Exothermic Reaction in the Cleaning of Wastewater by a Fe2O3/Coconut Shell Activated Carbon/H2O2 Heterogeneous Fenton-like System
Abstract
1. Introduction
2. Materials and Methods
2.1. Instruments
2.2. Preparation of Fe2O3@CSAC
2.3. Degradation Experiment
2.4. Data Processing
3. Results and Discussion
3.1. X-ray Diffraction (XRD) Analysis
3.2. Fourier Transform Infrared Spectroscopy (FTIR) Analysis
3.3. Scanning Electron Microscope (SEM) Analysis
3.4. Effect of Catalyst Dosage
3.5. Effect of the H2O2 Concentration
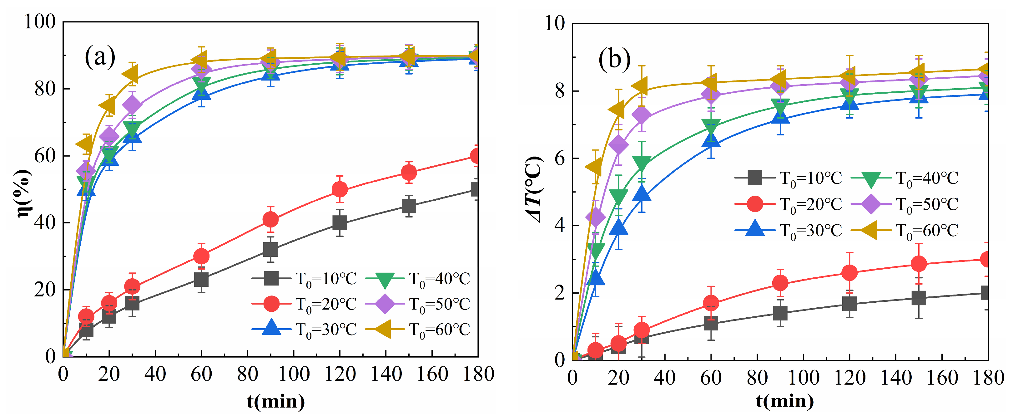
3.6. Influence of the Initial Reaction Temperature
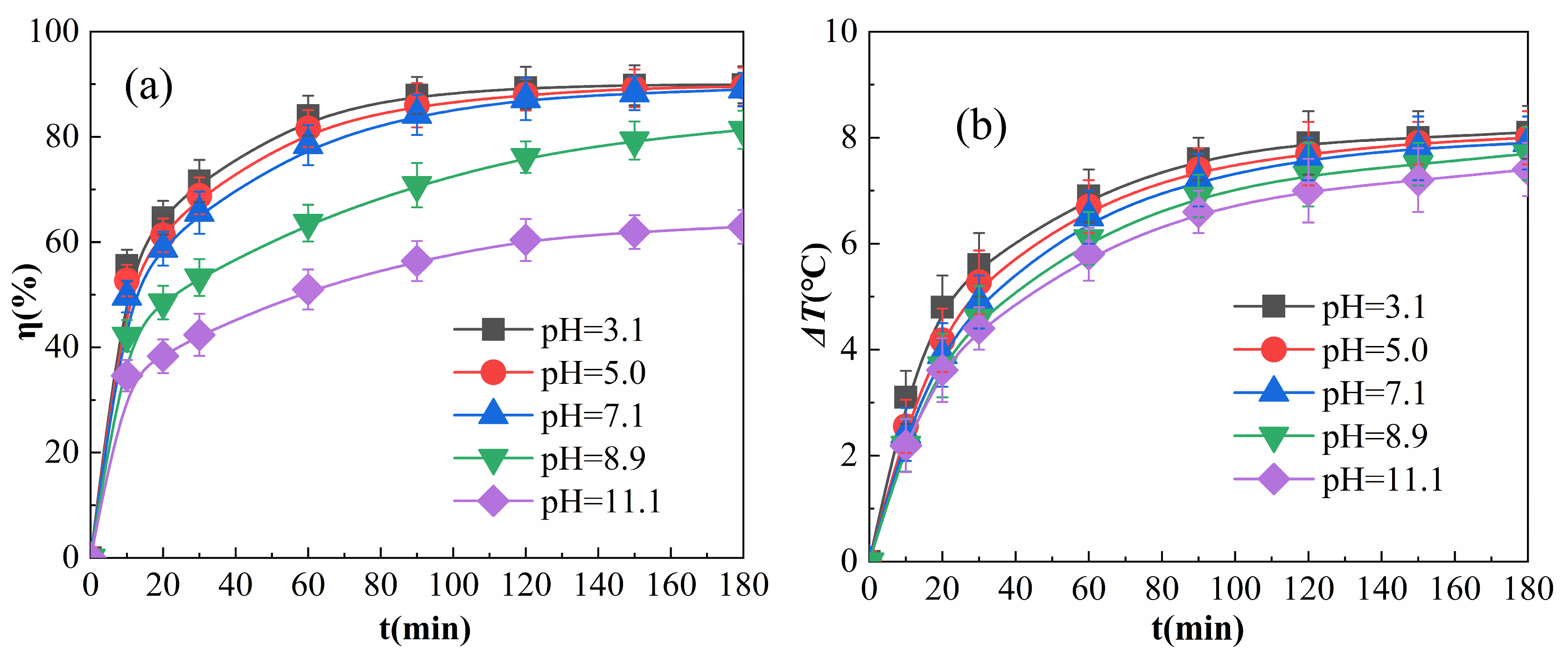
3.7. Effect of Solution pH
3.8. Effect of the Initial Concentration of OPD
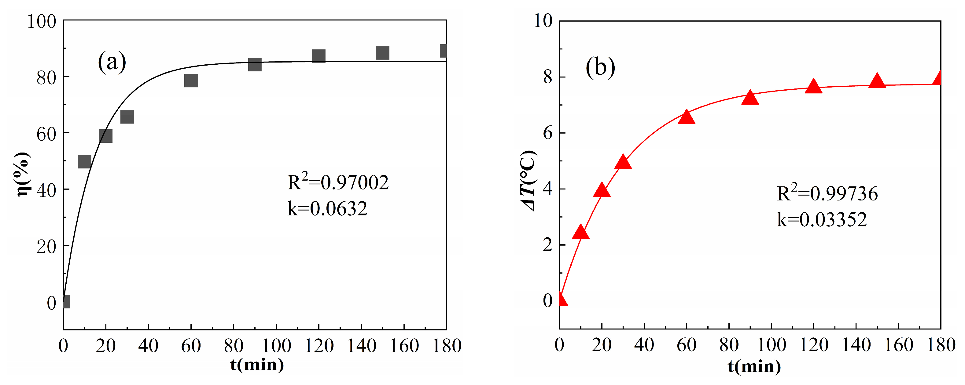
3.9. Kinetics
4. Conclusions
- (1)
- Fe2O3 was uniformly dispersed on the CSAC carrier and had a better catalytic effect in the Fe2O3@CSAC/H2O2 multiphase-like Fenton system. The OPD degradation process releases a large amount of heat, which is in line with the characteristics of a first-order reaction and can be used as a theoretical basis for the use of energy in wastewater treatment. A 300 mL solution of 0.04 mol·L−1 OPD had an η of 89.0% and a ΔT of 7.9 °C under an H2O2 concentration of 0.25 mol·L−1, Fe2O3@CSAC concentration of 532g·L−1, pH of 7.1, and T0 of 30 °C.
- (2)
- In the Fe2O3@CSAC/H2O2 multiphase Fenton-like system, the additions of H2O2 and Fe2O3@CSAC had a large influence on the exothermic reaction and degradation rate. Increases in H2O2 and Fe2O3@CSAC within a certain range could accelerate the reaction rate, exothermic reaction, and degradation rate of the system.
- (3)
- The Fe2O3@CSAC/H2O2 multiphase Fenton-like system had a wide initial pH adaptability and good degradation performance in the range of pH 3.1–8.9. Variation in the initial pH had almost no effect on the exothermic reaction.
- (4)
- The higher the temperature at the beginning of the reaction, the faster the degradation of pollutants and the faster the temperature rise of the system. Under the same conditions, the exothermic reaction is enhanced by a concentration increase.
