Abstract
Vertical greening systems (VGSs) serve as an advanced ecological wastewater treatment technology, offering advantages such as a small spatial footprint and increased green space coverage. VGSs have been widely applied to treat various types of wastewaters, including blackwater and greywater. However, a systematic review of the pollutant removal efficiency of VGSs in treating blackwater and greywater, as well as the influencing factors, remains lacking. This study compiles data on the removal efficiencies of chemical oxygen demand (COD), total phosphorus (TP), total nitrogen (TN), and ammonium nitrogen (NH4+-N) from greywater and blackwater using VGSs. Additionally, the effects of the hydraulic loading rate, substrate type, and the number of system layers on pollutant removal performance are assessed. When treating blackwater, the pollutant removal efficiency showed a positive correlation with hydraulic loading within the range of 85 L × (m2 × d)−1 to 200 L × (m2 × d)−1; substrates such as zeolite or vermiculite exhibited superior removal performance, and increasing the number of system layers enhanced the pollutant removal efficiency. When treating greywater, the hydraulic loading rate and system layers have limited influence on COD and TN removal, while excessive hydraulic loading or system layers may negatively affect TP removal. Substrate mixtures composed of perlite and coconut coir achieved a higher pollutant removal efficiency. In conclusion, optimizing key parameters such as the hydraulic loading rate, substrate composition, and the number of system layers can significantly enhance the pollutant removal efficiency of VGSs.
1. Introduction
At present, the aquatic environment still faces numerous risks and challenges, with water pollution remaining a serious issue. Current estimates indicate that nearly half of the global population experiences severe water scarcity for at least part of the year, and approximately 2 billion people lack access to safe and reliable drinking water sources [1]. In low-income countries, poor environmental water quality is primarily due to inadequate wastewater treatment infrastructure. In contrast, the most significant issue in high-income countries is non-point-source pollution from agricultural activities [2,3]. Wastewater treatment plants (WWTPs) are the most widely implemented technology for wastewater purification, using grids, sedimentation tanks, and oxidation or anaerobic tanks to ensure the effluent generally meets discharge standards [4,5]. However, for certain scattered wastewater discharge sites, centralized treatment may require the construction of extensive sewer collection networks, which poses significant technical challenges and high costs [6,7]. This highlights the need for decentralized wastewater treatment systems that are more flexible and site-specific.
With growing attention on quality of life and ecological environments, ecological wastewater treatment facilities have gained increasing attention. These systems not only provide water purification functions but also enhance landscape aesthetics and contribute to ecological restoration efforts [8,9,10]. Vertical greening systems (VGSs) refer to green infrastructure where plant materials are used along the facades of buildings or other structures, forming vertical greenery through climbing, fixation, attachment, or hanging, which are also known as green walls, vertical gardens, three-dimensional greening, and so forth [11,12]. As an approach that effectively utilizes spatial resources beyond ground surfaces, VGSs have garnered attention across various fields due to their unique aesthetics, significant landscape value, and excellent performance. To date, most research on VGSs has focused on their application in architecture, and considerable progress has been demonstrated. Previous studies have shown that VGSs offer substantial benefits, such as improving the indoor and outdoor climate of buildings [13,14], reducing noise [15], and providing sustainable materials [16]. Nevertheless, it is important to recognize that VGSs, while regulating the microenvironment through plant transpiration and substrate water evaporation, require substantial amounts of water for operation [17]. To address this challenge, some researchers have started integrating VGSs with wastewater treatment [18,19,20]. This innovative approach not only reduces the demand for freshwater irrigation but also increases green coverage and offers decentralized wastewater purification in urban environments.
Initially, VGSs were primarily applied for rainwater utilization [18,19] and then expanded to the treatment of greywater and blackwater [21,22,23,24,25,26]. The performance of VGSs in pollutant removal is influenced by multiple factors, including the hydraulic loading rate (HLR), substrate composition, and the number of system layers. The HLR refers to the volume of wastewater treated per unit area per unit of time [27], which primarily affects the pollutant removal performance by controlling the hydraulic retention time (HRT) [28]. A low HLR tends to increase the HRT, enhancing the contact time between microorganisms and organic matter [27]. However, an excessive retention time may create an anaerobic condition, negatively affecting pollutant removal [29,30]. For example, Li et al. (2022) found that reducing HLR from 105 L × (m2 × d)−1 to 65 L × (m2 × d)−1 increased the average removal efficiencies of NH4+-N and COD by 51% and 19%, respectively [31]. Conversely, increasing the HLR from 108 L × (m2 × d)−1 to 216 L × (m2 × d)−1 resulted in a reduction in TP removal by approximately 10% and an enhancement in TN removal by more than 10% [32]. Substrate composition, a critical component of VGSs, mainly removes pollutants through adsorption [33]. Physical properties such as porosity, surface structure, and specific surface area are closely related to pollutant removal performance [34]. Li et al. (2022) reported that the removal efficiencies of COD, TP, NH4+-N, and TN could reach 48.49%, 30.60%, 44.29%, and 34.13%, respectively, in systems using zeolite as the substrate [31]. Anangadan et al. (2024) found that biochar derived from coffee resulted in COD and TN removal rates of 47.23% and 31.10%, respectively [34]. In addition, the number of layers (rows) in a VGS system significantly impacts pollutant removal by extending the HRT and increasing the surface area for microbial and plant interaction [35,36]. Aicher et al. (2022) compared two-layer and four-layer VGS systems, finding pollutant removal efficiencies of 77.5%, 31.5%, and 85% for COD, TP, and NH4+-N, respectively, in the two-layer system, and 79.5%, 44%, and 83% in the four-layer system [37].
