Perceived and Physical Quality of Drinking Water in Pavlodar and Akmola Rural Regions of Kazakhstan
Abstract
1. Introduction
2. Materials and Methods
2.1. Research Area
| Name of Village | Population 1 | Geographical and Administrative Location |
|---|---|---|
| Gosplemstancya | 1308 | Part of the Michurinsky rural district |
| Chernoyarka | 653 | It is part of the Chernoyarsk rural district. |
| Naberezhnoe | 1552 | Administrative center of the Grigorievsky rural district. |
| Zhanatan | 352 | Part of the Zhambyl rural district |
| Zhertumsyk | 234 | It is part of the Zarinsky rural district. |
| Birlik | 426 | Located approximately 38 km north of the district center, the village of Bayanaul. |
| Koryakovka | 176 | Approximately 17 km northeast of Pavlodar on the shore of the Koryakovka Lake. |
| Shakat | 774 | Administrative center of the Shakatsky rural district. |
| Efremovka | 1090 | Administrative center of the Efremovsky rural district. |
| Shoptykol | 187 | 60 km north of Bayanaul and 160 km northwest of Pavlodar. |
| Birsuat | 3058 | The village is located near the lake, in the central part of the region, at approximately 18 km (as the crow flies) southeast of the administrative center of the region—the city of Stepnyak. |
2.2. Chemical Analysis of Drinking Water Samples
2.3. WQI Index Calculation
2.4. Statistical Methods
3. Results
3.1. Statistical Data of Residents of Pavlodar and Akmola Regions
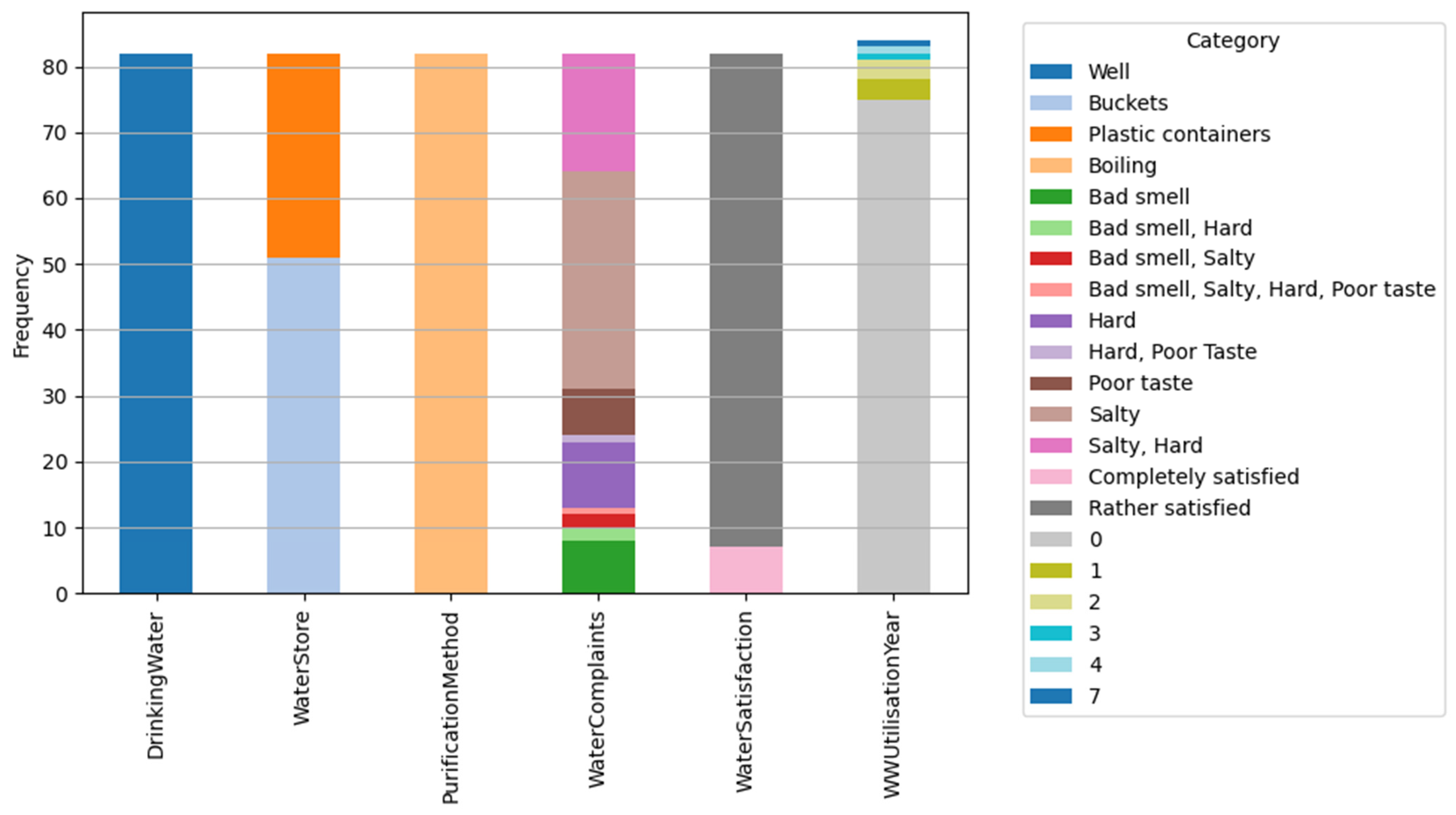
3.2. Perceiving Drinking Water Quality
3.3. Hydro–Chemical Parameters of Pavlodar and Akmola Rural Area Drinking Water and Their Correlation with Perceived Quality of Water
4. Discussion
5. Conclusions
Author Contributions
Funding
Institutional Review Board Statement
Informed Consent Statement
Data Availability Statement
Conflicts of Interest
References
- Travers, C.D.; Spencer, J.B.; Cwiak, P.A.C.; Howards, P.P. Urban-Rural Differences in Tubal Ligation Incidence in the State of Georgia, USA. J. Rural. Health 2018, 34, 122–131. [Google Scholar] [CrossRef]
- Cui, Z.; Vitousek, P.M.; Zhang, F.; Chen, X. Strengthening Agronomy Research for Food Security and Environmental Quality. Environ. Sci. Technol. 2016, 50, 1639–1641. [Google Scholar] [CrossRef]
- Tussupova, K.; Hjorth, P.; Berndtsson, R. Access to Drinking Water and Sanitation in Rural Kazakhstan. J. Environ. Res. Public Health 2016, 13, 1115. [Google Scholar] [CrossRef]