Author Contributions
Funding
Data Availability Statement
Conflicts of Interest
References
- Cheng, Y.; Wu, Y.; Bai, S. A smart community waste heat recovery system based on air source-sewage source compound heat pump. Int. J. Heat Technol. 2021, 39, 503–511. [Google Scholar] [CrossRef]
- Yu, Y.; Li, H.; Wang, L. Applications and future development of sewage source heat pump. In Proceedings of the 2016 International Conference on Biological Engineering and Pharmacy (BEP 2016), Shanghai, China, 9–11 December 2016; Volume 3, pp. 332–334. [Google Scholar]
- Yang, B.; Wang, Y.; Liu, Z.; Liu, J.; Cai, J. Optimum removal conditions of aniline compounds in simulated wastewater by laccase from white-rot fungi. J. Environ. Health Sci. Eng. 2019, 17, 135–140. [Google Scholar] [CrossRef]
- Hou, C.; Fu, L.; Wang, Y.; Chen, W.; Chen, F.; Zhang, S.; Wang, J. Core-shell magnetic Fe3O4/CNC@MOF composites with peroxidase-like activity for colorimetric detection of phenol. Cellulose 2021, 28, 9253–9268. [Google Scholar] [CrossRef]
- Yu, Q.; Feng, L.; Chai, X.; Qiu, X.; Ouyang, H.; Deng, G. Enhanced surface Fenton degradation of BPA in soil with a high pH. Chemosphere 2019, 220, 335–343. [Google Scholar] [CrossRef]
- Li, X.; Chen, W.; Ma, L.; Wang, H.; Fan, J. Industrial wastewater advanced treatment via catalytic ozonation with an Fe-based catalyst. Chemosphere 2018, 195, 336–343. [Google Scholar] [CrossRef] [PubMed]
- Alazaiza, M.Y.D.; Albahnasawi, A.; Eyvaz, M.; Nassani, D.E.; Abu Amr, S.S.; Abujazar, M.S.S.; Al-Maskari, O. Electrochemical-based advanced oxidation for hospital wastewater treatment. Desalin. Water Treat. 2023, 300, 44–56. [Google Scholar] [CrossRef]
- Sun, Y.; Yu, I.K.M.; Tsang, D.C.W.; Fan, J.; Clark, J.H.; Luo, G.; Zhang, S.; Khan, E.; Graham, N.J.D. Tailored design of graphitic biochar for high-efficiency and chemical-free microwave-assisted removal of refractory organic contaminants. Chem. Eng. J. 2020, 398, 125505. [Google Scholar] [CrossRef]
- Sun, Y.; Cho, D.; Graham, N.J.D.; Hou, D.; Yip, A.C.K.; Khan, E.; Song, H.; Li, Y.; Tsang, D.C.W. Degradation of antibiotics by modified vacuum-UV based processes: Mechanistic consequences of H2O2 and K2S2O8 in the presence of halide ions. Sci. Total Environ. 2019, 664, 312–321. [Google Scholar] [CrossRef]
- Cüce, H.; Aydın Temel, F.A. Efficient removal performance of COD in real laundry wastewater via conventional and photo-Fenton degradation systems: A comparative study on oxidants and operating time by H2O2/Fe2+. Arab. J. Sci. Eng. 2023, 48, 15823–15835. [Google Scholar] [CrossRef]
- Wang, R.; Liu, X.; Wang, Y.; Shao, Z. Research progress of Fenton oxidation treatment refractory organic wastewater. Ind. Water Treat. 2022, 42, 58–66. [Google Scholar]
- Hussain, S.; Aneggi, E.; Goi, D. Catalytic activity of metals in heterogeneous Fenton-like oxidation of wastewater contaminants: A review. Environ. Chem. Lett. 2021, 19, 2405–2424. [Google Scholar] [CrossRef]
- Liu, Y.; Jin, W.; Zhao, Y.; Zhang, G.; Zhang, W. Enhanced catalytic degradation of methylene blue by α-Fe2O3/graphene oxide via heterogeneous photo-Fenton reactions. Appl. Catal. B 2017, 206, 642–652. [Google Scholar] [CrossRef]
- Zhang, M.H.; Dong, H.; Zhao, L.; Wang, D.X.; Meng, D. A review on Fenton process for organic wastewater treatment based on optimization perspective. Sci. Total Environ. 2019, 670, 110–121. [Google Scholar] [CrossRef]
- Pelalak, R.; Hassani, A.; Heidari, Z.; Zhou, M. State-of-the-art recent applications of layered double hydroxides (LDHs) material in Fenton-based oxidation processes for water and wastewater treatment. Chem. Eng. J. 2023, 474, 145511. [Google Scholar] [CrossRef]
- Dong, P.; Shan, P.; Wang, S.; Ge, B.; Zhao, C. Heterogeneous Fenton treatment of shale gas fracturing flow-back wastewater by spherical Fe/Al2O3 catalyst. Environ. Sci. Pollut. Res. Int. 2023, 30, 105685–105699. [Google Scholar] [CrossRef]
