Modelling of Aircraft Non-CO2 Emissions Using Freely Available Activity Data from Flight Tracking
Abstract
1. Introduction
2. Methodology
3. Case Study/Lisbon Airport
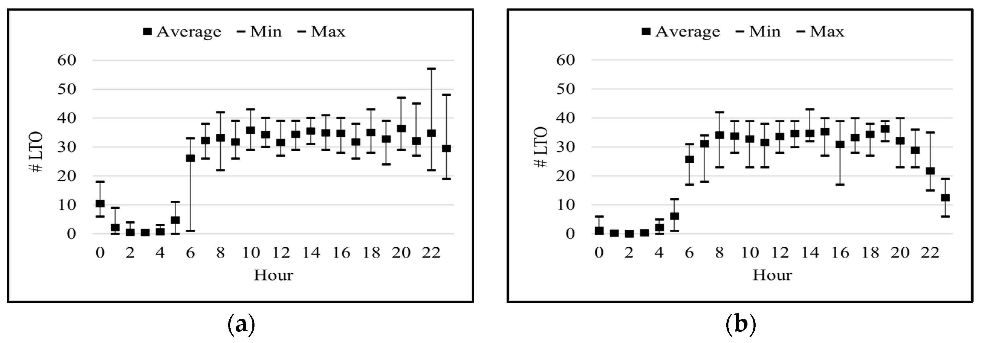
4. Emission Model Results and Discussion
5. Conclusions
Author Contributions
Funding
Institutional Review Board Statement
Informed Consent Statement
Data Availability Statement
Conflicts of Interest
Appendix A


References
- Eurocontrol. Challenges of air transport 2030: Survey of experts’ views. In The European Organisation for the Safety of Air Navigation; Report Number 09/07/15-20; Eurocontrol: Brussels, Belgium, 2009. [Google Scholar]
- Lee, D.S.; Pitari, G.; Grewe, V.; Gierens, K.; Penner, J.E.; Petzold, A.; Prather, M.J.; Schumann, U.; Bais, A.; Berntsen, T.; et al. Transport impacts on atmosphere and climate: Aviation. Atmos. Environ. 2010, 44, 4678–4734. [Google Scholar] [CrossRef]
- Levy, J.I.; Woody, M.; Baek, B.H.; Shankar, U.; Arunachalam, S. Current and Future Particulate-Matter-Related Mortality Risks in the United States from Aviation Emissions during Landing and Takeoff. Risk Anal. 2012, 32, 237–249. [Google Scholar] [CrossRef]
- Lee, H.; Olsen, S.C.; Wuebbles, D.J.; Youn, D. Impacts of aircraft emissions on the air quality near the ground. Atmos. Chem. Phys. 2013, 13, 5505–5522. [Google Scholar] [CrossRef]
- Kapadia, Z.Z.; Spracklen, D.V.; Arnold, S.R.; Borman, D.J.; Mann, G.W.; Pringle, K.J.; Monks, S.A.; Reddington, C.L.; Benduhn, F.; Rap, A.; et al. Impacts of aviation fuel sulfur content on climate and human health. Atmos. Chem. Phys. 2016, 16, 10521–10541. [Google Scholar] [CrossRef]
- Vennam, L.P.; Vizuete, W.; Talgo, K.; Omary, M.; Binkowski, F.S.; Xing, J.; Mathur, R.; Arunachalam, S. Modeled Full-Flight Aircraft Emissions Impacts on Air Quality and Their Sensitivity to Grid Resolution. J. Geophys. Res. Atmos. 2017, 122, 13472–13494. [Google Scholar] [CrossRef]
- Phoenix, D.; Khodayari, A.; Wuebbles, D.; Stewart, K. Aviation impact on air quality present day and mid-century simulated in the Community Atmosphere Model (CAM). Atmos. Environ. 2019, 196, 125–132. [Google Scholar] [CrossRef]
- Unal, A.; Hu, Y.; Chang, M.E.; Odman, M.T.; Russell, A.G. Airport related emissions and impacts on air quality: Application to the Atlanta International Airport. Atmos. Environ. 2005, 39, 5787–5798. [Google Scholar] [CrossRef]
- Masiol, M.; Harrison, R.M. Aircraft engine exhaust emissions and other airport-related contributions to ambient air pollution: A review. In Atmospheric Environment; Elsevier Ltd.: Amsterdam, The Netherlands, 2014; Volume 95, pp. 409–455. [Google Scholar] [CrossRef]
- Hudda, N.; Fruin, S.A. International Airport Impacts to Air Quality: Size and Related Properties of Large Increases in Ultrafine Particle Number Concentrations. Environ. Sci. Technol. 2016, 50, 3362–3370. [Google Scholar] [CrossRef]
