Analysis of Synergistic Drivers of CO2 and NOX Emissions from Thermal Power Generating Units in Beijing–Tianjin–Hebei Region, 2010–2020
Abstract
1. Introduction
2. Materials and Methods
2.1. Methodology for Calculation of Emission Inventories
2.1.1. Calculation of CO2 Emissions
2.1.2. Calculation of NOX Emissions
2.2. Driver Decomposition Methods
2.3. Data Acquisition
3. Results
3.1. Trends in CO2 and NOX Emissions
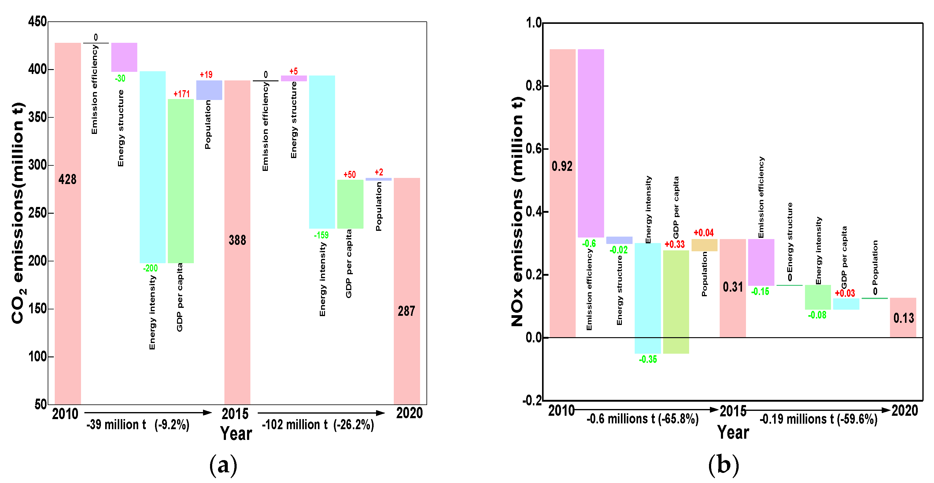
3.2. Analysis of CO2 and NOX Emission Drivers
3.3. Analysis of Synergistic Drivers of CO2 and NOX Emissions
4. Conclusions
Author Contributions
Funding
Data Availability Statement
Conflicts of Interest
References
- Shi, Q.; Zheng, B.; Zheng, Y.; Tong, D.; Liu, Y.; Ma, H.; Hong, C.; Geng, G.; Guan, D.; He, K. Co-benefits of CO2 emission reduction from China’s clean air actions between 2013–2020. Nat. Commun. 2022, 13, 5061. [Google Scholar] [CrossRef] [PubMed]
- Tang, R.; Zhao, J.; Liu, Y.; Huang, X.; Zhang, Y.; Zhou, D.; Ding, A.; Nielsen, C.P.; Wang, H. Air quality and health co-benefits of China’s carbon dioxide emissions peaking before 2030. Nat. Commun. 2022, 13, 1008. [Google Scholar] [CrossRef]
- Yue, H.; He, C.; Huang, Q.; Yin, D.; Bryan, B.A. Stronger policy required to substantially reduce deaths from PM2.5 pollution in China. Nat. Commun. 2020, 11, 1462. [Google Scholar] [CrossRef] [PubMed]
- Davidson, M.R.; Zhang, D.; Xiong, W.; Zhang, X.; Karplus, V.J. Modelling the potential for wind energy integration on China’s coal-heavy electricity grid. Nat. Energy 2016, 1, 16086. [Google Scholar] [CrossRef]
- Zhao, Y.; Zhang, J.; Nielsen, C.P. The effects of recent control policies on trends in emissions of anthropogenic atmospheric pollutants and CO2 in China. Atmos. Chem. Phys. 2013, 13, 487–508. [Google Scholar] [CrossRef]
- Zhao, Y.; Wang, S.; Duan, L.; Lei, Y.; Cao, P.; Hao, J. Primary air pollutant emissions of coal-fired power plants in China: Current status and future prediction. Atmos. Environ. 2008, 42, 8442–8452. [Google Scholar] [CrossRef]
- Liu, F.; Zhang, Q.; Tong, D.; Zheng, B.; Li, M.; Huo, H.; He, K.B. High-resolution inventory of technologies, activities, and emissions of coal-fired power plants in China from 1990 to 2010. Atmos. Chem. Phys. 2015, 15, 13299–13317. [Google Scholar] [CrossRef]
- Zhang, Q.; He, K.; Huo, H. Cleaning China’s air. Nature 2012, 484, 161–162. [Google Scholar] [CrossRef] [PubMed]
- Wang, S.W.; Zhang, Q.; Streets, D.G.; He, K.B.; Martin, R.V.; Lamsal, L.N.; Chen, D.; Lei, Y.; Lu, Z. Growth in NOX emissions from power plants in China: Bottom-up estimates and satellite observations. Atmos. Chem. Phys. 2012, 12, 4429–4447. [Google Scholar] [CrossRef]
