Exploring the Effects of Multi-Governance Mechanisms throughout the Dynamic Evolution of the Cooperative Innovation Network
Abstract
1. Introduction
2. Theoretical Foundation and Hypothesis
2.1. Cooperative Innovation Network Dynamics and Governance
2.2. Network Endogenous Mechanisms and Cooperative Innovation
2.2.1. Transitivity and Cooperative Innovation
2.2.2. Status and Cooperative Innovation
2.3. Stakeholder Governance Mechanisms and Cooperative Innovation
2.3.1. Association Autonomy and Cooperation Innovation
2.3.2. Industrial Policy Support and Cooperation Innovation
2.3.3. Institutional Environment Establishment and Cooperation Innovation
3. Research Design
3.1. Data Collection
3.2. Methodology
3.3. Variable Description
3.3.1. Cooperative Innovation Network
3.3.2. Explanatory Variables
- Transitivity
- 2.
- Status
- 3.
- Association autonomy
- 4.
- Industrial policy support
- 5.
- Institutional environment establishment
- 6.
- Control variables
4. Analyses and Results
4.1. Structural Evolution of the Cooperative Innovation Network
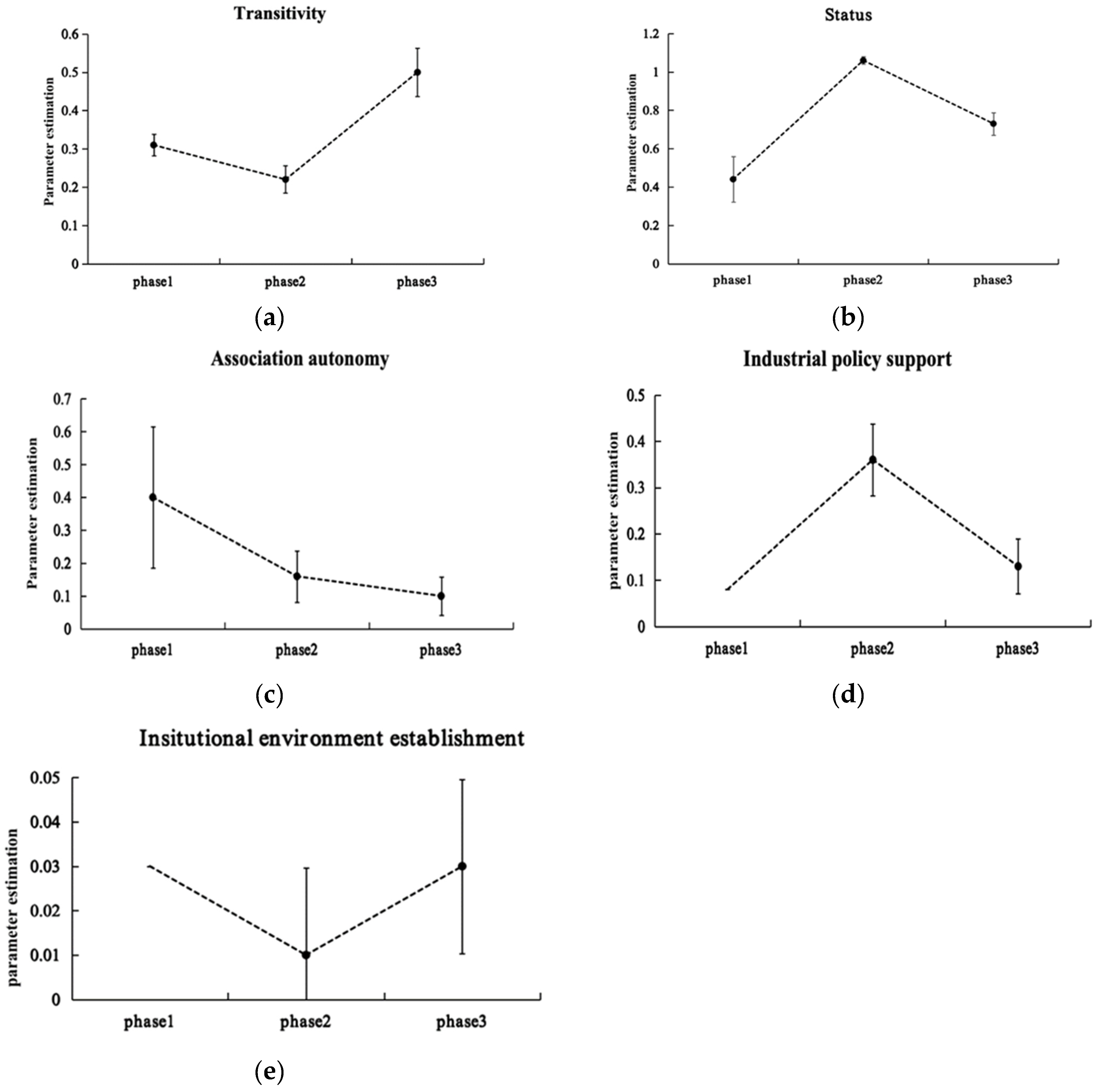
4.2. Examining the Role of Multi-Governance Mechanisms
5. Discussion
5.1. Theoretical Implications
5.2. Managerial Implications
5.3. Limitations and Further Research
Author Contributions
Funding
Institutional Review Board Statement
Informed Consent Statement
Data Availability Statement
Conflicts of Interest
References
- Wang, C.; Hu, Q. Knowledge Sharing in Supply Chain Networks: Effects of Collaborative Innovation Activities and Capability on Innovation Performance. Technovation 2020, 94–95, 102010. [Google Scholar] [CrossRef]
- Singh, R.; Chandrashekar, D.; Subrahmanya Mungila Hillemane, B.; Sukumar, A.; Jafari-Sadeghi, V. Network Cooperation and Economic Performance of SMEs: Direct and Mediating Impacts of Innovation and Internationalisation. J. Bus. Res. 2022, 148, 116–130. [Google Scholar] [CrossRef]
- Felzensztein, C.; Gimmon, E.; Deans, K.R. Coopetition in Regional Clusters: Keep Calm and Expect Unexpected Changes. Ind. Mark. Manag. 2018, 69, 116–124. [Google Scholar] [CrossRef]
- Gereffi, G.; Lee, J. Economic and Social Upgrading in Global Value Chains and Industrial Clusters: Why Governance Matters. J. Bus. Ethics 2016, 133, 25–38. [Google Scholar] [CrossRef]
- Reuer, J.J.; Zollo, M. Termination Outcomes of Research Alliances. Res. Policy 2005, 34, 101–115. [Google Scholar] [CrossRef]
- Dhanaraj, C.; Parkhe, A. Orchestrating Innovation Networks. Acad. Manag. Rev. 2006, 31, 659–669. [Google Scholar] [CrossRef]
- Xie, X.; Liu, X.; Chen, J. A Meta-Analysis of the Relationship between Collaborative Innovation and Innovation Performance: The Role of Formal and Informal Institutions. Technovation 2023, 124, 102740. [Google Scholar] [CrossRef]
- Jones, C.; Hesterly, W.S.; Borgatti, S.P. A General Theory of Network Governance: Exchange Conditions and Social. Acad. Manag. J. 1997, 22, 911–945. [Google Scholar] [CrossRef]
- Lin, H.M. The Dynamic Evolution and Technological Diffusion in Taiwan’s TFT-LCD Industrial Cluster: A Network Perspective. Technol. Anal. Strateg. Manag. 2012, 24, 435–451. [Google Scholar] [CrossRef]
- Wang, L.; Yeung, J.H.Y.; Zhang, M. The Impact of Trust and Contract on Innovation Performance: The Moderating Role of Environmental Uncertainty. Int. J. Prod. Econ. 2011, 134, 114–122. [Google Scholar] [CrossRef]
- Bouncken, R.B.; Clauß, T.; Fredrich, V. Product Innovation through Coopetition in Alliances: Singular or Plural Governance? Ind. Mark. Manag. 2016, 53, 77–90. [Google Scholar] [CrossRef]
- Rowley, T.J. Moving beyond Dyadic Ties: A Network Theory of Stakeholder Influences. Acad. Manag. Rev. 1997, 22, 887–910. [Google Scholar] [CrossRef]
- Leite, E. Innovation Networks for Social Impact: An Empirical Study on Multi-Actor Collaboration in Projects for Smart Cities. J. Bus. Res. 2022, 139, 325–337. [Google Scholar] [CrossRef]
- Owen-Smith, J.; Powell, W.W. Knowledge Networks as Channels and Conduits: The Effects of Spillovers in the Boston Biotechnology Community. Organ. Sci. 2004, 15, 5–21. [Google Scholar] [CrossRef]
