Research on the Coupling Effect of Water and Fertilizer on Maize under Multi-Objective Conditions and Its Application Scenarios
Abstract
1. Introduction
2. Materials and Methods
2.1. Overview of the Study Area
2.2. Experimental Design
2.3. Measurement Items and Methods
2.3.1. Measurement of Farmland N2O Emission Flux
2.3.2. Determination of Summer Maize Yield
2.3.3. Determination of Soil Moisture Content
2.3.4. Crop Irrigation Volume
2.3.5. Crop Water Consumption
2.3.6. Crop Water-Use Efficiency
2.4. Data Processing
3. Results
3.1. An Analysis of the Effects of Water and Fertilizer Applications on the Summer Maize Yield, Water-Use Efficiency, and Farmland N2O Emission Flux
3.1.1. Single-Factor Analysis
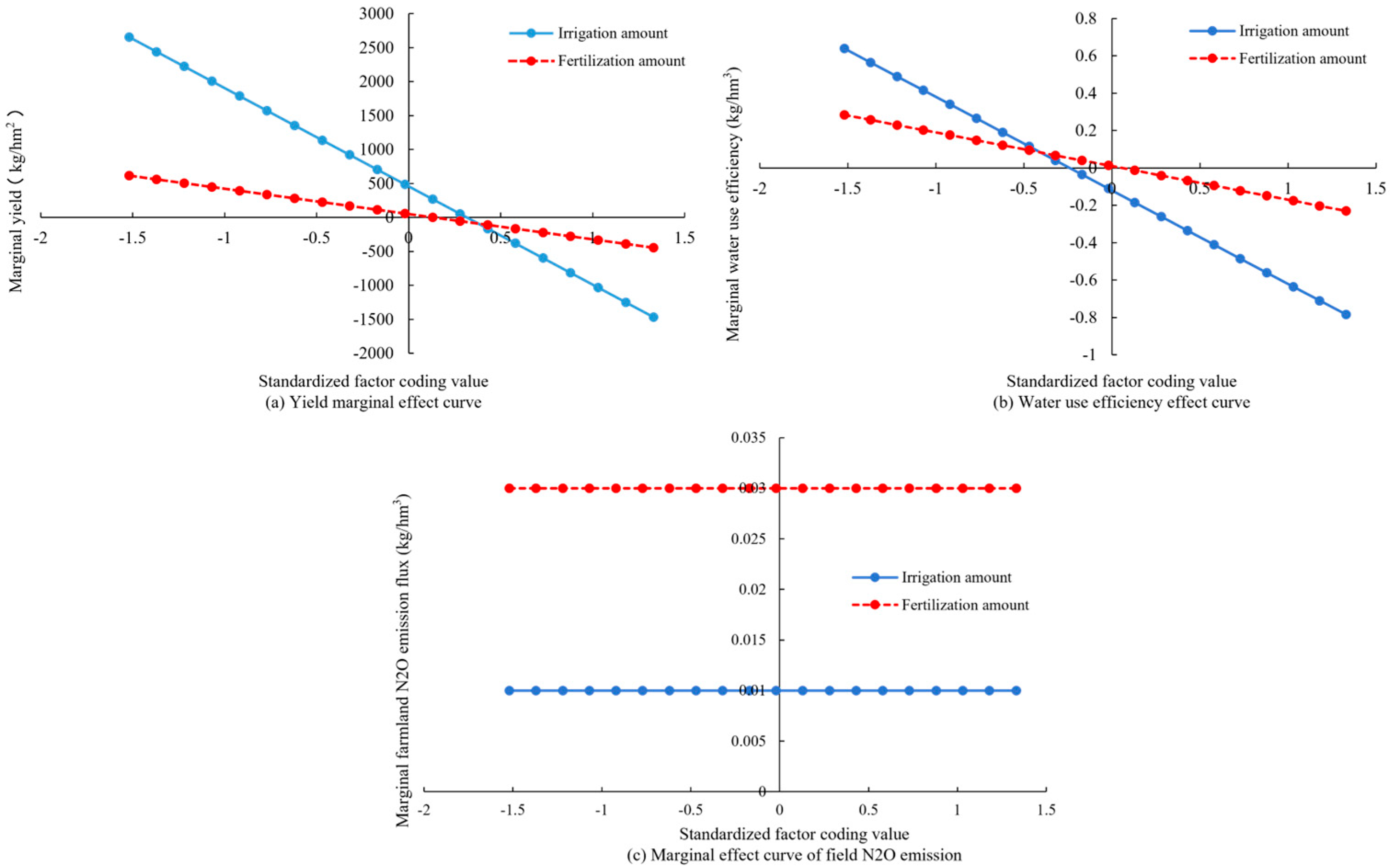
3.1.2. Single-Factor Marginal Effect Analysis
3.1.3. A Study on the Effects of Water–Fertilizer Coupling on the Summer Maize Yield, Water-Use Efficiency, and Field N2O Emission Flux
3.2. Multi-Objective Optimization Based on NSGA-III Algorithm
3.2.1. Objective Functions
- (1)
- Summer maize yield
- (2)
- Water-use efficiency
- (3)
- Field N2O emission flux of summer maize
3.2.2. Constraint Conditions
- (1)
- Irrigation Amount Constraint
- (2)
- Fertilizer application constraint
3.2.3. The NSGA-III Algorithm
4. Discussion
5. Conclusions
- (1)
- A binary quadratic regression model was established based on the irrigation amount and fertilizer application, which fitted well and effectively predicted the summer maize yield, water-use efficiency, and field N2O emission flux. Based on the established regression model, it was shown that with an increasing water and fertilizer application, the summer maize yield and water-use efficiency initially increased and then decreased. Additionally, with an increasing water and fertilizer application, the field N2O emission flux gradually increased. The impact of irrigation on the summer maize yield and water-use efficiency was greater than that of fertilization, while the impact of fertilization on the field N2O emission flux was greater than that of irrigation.
- (2)
- Using NSGA-III for model solving and validation, the optimal water and fertilizer combination obtained showed, compared to the experimental high-water high-fertilizer treatment, a 6.03% increase in the yield, a 6.17% improvement in the water-use efficiency, a 13.77% reduction in the field N2O emission flux, as well as water savings of 36.47% and fertilizer savings of 26.58%. Compared to the moderate-water and moderate-fertilizer treatments in the experiment, the yield and water-use efficiency were essentially similar, with water savings of 15.30% and fertilizer savings of 11.90%. However, there was a slight increase in the N2O emission flux. Compared to the low fertilizer and low water treatment in the experiment, the yield increased by 8.10%, the water-use efficiency improved by 22.64%, and there was a slight increase in the N2O emission flux.