- Sharma, K.; Rajan, S.; Kanta Nayak, S. Water pollution: Primary sources and associated human health hazards with special emphasis on rural areas. In Water Resources Management for Rural Development. Challenges and Mitigation; Madhav, S., Srivastav, A.L., Chibueze Izah, S., Hullebusch, E., Eds.; Elsevier: Amsterdam, The Netherlands, 2023; pp. 3–14. [Google Scholar] [CrossRef]
- Baccour, S.; Goelema, G.; Albiac, J.; van Vliet, M.T.H.; Strokal, M. Water quality management could halve future water scarcity cost-effectively in the Pearl River Basin. Nat. Commun. 2024, 15, 5669. [Google Scholar] [CrossRef] [PubMed]
- Beisenova, R.; Zhumashev, B.; Turlybekova, G.; Yelikbayev, B.; Kakabayev, A.; Shamshedenova, S.; Nugmanov, A. Assessment of Atmospheric Air Quality in the Region of Central Kazakhstan and Astana. Atmosphere 2023, 14, 1601. [Google Scholar] [CrossRef]
- Chaza, C.; Sopheak, N.; Mariam, H.; David, H.; Baghdad, O.; Moomen, B. Assessment of pesticide contamination in Akkar groundwater, northern Lebanon. Environ. Sci. Pollut. R 2018, 25, 14302–14312. [Google Scholar] [CrossRef]
- Shamshedenova, S.; Beisenova, R.; Rakhymzhan, Z.; Zhaznaeva, Z.; Syzdykova, N.; Tazitdinova, R.; Khanturin, M. Ecological characteristics of groundwater in rural areas of the karaganda region. J. Ecol. Eng. 2019, 20, 67–75. [Google Scholar] [CrossRef] [PubMed]
- Angoua, K.; Dongo, M.R.; Templeton, J.; Zinsstag, B. Bonfoh Barriers to access improved water and sanitation in poor peri-urban settlements of Abidjan, Côte d’Ivoire. PLoS ONE 2018, 13, 0202928. [Google Scholar] [CrossRef] [PubMed]
- Andreev, A.; Andreev, M.; Kolesnihenko, D.; Dyganova, R.R.; Merzadinova, G.T.; Ibraev, I.K. Parametric identification algorithm for asynchronous electric motor inverter on the switching intervals of power transistors. Int. Sci. Tech. Conf. Smart Energy Syst. 2019, 124, 02017. [Google Scholar] [CrossRef]
- Akbayeva, L.; Bakeshova, Z.; Mamytova, N.; Tazitdinova, R.; Beisenova, R. Determination of the Microorganisms’ Resistance to Antibiotics in the Bacterioplankton Community in the Akmola Region Lakes. J. Ecol. Eng. 2024, 25, 99–108. [Google Scholar] [CrossRef]
- Alimgazin, A.; Merzadinova, G.; Sultanguzin, I.; Yavorovsky, Y.; Bartenev, A.; Berguzinov, A. Prospects for the use of absorption cooling and heating technologies to improve the energy efficiency of various facilities in the Republic of Kazakhstan. AIP Conf. Proc. 2022, 2650, 030026. [Google Scholar] [CrossRef]
- Results of the National Population Census of the Republic of Kazakhstan 2021. Agency of the Republic of Kazakhstan on Statistics. Available online: https://stat.gov.kz/en/national/2021/ (accessed on 5 May 2024).