- Glückler, J. Economic Geography and the Evolution of Networks. J. Econ. Geogr. 2007, 7, 619–634. [Google Scholar] [CrossRef]
- Rosenkopf, L.; Padula, G. Investigating the Microstructure of Network Evolution : Alliance Formation in the Mobile. Organ. Sci. 2008, 19, 669–687. [Google Scholar] [CrossRef]
- Abbey, P.; Tomlinson, P.R.; Branston, J.R. Perceptions of Governance and Social Capital in Ghana’s Cocoa Industry. J. Rural. Stud. 2016, 44, 153–163. [Google Scholar] [CrossRef]
- Bello, D.C.; Katsikeas, C.S.; Robson, M.J. Does Accommodating a Self-Serving Partner in an International Marketing Alliance Pay Off? J. Mark. 2010, 74, 77–93. [Google Scholar] [CrossRef]
- Liu, R.; Weng, Q.; Mao, G.; Huang, T. Industrial Cluster, Government Agency and Entrepreneurial Development: A Case Study of Wenzhou City, Zhejiang Province. Chin. Manag. Stud. 2013, 7, 253–280. [Google Scholar] [CrossRef]
- Nishimura, J.; Okamuro, H. Subsidy and Networking: The Effects of Direct and Indirect Support Programs of the Cluster Policy. Res. Policy 2011, 40, 714–727. [Google Scholar] [CrossRef]
- Ahuja, G.; Soda, G.; Zaheer, A. The Genesis and Dynamics of Organizational Networks. Organ. Sci. 2012, 23, 434–448. [Google Scholar] [CrossRef]
- Murray, J.Y.; Kotabe, M. Performance Implications of Strategic Fit between Alliance Attributes and Alliance Forms. J. Bus. Res. 2005, 58, 1525–1533. [Google Scholar] [CrossRef]
- Paswan, A.K.; Hirunyawipada, T.; Iyer, P. Opportunism, Governance Structure and Relational Norms: An Interactive Perspective. J. Bus. Res. 2017, 77, 131–139. [Google Scholar] [CrossRef]
- Zhang, C.; Li, J.J.; Huang, Y. Sustaining Relationships after Opportunism and Misunderstanding: The Role of Formalization and Socialization. Mark. Lett. 2017, 28, 305–319. [Google Scholar] [CrossRef]
- Williamson, O.E. Markets and Hierarchies: Analysis and Antitrust Implications; The Free Press: New York, NY, USA, 1975. [Google Scholar]
- Klepper, S. Entry, Exit, Growth, and Innovation over the Product Life Cycle. Am. Econ. Rev. 1996, 86, 562–583. [Google Scholar]
- Peltoniemi, M. Reviewing Industry Life-Cycle Theory: Avenues for Future Research. Int. J. Manag. Rev. 2011, 13, 349–375. [Google Scholar] [CrossRef]
- Balland, P.A.; De Vaan, M.; Boschma, R. The Dynamics of Interfirm Networks along the Industry Life Cycle: The Case of the Global Video Game Industry, 1987–2007. J. Econ. Geogr. 2013, 13, 741–765. [Google Scholar] [CrossRef]
- Dagnino, G.B.; Levanti, G.; Mocciaro Li Destri, A. Structural Dynamics and Intentional Governance in Strategic Interorganizational Network Evolution: A Multilevel Approach. Organ. Stud. 2016, 37, 349–373. [Google Scholar] [CrossRef]
- Balland, P.A.; Belso-Martínez, J.A.; Morrison, A. The Dynamics of Technical and Business Knowledge Networks in Industrial Clusters: Embeddedness, Status, or Proximity? Econ. Geogr. 2016, 92, 35–60. [Google Scholar] [CrossRef]
- Lin, H.M.; Huang, H.C.; Lin, C.P.; Hsu, W.C. How to Manage Strategic Alliances in OEM-Based Industrial Clusters: Network Embeddedness and Formal Governance Mechanisms. Ind. Mark. Manag. 2012, 41, 449–459. [Google Scholar] [CrossRef]
- Polidoro, F.; Ahuja, G.; Mitchell, W. When the Social Structure Overshadows Competitive Incentives: The Effects of Network Embeddedness on Joint Venture Dissolution. Acad. Manag. J. 2016, 4, 64–75. [Google Scholar] [CrossRef]
- DiMaggio, P.J.; Powell, W.W. The Iron Cage Revisited: Institutional Isomorphism and Collective Rationality in Organizational Fields. Am. Sociol. Rev. 1983, 48, 147. [Google Scholar] [CrossRef]
- McDermott, G.A.; Corredoira, R.A.; Kruse, G. Public-Private Institutions as Catalysts of Upgrading in Emerging Market Societies. Acad. Manag. J. 2009, 52, 1270–1296. [Google Scholar] [CrossRef]
- Perez-Aleman, P. Collective Learning in Global Diffusion: Spreading Quality Standards in a Developing Country Cluster. Organ. Sci. 2011, 22, 173–189. [Google Scholar] [CrossRef]
- Giuliani, E.; Balland, P.A.; Matta, A. Straining but Not Thriving: Understanding Network Dynamics in Underperforming Industrial Clusters. J. Econ. Geogr. 2019, 19, 147–172. [Google Scholar] [CrossRef]