Author Contributions
Funding
Institutional Review Board Statement
Informed Consent Statement
Data Availability Statement
Conflicts of Interest
References
- Leng, Y.; Ma, X.; Cheng, G.; Ren, H.; Li, X. The high-yield corn competition aids the revitalization of China’s corn seed industry. Biotechnol. Bull. 2023, 39, 4–10. [Google Scholar]
- Zhu, Y.; Liu, Z.; Li, X.; Zhang, J. Effects of Water and Fertilizer Coupling on Leaf Enzyme Activity and Water-Fertilizer Utilization in Greenhouse Tomatoes. Water Sav. Irrig. 2023, 12, 18–26. [Google Scholar]
- Chang, Z.; Liang, G.; Peng, Y.; Zhao, J. Optimization of Water and Fertilizer Coupling Scheme for Walnuts Based on Yield, Quality, and Water-Fertilizer Utilization Rate. Agric. Res. Arid. Areas 2024, 42, 162–172. [Google Scholar]
- Cao, X.; Xiao, J.; Wu, M.; Huang, X. Agricultural water use efficiency and driving force assessment to improve regional productivity and effectiveness. Water Resour. Manag. 2021, 35, 2519–2535. [Google Scholar] [CrossRef]
- Ma, J.Q.; Yang, J.S.; Hao, X.P.; Cui, B.F.; Yang, S.G. Dynamic Simulation Model of Channel Leakage Based on Multiple Regression. Sustainability 2023, 15, 14904. [Google Scholar] [CrossRef]
- Liu, X.; Li, M.; Guo, P.; Zhang, Z.X. Optimization of water and fertilizer coupling system based on rice grain quality. Agric. Water Manag. 2019, 221, 34–46. [Google Scholar] [CrossRef]
- Zhang, J.; Wang, X.C.; Cui, X.L.; Li, A.Q.; Hu, T.T. Effects of Irrigation Amount and Nitrogen Fertilizer Enhancers on Summer Corn Yield and Water-Fertilizer Utilization. Agric. Res. Arid. Areas 2024, 42, 123–132+168. [Google Scholar]
- Yang, Z.P.; Liu, Y.; Deng, Y.P. Study on the Effects of Increased Silicon Fertilizer Application on Tomato Growth, Development, and Quality under Deficit Irrigation Conditions. Water Sav. Irrig. 2023, 10, 68–74. [Google Scholar]
- Chen, Z.; Cheng, Q.; Xu, H.H.; Huang, X.J. Response Characteristics of Plant Height and Biomass of Summer Corn under Different Water and Fertilizer Treatments and Spectral Inversion. Agric. Res. Arid. Areas 2023, 41, 198–207. [Google Scholar]
- Viets, F.G. Water deficits and nutrient availability. In Plant Responses and Control of Water Balance; Academic Press: Cambridge, MA, USA, 1972; pp. 217–237. [Google Scholar]