- ArcGIS Online. Available online: https://www.arcgis.com/home/item.html?id=10df2279f9684e4a9f6a7f08febac2a9 (accessed on 1 June 2024).
- About the Region. Official Website of the Akimat of Pavlodar Region (June 2009). Archived from the Original on 1 June 2012. Available online: https://www.gov.kz/memleket/entities/pavlodar?lang=kk (accessed on 2 October 2009).
- General Information about the Pavlodar Region/Portal visitkazakhstan.nur.kz. Available online: https://welcome.kz/en/info-cities/pavlodar-region/ (accessed on 15 August 2024).
- Regions of Kazakhstan: ALL.BIZ: Kazakhstan. kz.all.biz. Retrieved 23 April 2022. Archived from the Original on 14 May 2021. Available online: https://web.archive.org/web/20210514164508/https:/kz.all.biz/regions (accessed on 15 August 2024).
- Natural Conditions and Natural Resources of the USSR. Available online: http://bse.sci-lib.com/article086155.html (accessed on 15 August 2024).
- Department of Statistics of Pavlodar Region. Archived 25 September 2020. Available online: https://ru.wikipedia.org/wiki (accessed on 15 August 2024).
- Kazakhstan. National Encyclopedia. Karaganda Region. Available online: https://www.wikiwand.com/ru/ (accessed on 15 August 2024).
- Population of the Republic of Kazakhstan by Gender by Regions, Cities, Districts and Regional Centers and Villages at the Beginning of 2024. The Bureau of National Statistics Agency for Strategic Planning and Reforms of the Republic of Kazakhstan. Available online: https://stat.gov.kz/industries/social-statistics/demography/publications/157719/ (accessed on 4 July 2024).
- Requirements for Drinking Water Quality (SanPin 2.1.4.1074-01). Available online: https://water2you.ru/n-docs/pdk_sanpin/ (accessed on 5 May 2024).
- Beisenova, R.; Rakhymzhan, Z.; Tazitdinova, R.; Auyelbekova, A.; Khussainov, M. Comparative characteristics of germination of some halophyte plants in Saline soils of Pavlodar region. J. Environ. Manag. Tour. 2020, 11, 1132–1142. [Google Scholar] [CrossRef] [PubMed]
- Horton, R.K. An index number for rating water quality. J. Water Pollut. Control Fed. 1965, 37, 300–306. [Google Scholar]
- Life Expectancy, Kazakhstan. Available online: https://data.who.int/countries/398 (accessed on 15 August 2024).