- Boschma, R.; Frenken, K. The Emerging Empirics of Evolutionary Economic Geography. J. Econ. Geogr. 2011, 11, 295–307. [Google Scholar] [CrossRef]
- Rivera, M.T.; Soderstrom, S.B.; Uzzi, B. Dynamics of Dyads in Social Networks: Assortative, Relational, and Proximity Mechanisms. Annu. Rev. Sociol. 2010, 36, 91–115. [Google Scholar] [CrossRef]
- Broekel, T.; Boschma, R. Knowledge Networks in the Dutch Aviation Industry: The Proximity Paradox. J. Econ. Geogr. 2012, 12, 409–433. [Google Scholar] [CrossRef]
- Lazzeretti, L.; Capone, F. How Proximity Matters in Innovation Networks Dynamics along the Cluster Evolution. A Study of the High Technology Applied to Cultural Goods. J. Bus. Res. 2016, 69, 5855–5865. [Google Scholar] [CrossRef]
- Balland, P.A. Proximity and the Evolution of Collaboration Networks: Evidence from Research and Development Projects within the Global Navigation Satellite System (GNSS) Industry. Reg. Stud. 2012, 46, 741–756. [Google Scholar] [CrossRef]
- Gulati, R.; Gargiulo, M. Where Do Interorganizational Networks Come From? Am. J. Sociol. 1999, 104, 1439–1493. [Google Scholar] [CrossRef]
- Orsenigo, L. The (Failed) Development of a Biotechnology Cluster. Small Bus. Econ. 2001, 17, 77–92. [Google Scholar] [CrossRef]
- Giuliani, E. Network Dynamics in Regional Clusters: Evidence from Chile. Res. Policy 2013, 42, 1406–1419. [Google Scholar] [CrossRef]
- Thorgren, S.; Wincent, J.; Örtqvist, D. Designing Interorganizational Networks for Innovation: An Empirical Examination of Network Configuration, Formation and Governance. J. Eng. Technol. Manag. 2009, 26, 148–166. [Google Scholar] [CrossRef]
- Sun, Y.; Wang, T.; Gu, X. A Sustainable Development Perspective on Cooperative Culture, Knowledge Flow, and Innovation Network Governance Performance. Sustainability 2019, 11, 58–70. [Google Scholar] [CrossRef]
- Cropanzano, R.; Mitchell, M.S. Social Exchange Theory: An Interdisciplinary Review. J. Manag. 2005, 31, 874–900. [Google Scholar] [CrossRef]
- Mesquita, L.F. Starting over When the Bickering Never Ends: Rebuilding Aggregate Trust among Clustered Firms through Trust Facilitators. Acad. Manag. Rev. 2007, 32, 72–91. [Google Scholar] [CrossRef]
- Ooms, W.; Ebbekink, M. In Search of the Sweet Spot: The Role of Personal Proximity in Three Dutch Clusters. J. Bus. Res. 2018, 92, 48–60. [Google Scholar] [CrossRef]
- Klijn, E.; Koppenjan, J.F.M. Public Management and Policy Networks : The Theoretical Foundation of the Network Approach to Governance. Public Manag. Rev. 2000, 2, 135–158. [Google Scholar] [CrossRef]
- Cassanego Júnior, P.V.; Boaventura, J.M.G.; Azevedo, A.C.; Telles, R. Governance in Business Clusters: Proposal for an Application of an Analytical Model. Entrep. Reg. Dev. 2019, 31, 984–1010. [Google Scholar] [CrossRef]
- Wang, H.; Ran, B. Network Governance and Collaborative Governance: A Thematic Analysis on Their Similarities, Differences, and Entanglements. Public Manag. Rev. 2021, 25, 1187–1211. [Google Scholar] [CrossRef]
- Arikan, A.T.; Schilling, M.A. Structure and Governance in Industrial Districts: Implications for Competitive Advantage. J. Manag. Stud. 2011, 48, 772–803. [Google Scholar] [CrossRef]
- Loureiro, S.M.C.; Romero, J.; Bilro, R.G. Stakeholder Engagement in Co-Creation Processes for Innovation: A Systematic Literature Review and Case Study. J. Bus. Res. 2020, 119, 388–409. [Google Scholar] [CrossRef]
- Aarikka-Stenroos, L.; Sandberg, B.; Lehtimäki, T. Networks for the Commercialization of Innovations: A Review of How Divergent Network Actors Contribute. Ind. Mark. Manag. 2014, 43, 365–381. [Google Scholar] [CrossRef]
- North, D.C. Institutions, Institutional Change and Economic Performance; Cambridge University Press: Cambridge, UK, 1990. [Google Scholar]
- Porter, M.E. The Competitive Advantage of Nations. Harv. Bus. Rev. 1990, 68, 73–93. [Google Scholar]
- Lai, Y.L.; Hsu, M.S.; Lin, F.J.; Chen, Y.M.; Lin, Y.H. The Effects of Industry Cluster Knowledge Management on Innovation Performance. J. Bus. Res. 2014, 67, 734–739. [Google Scholar] [CrossRef]