- Meleo, L.; Nava, C.R.; Pozzi, C. Aviation and the costs of the European Emission Trading Scheme: The case of Italy. Energy Policy 2016, 88, 138–147. [Google Scholar] [CrossRef]
- Lund, M.T.; Aamaas, B.; Berntsen, T.; Bock, L.; Burkhardt, U.; Fuglestvedt, J.S.; Shine, K.P. Emission metrics for quantifying regional climate impacts of aviation. Earth Syst. Dyn. 2017, 8, 547–563. [Google Scholar] [CrossRef]
- ICAO. Innovation for a Green Transition-2022 Environment Report; International Civil Aviation Organization: Montreal, QC, Canada, 2022. [Google Scholar]
- ICAO. Airport Air Quality Manual; Technical Report Doc 9889; International Civil Aviation Organization: Montreal, QC, Canada, 2020. [Google Scholar]
- Yim, S.H.L.; Lee, G.L.; Lee, I.H.; Allroggen, F.; Ashok, A.; Caiazzo, F.; Eastham, S.D.; Malina, R.; Barrett, S.R.H. Global, regional and local health impacts of civil aviation emissions. Environ. Res. Lett. 2015, 10, 034001. [Google Scholar] [CrossRef]
- Barrett SR, H.; Britter, R.E.; Waitz, I.A. Global mortality attributable to aircraft cruise emissions. Environ. Sci. Technol. 2010, 44, 7736–7742. [Google Scholar] [CrossRef]
- Riley, K.; Cook, R.; Carr, E.; Manning, B. A systematic review of the impact of commercial aircraft activity on air quality near airports. In City and Environment Interactions; Elsevier B.V.: Amsterdam, The Netherlands, 2021; Volume 11. [Google Scholar] [CrossRef]
- Eyers, C.J.; Norman, P.; Middel, J.; Plohr, M.; Michot, S.; Atkinson, K.; Christou, R.A. AERO2k Global Aviation Emissions Inventories for 2002 and 2025; European Commission: Hampshire, UK, 2004. [Google Scholar]
- Watterson, J.; Walker, C.; Eggleston, S. Revision to the Method of Estimating Emissions from Aircraft in the UK Greenhouse Gas Inventory, Report to Global Atmosphere Division, DEFRA, England. 2004.
- Pham VVan Tang, J.; Alam, S.; Lokan, C.; Abbass, H.A. Aviation emission inventory development and analysis. Environ. Model. Softw. 2010, 25, 1738–1753. [Google Scholar] [CrossRef]
- Fan, W.; Sun, Y.; Zhu, T.; Wen, Y. Emissions of HC, CO, NOx, CO2, and SO2 from civil aviation in China in 2010. Atmos. Environ. 2012, 56, 52–57. [Google Scholar] [CrossRef]
- Arunachalam, S.; West, J.; Bendor, T.K.; Binkowski, F.; Rissman, J.; Arunachalam, S.; Woody, M.; West, J.J.; Bendor, T.; Binkowski, F.S. A plume-in-grid approach to characterize air quality impacts of aircraft emissions at the Hartsfield-Jackson Atlanta International Airport. Atmos. Chem. Phys. 2013, 13, 9285–9302. [Google Scholar] [CrossRef]
- NIR. AgÍncia Portuguesa do Ambiente, National Inventory Report-Portugal. 2023. Available online: https://apambiente.pt/sites/default/files/_Clima/Inventarios/20230404/NIR202315%20April.pdf (accessed on 18 January 2024).