Although several reviews have discussed the role of VGSs in water treatment, most have notable limitations. For example, Wang et al. [38] summarized the effectiveness of VGSs in treating rainwater and wastewater but lacked a quantitative analysis. Galvão et al. [39] examined the effects of influent characteristics and climatic conditions on the performance of VGSs in greywater treatment but did not consider other critical factors such as the hydraulic loading rate, substrate composition, or the number of system layers. Moreover, studies focused on blackwater treatment using VGSs remain sparse. Given the differing pollutant loads across various types of wastewaters, the treatment efficiency of VGSs—as well as the relative importance of influencing factors—may differ significantly between these wastewater types.
To address these knowledge gaps, this review compiles and synthesizes data from published experimental studies to (1) analyze the removal efficiencies of pollutants such as COD, TP, TN, and NH4+-N in VGSs for treating greywater and blackwater and (2) explore the impact of the hydraulic loading rate, substrate composition, and the number of layers in the system on the purification performance of VGSs. The findings provide practical guidance for enhancing the pollutant efficiencies of VGSs for treating greywater and blackwater.
2. Materials and Methods
2.1. Studies Selected
In this research, we collected published papers from 1 January 2000 to 31 December 2024 using the Web of Science Core Collection (https://www.webofscience.com/, accessed on 21 March 2025). The search formula is as follows: (((((TS = (“vertical greening systems” “sewage treatment”)) OR TS = (“vertical greening systems” “greywater”)) OR TS = (“vertical greening systems” “blackwater”)) OR TS = (“green walls” “sewage treatment”)) OR TS = (“green walls” “greywater”)) OR TS = (“green walls” “blackwater”). A total of 46 articles were retrieved. In addition, we identified 9 additional publications by examining the references and citations of these publications, and also 2 publications through our lab’s studies.
Then, the studies that were selected had to conform to the following criteria: (1) The study must be an experimental study; reviews were excluded. (2) Blackwater or greywater must have been used as the influent in the experiments. (3) The experimental units must have been supplied with wastewater of known pollutant concentrations, allowing the pollutant removal efficiency to be assessed either by monitoring the effluent pollutant concentration or through in situ measurements of water quality after a specific treatment period. (4) The study must have reported, or provided sufficient data to calculate, the removal efficiency of at least one of the following key water quality indicators: COD, TP, NH4+-N, or TN. These are common indicators of water quality. Data derived solely from model simulations were excluded. (5) The study must have reported the hydraulic loading rate, substrate types, or the number of system layers. Since our analysis focuses on the influence of the number of layers on the water purification performance of VGSs, studies using experimental devices with only one layer were excluded. Other pollutants were excluded from the analysis due to insufficient data for meaningful comparison. Only 17 studies met these criteria (Figure S1; Table S1). Many studies reported more than one treatment (different substrate type or experiment duration time), resulting in hundreds of recorded observations (Table S2).
2.2. Data Analyses
For the statistical analysis, we extracted information directly from the text and tables and used Getdata software (Getdata 2.26) to extract data from the figures. The information included the sewage type (blackwater/greywater), study area, hydraulic loading rates, substrate types, the number of system layers, influent and effluent pollutant concentrations, and pollutant removal efficiency.
To explore the effect of the hydraulic loading rate (HLR), substrate composition, and the number of layers on the pollutant removal efficiency, we extracted three moderator variables that may influence performance: (1) the HLR for blackwater, <80 L × (m2 × d)−1, 80–150 L × (m2 × d)−1, and >150 L × (m2 × d)−1, and for greywater, <100 L × (m2 × d)−1, 100–700 L × (m2 × d)−1, and >700 L × (m2 × d)−1; (2) the substrate composition for blackwater, zeolite, vermiculite, ceramsite, and a combination of zeolite and ceramic grains, and for greywater, traditional substrates (substrate fillers commonly used in previous studies, such as perlite, sand, zeolite, etc.), substrates containing biochar, substrates containing coconut coir, and substrates containing lightweight expanded clay aggregate (LECA); and (3) the number of layers, i.e., <3, 3–5, and >5 layers.