- Li, H.; Wang, X.M.; Liu, P.Z.; Liu, M.; Wang, X.L.; Wang, R.; Li, J. Coupling Effect Compensates for the Adverse Impact of Reduced Water and Nitrogen on Nutrient Absorption and Utilization in Summer Corn. J. Plant Nutr. Fertil. 2022, 28, 1283–1296. [Google Scholar]
- Wang, L.G.; Zhu, R.; Yin, Z.L.; Chen, Z.X.; Lu, R.; Fang, C.S. Quantifying the Spatial–Temporal Patterns and Influencing Factors of Agricultural Carbon Emissions Based on the Coupling Effect of Water–Land Resources in Arid Inland Regions. Front. Environ. Sci. 2022, 10, 908987. [Google Scholar] [CrossRef]
- Liu, P.Z.; Lin, Y.R.; Liu, X.T.; Deng, M.Z.; Zhang, P.F.; Ren, X.L.; Chen, X.L. Manure substitution with appropriate N rate enhanced the soil quality, crop productivity and net ecosystem economic benefit: A sustainable rainfed wheat practice. Field Crops Res. 2023, 304, 109164. [Google Scholar] [CrossRef]
- Liu, C.X.; Wang, Y.Q.; Chen, H.H.; Sun, Q.Y.; Jiang, Q.X.; Wang, Z.L. High level of winter warming aggravates soil carbon, nitrogen loss and changes greenhouse gas emission characteristics in seasonal freeze-thaw farmland soil. Sci. Total Environ. 2023, 905, 167180. [Google Scholar] [CrossRef] [PubMed]
- Xuan, C.; Xie, Y.J.; Wang, J.; Zhao, J.S.; Jia, E.Z.; Hui, W.; Yi, B.M. Presence of different microplastics promotes greenhouse gas emissions and alters the microbial community composition of farmland soil. Sci. Total Environ. 2023, 879, 162967. [Google Scholar]
- Hao, H.; Li, D.D.; Wu, Z.R.; Hu, Z.H.; Shu, Y.Y. Assessment of the straw and biochar application on greenhouse gas emissions and yield in paddy fields under intermittent and controlled irrigation patterns. Agric. Ecosyst. Environ. 2024, 359, 108745. [Google Scholar]
- Qiu, W.; Liu, J.; Li, B.; Wang, Z. N2O and CO2 emissions from a dryland wheat cropping system with long-term N fertilization and their relationships with soil C, N, and bacterial community. Environ. Sci. Pollut. Res. 2020, 27, 8673–8683. [Google Scholar] [CrossRef] [PubMed]
- Shcherbak, I.; Millar, N.; Robertson, G.P. Global metaanalysis of the nonlinear response of soil nitrous oxide (N2O) emissions to fertilizer nitrogen. Proc. Natl. Acad. Sci. USA 2014, 111, 9199–9204. [Google Scholar] [CrossRef] [PubMed]
- He, J.Y.; Tian, J.C. Water-Fertilizer Coupling Model and Optimization of Combination Scheme for Dryland Rice under Mulched Drip Irrigation. Trans. Chin. Soc. Agric. Eng. 2015, 31, 77–82. [Google Scholar]
- Hu, X.H.; Gao, Z.X.; Ma, Y.; Xie, J.K.; Xie, Z.L.; Li, X.; Zhang, L.Y.; Wang, J.Z.; Ma, X.Q.; Qu, F.; et al. Water-Fertilizer Coupling Scheme for Bag-cultivated Pepper Based on Yield, Quality, and Water-Fertilizer Use Efficiency. Trans. Chin. Soc. Agric. Eng. 2020, 36, 81–89. [Google Scholar]