- Celikel, A.; Duchene, N.; Fleuti, E.; Hofmann, P. Airport local air quality modelling: Zurich airport emissions inventory using three methodologies. In Proceedings of the Eurocontrol Air Transport Research Society (ATRS) Conference, Rio de Janeiro, Brazil, 2–5 July 2005. [Google Scholar]
- Kim, B.; Fleming, G.; Balasubramanian, S.; Malwitz, A.; Lee, J.; Ruggiero, J.; Waitz, I.; Klima, K.; Stouffer, V.; Long, D.; et al. SAGE System for Assessing Aviation’s Global Emissions V1.5: Global Aviation Emissions Inventories for 2000 through 2004; FAA-EE-2005-02; FAA: Washington, DC, USA, 2005. [Google Scholar]
- Ashok, A.; Lee, I.H.; Arunachalam, S.; Waitz, I.A.; Yim, S.H.L.; Barrett, S.R.H. Development of a response surface model of aviation’s air quality impacts in the United States. Atmos. Environ. 2013, 77, 445–452. [Google Scholar] [CrossRef]
- Whiteley, M.; Gores, S.; Ntemiri, S.; Fernandez, R. European Aviation Fuel Burn and Emissions Inventory System for the European Environment Agency (for Data from 2005). Eurocontrol. 2018. Available online: https://www.eurocontrol.int/publication/european-aviation-fuel-burn-and-emissions-inventory-system-feis-european-environment (accessed on 27 September 2023).
- Michot, S.; Stancioi, N.; Mcmullan, C.; Peeters, S.; Carlier, S. AERO2K Flight Movement Inventory Project Report; EEC Report EEC/SEE/2003, 5; Eurocontrol: Brussels, Belgium, 2003. [Google Scholar]
- Schaefer, M. Methodologies for Aviation Emission Calculation-A Comparison of Alternative Approaches Towards 4D Global Inventories. Master Thesis, Berlin University of Technology, Berlin, Germany, 2006. [Google Scholar] [CrossRef]
- Tsilingiridis, G. Aircraft air pollutant emissions in greek airports. Glob. NEST J. 2009, 11, 4. [Google Scholar]
- Simonetti, I.; Maltagliati, S.; Manfrida, G. Air quality impact of a middle size airport within an urban context through EDMS simulation. Transp. Res. Part D Transp. Environ. 2015, 40, 144–154. [Google Scholar] [CrossRef]
- Hu, R.; Zhu, J.; Zhang, J.; Zheng, L.; Liu, B. Characteristics and mitigation measures of aircraft pollutant emissions at Nanjing Lukou International Airport (NKG), China. Promet-Traffic Transp. 2020, 32, 461–474. [Google Scholar] [CrossRef]
- Ekici, S.; Sevinc, H. Understanding a commercial airline company: A case study on emissions and air quality costs. Int. J. Environ. Sci. Technol. 2022, 19, 5139–5154. [Google Scholar] [CrossRef]
- Monforti, F.; Pederzoli, A. THOSCANE: A tool to detail CORINAIR emission inventories. Environ. Model. Softw. 2005, 20, 505–508. [Google Scholar] [CrossRef]
- Kurniawan, J.S.; Khardi, S. Comparison of methodologies estimating emissions of aircraft pollutants, environmental impact assessment around airports. Environ. Impact Assess. Rev. 2011, 31, 240–252. [Google Scholar] [CrossRef]