Given the variability in influent pollutant loads and water input methods across experiments, pollutant removal efficiency (expressed as a percentage) was used as the primary indicator of system decontamination performance. The removal efficiency (RE) was calculated using the following formula:
where Cin is the pollutant concentration in the inflow and Cout is the pollutant concentration in the outflow.
A one-sample t-test was used to analyze the significant differences in the pollutant removal efficiency between systems treating blackwater and greywater. The effects of the HLR, substrate composition, and the number of layers on pollutant removal efficiency were analyzed using a one-way ANOVA. To ensure the validity of the statistical analyses, we tested the normality of the data using the Kolmogorov–Smirnov test. Data that did not meet the normality assumption were log-transformed before the analysis. If the transformed data still failed to meet the normality assumption, non-parametric Kruskal–Wallis tests were employed. All analyses were completed using the R program (R 4.4.0), and the significance level was 0.05.
3. Results
In studies on the treatment of blackwater using VGSs, there were 27 data points each for the removal efficiency of COD, TP, TN, and NH4+-N. However, no reports were found regarding the removal of NO3−-N. For greywater treatment using VGSs, there were 40 data points for COD removal efficiency, 37 data points for TP removal efficiency, 27 data points for TN removal efficiency, 14 data points for NH4+-N removal efficiency, and 13 data points for NO3−-N removal efficiency (Table S2). Due to the limited amount of data on the removal of NO3−-N from wastewater using VGSs, this study did not further analyze the factors influencing NO3−-N removal in such systems.
In VGSs for treating blackwater, the removal efficiency of COD ranged from 39.26% to 95.85%, with an average removal efficiency of 66.54% (Figure 1a). Meanwhile, in VGSs for treating greywater, it ranged from 18.30% to 96.80%, with an average removal efficiency of 66.99% (Figure 1a). For TP, the removal efficiency in VGSs for treating blackwater ranged from 16.38% to 87.00%, with an average efficiency of 48.17% (Figure 1b). Similarly, the TP removal efficiency in VGSs for treating greywater ranged from 6.47% to 85.00%, with an average removal efficiency of 36.14% (Figure 1b). The pollutant removal efficiency of TN in VGSs for treating greywater ranged from 8.00% to 93.00%, with an average removal efficiency of 74.25%, which was significantly higher than that in VGSs for treating blackwater, where the TN removal efficiency ranged from 17.93% to 60.00%, with an average removal efficiency of 36.23% (Figure 1c). As for NH4+-N, the removal efficiency in VGSs for treating blackwater ranged from 21.98% to 97.16%, with an average efficiency of 69.73% (Figure 1d). In VGSs for treating greywater, the NH4+-N removal efficiency ranged from 50.00% to 99.00%, with an average removal efficiency of 79.08% (Figure 1d). However, there was no significant difference in the removal of COD, TP, and NH4+-N between VGSs for treating blackwater and greywater (Figure 1a,b,d).
Figure 1.
Treatment performance of VGSs for (a) COD, (b) TP, (c) TN, and (d) NH4+-N in blackwater (deep blue) and greywater (pale blue). The asterisks indicate significant removal efficiency differences between blackwater and greywater, where **: p < 0.01.
A comparison of pollutant removal from blackwater and greywater by VGSs under different hydraulic loading rates was performed (Figure 2 and Figure 3). In VGSs for treating blackwater, the removal efficiencies of COD, NH4+-N, and TN in VGSs with a high HLR (>150 L × (m2 × d)−1) were significantly higher than those with a medium HLR (80–150 L × (m2 × d)−1), with the removal efficiencies of COD and NH4+-N reaching up to 80.00% or even higher (Figure 2a,c,d). In VGSs for treating greywater, the removal of COD and TP in VGSs with a medium HLR (100–700 L × (m2 × d)−1) was found to be significantly higher than that at a high HLR (>700 L × (m2 × d)−1), and the removal of TN was found to be significantly higher than that at a low HLR (<100 L × (m2 × d)−1) (Figure 3). At a medium HLR (100–700 L × (m2 × d)−1), the average removal efficiency of COD was above 80.00%, and the average removal efficiency of TP and TN was over 60.00% (Figure 3).
Figure 2.
Pollutant removal efficiencies of vertical greening systems for treating blackwater under different hydraulic loading rates: (a) COD removal efficiency; (b) TP removal efficiency; (c) TN removal efficiency; and (d) NH4+-N removal efficiency. The dark blue bar: low HLR; the blue bar: medium HLR; the light blue: High HLR. Different letters above the bars indicate significant differences among HLRs (p < 0.05). Values are means ± standard error.
Figure 3.