- Liu, L.; Yu, R.; Zhao, S.; Cao, X.; Zhang, X.; Bai, S. Heterogeneous Fenton system driven by iron-loaded sludge biochar for sulfamethoxazole-containing wastewater treatment. J. Environ. Manag. 2023, 335, 117576. [Google Scholar] [CrossRef] [PubMed]
- Zhang, J.; Wang, Y.; Hong, M.; Peng, B.; Bao, C.; Xu, X.L.; Li, D.; Chen, J.; Wang, B.; Zhang, Q. Ferrocene-based resin as heterogeneous Fenton-like catalyst for efficient treatment of high salinity wastewater at acidic, neutral, and basic pH. J. Haz. Mater. 2023, 459, 132258. [Google Scholar] [CrossRef]
- Ahmad, R.K.; Sulaiman, S.A.; Yusup, S.; Dol, S.S.; Inayat, M.; Umar, H.A. Exploring the potential of coconut shell biomass for charcoal production. Ain Shams Eng. J. 2022, 13, 101499. [Google Scholar] [CrossRef]
- Li, X.; Li, X.; Song, C.; Yang, X.; Liu, Y.; Zhu, J. Efficient degradation of tetrabromobisphenol A using peroxymonosulfate oxidation activated by a novel Nano-CuFe2O4@coconut shell biochar catalyst. Environ. Pollut. 2023, 337, 122488. [Google Scholar] [CrossRef]
- Pang, Y.L.; Law, Z.X.; Lim, S.; Chan, Y.Y.; Shuit, S.H.; Chong, W.C.; Lai, C.W. Enhanced photocatalytic degradation of methyl orange by coconut shell–derived biochar composites under visible LED light irradiation. Environ. Sci. Pollut. Res. Int. 2021, 28, 27457–27473. [Google Scholar] [CrossRef] [PubMed]
- Sun, Y.H.; Zhang, G.J.; Liu, J.W.; Zhao, P.Y.; Hou, P.; Xu, Y.; Zhang, R.G. Effect of different activated carbon support on CH4-CO2 reforming over Co-based catalysts. Int. J. Hydrogen Energy 2017, 43, 1497–1507. [Google Scholar] [CrossRef]
- Shiyuan, H.; Jian, D.; Hanqin, Y.; Guohua, W.; Xingliang, W.U. Experimental study on activation of peroxymonosulfate by cobalt-enhanced ferromagnet. CIESC J. 2022, 73, 3045–3056. [Google Scholar]
- Li, N.; Dai, W.H.; Kang, H.B.; Lv, B.; Jiang, P.; Wang, W. Study on the adsorption performance and adsorption mechanism of graphene oxide by red sandstone in aqueous solution. Adsorpt. Sci. Technol. 2022, 2022, 2557107. [Google Scholar] [CrossRef]
- Feng, L.; Cheng, J.; Ding, S.; Zhang, H.; Zhang, H. Dynamic adsorption performance of activated carbon for advanced treatment on phenolic chemical wastewater. J. Saf. Environ. 2023, 23, 2447–2456. [Google Scholar]
- Jiayu, L.; Yue, Z.; Yuan, L.; Jingjing, X.; Shitang, T. Structure and properties of biochar under different materials and carbonization temperatures. Chin. J. Environ. Eng. 2016, 10, 3200–3206. [Google Scholar]
- Jian, J.I.N.; Zhihong, Z.; Hongfan, B.; Shitang, T. Preparation and performance of γ- Fe2O3/AC desulfurizer at low temperature for CS2 removal. Chem. Ind. Eng. Prog. 2018, 37, 4397–4404. [Google Scholar] [CrossRef]
- Wang, N.; Zheng, T.; Zhang, G.; Wang, P. A review on Fenton-like processes for organic wastewater treatment. J. Environ. Chem. Eng. 2016, 4, 762–787. [Google Scholar] [CrossRef]
- Yan, Y.; Mao, Y.; Dong, Y.; Zhang, K.; Sun, X.; Ma, C. Exothermic laws applicable to the degradation of o-phenylenediamine in wastewater via a Fe3+/H2O2 homogeneous quasi-Fenton system. RSC Adv. 2019, 9, 26283–26290. [Google Scholar] [CrossRef]
- Forouzesh, M.; Ebadi, A.; Aghaeinejad-Meybodi, A. Degradation of metronidazole antibiotic in aqueous medium using activated carbon as a persulfate activator. Sep. Purif. Technol. 2019, 210, 145–151. [Google Scholar] [CrossRef]
- Chen, H.; Zhang, Z.; Yang, Z.; Yang, Q.; Li, B.; Bai, Z. Heterogeneous Fenton-like catalytic degradation of 2,4-dichlorophenoxyacetic acid in water with FeS. Chem. Eng. J. 2015, 273, 481–489. [Google Scholar] [CrossRef]