- Dou, X.Y.; Wang, R.S.; Zhou, X.; Gao, F.; Yu, Y.; Li, C.N.; Zheng, C.H. Soil water, nutrient distribution and use efficiencies under different water and fertilizer coupling in an apple–maize alley cropping system in the Loess Plateau, China. Soil Tillage Res. 2022, 218, 105308. [Google Scholar]
- Zhang, F.; Chen, M.R.; Fu, J.T.; Zhang, X.Z.; Li, Y.; Shao, Y.T.; Xing, Y.Y.; Wang, X.K. Coupling effects of irrigation amount and fertilization rate on yield, quality, water and fertilizer use efficiency of different potato varieties in Northwest China. Agric. Water Manag. 2023, 287, 108446. [Google Scholar] [CrossRef]
- Ma, J.Q.; He, Q.X.; Liu, L. Analysis of water-fertilizer coupling effect and optimization of application scheme for maize under dual-objective conditions. J. Irrig. Drain. 2021, 40, 58–63. [Google Scholar]
- Xiong, H.; Zhang, B.C.; Li, J.Z.; Zhang, X.; Shi, J.H. Effects of irrigation volume on N2O and CO2 emission from winter wheat farmland soil. J. Irrig. Drain. 2020, 39, 41–50. [Google Scholar]
- Li, X.M.; Li, Z.F.; Song, Y.M.; Gui, L. Intelligent optimization of reactor radiation shielding design based on FCNN-NSGA-III. Rev. At. Nucl. Phys. 2023, 40, 572–578. [Google Scholar]
- Wu, L.F.; Zhang, F.C.; Fan, J.L.; Zhou, M.H.; Liang, F.; Gao, Z.J. Effects of water-fertilizer coupling on cotton yield, yield and water use efficiency. J. Agric. Mach. 2015, 46, 164–172. [Google Scholar]
- Guo, Y.F.; Zhang, L.P.; Wang, G.S.; Shang, R.C.; Zhang, H.; Zhu, Z.Y.; Wang, C.Z. Effects of tillage practices and water-fertilizer combinations on greenhouse gas emissions from wheat-maize fields. J. Agric. Eng. 2022, 38, 95–104. [Google Scholar]
- Feng, P.; Wang, X.N.; Wang, Q.L.; Sun, Q.Z.; Zhao, S.F. Effects of water-fertilizer coupling on maize yield and silage quality. Chin. Agric. Sci. 2012, 45, 376–384. [Google Scholar]
- Zhang, Z.X.; Zhang, S.W.; Guo, D.D.; Tan, Z.X.; Chen, X.; Liang, Q.P. Analysis of coupling effect of different water and fertilizer conditions in maize and optimization of water and fertilizer distribution scheme. J. Agric. Mach. 2017, 48, 206–214. [Google Scholar]
- Zhang, Z.S.; Chen, J.; Liu, T.Q.; Cao, C.G.; Li, C.F. Effects of nitrogen fertilizer sources and tillage practices on greenhouse gas emissions in paddy fields of central China. Atmos. Environ. 2016, 144, 274–281. [Google Scholar] [CrossRef]





| Treatment | The Upper Limit of Irrigation | The Lower Limit of Irrigation | Fertilization Treatment (kg · hm−2) |
|---|---|---|---|
| A | 90%θf | 60%θf | 216 |
| 180 | |||
| 144 | |||
| B | 70%θf | 216 | |