- Liu, Z.; Lei, Y.; Xue, W.; Liu, X.; Jiang, Y.; Shi, X.; Zheng, Y.; Zhang, Q.; Wang, J. Mitigating China’s Ozone Pollution with More Balanced Health Benefits. Environ. Sci. Technol. 2022, 56, 7647–7656. [Google Scholar] [CrossRef]
- Yang, Y.; Liu, X.; Zheng, J.; Tan, Q.; Feng, M.; Qu, Y.; An, J.; Cheng, N. Characteristics of one-year observation of VOCs, NOX, and O3 at an urban site in Wuhan, China. J. Environ. Sci. 2018, 79, 297–310. [Google Scholar] [CrossRef] [PubMed]
- Song, Z.; Yu, S.; Chen, X.; Li, M.; Li, P.; Hu, K.; Liang, S.; Chen, J.; Rosenfeld, D.; Seinfeld, J.H. Significant reductions of urban daytime ozone by extremely high concentration NOX from ship’s emissions: A case study. Atmos. Pollut. Res. 2024, 15. [Google Scholar] [CrossRef]
- Zhang, W.; Zhao, J.; Zhang, Z.; Liu, M.; Li, R.; Xue, W.; Xing, J.; Cai, B.; Jiang, L.; Zhang, J. The economy–employment–environmental health transfer and embedded inequities of China’s capital metropolitan area: A mixed-methods study. Lancet Planet. Health 2023, 7, e912–e924. [Google Scholar] [CrossRef] [PubMed]
- Shan, Y.; Guan, D.; Zheng, H.; Ou, J.; Li, Y.; Meng, J.; Mi, Z.; Liu, Z.; Zhang, Q. China CO2 emission accounts 1997–2015. Sci. Data 2017, 5, 170201. [Google Scholar] [CrossRef]
- Min, B.S. Regional cooperation for control of transboundary air pollution in East Asia. J. Asian Econ. 2001, 12, 137–153. [Google Scholar]
- Chang, K.M.; Hess, J.J.; Balbus, J.M.; Buonocore, J.J.; A Cleveland, D.; Grabow, M.L.; Neff, R.; Saari, R.K.; Tessum, C.W.; Wilkinson, P.; et al. Ancillary health effects of climate mitigation scenarios as drivers of policy uptake: A review of air quality, transportation and diet co-benefits modeling studies. Environ. Res. Lett. 2017, 12, 113001. [Google Scholar] [CrossRef]
- Wang, P.; Lin, C.-K.; Wang, Y.; Liu, D.; Song, D.; Wu, T. Location-specific co-benefits of carbon emissions reduction from coal-fired power plants in China. Nat. Commun. 2021, 12, 6948. [Google Scholar] [CrossRef]
- Tong, D.; Zhang, Q.; Liu, F.; Geng, G.; Zheng, Y.; Xue, T.; Hong, C.; Wu, R.; Qin, Y.; Zhao, H.; et al. Current Emissions and Future Mitigation Pathways of Coal-Fired Power Plants in China from 2010 to 2030. Environ. Sci. Technol. 2018, 52, 12905–12914. [Google Scholar] [CrossRef]
- Zhang, H.; Chen, B.; Deng, H.; Du, H.; Yang, R.; Ju, L.; Liu, S. Analysis on the evolution law and influencing factors of Beijing’s power generation carbon emissions. Energy Rep. 2022, 8, 1689–1697. [Google Scholar] [CrossRef]