Pollutant removal efficiencies of vertical greening systems for treating greywater under different hydraulic loading rates: (a) COD removal efficiency; (b) TP removal efficiency; (c) TN removal efficiency. The dark blue bar: low HLR; the blue bar: medium HLR; the light blue: High HLR. The asterisks between the two bars indicate significant differences between different HLRs, *: p < 0.05. Different letters above the bars indicate significant differences among HLRs (p < 0.05). The quantity of TP data at low hydraulic loads (<100 L × (m2 × d)−1) was not identified. The data on NH4+-N was insufficient for statistical analysis. Values are means ± standard error.
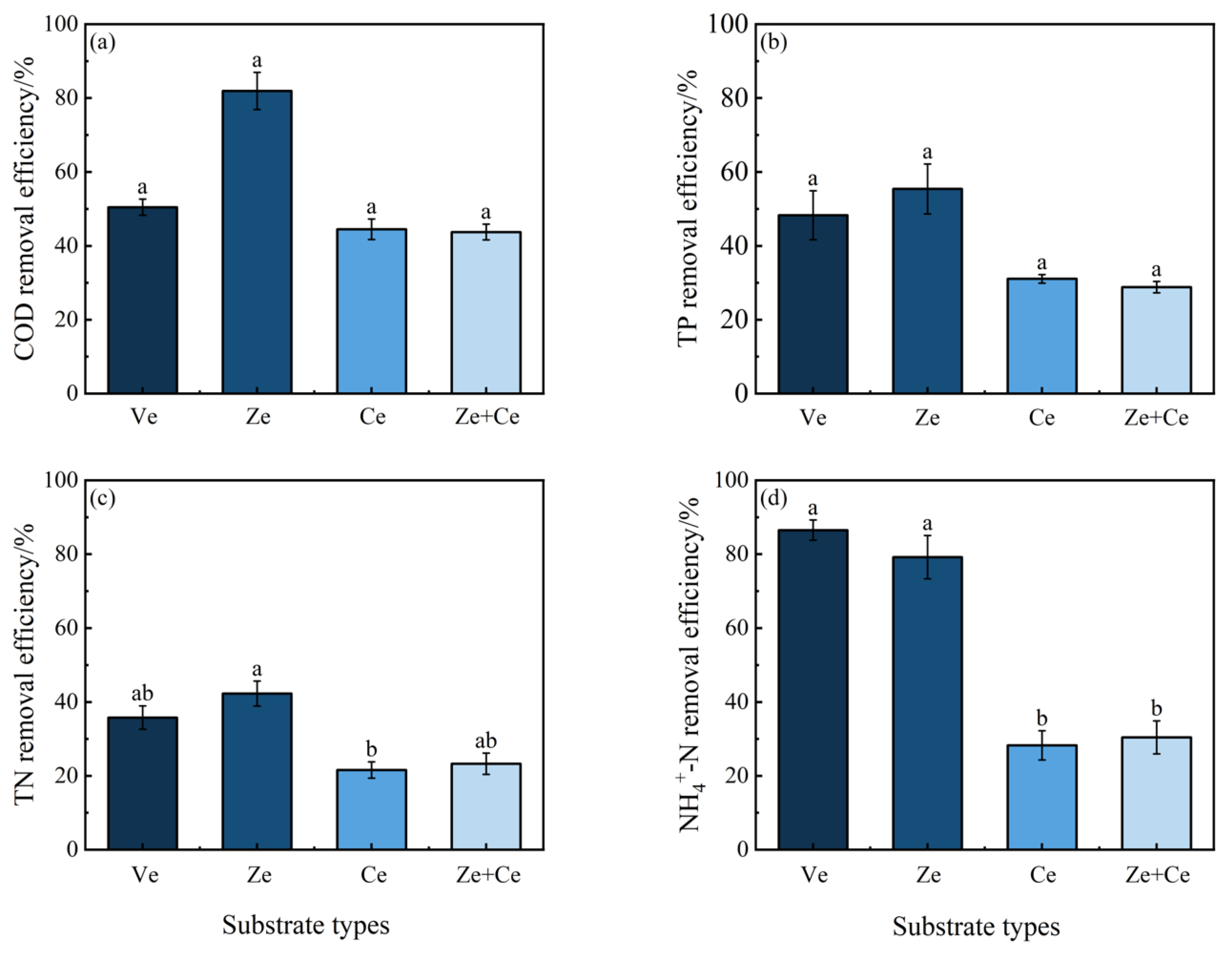
The substrates used in the VGSs for treating blackwater included zeolite, vermiculite, ceramsite, and a mixture of zeolite and ceramsite. Among these, vermiculite and zeolite showed significantly higher NH4+-N removal efficiency compared to ceramsite and the zeolite–ceramsite mixture (Figure 4d). However, the substrate types did not affect the removal efficiencies of COD and TP in VGS for treating blackwater (Figure 4a,b).
