface Texture Parameters. ISO: Geneva, Switzerland, 2021.
- Lee, Y.J.; Ko, Y.C.; Moon, B.G.; Kim, H.J. Surface Characterization of Paper Products by Profilometry with a Fractal Dimension Analysis. BioResources 2023, 18, 3978–3994. [Google Scholar] [CrossRef]
- Ko, Y.C.; Melani, L.; Park, N.Y.; Kim, H.J. Surface characterization of paper and paperboard using a stylus contact method. Nord. Pulp Pap. Res. J. 2019, 35, 78–88. [Google Scholar] [CrossRef]
- ISO 535:2023; Paper and Board—Determination of Water Absorptiveness—Cobb Method. ISO: Geneva, Switzerland, 2023. Available online: https://www.iso.org/standard/80320.html (accessed on 25 May 2024).
- Deshpande, M.S. Printing papers: Sizing and its role. J. Eng. Res. Stud. 2011, 2, 17–21. [Google Scholar]
- Owens, D.K.; Wendt, R.C. Estimation of the surface free energy of polymers. J. Appl. Polym. Sci. 1969, 13, 1741–1747. [Google Scholar] [CrossRef]
- Żenkiewicz, M. Methods for the Calculation of Surface Free Energy of Solids. J. Achiev. Mater. Manuf. Eng. 2007, 24, 137–145. [Google Scholar]
- Laurén, S. OWRK Method—Owens, Wendt, Rabel and Kaelble Model. Available online: https://www.biolinscientific.com/blog/owrk-method-owens-wendt-rabel-and-kaelble-model (accessed on 25 May 2024).
- Israelachvili, J. Intermolecular and Surface Forces, 3rd ed.; Israelachvili, J., Ed.; Academic Press: Waltham, MA, USA, 2011. [Google Scholar] [CrossRef]
- Ebnesajjad, S. Handbook of Adhesives and Surface Preparation: Technology, Applications and Manufacturing; William Andrew: New York, NY, USA, 2011. [Google Scholar] [CrossRef]
- CIE Central Bureau. Colorimetry, 3rd ed.; CIE Central Bureau: Vienna, Austria, 2004. [Google Scholar]
- Rosenberger, R.; Llc, V.I.A. Appleton Mottle Measurement of Wet Trap, Back Trap and Other Motley Images. Available online: https://www.verityia.com/_files/ugd/c4e5fa_efd8667d40f44c45a0187b99b2fb7559.pdf (accessed on 5 March 2024).
- Holik, H. Handbook of Paper and Board, 2nd ed.; Wiley: Hoboken, NJ, USA, 2013. [Google Scholar]
- Ataeefard, M. The influence of paper whiteness, roughness and gloss on the optical density of colour digital printing. Pigment Resin Technol. 2015, 44, 232–238. [Google Scholar] [CrossRef]
- Dong, Y.; Wang, B.; Ji, H.; Zhu, W.; Long, Z.; Dong, C. Effect of papermaking conditions on the ink absorption and overprint accuracy of paper. BioResources 2020, 15, 1397–1406. [Google Scholar] [CrossRef]
- Sarjanović, A.; Možina, K.; Gregor-Svetec, D. Print Quality of Coated Paper from Invasive Alien Plant Goldenrod. Coatings 2023, 13, 1754. [Google Scholar] [CrossRef]
- Tanpichai, S.; Witayakran, S.; Srimarut, Y.; Woraprayote, W.; Malila, Y. Porosity, density and mechanical properties of the paper of steam exploded bamboo microfibers controlled by nanofibrillated cellulose. J. Mater. Res. Technol. 2019, 8, 3612–3622. [Google Scholar] [CrossRef]
- González, I.; Alcalà, M.; Chinga-Carrasco, G.; Vilaseca, F.; Boufi, S.; Mutjé, P. From paper to nanopaper: Evolution of mechanical and physical properties. Cellulose 2014, 21, 2599–2609. [Google Scholar] [CrossRef]
- Nechita, P. The Influence of Drying Conditions of Clay-Based Polymer Coatings on Coated Paper Properties. Coatings 2020, 11, 12. [Google Scholar] [CrossRef]
- TAPPI 441; Water Absorptiveness of Sized (Non-Bibulous) Paper, Paperboard, and Corrugated Fiberboard (Cobb Test). TAPPI: Atlanta, GA, USA, 2013. Available online: https://www.tappi.org/content/tag/sarg/t441.pdf (accessed on 5 March 2024).
- Thorman, S.; Ström, G.; Gane, P.A.C. Impact of non-uniform water absorption on water-interference print mottle in offset printing. Nord. Pulp Pap. Res. J. 2018, 33, 150–163. [Google Scholar] [CrossRef]
- Gigac, J. The influence of paper surface energy on multicolor offset print mottling. TAPPI J. 2014, 13, 55–64. [Google Scholar] [CrossRef]
- Karlovits, I.; Gregor, L.; Nemeš, T. View of the influence of micro and macro porosity of paper on wet repellence mottling in offset printing. J. Graph. Eng. Des. 2018, 9, 21–26. [Google Scholar] [CrossRef]
- Keresztes, J.; Csóka, L. Characterisation of the Surface Free Energy of the Recycled Cellulose Layer that Comprises the Middle Component of Corrugated Paperboards. Coatings 2023, 13, 259. [Google Scholar] [CrossRef]
- Hubbe, M.A.; Gill, R.A. Fillers for Papermaking: A Review of their Properties, Usage Practices, and their Mechanistic Role. BioResources 2016, 11, 2886–2963. [Google Scholar] [CrossRef]
- Madeira, D.M.F.; Vieira, O.; Pinheiro, L.A.; de Melo Carvalho, B. Correlation between Surface Energy and Adhesion Force of Polyethylene/Paperboard: A Predictive Tool for Quality Control in Laminated Packaging. Int. J. Chem. Eng. 2018, 2018, 2709037. [Google Scholar] [CrossRef]
- Zhao, B.; Kwon, H.J. Adhesion of Polymers in Paper Products from the Macroscopic to Molecular Level—An Overview. J. Adhes. Sci. Technol. 2011, 25, 557–579. [Google Scholar] [CrossRef]
- ISO 16610-21:2011; Geometrical Product Specifications (GPS)—Filtration, Part 21: Linear Profile Filters: Gaussian Filters. ISO: Geneva, Switzerland, 2011.