- Ding, M.; Chen, W.; Xu, H.; Lu, C.; Lin, T.; Shen, Z.; Tao, H.; Zhang, K. Synergistic features of superoxide molecule anchoring and charge transfer on two-dimensional Ti3C2Tx MXene for efficient peroxymonosulfate activation. ACS Appl. Mater. Interfaces 2020, 12, 9209–9218. [Google Scholar] [CrossRef]
- Huang, R.; Yang, J.; Cao, Y.; Dionysiou, D.D.; Wang, C. Peroxymonosulfate catalytic degradation of persistent organic pollutants by engineered catalyst of self-doped iron/carbon nanocomposite derived from waste toner powder. Sep. Purif. Technol. 2022, 291, 120963. [Google Scholar] [CrossRef]
- Wang, C.; Huang, R.; Sun, R.; Yang, J.; Dionysiou, D.D. Microplastics separation and subsequent carbonization: Synthesis, characterization, and catalytic performance of iron/carbon nanocomposite. J. Clean. Prod. 2022, 330, 129901. [Google Scholar] [CrossRef]
- Liu, Y.; Luo, R.; Li, Y.; Qi, J.; Wang, C.; Li, J.; Wang, L. Sandwich-like Co3O4/MXene composite with enhanced catalytic performance for bisphenol A degradation. Chem. Eng. 2018, 347, 731–740. [Google Scholar] [CrossRef]
- Jin, X.; Su, J.; Yang, Q. A comparison study of Fenton-like and Fenton reactions in dichloromethane removal. Environ. Technol. 2022, 43, 4504–4514. [Google Scholar] [CrossRef] [PubMed]
- Chen, A.L.; Mao, J.L.; Luo, G.W.; Lu, S.J.; Zhang, P.; Ma, Y.T.; Chen, S.L.; Du, Z.J.; Bowen, L.; Qiao, J.X. The formation mechanism of the third phase in nickel electrolyte. In Materials Engineering—From Ideas to Practice: An EPD Symposium in Honor of Jiann-Yang Hwang; Springer International Publishing: Cham, Switzerland, 2021; pp. 129–138. [Google Scholar] [CrossRef]
- Chen, A.L.; Mao, J.L.; Luo, G.W.; Lu, S.J.; Zhang, P.; Ma, Y.T.; Chen, S.L.; Du, Z.J.; Bowen, L.; Qiao, J.X. Iron(III) hydrolysis and solubility at 25 °C. Environ. Sci. Technol. 2007, 41, 6117–6123. [Google Scholar] [CrossRef]
- Zhou, P.; Meng, S.; Sun, M.L.; Hu, K.S.; Yang, Y.Y.; Lai, B.; Wang, S.B.; Duan, X.G. Insights into boron accelerated Fenton-like chemistry: Sustainable and fast FeIII/FeII circulation. Separation Purif. Technol. 2023, 317, 123860. [Google Scholar] [CrossRef]
- Yan, Y.T.; Zhang, K.; Mao, Y.P.; Dong, Y. Study on the exothermic characteristics of Fe2+/H2O2 homogeneous Fenton degradation of o-phenylenediamine wastewater. Desal. Water Treat. 2021, 228, 335–342. [Google Scholar] [CrossRef]











Disclaimer/Publisher’s Note: The statements, opinions and data contained in all publications are solely those of the individual author(s) and contributor(s) and not of MDPI and/or the editor(s). MDPI and/or the editor(s) disclaim responsibility for any injury to people or property resulting from any ideas, methods, instructions or products referred to in the content. |
© 2024 by the authors. Licensee MDPI, Basel, Switzerland. This article is an open access article distributed under the terms and conditions of the Creative Commons Attribution (CC BY) license (https://creativecommons.org/licenses/by/4.0/).
Share and Cite
Zhang, K.; Yan, Y. Exothermic Reaction in the Cleaning of Wastewater by a Fe2O3/Coconut Shell Activated Carbon/H2O2 Heterogeneous Fenton-like System. Sustainability 2024, 16, 1482. https://doi.org/10.3390/su16041482
Zhang K, Yan Y. Exothermic Reaction in the Cleaning of Wastewater by a Fe2O3/Coconut Shell Activated Carbon/H2O2 Heterogeneous Fenton-like System. Sustainability. 2024; 16(4):1482. https://doi.org/10.3390/su16041482
Chicago/Turabian StyleZhang, Ke, and Yuntao Yan. 2024. "Exothermic Reaction in the Cleaning of Wastewater by a Fe2O3/Coconut Shell Activated Carbon/H2O2 Heterogeneous Fenton-like System" Sustainability 16, no. 4: 1482. https://doi.org/10.3390/su16041482
APA StyleZhang, K., & Yan, Y. (2024). Exothermic Reaction in the Cleaning of Wastewater by a Fe2O3/Coconut Shell Activated Carbon/H2O2 Heterogeneous Fenton-like System. Sustainability, 16(4), 1482. https://doi.org/10.3390/su16041482