- Lawton, T.; Mcguire, S.; Rajwani, T. Corporate Political Activity: A Literature Review and Research Agenda. Int. J. Manag. Rev. 2013, 15, 86–105. [Google Scholar] [CrossRef]
- Lux, S.; Crook, T.R.; Woehr, D.J. Mixing Business with Politics: A Meta-Analysis of the Antecedents and Outcomes of Corporate Political Activity. J. Manag. 2011, 37, 223–247. [Google Scholar] [CrossRef]
- Kano, L. Global Value Chain Governance: A Relational Perspective. J. Int. Bus. Stud. 2018, 49, 659–683. [Google Scholar] [CrossRef]
- Albino, V.; Carbonara, N.; Giannoccaro, I. Supply Chain Cooperation in Industrial Districts: A Simulation Analysis. Eur. J. Oper. Res. 2007, 177, 261–280. [Google Scholar] [CrossRef]
- Ingstrup, M.B.; Damgaard, T. Cluster Facilitation from a Cluster Life Cycle Perspective. Eur. Plan. Stud. 2013, 21, 556–574. [Google Scholar] [CrossRef]
- Granovetter, M. Economic Action and Social Structure: The Problem of Embeddedness. Am. J. Sociol. 1985, 91, 481–510. [Google Scholar] [CrossRef]
- Coleman, J.S. Social Capital in the Creation of Human Capital. Am. J. Socilogy 1988, 94, 95–120. [Google Scholar] [CrossRef]
- Giuliani, E. The Selective Nature of Knowledge Networks in Clusters: Evidence from the Wine Industry. J. Econ. Geogr. 2007, 7, 139–168. [Google Scholar] [CrossRef]
- Ter Wal, A.L.J. Cluster Emergence and Network Evolution: A Longitudinal Analysis of the Inventor Network in Sophia Antipolis. Reg. Stud. 2011, 47, 651–668. [Google Scholar] [CrossRef]
- Holland, P.W.; Leinhardt, S. Transitivity in Structural Models of Small Groups. Comp. Group Stud. 1971, 2, 107–124. [Google Scholar] [CrossRef]
- Uzzi, B. Social Structure and Competition in Interfirm Networks: The Paradox of Embeddedness. Adm. Sci. Q. 1997, 42, 35–67. [Google Scholar] [CrossRef]
- Cowan, R.; Jonard, N.; Zimmermann, J.-B. Evolving Networks of Inventors Evolving Networks of Inventors. J. Evol. Econ. 2006, 16, 155–174. [Google Scholar] [CrossRef]
- McEvily, B.; Perrone, V.; Zaheer, A. Trust as an Organizing Principle. Organ. Sci. 2003, 14, 91–103. [Google Scholar] [CrossRef]
- Zaheer, A.; Bell, G.G. Benefiting from Network Position: Firm Capabilities, Structural Holes, and Performance. Strateg. Manag. J. 2005, 26, 809–825. [Google Scholar] [CrossRef]
- Menzel, M.P.; Feldman, M.P.; Broekel, T. Institutional Change and Network Evolution: Explorative and Exploitative Tie Formations of Co-Inventors during the Dot-Com Bubble in the Research Triangle Region. Reg. Stud. 2017, 51, 1179–1191. [Google Scholar] [CrossRef]
- Håkansson, H.; Snehota, I. Developing Relationships in Business Networks; Routledge: London, UK, 1995. [Google Scholar]
- Guo, C.; Miller, J.K. Guanxi Dynamics and Entrepreneurial Firm Creation and Development in China. Manag. Organ. Rev. 2010, 6, 267–291. [Google Scholar] [CrossRef]
- Rindfleisch, A.; Moorman, C. The Acquisition and Utilization of Information in New Product Alliances: A Strength-of-Ties Perspective. J. Mark. 2001, 65, 1–18. [Google Scholar] [CrossRef]
- Vilana, J.R.; Rodríguez-Monroy, C. Influence of Cultural Mechanisms on Horizontal Inter-Firm Collaborations. J. Ind. Eng. Manag. 2010, 3, 138–175. [Google Scholar] [CrossRef]
- Balliet, D.; Van Lange, P.A.M. Trust, Conflict, and Cooperation: A Meta-Analysis. Psychol. Bull. 2013, 139, 1090–1112. [Google Scholar] [CrossRef] [PubMed]
- Luo, Y. An Integrated Anti-Opportunism System in International Exchange. J. Int. Bus. Stud. 2007, 38, 855–877. [Google Scholar] [CrossRef]
- Ali, T.; Larimo, J. Managing Opportunism in International Joint Ventures: The Role of Structural and Social Mechanisms. Scand. J. Manag. 2016, 32, 86–96. [Google Scholar] [CrossRef]
- Hervas-Oliver, J.L.; Albors-Garrigos, J. Are Technology Gatekeepers Renewing Clusters? Understanding Gatekeepers and Their Dynamics across Cluster Life Cycles. Entrep. Reg. Dev. 2014, 26, 431–452. [Google Scholar] [CrossRef]
- Fang, S.C.; Yang, C.W.; Hsu, W.Y. Inter-Organizational Knowledge Transfer: The Perspective of Knowledge Governance. J. Knowl. Manag. 2013, 17, 943–957. [Google Scholar] [CrossRef]