- Taghizadeh, S.A.; Shafabakhsh, G.H.; Aghayan, I. Evaluation of aircraft emission at Imam Khomeini International Airport and Mehrabad International Airport. Int. J. Environ. Sci. Technol. 2019, 16, 6587–6598. [Google Scholar] [CrossRef]
- Kesgin, U. Aircraft emissions at Turkish airports. Energy 2006, 31, 372–384. [Google Scholar] [CrossRef]
- Wilkerson, J.T.; Jacobson, M.Z.; Malwitz, A.; Balasubramanian, S.; Wayson, R.; Fleming, G.; Naiman, A.D.; Lele, S.K. Analysis of emission data from global commercial aviation: 2004 and 2006. Atmos. Chem. Phys. 2010, 10, 6391–6408. [Google Scholar] [CrossRef]
- Stettler, M.E.J.; Eastham, S.; Barrett, S.R.H. Air quality and public health impacts of UK airports. Part I: Emissions. Atmos. Environ. 2011, 45, 5415–5424. [Google Scholar] [CrossRef]
- Song, S.K.; Shon, Z.H. Emissions of greenhouse gases and air pollutants from commercial aircraft at international airports in Korea. Atmos. Environ. 2012, 61, 148–158. [Google Scholar] [CrossRef]
- Mokalled, T.; Le Calvé, S.; Badaro-Saliba, N.; Abboud, M.; Zaarour, R.; Farah, W.; Adjizian-Gérard, J. Identifying the impact of Beirut Airport’s activities on local air quality—Part I: Emissions inventory of NO2 and VOCs. Atmos. Environ. 2018, 187, 435–444. [Google Scholar] [CrossRef]
- Lu, C.; Liu, H.; Song, D.; Yang, X.; Tan, Q.; Hu, X.; Kang, X. The Establishment of LTO Emission Inventory of Civil Aviation Airports Based on Big Data. IOP Conf. Ser. Earth Environ. Sci. 2018, 128, 012069. [Google Scholar] [CrossRef]
- Kuzu, S.L. Estimation and dispersion modeling of landing and take-off (LTO) cycle emissions from Atatürk International Airport. Air Qual. Atmos. Health 2018, 11, 153–161. [Google Scholar] [CrossRef]
- Xu, H.; Fu, Q.; Yu, Y.; Liu, Q.; Pan, J.; Cheng, J.; Wang, Z.; Liu, L. Quantifying aircraft emissions of Shanghai Pudong International Airport with aircraft ground operational data. Environ. Pollut. 2020, 261, 114115. [Google Scholar] [CrossRef]
- Arunachalam, S.; Baek, B.H.; Wang, B.; Davis, N.; Holland, A.; Adelman, Z.; Shankar, U.; Binkowski, F.; Hanna, A.; Thrasher, T.; et al. 5.1 An Improved Method to Represent Aviation Emissions in Air Quality Modelling Systems and Their Impacts on Air Quality. 2008. Available online: http://www.epa.gov/ttn/amtic/ (accessed on 25 June 2023).
- EMEP/EEA. European Environment Agency, Air Pollutant Emission Inventory Guidebook 2019: Technical Guidance to Prepare National Emission Inventories, Report No 13/2019; EMEP/EEA: Copenhagen, Denmark, 2019.
- ANAC. Anuário da Aviação Civil. Civil Aviation Yearbook (2003–2007); Autoridade Nacional da Aviação Civil: Lisboa, Portugal, 2008; Available online: https://www.anac.pt/SiteCollectionDocuments/Publicacoes/anuarios/anuario_ac_2003_07.pdf (accessed on 16 August 2023).
- ANAC. Anuário da Aviação Civil, Civil Aviation Yearbook 2019; Autoridade Nacional da Aviação Civil: Lisboa, Portugal, 2020; Available online: https://www.anac.pt/SiteCollectionDocuments/Publicacoes/anuarios/ACC_2019.pdf (accessed on 16 August 2023).