Figure 4.
Pollutant removal efficiency of VGS for treating blackwater using different substrate types: (a) COD removal efficiency; (b) TP removal efficiency; (c) TN removal efficiency; and (d) NH4+-N removal efficiency. The different color bars mean different substrate types. Substrate abbreviations: Ve, vermiculite; Ze, zeolite; Ce, ceramsite. Different letters above the bars indicate significant differences among substrate types (p < 0.05). Values are means ± standard error.
The substrates used in the VGSs for treating greywater included traditional substrates, biochar-enriched substrates, coconut coir, a mixture of coconut coir and biochar, lightweight expanded clay aggregate (LECA), and other substrate types. Among these, other substrate types showed a notable advantage in TP removal efficiency, achieving approximately 60.00% (Figure 5b). The substrate containing coconut coir exhibited a substantial advantage in TN removal efficiency, reaching up to 80.00% (Figure 5c). Compared to substrates with LECA, traditional substrates and those containing biochar exhibited significantly superior performance in removal of NH4+-N (Figure 5d). The performance of COD removal did not differ significantly among the substrates (Figure 5a).
Figure 5.
Pollutant removal efficiency of VGSs for treating greywater using different substrate types: (a) COD removal efficiency; (b) TP removal efficiency; (c) TN removal efficiency; and (d) NH4+-N removal efficiency. The different color bars mean different substrate types. Substrate abbreviations: Tr, traditional substrates; Bi, substrates containing biochar; Co, substrates containing coconut coir; LECA, substrates containing lightweight expanded clay aggregate; Others, other types of substrates. Different letters above the bars indicate significant differences among substrate types (p < 0.05). Values are means ± standard error.
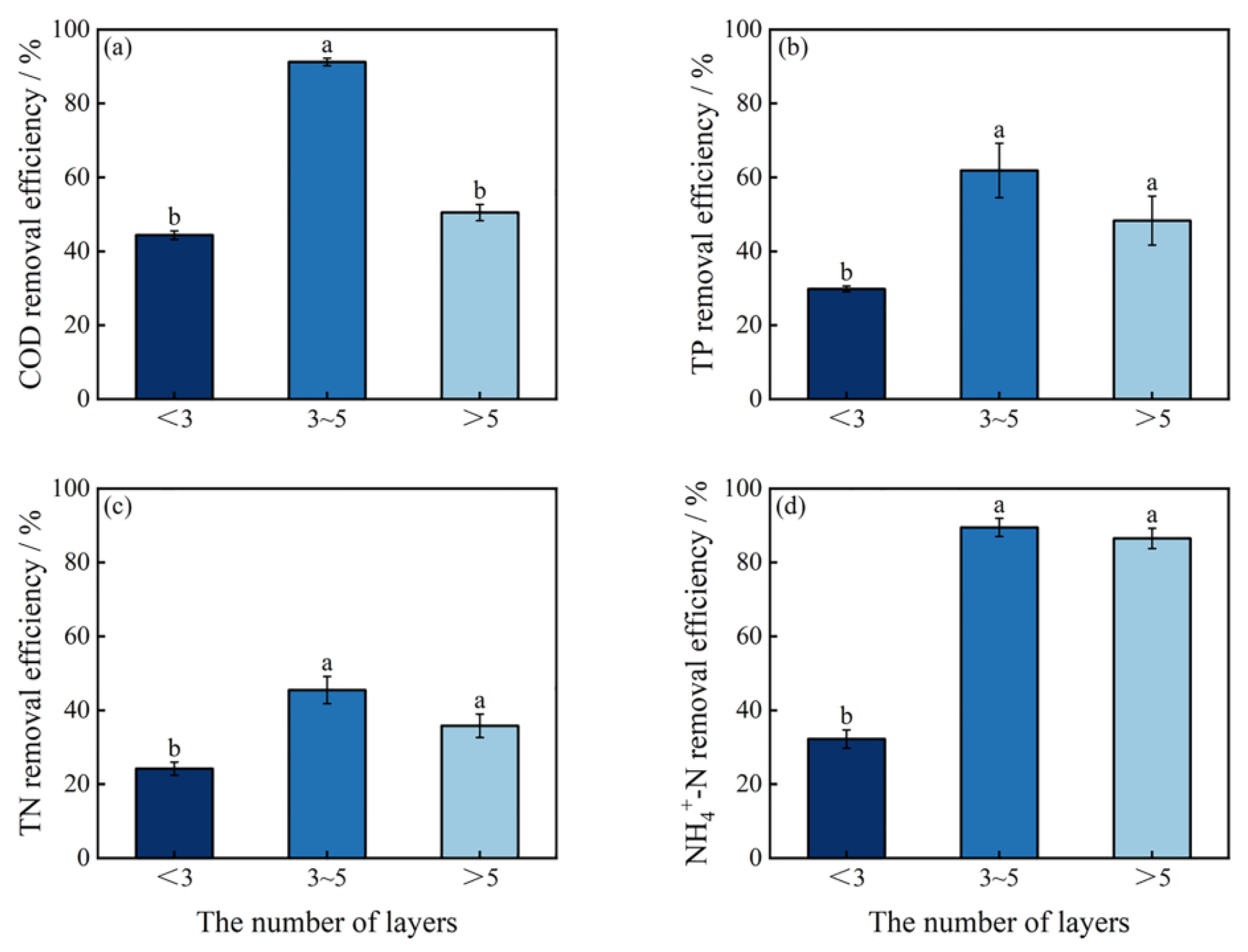
The number of layers in a VGS significantly affects its performance in treating blackwater (Figure 6). Overall, the greater the number of layers, the stronger the pollutant removal efficiencies. When the systems had three or more layers, the removal efficiencies of TP, NH4+-N, and TN were significantly higher than those with fewer than three layers (Figure 6b–d). For COD, systems with three to five layers demonstrated a significantly higher removal rate, reaching approximately 90%, compared to systems with fewer than three or more than five layers (Figure 6a).