- Gooderham, P.; Minbaeva, D.B.; Pedersen, T. Governance Mechanisms for the Promotion of Social Capital for Knowledge Transfer in Multinational Corporations. J. Manag. Stud. 2011, 48, 123–150. [Google Scholar] [CrossRef]
- Shipilov, A.V.; Li, S.X. The Missing Link: The Effect of Customers on the Formation of Relationships among Producers in the Multiplex Triads. Organ. Sci. 2012, 23, 472–491. [Google Scholar] [CrossRef]
- Lazega, E.; Mounier, L.; Snijders, T.; Tubaro, P. Norms, Status and the Dynamics of Advice Networks: A Case Study. Soc. Netw. 2012, 34, 323–332. [Google Scholar] [CrossRef]
- Ramirez, M.; Clarke, I.; Klerkx, L. Analysing Intermediary Organisations and Their Influence on Upgrading in Emerging Agricultural Clusters. Environ. Plan. A Econ. Space 2018, 50, 1314–1335. [Google Scholar] [CrossRef]
- Ye, D.; Wu, Y.J.; Goh, M. Hub Firm Transformation and Industry Cluster Upgrading: Innovation Network Perspective. Manag. Decis. 2020, 58, 1425–1448. [Google Scholar] [CrossRef]
- Anokhin, S.; Wincent, J.; Parida, V.; Chistyakova, N.; Oghazi, P. Industrial Clusters, Flagship Enterprises and Regional Innovation. Entrep. Reg. Dev. 2019, 31, 104–118. [Google Scholar] [CrossRef]
- Gould, R.V.; Bearman, P. The Origins of Status Hierarchies: A Formal Theory and Empirical Test. Am. J. Sociol. 2002, 107, 1143–1178. [Google Scholar] [CrossRef]
- Lunnan, R.; McGaughey, S.L. Orchestrating International Production Networks When Formal Authority Shifts. J. World Bus. 2019, 54, 101000. [Google Scholar] [CrossRef]
- Sonderegger, P.; Täube, F. Cluster Life Cycle and Diaspora Effects: Evidence from the Indian IT Cluster in Bangalore. J. Int. Manag. 2010, 16, 383–397. [Google Scholar] [CrossRef]
- Sacchetti, S.; Tomlinson, P.R. Economic Governance and the Evolution of Industrial Districts under Globalization: The Case of Two Mature European Industrial Districts. Eur. Plan. Stud. 2009, 17, 1837–1859. [Google Scholar] [CrossRef]
- Wei, J.; Zhou, M.; Greeven, M.; Qu, H. Economic Governance, Dual Networks and Innovative Learning in Five Chinese Industrial Clusters. Asia Pac. J. Manag. 2016, 33, 1037–1074. [Google Scholar] [CrossRef]
- Kumar, M.; Pullman, M.; Bouzdine-Chameeva, T.; Sanchez Rodrigues, V. The Role of the Hub-Firm in Developing Innovation Capabilities: Considering the French Wine Industry Cluster from a Resource Orchestration Lens. Int. J. Oper. Prod. Manag. 2022, 42, 526–551. [Google Scholar] [CrossRef]
- Berisha, E.; Cotella, G.; Janin Rivolin, U.; Solly, A. Spatial Governance and Planning Systems in the Public Control of Spatial Development: A European Typology. Eur. Plan. Stud. 2021, 29, 181–200. [Google Scholar] [CrossRef]
- Santos, F.M.; Eisenhardt, K.M. Constructing Markets and Shaping Boundaries: Entrepreneurial Power in Nascent Fields. Acad. Manag. J. 2009, 52, 643–671. [Google Scholar] [CrossRef]
- Sine, W.D.; Haveman, H.A.; Tolbert, P.S. Risky Business? Entrepreneurship in the New Independent Power Sector. Adm. Sci. Q. 2005, 50, 200–232. [Google Scholar] [CrossRef]
- Humphreys, A.; Carpenter, G.S. Status Games: Market Driving through Social Influence in the U.S. Wine Industry. J. Mark. 2018, 82, 141–159. [Google Scholar] [CrossRef]
- Maciel, A.F.; Fischer, E. Collaborative Market Driving: How Peer Firms Can Develop Markets Through Collective Action. J. Mark. 2020, 84, 41–59. [Google Scholar] [CrossRef]
- Caner, T.; Cohen, S.K.; Pil, F. Firm Heterogeneity in Complex Problem Solving: A Knowledge-Based Look at Invention. Strateg. Manag. J. 2017, 38, 1791–1811. [Google Scholar] [CrossRef]
- Nair, S.; Nisar, A.; Palacios, M.; Ruiz, F. Impact of Knowledge Brokering on Performance Heterogeneity among Business Models. Manag. Decis. 2012, 50, 1649–1660. [Google Scholar] [CrossRef][Green Version]
- Hoffmann, V.E.; Lopes, G.S.C.; Medeiros, J.J. Knowledge Transfer among the Small Businesses of a Brazilian Cluster. J. Bus. Res. 2014, 67, 856–864. [Google Scholar] [CrossRef]
- Hu, Q.; Chan, S.F.; Zhang, G.; Yang, Z. The Joint-Liability Mechanism: Controlling Opportunism through Peer Monitoring among Chinese Supplier Groups. J. Bus. Ind. Mark. 2016, 31, 640–653. [Google Scholar] [CrossRef]