- Anderson, B.E.; Chen, G.; Blake, D.R. Hydrocarbon emissions from a modern commercial airliner. Atmos. Environ. 2006, 40, 3601–3612. [Google Scholar] [CrossRef]
- Yelvington, P.E.; Herndon, S.C.; Wormhoudt, J.C.; Jayne, J.T.; Miake-Lye, R.C.; Knighton, W.B.; Wey, C. Chemical speciation of hydrocarbon emissions from a commercial aircraft engine. J. Propuls. Power 2007, 23, 912–918. [Google Scholar] [CrossRef]
- Herndon, S.C.; Jayne, J.T.; Lobo, P.; Onasch, T.B.; Fleming, G.; Hagen, D.E.; Whitefield, P.D.; Miake-Lye, R.C. Commercial aircraft engine emissions characterization of in-use aircraft at Hartsfield-Jackson Atlanta International Airport. Environ. Sci. Technol. 2008, 42, 1877–1883. [Google Scholar] [CrossRef]
- Durdina, L.; Brem, B.T.; Abegglen, M.; Lobo, P.; Rindlisbacher, T.; Thomson, K.A.; Smallwood, G.J.; Hagen, D.E.; Sierau, B.; Wang, J. Determination of PM mass emissions from an aircraft turbine engine using particle effective density. Atmos. Environ. 2014, 99, 500–507. [Google Scholar] [CrossRef]









| Ref. | Content | Results |
|---|---|---|
| [21] | Methodology: BFFM2 Scope: Country level Emissions: CO, HC, NOX, SO2, CO2 |
|
| [30] | Methodology: EEA/EMEP Scope: Country level Emissions: CO, VOC, NOX, SO2, PM2.5 |
|
| [31] | Methodology: EDMS Scope: Airport level Emissions: CO, HC, NOX, SOX, PM10, and CO2 |
|
| [32] | Methodology: ICAO Scope: Airport level Emissions: CO, HC, NOX, SO2, PM |
|
| [37] | Methodology: ICAO Scope: Country level Emissions: HC, CO, NOX, and SO2 |
|
| [38] | Methodology: AEDT Scope: Airport level, Emissions: CO, NOX, SO2, PM, CO2 |
|
| [39] | Methodology: EDMS, FOA3 Scope: Country level Emissions: CO, HC, NOX, SO2, PM2.5, and CO2 |
|
| [40] | Methodology: EDMS Scope: Country level Emissions: CO, VOCs, NOX, N2O, PM, and CO2 |
|
| [41] | Methodology: EMIT Scope: Airport level Emissions: VOCs, NOX, NO2, NO |
|
| [42] | Methodology: ICAO Scope: Airport level Emissions: CO, VOCs, NOX, SO2, PM10, PM2.5 |
|
| [43] | Methodology: ICAO, EEA/EMEP Scope: Airport level Emissions: CO, HC, NOX |
|
| [44] | Methodology: ACARS Scope: Airport level Emissions: CO, HC, HONO, HNO3, NOX, NO2, NO, NOY, SO2, SO4, PM2.5, BC, OC |
|
| [45] | Methodology: EDMS Scope: Country level Emissions: PM2.5 |
|
| LTO Cycle | Thrust Level (%) | TIM (s) |
|---|---|---|
| Take-off | 100 | 42 |
| Climb-out | 85 | 132 |
| Approach | 30 | 240 |
| Taxiing | 7 | 1560 |
| Engine Model | Take-Off | Climb-Out | Approach | Taxiing |
|---|---|---|---|---|
| PW1127G-JM | 0.01421539 | 0.00937671 | 0.00205492 | 0.00058782 |
| CFM56-5-A1 | 0.02585460 | 0.01689520 | 0.00232800 | 0.00040440 |
| CFM56-5A3 | 0.02985840 | 0.01951750 | 0.00254810 | 0.00042804 |
| CFM56-5B4/2 | 0.01959980 | 0.01226550 | 0.00205355 | 0.00054329 |