- Wang, H.; Ang, B.; Su, B. Assessing drivers of economy-wide energy use and emissions: IDA versus SDA. Energy Policy 2017, 107, 585–599. [Google Scholar] [CrossRef]
- Wei, W.; Zhang, P.; Yao, M.; Xue, M.; Miao, J.; Liu, B.; Wang, F. Multi-scope electricity-related carbon emissions accounting: A case study of Shanghai. J. Clean. Prod. 2020, 252, 119789. [Google Scholar] [CrossRef]
- Wang, H.; Ang, B. Assessing the role of international trade in global CO2 emissions: An index decomposition analysis approach. Appl. Energy 2018, 218, 146–158. [Google Scholar] [CrossRef]
- Wang, Y.; Zhao, H.; Li, L.; Liu, Z.; Liang, S. Carbon dioxide emission drivers for a typical metropolis using input–output structural decomposition analysis. Energy Policy 2013, 58, 312–318. [Google Scholar] [CrossRef]
- Ang, B.W. The LMDI approach to decomposition analysis: A practical guide. Energy Policy 2005, 33, 867–871. [Google Scholar] [CrossRef]
- Inventory of Emissions from the Fusion of Air Pollutants and Greenhouse Gases Preparation of Technical Guidelines (for Trial Implementation) 2024.01. Available online: https://www.mee.gov.cn/xxgk2018/xxgk/xxgk06/202401/W020240130539574113045.pdf (accessed on 1 July 2024).
- Miao, Y.; Lu, H.; Cui, S.; Zhang, X.; Zhang, Y.; Song, X.; Cheng, H. CO2 emissions change in Tianjin: The driving factors and the role of CCS. Appl. Energy 2024, 353, 122122. [Google Scholar] [CrossRef]
- Statistical Yearbook (2010–2020). Beijing, China, 2020. Available online: https://www.stats.gov.cn/sj/ndsj/ (accessed on 1 July 2024).
- Wang, Z.; Yin, F.; Zhang, Y.; Zhang, X. An empirical research on the influencing factors of regional CO2 emissions: Evidence from Beijing city, China. Appl. Energy 2012, 100, 277–284. [Google Scholar] [CrossRef]
- Beijing Electricity Development Plan for the Eleventh Five-Year Plan Period. Available online: https://fgw.beijing.gov.cn/fgwzwgk/zcgk/ghjhwb/wnjh/202003/t20200331_2638481.htm (accessed on 1 July 2024).
- Zhang, X. The application prospect of CCUS in China under the target of carbon neutrality. China Sustain. Trib. 2020, 12, 22–24. [Google Scholar]
- The 12th Five-Year Plan. Available online: https://www.ndrc.gov.cn/fggz/fzzlgh/gjfzgh/201109/P020191029595702423333.pdf (accessed on 1 July 2024).
- Upgrading and Action Plan for Energy Saving and Emission Reduction of Coal Power (2014–2020). Available online: https://www.mee.gov.cn/gkml/hbb/gwy/201409/t20140925_289556.htm (accessed on 1 July 2024).