- Kang, K.N.; Park, H. Influence of Government R&D Support and Inter-Firm Collaborations on Innovation in Korean Biotechnology SMEs. Technovation 2012, 32, 68–78. [Google Scholar] [CrossRef]
- Dahan, N.M.; Doh, J.P.; Raelin, J.D. Pivoting the Role of Government in the Business and Society Interface: A Stakeholder Perspective. J. Bus. Ethics 2015, 131, 665–680. [Google Scholar] [CrossRef]
- Feldman, M.P.; Kelley, M.R. The Ex Ante Assessment of Knowledge Spillovers: Government R&D Policy, Economic Incentives and Private Firm Behavior. Res. Policy 2006, 35, 1509–1521. [Google Scholar] [CrossRef]
- Cheng, B.; Christensen, T.; Ma, L.; Yu, J. Does Public Money Drive out Private? Evidence from Government Regulations of Industrial Overcapacity Governance in Urban China. Int. Rev. Econ. Financ. 2021, 76, 767–780. [Google Scholar] [CrossRef]
- Halkier, H. Knowledge Dynamics and Policies for Regional Development: Towards a New Governance Paradigm. Eur. Plan. Stud. 2012, 20, 1767–1784. [Google Scholar] [CrossRef]
- Hsieh-Sheng, C. The Relationship between Technology Industrial Cluster and Innovation in Taiwan. Asia Pac. Manag. Rev. 2011, 16, 277–288. [Google Scholar] [CrossRef]
- Leckel, A.; Veilleux, S.; Dana, L.P. Local Open Innovation: A Means for Public Policy to Increase Collaboration for Innovation in SMEs. Technol. Forecast. Soc. Chang. 2020, 153, 119891. [Google Scholar] [CrossRef]
- Getahun, T.D.; Villanger, E. Active Private Sector Development Policies Revisited: Impacts of the Ethiopian Industrial Cluster Policy. J. Dev. Stud. 2019, 55, 1548–1564. [Google Scholar] [CrossRef]
- Wang, J.J.; Li, J.J.; Chang, J. Product Co-Development in an Emerging Market: The Role of Buyer-Supplier Compatibility and Institutional Environment. J. Oper. Manag. 2016, 46, 69–83. [Google Scholar] [CrossRef]
- Vargo, S.L.; Akaka, M.A.; Wieland, H. Rethinking the Process of Diffusion in Innovation: A Service-Ecosystems and Institutional Perspective. J. Bus. Res. 2020, 116, 526–534. [Google Scholar] [CrossRef]
- De Clercq, D.; Danis, W.M.; Dakhli, M. The Moderating Effect of Institutional Context on the Relationship between Associational Activity and New Business Activity in Emerging Economies. Int. Bus. Rev. 2010, 19, 85–101. [Google Scholar] [CrossRef]
- Scuotto, V.; Beatrice, O.; Valentina, C.; Nicotra, M.; Di Gioia, L.; Farina Briamonte, M. Uncovering the Micro-Foundations of Knowledge Sharing in Open Innovation Partnerships: An Intention-Based Perspective of Technology Transfer. Technol. Forecast. Soc. Chang. 2020, 152, 119906. [Google Scholar] [CrossRef]
- Meyer, K.E.; Estrin, S.; Bhaumik, S.K.; Peng, M.W. Institutions, Resources, and Entry Strategies in Emerging Economies. Strateg. Manag. J. 2009, 30, 61–80. [Google Scholar] [CrossRef]
- Fan, J.P.H.; Huang, J.; Morck, R.; Yeung, B. Institutional Determinants of Vertical Integration in China. J. Corp. Financ. 2017, 44, 524–539. [Google Scholar] [CrossRef]
- Bai, X.; Sheng, S.; Li, J.J. Contract Governance and Buyer-Supplier Conflict: The Moderating Role of Institutions. J. Oper. Manag. 2016, 41, 12–24. [Google Scholar] [CrossRef]
- Zhou, K.Z.; Zhang, Q.; Sheng, S.; Xie, E.; Bao, Y. Are Relational Ties Always Good for Knowledge Acquisition? Buyer-Supplier Exchanges in China. J. Oper. Manag. 2014, 32, 88–98. [Google Scholar] [CrossRef]
- Barbieri, E.; Di Tommaso, M.R.; Pollio, C.; Rubini, L. Getting the Specialization Right. Industrialization in Southern China in a Sustainable Development Perspective. World Dev. 2020, 126, 104701. [Google Scholar] [CrossRef]
- Kim, C.; Song, J. Creating new technology through alliances: An empirical investigation of joint patents. Technovation 2007, 27, 461–470. [Google Scholar] [CrossRef]
- Snijders, T.A.B. The Statistical Evaluation of Social Network Dynamics. Sociol. Methodol. 2001, 31, 361–395. [Google Scholar] [CrossRef]
- Steglich, C.; Snijders, T.A.B.; Pearson, M. Dynamic Networks and Behavior: Separating Selection from Influence. Sociol. Methodol. 2010, 40, 329–393. [Google Scholar] [CrossRef]