Figure 6.
Pollutant removal efficiency of VGSs for treating blackwater with different layer numbers: (a) COD removal efficiency; (b) TP removal efficiency; (c) TN removal efficiency; and (d) NH4+-N removal efficiency. The different color bars mean different number of layers. Different letters above the bars indicate significant differences among the number of system layers (p < 0.05). Values are means ± standard error.
In VGSs for treating greywater, the number of layers did not affect the removal efficiencies of COD, TP, and NH4+-N (Figure 7a,b,d). For TN, only the VGSs with 3–5 layers reported its removal efficiency, and the average removal efficiency can reach approximately 80% (Figure 7c).
Figure 7.
Pollutant removal efficiency of VGSs for treating greywater with different layer numbers: (a) COD removal efficiency; (b) TP removal efficiency; (c) TN removal efficiency; (d) NH4+-N removal efficiency. The different color bars mean different number of layers. Different letters above the bars indicate significant differences among the number of system layers (p < 0.05). The quantity of TN data with <3 layers and >5 layers was not identified. Values are means ± standard error.
4. Discussion
4.1. Effect of Hydraulic Loading Rate on Pollutant Removal Efficiencies of VGSs
The hydraulic loading rate (HLR) can influence pollutant removal efficiency by altering the retention time of wastewater, the dissolved oxygen concentration, and microbial activity within the system [40,41]. In this study, in VGSs for treating blackwater, a higher HLR improved COD and NH4+-N removal efficiencies (Figure 2a,c). An increased HLR enhanced the oxygen content in wastewater, thereby promoting aerobic COD degradation and nitrification of NH4+-N [31]. Notably, there are relatively few studies on the use of vertical green walls for blackwater treatment (Table S2), which may limit the generalizability of the current conclusion.
In VGSs for treating greywater, the TN removal efficiency was the highest under a medium HLR (Figure 3c). This may be attributed to a more optimal balance between the oxygen supply and nutrient availability at moderate HLRs, which supports both nitrification and denitrification processes [32,41,42]. Extremely low or high HLRs may inhibit either the nitrification or denitrification. In addition, we found that a high HLR (>700 L × (m2 × d)−1) decreased TP removal efficiency (Figure 3b), since substrate adsorption is the primary mechanism for TP removal [43], likely due to decreased contact times between the pollutants and the substrate or exceeding the substrate’s adsorption capacity.
4.2. Effect of Substrate Type on Pollutant Removal Efficiencies of VGSs
Substrate fillers in VGSs primarily remove pollutants through physical and chemical adsorption. Substrate properties such as porosity, surface structure, specific surface area, and cation exchange not only directly influence the adsorption capacity but also microbial community structure, thereby affecting pollutant removal efficiency [34,44]. In this study, the VGSs for treating blackwater with zeolite showed higher NH4+-N and TN removal efficiencies than other substrates (Figure 4c,d). This can be attributed to the excellent cation exchange capacity of zeolite [45], which extends the retention time of ammonium in the treatment system and enhances ammonia nitrogen removal efficiency [31]. Furthermore, the porous structure, high porosity, and negative zeta potential of zeolite effectively capture and exchange cations (e.g., ammonium) [34], giving it a distinct advantage in NH4+-N removal and improving TN removal efficiency.