- Qu, J.-B.; Wang, P.; Bo, X.; Xue, X.; Dong, G.; Cui, L.; Kang, M.; Wang, T.; Tang, L.; Zhu, F. Inventory and distribution char-acteristics of China’s thermal power emissions under ultra-low reconstruction. Huan Jing ke Xue Huanjing Kexue 2020, 41, 3969–3975. [Google Scholar]
- Bianchi, P.; De Propris, L.; Labory, S. People-centred policies for a just transition (digital, green and skills). Contemp. Soc. Sci. 2024, 19, 2351479. [Google Scholar] [CrossRef]
- Lu, J.; Wang, X.; Liu, L. Industrial structure upgrading effect of low carbon city policy: Quasi-natural experimental research based on low-carbon city pilot. J. Xi’an Jiaotong Univ. (Soc. Sci.) 2020, 40, 104–115. [Google Scholar]
- Forsten, K.R. Transmission efficiency initiative: Contributing to a lower carbon future. In Proceedings of the IEEE PES T&D 2010, New Orleans, LA, USA, 19–22 April 2010; pp. 1–6. [Google Scholar]










| Type of Energy | Average Low-Level Heat Generation | Carbon Emission Factors | Carbon Content per Unit Calorific Value | Carbon Oxidation Rate |
|---|---|---|---|---|
| GJ/t (GJ/m3) | t C/GJ | t C/GJ | ||
| raw coal | 20.934 | 0.091 | 0.026 | 0.94 |
| Other coal washing | 8.363 | 0.084 | 0.025 | 0.9 |
| waste rock (in coal mining) | 8.374 | 0.096 | 0.027 | 0.98 |
| Other coking products | 37.634 | 0.101 | 0.030 | 0.93 |
| petroleum coke | 35.530 | 0.099 | 0.028 | 0.98 |
| crude oil | 41.816 | 0.072 | 0.020 | 0.98 |
| diesel fuel | 42.705 | 0.073 | 0.020 | 0.98 |
| fuel oil | 41.868 | 0.076 | 0.021 | 0.98 |
| gasoline | 43.070 | 0.070 | 0.020 | 0.98 |
| diesel | 43.070 | 0.068 | 0.019 | 0.98 |
| Other petroleum products | 41.031 | 0.072 | 0.020 | 0.98 |
| petroleum | 0.036 | 0.056 | 0.015 | 0.99 |
| coke oven gas | 0.017 | 0.044 | 0.012 | 0.99 |
| blast furnace gas | 0.003 | 0.257 | 0.071 | 0.99 |
| converter gas | 0.008 | 0.180 | 0.050 | 0.99 |
| refinery dry gas | 0.004 | 0.065 | 0.018 | 0.98 |
| Other gas | 0.005 | 0.044 | 0.012 | 0.99 |
| Year | Beijing | Tianjin | Hebei |
|---|---|---|---|
| 2010 | 7 | 21 | 182 |
| 2011 | 18 | 19 | 165 |
| 2012 | 11 | 20 | 197 |
| 2013 | 10 | 20 | 197 |
| 2014 | 10 | 24 | 194 |
| 2015 | 13 | 25 | 195 |
| 2016 | 14 | 24 | 169 |
| 2017 | 15 | 25 | 153 |
| 2018 | 17 | 20 | 147 |
| 2019 | 15 | 26 | 105 |
| 2020 | 15 | 26 | 86 |
| Year | Beijing | Tianjin | Hebei |
|---|---|---|---|
| 2010 | 22 | 65 | 385 |
| 2011 | 51 | 64 | 403 |
| 2012 | 31 | 66 | 448 |
| 2013 | 31 | 66 | 449 |
| 2014 | 37 | 63 | 441 |
| 2015 | 48 | 66 | 452 |
| 2016 | 54 | 61 | 395 |
| 2017 | 58 | 62 | 308 |
| 2018 | 78 | 51 | 321 |
| 2019 | 87 | 70 | 215 |
| 2020 | 87 | 71 | 170 |
| ΔC | ΔCEF | ΔCES | ΔCEI | ΔCA | ΔCP | |
|---|---|---|---|---|---|---|
| 2010–2011 | 3696.27 | 0.00 | −14.22 | −4615.76 | 7563.11 | 763.14 |
| 2011–2012 | −1387.15 | 0.00 | −114.20 | −5517.02 | 3558.49 | 685.58 |
| 2012–2013 | 855.60 | 0.00 | −165.06 | −2360.83 | 3328.94 | 52.55 |
| 2013–2014 | −2901.10 | 0.00 | −366.00 | −4889.64 | 2024.38 | 330.16 |
| 2014–2015 | −2964.48 | 0.00 | −1188.03 | −2788.70 | 839.09 | 173.15 |