- Snijders, T.A.B.; van de Bunt, G.G.; Steglich, C.E.G. Introduction to Stochastic Actor-Based Models for Network Dynamics. Soc. Netw. 2010, 32, 44–60. [Google Scholar] [CrossRef]
- Bosch-Sijtsema, P.M.; Postma, T.J.B.M. Cooperative innovation projects: Capabilities and governance mechanisms. J. Prod. Innov. Manag. 2009, 26, 58–70. [Google Scholar] [CrossRef]
- Wu, Y.; Zhu, X.; Groenewold, N. The Determinants and Effectiveness of Industrial Policy in China: A Study Based on Five-Year Plans. China Econ. Rev. 2019, 53, 225–242. [Google Scholar] [CrossRef]
- Wu, H.; Xu, L.; Ren, S.; Hao, Y.; Yan, G. How Do Energy Consumption and Environmental Regulation Affect Carbon Emissions in China? New Evidence from a Dynamic Threshold Panel Model. Resour. Policy 2020, 67, 101678. [Google Scholar] [CrossRef]
- Boschma, R.A. Proximity and Innovation: A Critical Assessment. Reg. Stud. 2005, 39, 61–74. [Google Scholar] [CrossRef]
- McPherson, M.; Smith-Lovin, L.; James, M. Birds of a Feather: Homophily in Social Networks. Annu. Rev. Sociol. 2001, 27, 415–444. [Google Scholar] [CrossRef]
- Ter Wal, A.L.J. The Dynamics of the Inventor Network in German Biotechnology: Geographic Proximity versus Triadic Closure. J. Econ. Geogr. 2014, 14, 589–620. [Google Scholar] [CrossRef]
- Rivera, L.; Sheffi, Y.; Knoppen, D. Logistics Clusters: The Impact of Further Agglomeration, Training and Firm Size on Collaboration and Value Added Services. Int. J. Prod. Econ. 2016, 179, 285–294. [Google Scholar] [CrossRef]
- Geldes, C.; Felzensztein, C.; Turkina, E.; Durand, A. How Does Proximity Affect Interfirm Marketing Cooperation? A Study of an Agribusiness Cluster. J. Bus. Res. 2015, 68, 263–272. [Google Scholar] [CrossRef]
- Cassiman, B.; Veugelers, R. R&D Cooperation and Spillovers: Some Empirical Evidence from Belgium. Am. Econ. Rev. 2002, 92, 1169–1184. [Google Scholar]
- Giuliani, E.; Bell, M. The Micro-Determinants of Meso-Level Learning and Innovation: Evidence from a Chilean Wine Cluster. Res. Policy 2005, 34, 47–68. [Google Scholar] [CrossRef]
- Robinson, K.C.; Mcdougall, P.P. Entry barriers and new venture performance: A comparison of universal and contingency approaches. Strateg. Manag. J. 2001, 22, 659–685. [Google Scholar] [CrossRef]
- Harrigan, K.R. Exit Barriers and Vertical Integration. Acad. Manag. J. 1985, 28, 686–697. [Google Scholar] [CrossRef]
- Academy, T.; Journal, M. The Conditioning Effect of Time on Firm Survival : An Industry Life Cycle. Acad. Manag. J. 2002, 45, 971–994. [Google Scholar]
- Cainarca, G.C.; Colombo, M.G.; Mariotti, S. Agreements between Firms and the Technological Life Cycle Model: Evidence from Information Technologies. Res. Policy 1992, 21, 45–62. [Google Scholar] [CrossRef]
- Ter Wal, A.L.J.; Boschma, R. Co-evolution of firms, industries and networks in space. Reg. Stud. 2011, 45, 919–933. [Google Scholar] [CrossRef]
- Markard, J. The Life Cycle of Technological Innovation Systems. Technol. Forecast. Soc. Chang. 2020, 153, 119407. [Google Scholar] [CrossRef]




| Variables | Operationalization |
|---|---|
| Cooperative innovation network (Coop) | Networks of collaborative relationships between actors [28] |
| Transitivity (Trans) | Transitive triplets [44] |
| Status (Status) | Degree centrality [28] |
| Association autonomy (Asso) | Numbers of associations in which each actor is involved [93] |
| Industrial policy support (Indp) | The extent of support for the electronic information industry in the five-year plan outline documents formulated by the provinces in which the actors are located (dummy) [126] |
| Institutional environment establishment (Ine) | The institutional competitiveness score ranking of the province in which the actor is located in the “China City Competitiveness Annual Report” [117] |
| Network density (Den) | Out degree [124] |
| Geographical proximity (Gep) | Co-location (same city/province) between two actors (dummy) [40] |
| Institutional proximity (Inp) | Same typology (enterprises, universities and research institutions, and public institutions) between two actors (dummy) [40] |
| Organization proximity (Orp) | Same group of enterprises between two actors (dummy) [28] |