- Bull, C.; Nutr, B.; Byrnes, J.; Comm, B.; Econ, B.; Stud, E.; Econ, H.; Hettiarachchi, R.; Downes, M. A systematic review of the validity and reliability of patient-reported experience measures. Health Serv. Res. 2019, 54, 1023–1035. [Google Scholar] [CrossRef] [PubMed]
- Boelee, E.; Geerling, G.; Zaan, B.; Blauw, A.; Vethaak, A.D. Water and health: From environmental pressures to integrated responses. Acta Trop. 2019, 193, 217–226. [Google Scholar] [CrossRef]
- Adugna, D. Challenges of sanitation in developing counties—Evidenced from a study of fourteen towns, Ethiopia. Heliyon 2023, 9, e12932. [Google Scholar] [CrossRef]
- Khoshnava, S.M.; Rostami, R.; Mohamad Zin, R.; Štreimikienė, D.; Mardani, A.; Ismail, M. The Role of Green Building Materials in Reducing Environmental and Human Health Impacts. Int. J. Environ. Res. Public Health 2020, 17, 2589. [Google Scholar] [CrossRef]
- Li, P.; Karunanidhi, D.; Subramani, T.; Srinivasamoorthy, K. Sources and Consequences of Groundwater Contamination. Arch. Environ. Contam. Toxicol. 2021, 80, 1–10. [Google Scholar] [CrossRef]
- Kumar, D.; Kumar, R.; Sharma, R.M.; Awasthi, A.; Kumar, M. Global water quality indices: Development, implications, and limitations. Total Environ. Adv. 2024, 9, 200095. [Google Scholar] [CrossRef]
- Geng, M.; Qian, Z.; Jiang, H.; Huang, B.; Huang, S.; Deng, B.; Peng, Y.; Xie, Y.; Li, F.; Zou, Y.; et al. Assessing the impact of water-sediment factors on water quality to guide river-connected lake water environment improvement. Sci. Total Environ. 2024, 912, 168866. [Google Scholar] [CrossRef]
- Khan, N.; Hoque, S.F.; Mahmud, Z.H.; Islam, M.R.; Alam, M.A.; Islam, M.S.; Charles, K.J. Water quality and unseen health outcomes: A cross-sectional study on arsenic contamination, subclinical disease and psychosocial distress in Bangladesh. SSM Ment. Health 2024, 6, 100344. [Google Scholar] [CrossRef]
- Barros, R.; Ohnuma, A.A., Jr.; Manso, M.C. Self-Perceived Quality of Life (WHOQOL-Bref), and Self-Reported Health, Social and Environmental Factors Related to Its Improvement among Residents of Anil, Rio de Janeiro—Cross-Sectional Study. Healthcare 2024, 12, 1520. [Google Scholar] [CrossRef] [PubMed]
- Stephens, S.; Praskievicz, S. Bottled Water Consumption and Perceptions of Household Water Quality:An Intra-Urban Analysis of Greensboro, North Carolina. Southeast. Geogr. 2024, 64, 203–219. [Google Scholar] [CrossRef]
- Le, L.-T.; Dao, T.-V.-H.; Tran, G.-H.N.; Nguyen, T.-M.T.; Lam, M.-Q.; Vo, T.-B.T.; Nguyen, P.-T.; Tran, Y.-N.P.; Nguyen, N.T.; Lens, P.N.L.; et al. Investigation of canal water quality, sanitation, and hygiene amongst residents living along the side of the canals—A cross—Sectional epidemiological survey at Ho Chi Minh city, Vietnam. Case Stud. Chem. Environ. Eng. 2024, 9, 100700. [Google Scholar] [CrossRef]
- Lampung-Aswirta, V.F.; Priadi, C.R. Assessment of the Level of Drinking Water Services that Are Perceived as Safe in Metro City. The 1st International Symposium on Environmental and Energy Policy (ISEEP 2023), Section Environmental Policy Formulation and Evaluation. E3S Web Conf. 2024, 506, 06010. [Google Scholar] [CrossRef]
- Lavallee, S.; Latchmore, N.; Egan, R.; Hynds, P.D.; Brown, R.S.; Majury, A. ‘If it works, don’t fix it’: A qualitative study of knowledge, perception, and behaviour among private well owners in southeastern Ontario. Groundw. Sustain. Dev. 2024, 24, 101057. [Google Scholar] [CrossRef]
- Norvivor, A.; Azizi, S.; Fuku, X.; Atibu, E.K.; Idris, A.O.; Sibali, L.; Maaza, M.; Kamika, I. Ecological and human health risk of heavy metals in Nubui River: A case of rural remote communities. Front. Water 2024, 6, 1397853. [Google Scholar] [CrossRef]