| 180 | |||
| 144 | |||
| C | 70%θf | 216 | |
| 180 | |||
| 144 | |||
| D | 80%θf | 216 | |
| 180 | |||
| 144 | |||
| E | Rain-fed | Rain-fed | 216 |
| 180 | |||
| 144 |
| Experimental Serial Number | Coding Value of Irrigation Volume, X1 | Coding Value of Fertilization Amount, X2 | Irrigation Volume (m3·hm−2) | Fertilization Amount (kg·hm−2) |
|---|---|---|---|---|
| A1 | 1.1476 | −1.2249 | 800 | 216 |
| A2 | 1.1476 | 0 | 800 | 180 |
| A3 | 1.1476 | 1.2249 | 800 | 144 |
| B1 | 0.4038 | −1.2249 | 1050 | 216 |
| B2 | 0.4038 | 0 | 1050 | 180 |
| B3 | 0.4038 | 1.2249 | 1050 | 144 |
| C1 | 0.4038 | −1.2249 | 1050 | 216 |
| C2 | 0.4038 | 0 | 1050 | 180 |
| C3 | 0.4038 | 1.2249 | 1050 | 144 |
| D1 | −0.1275 | −1.2249 | 1400 | 216 |
| D2 | −0.1275 | 0 | 1400 | 180 |
| D3 | −0.1275 | 1.2249 | 1400 | 144 |
| E1 | −1.8277 | −1.2249 | 0 | 216 |
| E2 | −1.8277 | 0 | 0 | 180 |
| E3 | −1.8277 | 1.2249 | 0 | 144 |
Disclaimer/Publisher’s Note: The statements, opinions and data contained in all publications are solely those of the individual author(s) and contributor(s) and not of MDPI and/or the editor(s). MDPI and/or the editor(s) disclaim responsibility for any injury to people or property resulting from any ideas, methods, instructions or products referred to in the content. |
© 2024 by the authors. Licensee MDPI, Basel, Switzerland. This article is an open access article distributed under the terms and conditions of the Creative Commons Attribution (CC BY) license (https://creativecommons.org/licenses/by/4.0/).
Share and Cite
Ma, J.; Liu, L.; Cui, B.; Hao, X.; He, Q.; Yang, J.; Xu, X. Research on the Coupling Effect of Water and Fertilizer on Maize under Multi-Objective Conditions and Its Application Scenarios. Sustainability 2024, 16, 5615. https://doi.org/10.3390/su16135615
Ma J, Liu L, Cui B, Hao X, He Q, Yang J, Xu X. Research on the Coupling Effect of Water and Fertilizer on Maize under Multi-Objective Conditions and Its Application Scenarios. Sustainability. 2024; 16(13):5615. https://doi.org/10.3390/su16135615
Chicago/Turabian StyleMa, Jianqin, Lansong Liu, Bifeng Cui, Xiuping Hao, Qinxue He, Jiangshan Yang, and Xiaolong Xu. 2024. "Research on the Coupling Effect of Water and Fertilizer on Maize under Multi-Objective Conditions and Its Application Scenarios" Sustainability 16, no. 13: 5615. https://doi.org/10.3390/su16135615
APA StyleMa, J., Liu, L., Cui, B., Hao, X., He, Q., Yang, J., & Xu, X. (2024). Research on the Coupling Effect of Water and Fertilizer on Maize under Multi-Objective Conditions and Its Application Scenarios. Sustainability, 16(13), 5615. https://doi.org/10.3390/su16135615