| Experience (Exp) | Operation tenure [28] |
| Innovation capability (Inc) | Number of cooperative patents in the past five years [36] |
| Quantity of Behavioral Subjects | Entry Barrier | Exit Barrier | Growth Rate of Output | |
|---|---|---|---|---|
| Average of Behavioral Subjects | Average Annual Increase Rate of Newly Entered Subjects | Average Annual Increase Rate of Exited Subjects | Average Annual Increase Rate of Cooperative Patents | |
| Phase 1 2006–2010 | 87 | 0.25 | 0.56 | 0.17 |
| Phase 2 2011–2015 | 237 | 0.17 | 0.15 | 0.67 |
| Phase 3 2016–2018 | 313 | −0.03 | 0.08 | 0.2 |
| Average of Established Relationships | Average of Discontinued Relationships | Average of Sustained Relationships | |
|---|---|---|---|
| Phase 1 2006–2010 | 49 | 36 | 256 |
| Phase 2 2011–2015 | 254 | 194 | 155 |
| Phase 3 2016–2018 | 254 | 186 | 271 |
| Average of Cooperative Relationships | Mean Value of Average Linkages | Average of Network Density | |
|---|---|---|---|
| Phase 1 2006–2010 | 300 | 1.7 | 0.01 |
| Phase 2 2011–2015 | 369 | 0.92 | 0.002 |
| Phase 3 2016–2018 | 489 | 1.16 | 0.003 |
| Variable | Phase 1 | Phase 2 | Phase 3 | |||||||||
|---|---|---|---|---|---|---|---|---|---|---|---|---|
| M | SD | Min | Max | M | SD | Min | Max | M | SD | Min | Max | |
| Asso | 0.60 | 0.93 | 0 | 4 | 0.57 | 1.04 | 0 | 6 | 0.59 | 1.31 | 0 | 10 |
| Indp | 1.48 | 0.65 | 0 | 3 | 0.95 | 0.85 | 0 | 3 | 1.18 | 0.73 | 0 | 3 |
| Ine | 5.99 | 4.70 | 2 | 24 | 9.28 | 9.43 | 1 | 32 | 10.4 | 7.67 | 1 | 27 |
| Exp | 11.14 | 10.31 | 0 | 69 | 11.38 | 8.22 | 0 | 56 | 13.78 | 8.78 | 1 | 61 |
| Inc | 0.35 | 0.73 | 0 | 5 | 5.53 | 12.26 | 0 | 165 | 13.35 | 83.58 | 0 | 1452 |
| Phase 1 | Phase 2 | Phase 3 | |
|---|---|---|---|
| N = 176 | N = 402 | N = 419 | |
| Network endogenous mechanisms | |||
| Trans | 0.31 *** (0.01) | 0.22 *** (0.02) | 0.50 *** (0.03) |
| Status | 0.44 *** (0.06) | 1.06 *** (0.01) | 0.73 *** (0.03) |
| Asso | 0.40 *** (0.11) | 0.16 *** (0.04) | 0.10 *** (0.03) |
| Inp | 0.08 (0.18) | 0.36 *** (0.04) | 0.13 *** (0.03) |
| Ine | 0.03 (0.03) | 0.01 * (0.01) | 0.03 *** (0.01) |
| Control variables: | |||
| Den | −6.40 *** (0.19) | −6.52 *** (0.12) | −5.30 *** (0.10) |
| Gep | 0.81 *** (0.12) | 0.39 *** (0.04) | 0.48 *** (0.04) |
| Inp | 0.14 (0.23) | −0.98 *** (0.09) | −0.63 *** (0.08) |
| Orp | 3.52 *** (0.23) | 3.45 *** (0.11) | 3.04 *** (0.11) |
| Exp | 0.01 (0.01) | −0.01 (0.01) | −0.01 (0.01) |
| Inc | 0.16 (0.12) | 0.02 (0.04) | 0.01 *** (0.01) |
| Convergence ratios | 0.14 | 0.18 | 0.19 |
Disclaimer/Publisher’s Note: The statements, opinions and data contained in all publications are solely those of the individual author(s) and contributor(s) and not of MDPI and/or the editor(s). MDPI and/or the editor(s) disclaim responsibility for any injury to people or property resulting from any ideas, methods, instructions or products referred to in the content. |
© 2024 by the authors. Licensee MDPI, Basel, Switzerland. This article is an open access article distributed under the terms and conditions of the Creative Commons Attribution (CC BY) license (https://creativecommons.org/licenses/by/4.0/).
Share and Cite
Wang, J.; Xie, Q.; Geng, X. Exploring the Effects of Multi-Governance Mechanisms throughout the Dynamic Evolution of the Cooperative Innovation Network. Sustainability 2024, 16, 2002. https://doi.org/10.3390/su16052002
Wang J, Xie Q, Geng X. Exploring the Effects of Multi-Governance Mechanisms throughout the Dynamic Evolution of the Cooperative Innovation Network. Sustainability. 2024; 16(5):2002. https://doi.org/10.3390/su16052002
Chicago/Turabian StyleWang, Jiaxin, Qinghong Xie, and Xinyu Geng. 2024. "Exploring the Effects of Multi-Governance Mechanisms throughout the Dynamic Evolution of the Cooperative Innovation Network" Sustainability 16, no. 5: 2002. https://doi.org/10.3390/su16052002
APA StyleWang, J., Xie, Q., & Geng, X. (2024). Exploring the Effects of Multi-Governance Mechanisms throughout the Dynamic Evolution of the Cooperative Innovation Network. Sustainability, 16(5), 2002. https://doi.org/10.3390/su16052002