| 2015–2016 | 900.45 | 0.00 | −191.60 | −2034.23 | 2976.80 | 149.47 |
| 2016–2017 | −983.70 | 0.00 | −95.75 | −3198.49 | 2345.53 | −34.99 |
| 2017–2018 | 1234.25 | 0.00 | 599.97 | −1441.71 | 2164.51 | −88.53 |
| 2018–2019 | −4772.41 | 0.00 | −4.18 | −2435.86 | −2426.42 | 94.04 |
| 2019–2020 | −6600.54 | 0.00 | 3.26 | −7406.31 | 695.39 | 107.12 |
| Total | −12,922.82 | 0.00 | −1535.80 | −36,688.55 | 23,069.83 | 2231.70 |
| ΔC | ΔCEF | ΔCES | ΔCEI | ΔCA | ΔCP | |
|---|---|---|---|---|---|---|
| 2010–2011 | 4.757 | −3.356 | −0.000 | −9.647 | 16.113 | 1.647 |
| 2011–2012 | −7.152 | −4.408 | 0.029 | −11.448 | 7.275 | 1.400 |
| 2012–2013 | −13.086 | −14.768 | −0.002 | −4.472 | 6.106 | 0.051 |
| 2013–2014 | −23.672 | −19.793 | −0.219 | −7.039 | 2.910 | 0.469 |
| 2014–2015 | −21.999 | −19.899 | −0.162 | −2.847 | 0.747 | 0.163 |
| 2015–2016 | −5.197 | −6.056 | 0.002 | −1.337 | 2.081 | 0.112 |
| 2016–2017 | −10.148 | −9.651 | −0.003 | −1.692 | 1.193 | 0.005 |
| 2017–2018 | −2.481 | −2.782 | −0.003 | −0.486 | 0.805 | −0.015 |
| 2018–2019 | −0.842 | 0.944 | −0.003 | −0.997 | −0.820 | 0.035 |
| 2019–2020 | −0.508 | 2.432 | 0.003 | −3.295 | 0.318 | 0.033 |
| Total | −80.328 | −77.337 | −0.359 | −43.261 | 36.729 | 3.900 |
Disclaimer/Publisher’s Note: The statements, opinions and data contained in all publications are solely those of the individual author(s) and contributor(s) and not of MDPI and/or the editor(s). MDPI and/or the editor(s) disclaim responsibility for any injury to people or property resulting from any ideas, methods, instructions or products referred to in the content. |
© 2024 by the authors. Licensee MDPI, Basel, Switzerland. This article is an open access article distributed under the terms and conditions of the Creative Commons Attribution (CC BY) license (https://creativecommons.org/licenses/by/4.0/).
Share and Cite
Wang, Y.; Yuan, Z.; Yan, J.; Zhang, H.; Guan, Q.; Rao, S.; Jiang, C.; Duan, Z. Analysis of Synergistic Drivers of CO2 and NOX Emissions from Thermal Power Generating Units in Beijing–Tianjin–Hebei Region, 2010–2020. Sustainability 2024, 16, 7554. https://doi.org/10.3390/su16177554
Wang Y, Yuan Z, Yan J, Zhang H, Guan Q, Rao S, Jiang C, Duan Z. Analysis of Synergistic Drivers of CO2 and NOX Emissions from Thermal Power Generating Units in Beijing–Tianjin–Hebei Region, 2010–2020. Sustainability. 2024; 16(17):7554. https://doi.org/10.3390/su16177554
Chicago/Turabian StyleWang, Yaolin, Zilin Yuan, Jun Yan, Haixu Zhang, Qinge Guan, Sheng Rao, Chunlai Jiang, and Zhiguo Duan. 2024. "Analysis of Synergistic Drivers of CO2 and NOX Emissions from Thermal Power Generating Units in Beijing–Tianjin–Hebei Region, 2010–2020" Sustainability 16, no. 17: 7554. https://doi.org/10.3390/su16177554
APA StyleWang, Y., Yuan, Z., Yan, J., Zhang, H., Guan, Q., Rao, S., Jiang, C., & Duan, Z. (2024). Analysis of Synergistic Drivers of CO2 and NOX Emissions from Thermal Power Generating Units in Beijing–Tianjin–Hebei Region, 2010–2020. Sustainability, 16(17), 7554. https://doi.org/10.3390/su16177554