- Jia, C.; Altaf, A.R.; Li, F.; Ashraf, I.; Zafar, Z.; Nadeem, A.A. Comprehensive assessment on groundwater quality, pollution characteristics, and ecological health risks under seasonal thaws: Spatial insights with Monte Carlo simulations. Groundw. Sustain. Dev. 2023, 22, 100952. [Google Scholar] [CrossRef]
- Terefe, B.; Jembere, M.M.; Assimamaw, N.T. Access to drinking safe water and its associated factors among households in East Africa: A mixed effect analysis using 12 East African countries recent national health survey. J. Health Popul. Nutr. 2024, 43, 72. [Google Scholar] [CrossRef]
- Marks, N.K.; Cravotta, C.A.; Rossi, M.L.; Silva, C.; Kremer, P.; Goldsmith, S.T. Exploring spatial and temporal symptoms of the freshwater salinization syndrome in a rural to urban watershed. Sci. Total Environ. 2024, 947, 174266. [Google Scholar] [CrossRef]
- Tabi, R.N.; Gibrilla, A.; Boakye, P.; Agyemang, F.O.; Foaah, A.A.; Oduro-Kwarteng, S. Appraisal of groundwater quality and hydrochemistry in three regions of Ghana: Implications for drinking purposes. Groundw. Sustain. Dev. 2024, 26, 101193. [Google Scholar] [CrossRef]
- Liu, R.; Qiu, J.; Wang, S.; Fu, R.; Qi, X.; Jian, C.; Hu, Q.; Zeng, Z.; Liu, N. Hydrochemical and microbial community characteristics and the sources of inorganic nitrogen in groundwater from different aquifers in Zhanjiang, Guangdong Province, China. Environ. Res. 2024, 252 Pt 3, 119022. [Google Scholar] [CrossRef]
- Adeoti, O.S.; Kandasamy, J.; Vigneswaran, S. Water infrastructure sustainability challenge in Nigeria: A detailed examination of infrastructure failures and potential solutions. Water Supply 2024, 24, 2066–2076. [Google Scholar] [CrossRef]
- Hobbs, M.; Puente-Sierra, M.; Marek, L.; Broadbent, J.M.; Chambers, T. Examining the Structural Inequities in the Quality of Nationwide Drinking Water Data in Aotearoa New Zealand: A Geospatial Cross-Sectional Study. Appl. Spat. Anal. Policy 2024, 17, 951–962. [Google Scholar] [CrossRef]
- Cohen, A.; Rasheduzzaman, M.; O’Connell, B.; Brown, T.; Taniuchi, M.; Krometis, L.-A.; Hubbard, A.; Scheuerman, P.; Edwards, M.; Darling, A.; et al. Drinking water sources, quality, and associated health outcomes in Appalachian Virginia: A risk characterization study in two counties. Int. J. Hyg. Environ. Health 2024, 260, 114390. [Google Scholar] [CrossRef] [PubMed]
- Molitor, D.; White, C. Do cities mitigate or exacerbate environmental damages to health? Reg. Sci. Urban Econ. 2024, 107, 103973. [Google Scholar] [CrossRef]
- Bopp, C.; Nicolas-Artero, C.; Blanco, E.; Fuster, R. Infrastructure Conditions and Service Quality in Rural Drinking Water Systems: A Cluster Analysis ofCommunity-Based Organizations in Chile. J. Water Resour. Plan. Manag. 2024, 150, 05024003. [Google Scholar] [CrossRef]
- Burkhanova, G.S.; Roshana, N.R.; Gorbunova, S.V.; Kas’yanova, V.S.; Kuterbekov, K.A.; Bekmyrza, K.Z.; Merzadinova, G.T. Operational Stability of the Pd–6 wt% In–0.5 wt% Ru–1 wt% Co Membrane during Its Cyclic Operation in Manufacturing High-Purity Hydrogen. Russ. Metall. 2021, 3, 313–319. [Google Scholar] [CrossRef]
- Brown, R.; Jones, M. Impact of agricultural runoff on water quality. J. Environ. Qual. 2020, 49, 395–402. [Google Scholar]
- Smith, L.; Taylor, P.; Anderson, D. Geological sources of minerals in water and their health implications*. J. Environ. Sci. Health 2018, 53 Pt A, 1123–1134. [Google Scholar]
- Johnson, S.; Anderson, M. Industrial contributions to groundwater pollution. J. Hydrol. 2017, 580, 124567. [Google Scholar]
- Doe, J.; Roe, M.; Smith, L. Water contamination and associated health risks in rural environments. Environ. Health Perspect. 2019, 127, 345–354. [Google Scholar]
- Green, S.; Blue, T.; White, L. Sustainable agricultural practices for water quality improvement. Water Resour. Manag. 2021, 35, 1777–1790. [Google Scholar]