| CFM56-5B4/2P | 0.02097600 | 0.01292000 | 0.00221000 | 0.00046800 |
| CFM56-5B4/3 | 0.02463290 | 0.01617897 | 0.00279660 | 0.00043044 |
| CFM56-5B4/P | 0.03169600 | 0.02169200 | 0.00312000 | 0.00044720 |
| CFM56-5B6/P | 0.02267960 | 0.015660400 | 0.00253000 | 0.00038800 |
| V2500-A1 | 0.04132570 | 0.028477680 | 0.00449230 | 0.00073284 |
| V2527-A5 | 0.02790450 | 0.019624000 | 0.00283910 | 0.00060160 |
| V2527E-A5 | 0.02790450 | 0.019624000 | 0.00283910 | 0.00060160 |
| Season | Day | Dataset | Emissions (ton) | |||
|---|---|---|---|---|---|---|
| CO | HC | NOx | PM | |||
| Summer | 11 July 2022 | D1 | 5.1360 | 0.5114 | 7.8270 | 0.0457 |
| D2 | 4.6653 | 0.3357 | 7.8346 | 0.0590 | ||
| D 3 | 5.2743 | 0.3890 | 6.9867 | 0.0445 | ||
| Winter | 23 February 2023 | D 1 | 5.1197 | 0.3779 | 6.8626 | 0.0409 |
| D2 | 4.4774 | 0.3184 | 7.0991 | 0.0525 | ||
| D 3 | 4.9990 | 0.3528 | 6.2899 | 0.0411 | ||
| Season | Day | Dataset | Difference with D1 (%) | |||
|---|---|---|---|---|---|---|
| CO | HC | NOX | PM | |||
| Summer | 11 July 2022 | D2 | 9.2 | 34.4 | 0.1 | 29.2 |
| D3 | 2.7 | 23.9 | 10.7 | 2.6 | ||
| Winter | 23 February 2023 | D2 | 12.6 | 15.7 | 3.4 | 28.4 |
| D3 | 2.4 | 6.6 | 8.3 | 0.5 | ||
| CO | HC | NOX | PM | |
|---|---|---|---|---|
| D2 | 0.02817 | 0.00684 | 0.01067 | 0.00063 |
| D3 | 0.01935 | 0.00544 | 0.03505 | 0.00012 |
Disclaimer/Publisher’s Note: The statements, opinions and data contained in all publications are solely those of the individual author(s) and contributor(s) and not of MDPI and/or the editor(s). MDPI and/or the editor(s) disclaim responsibility for any injury to people or property resulting from any ideas, methods, instructions or products referred to in the content. |
© 2024 by the authors. Licensee MDPI, Basel, Switzerland. This article is an open access article distributed under the terms and conditions of the Creative Commons Attribution (CC BY) license (https://creativecommons.org/licenses/by/4.0/).
Share and Cite
Sanajou, K.; Tchepel, O. Modelling of Aircraft Non-CO2 Emissions Using Freely Available Activity Data from Flight Tracking. Sustainability 2024, 16, 2558. https://doi.org/10.3390/su16062558
Sanajou K, Tchepel O. Modelling of Aircraft Non-CO2 Emissions Using Freely Available Activity Data from Flight Tracking. Sustainability. 2024; 16(6):2558. https://doi.org/10.3390/su16062558
Chicago/Turabian StyleSanajou, Kiana, and Oxana Tchepel. 2024. "Modelling of Aircraft Non-CO2 Emissions Using Freely Available Activity Data from Flight Tracking" Sustainability 16, no. 6: 2558. https://doi.org/10.3390/su16062558
APA StyleSanajou, K., & Tchepel, O. (2024). Modelling of Aircraft Non-CO2 Emissions Using Freely Available Activity Data from Flight Tracking. Sustainability, 16(6), 2558. https://doi.org/10.3390/su16062558