In the VGSs for treating greywater, coconut coir exhibited superior removal performance in removal of TN, likely due to its high specific surface area and well-developed pore structure [21]. These features provide an augmented number of adsorption sites, thereby enhancing TN efficiency. Furthermore, coir’s robust physical composition (e.g., hardness and resistance to degradation) ensures the longevity of its adsorption capacity [46]. Additionally, coconut coir has been observed to enhance the population of microorganisms, thereby contributing to TN removal [21]. It is noteworthy that most substrate blends utilizing coconut coir also contain perlite, and a mix of perlite and coconut coir is emerging as the preferred choice for numerous experimental studies [35,47]. Biochar also has unique advantages in the removal of NH4+-N, as the biochar surface exhibits hydrophobicity at high pyrolysis temperatures while carrying negatively charged functional groups (e.g., -OH and -COOH) at low pyrolysis temperatures. This imparts a particular affinity for NH4+-N [48]. The nitrogen atom in NH4+ contains a lone pair of electrons, which facilitates hydrogen bond formation with hydroxyl and carboxyl groups on the biochar surface, thereby enhancing NH4+-N adsorption [49]. Recent studies have explored alternative materials such as pumice, hemp, composted fibrous soil (CFS), fiber, and others as substrates, and the phosphorus adsorption capacity of these novel substrates could be enhanced by increasing the specific surface area, changing the structure, and so on [32,50]. However, the pollutant removal mechanisms associated with these new materials remain poorly understood and warrant further investigation.
4.3. Effect of the Number of Layers on the Pollutant Removal Efficiencies of VGS
The number of system layers is another critical parameter that may influence the concentration of dissolved oxygen in the system by altering the hydraulic retention time [51]. It may also affect pollutant removal by changing the absorption of pollutants by the substrate and plants [35]. This study found that a higher number of layers resulted in higher removal efficiencies of N and P in VGSs treating blackwater (Figure 6). This may be attributed to several factors: (1) a larger number of layers increases the total volume of filler material, thereby enhancing pollutant adsorption; (2) a larger planting area allows for more vegetation, leading to greater plant uptake; and (3) a higher number of layers contributes to increased microbial abundance, which improves pollutant degradation [35,52]. Moreover, an increase in the number of layers also prolongs the retention time of pollutants in the system, thereby enhancing pollutant removal efficiency.
In VGSs for treating greywater, the number of layers did not affect pollutant removal efficiencies (Figure 7). The low pollutant loads of greywater weaken the influence of the number of layers on pollutant removal. In addition, the variability in hydraulic loading rates, substrate fillers, and plant species employed across diverse studies may affect the effect of the number of layers. Most greywater treatment systems examined used fewer layers (typically up to four) compared to blackwater systems (up to eight). Future studies should investigate whether increasing the number of layers in greywater systems can further enhance treatment performance.
4.4. Practical Recommendations
VGSs possess unique advantages in wastewater treatment, offering a novel alternative for centralized or decentralized wastewater treatment, such as effluent from wastewater treatment plants, rural blackwater, and greywater from buildings [22,53]. Compared to traditional constructed wetlands, which typically achieve 70–90% COD removal in greywater and 50–70% TN removal [54,55,56,57,58,59,60], VGSs may exhibit lower COD and TP removal but demonstrate relatively higher TN removal efficiencies. Additionally, due to their compact footprint, VGSs provide higher treatment performance per unit area and greater design flexibility, making them suitable for space-constrained or urban environments [31].
This study revealed that the hydraulic loading rates, substrate types, and the number of layers in VGSs significantly affect their pollutant removal performance. Thus, optimal VGS design should integrate considerations of wastewater characteristics (e.g., blackwater vs. greywater), substrate porosity (e.g., zeolite, coconut coir, and biochar), and vertical configurations. As far as the results of this study are concerned, when a VGS is applied for greywater treatment, the HLR is recommended to be controlled at 100–700 L × (m2 × d)−1, the substrate composition is recommended to be a mixture of coconut coir and perlite or some new substrates (e.g., recycled materials), and the number of layers of the device is recommended to be three or more. When a VGS is applied in blackwater treatment, the HLR is recommended to be greater than 150 L × (m2 × d)−1, the substrate composition is recommended to be zeolite, and the number of layers of the device is recommended to be 3–5.
Also, we acknowledge the limitations of the review process, such as the language restrictions, potential publication bias, or climatic context, which may have affected the conclusions of this study and may limit the generalizability of the current conclusions. More studies need to be conducted to improve the pollutant removal efficiency of VGSs.