| Paper | Grammage (g/m2) | Caliper (µm) | Bulk (cm3/g) | Density (g/cm3) | 
|---|---|---|---|---|
| MN 120-R | 120 | 144 | 1.19 | 0.84 | 
| RW 80 | 80 | 97 | 1.21 | 0.83 | 
| NC 80 | 80 | 100 | 1.26 | 0.79 | 
| PC 120 | 120 | 199 | 1.66 | 0.60 | 
| MH 118 | 118 | 169 | 1.43 | 0.70 | 
| Paper | Bekk A (s) | Bekk B (s) | 
|---|---|---|
| MN 120-R | 20.4 | 17.4 | 
| RW 80 | 18.1 | 34.0 | 
| NC 80 | 27.9 | 24.1 | 
| PC 120 | 2.3 | 1.8 | 
| MH 118 | 8.5 | 5.9 | 
| Paper | Whiteness (%) | Brightness (%) | Opacity (%) | 
|---|---|---|---|
| MN 120-R | 129.4 | 101.6 | 96.5 | 
| RW 80 | 56.1 | 66.9 | 98.2 | 
| NC 80 | 100 | 85.9 | 95.6 | 
| PC 120 | 125.8 | 105.7 | 93.5 | 
| MH 118 | 116.7 | 102.5 | 93.7 | 
| Adhesion Parameters (mJ/m2) | γ12 | W12 | S12 | 
|---|---|---|---|
| MN 120—R | |||
| Unmodified ink | 0.38 | 79.39 | −8.13 | 
| SiO2—modified ink | 0.51 | 80.63 | −9.62 | 
| TiO2—modified ink | 0.47 | 78.58 | −7.49 | 
| RW 80 | |||
| Unmodified ink | 1.81 | 71.81 | −16.89 | 
| SiO2—modified ink | 1.89 | 69.4 | −14.66 | 
| TiO2—modified ink | 2.97 | 72.36 | −19.76 | 
| NC 80 | |||
| Unmodified ink | 2.97 | 58.28 | −21.62 | 
| SiO2—modified ink | 3.04 | 58.68 | −22.16 | 
| TiO2—modified ink | 3.88 | 57.32 | −22.48 | 
| PC 120 | |||
| Unmodified ink | 0.75 | 68.45 | −10.89 | 
| SiO2—modified ink | 1.01 | 69.87 | −12.81 | 
| TiO2—modified ink | 0.76 | 67.99 | −10.43 | 
| MH 118 | |||
| Unmodified ink | 0.66 | 70.72 | −7.34 | 
| SiO2—modified ink | 0.49 | 71.29 | −7.56 | 
| TiO2—modified ink | 0.22 | 69.59 | −5.32 | 
| Disclaimer/Publisher’s Note: The statements, opinions and data contained in all publications are solely those of the individual author(s) and contributor(s) and not of MDPI and/or the editor(s). MDPI and/or the editor(s) disclaim responsibility for any injury to people or property resulting from any ideas, methods, instructions or products referred to in the content. | 
© 2024 by the authors. Licensee MDPI, Basel, Switzerland. This article is an open access article distributed under the terms and conditions of the Creative Commons Attribution (CC BY) license (https://creativecommons.org/licenses/by/4.0/).
Share and Cite
Strižić Jakovljević, M.; Mahović Poljaček, S.; Jamnicki Hanzer, S.; Donevski, D.; Tomašegović, T. Towards Expanding the Use of Paper Made from Recycled and Non-Woody Plants: Enhancing the Print Quality through the Application of Nano-Modified Offset Inks. Sustainability 2024, 16, 4785. https://doi.org/10.3390/su16114785
Strižić Jakovljević M, Mahović Poljaček S, Jamnicki Hanzer S, Donevski D, Tomašegović T. Towards Expanding the Use of Paper Made from Recycled and Non-Woody Plants: Enhancing the Print Quality through the Application of Nano-Modified Offset Inks. Sustainability. 2024; 16(11):4785. https://doi.org/10.3390/su16114785
Chicago/Turabian StyleStrižić Jakovljević, Maja, Sanja Mahović Poljaček, Sonja Jamnicki Hanzer, Davor Donevski, and Tamara Tomašegović. 2024. "Towards Expanding the Use of Paper Made from Recycled and Non-Woody Plants: Enhancing the Print Quality through the Application of Nano-Modified Offset Inks" Sustainability 16, no. 11: 4785. https://doi.org/10.3390/su16114785
APA StyleStrižić Jakovljević, M., Mahović Poljaček, S., Jamnicki Hanzer, S., Donevski, D., & Tomašegović, T. (2024). Towards Expanding the Use of Paper Made from Recycled and Non-Woody Plants: Enhancing the Print Quality through the Application of Nano-Modified Offset Inks. Sustainability, 16(11), 4785. https://doi.org/10.3390/su16114785
 
        






 
       