- White, K.; Black, J.; Grey, I. Health risks associated with manganese exposure. Neurotoxicology 2019, 73, 230–241. [Google Scholar]
- Miller, R.; Davis, S. Geological influences on groundwater chemistry. Groundwater 2020, 58, 75–88. [Google Scholar]
- Akcaalan, R.; Devesa-Garriga, R.; Dietrich, A.; Steinhaus, M.; Dunkel, A.; Mall, V.; Manganelli, M.; Scardala, S.; Testai, E.; Codd, G.A.; et al. Water taste and odor (T&O): Challenges, gaps and solutions from a perspective of the WaterTOP network. Chem. Eng. J. Adv. 2022, 12, 15–100409. [Google Scholar] [CrossRef]
- Yang, Z.; Zhang, S.; Wang, F.; Dong, B.; Cai, M. Occurrence and health risk assessment of organic amine pesticides in drinking water of the Yangtze River delta urban agglomeration. J. Environ. Sci. 2025, 152, 99–110. [Google Scholar] [CrossRef]


















| Hydro-Chemical Composition | Drinking Water Maximum Permissible Concentration | Hydro-Chemical Composition | Drinking Water Maximum Permissible Concentration |
|---|---|---|---|
| Chlorides, mg/L | 350 | Dry residue mg/L | 1000 (1500) |
| Phosphates, mg/L | 3.5 | pH | 6–9 |
| Hydro carbonates | 30–400 | Mineralization, mg/L | 1000 (1500) |
| Carbonates, mg/L | Iron, mg/L | 0.3 | |
| Nitrates, mg/L | 45 | Carbonates hardness, meq/L | 7 (10) |
| Sulfates, mg/L | 500 | Calcium, mg/L | |
| Total anions | Magnesium, mg/L | ||
| Color, º | 20 (35) | Natrium, mg/L, Kalium, mg/L | 200 |
| Manganese, mg/L | 0.1 (0.5) | Total cations |
| N | WQI | Status | Possible Usages |
|---|---|---|---|
| 1 | 0–25 | Excellent | Drinking, Irrigation and Industrial |
| 2 | 26–50 | Good | Domestic, Irrigation and Industrial |
| 3 | 51–75 | Fair | Irrigation and Industrial |
| 4 | 76–100 | Poor | Irrigation |
| 5 | 101–150 | Very Poor | Restricted use for Irrigation |
| 6 | Above 150 | Unfit for Drinking | Proper treatment required before use |
Disclaimer/Publisher’s Note: The statements, opinions and data contained in all publications are solely those of the individual author(s) and contributor(s) and not of MDPI and/or the editor(s). MDPI and/or the editor(s) disclaim responsibility for any injury to people or property resulting from any ideas, methods, instructions or products referred to in the content. |
© 2024 by the authors. Licensee MDPI, Basel, Switzerland. This article is an open access article distributed under the terms and conditions of the Creative Commons Attribution (CC BY) license (https://creativecommons.org/licenses/by/4.0/).
Share and Cite
Beisenova, R.; Tussupova, K.; Tazitdinova, R.; Tulegenova, S.; Rakhymzhan, Z.; Orkeyeva, A.; Alkhanova, Y.; Myrzagaliyeva, A.; Nugmanov, A.; Zhupysheva, A. Perceived and Physical Quality of Drinking Water in Pavlodar and Akmola Rural Regions of Kazakhstan. Sustainability 2024, 16, 7625. https://doi.org/10.3390/su16177625
Beisenova R, Tussupova K, Tazitdinova R, Tulegenova S, Rakhymzhan Z, Orkeyeva A, Alkhanova Y, Myrzagaliyeva A, Nugmanov A, Zhupysheva A. Perceived and Physical Quality of Drinking Water in Pavlodar and Akmola Rural Regions of Kazakhstan. Sustainability. 2024; 16(17):7625. https://doi.org/10.3390/su16177625
Chicago/Turabian StyleBeisenova, Raikhan, Kamshat Tussupova, Rumiya Tazitdinova, Symbat Tulegenova, Zhanar Rakhymzhan, Ainur Orkeyeva, Yerkenaz Alkhanova, Anar Myrzagaliyeva, Askar Nugmanov, and Aktoty Zhupysheva. 2024. "Perceived and Physical Quality of Drinking Water in Pavlodar and Akmola Rural Regions of Kazakhstan" Sustainability 16, no. 17: 7625. https://doi.org/10.3390/su16177625
APA StyleBeisenova, R., Tussupova, K., Tazitdinova, R., Tulegenova, S., Rakhymzhan, Z., Orkeyeva, A., Alkhanova, Y., Myrzagaliyeva, A., Nugmanov, A., & Zhupysheva, A. (2024). Perceived and Physical Quality of Drinking Water in Pavlodar and Akmola Rural Regions of Kazakhstan. Sustainability, 16(17), 7625. https://doi.org/10.3390/su16177625