4.5. Future Research Directions
The substrate is an important factor influencing the effectiveness of pollutant removal from VGSs, and most studies have used substrates such as zeolite, perlite, and coconut coir; however, only a few have explored novel substrates (e.g., recycled materials), which have demonstrated promising performance in wastewater treatment (Figure 7). Further attention needs to be paid to the application of new types of substrates (e.g., recycled materials) in VGSs, such as including iron–carbon micro-electrolysis substrates, iron-modified biochar, agricultural waste (e.g., crop residues, livestock, poultry manure, etc.), industrial wastes (e.g., fly ash, iron shavings, construction solid wastes, etc.), agricultural production wastes (e.g., crop residues, livestock and poultry manure, etc.) and industrial wastes (e.g., fly ash, iron shavings, solid construction wastes, etc.) to further improve the pollutant removal efficiency of VGSs [50,61,62]. Additionally, higher layers should be adopted whenever possible to enhance pollutant removal performance. Most greywater treatment systems examined used fewer layers, and future studies should investigate whether increasing the number of layers in greywater systems can further enhance treatment performance.
The wastewater type influences the treatment efficiency of vertical green systems (VGSs). Currently, there are relatively few studies on the use of vertical green walls for blackwater treatment (Table S2). To enhance the treatment performance of vertical green walls across different wastewater types and promote their broader application, more attention should be given to exploring their effectiveness in treating various types of wastewater.
In addition, due to economic development and human activities, the concentration of emerging contaminants in water bodies has increased, including endocrine disruptors, perfluorinated compounds (PFCs), antibiotics, microplastics, and others [63]. The total concentration of emerging contaminants in the effluent of wastewater treatment plants (WWTPs) in China ranges from 1392 ng/L to 35,453 ng/L [64]. Among these, antibiotic-related contaminants may still pose risks to the ecological environment even after WWTP treatment. Pollutants such as diethylhexyl phthalate (DEHP), caffeine, cholesterol, phenol, and isooctanol are found in high concentrations in WWTP influent, with DEHP and phenol being listed as priority pollutants by the U.S. EPA and China’s priority control list for water contaminants [65]. PFCs, widely distributed in the environment, are resistant to degradation and exhibit multiple toxic effects on animals. Emerging contaminants are characterized by environmental persistence and bioaccumulation, and even at low concentrations, they may threaten ecosystems and human health [66]. The efficacy of VGSs in removing these emerging contaminants remains largely unknown and merits further investigation. Future studies should assess not only the removal efficiencies of VGSs for these pollutants but also whether their presence affects conventional nutrient removal processes.
Plant species also play a vital role in the treatment performance of VGSs. Plants with high biomass can significantly enhance the removal efficiency of N and P of VGSs [67,68]. However, environmental factors such as light, temperature, and moisture affect plant growth. Therefore, plant selection should be based on local climate conditions and the system’s structural design. For instance, VGSs planted with E. aureum saplings achieved removal efficiencies of 83.2% for COD, 59.3% for TP, and 63.2% TN in greywater [40]; VGSs planted with Iris pseudacorus achieved removal efficiencies of 80% for COD and 81% for NH4+-N in greywater [20]; and VGSs planted with Allium tuberosum Rottl. ex Spreng. (Chinese chive) showed a removal efficiency of 44.4% for COD, 29.8% for TP, 24.2% for TN, and 32.2% for NH4+-N in blackwater [31]. Different plant species exhibit varying tolerances to pollutants and pollutant removal capacities. Further research could explore the effect of plant species diversity on the pollutant removal efficiency of VGSs. Given the current challenges of water scarcity and food security, further attention could be directed toward integrating the cultivation of economically valuable crops in VGSs. This approach not only enhances pollutant removal but also facilitates the resource recovery and utilization of wastewater.
5. Conclusions
This review and analysis demonstrate that VGSs show significant potential in wastewater treatment, achieving average removal efficiencies of 66.81% for COD, 41.21% for TP, 55.24% for TN, and 72.93% for NH4+-N. Within a certain range, increasing the hydraulic loading rate was found to enhance pollutant removal efficiency. Substrates such as zeolite or a mix of perlite and coconut coir are recommended due to their superior adsorption and support properties. Additionally, increasing the number of system layers significantly improves treatment efficiency by extending retention time and increasing the active surface area for microbial and plant interactions. In practical wastewater treatment engineering, the design and operation of VGSs should be guided by a comprehensive assessment of environmental conditions, wastewater characteristics, substrate materials, plant species, and system configurations. Future studies should focus on optimizing plant species selection, including the incorporation of economically valuable crops, improving the removal of emerging contaminants, and further elucidating the underlying mechanisms of pollutant removal in VGSs. These efforts will help advance the development and application of VGSs as multifunctional systems for sustainable wastewater management.
Supplementary Materials
The following supporting information can be downloaded at: https://www.mdpi.com/article/10.3390/su17136138/s1, Figure S1: Methodology adopted to perform the review; Table S1: Studies selected for statistical analysis of the different factors effect on effluent chemical oxygen demand (COD), total phosphate (TP), total nitrogen (TN), ammonium nitrogen (NH4+-N), nitrate nitrogen (NO3−-N) concentrations in vertical greening systems; Table S2: The quantity of data collected from the existing literature on pollutant removal rates (COD, TP, TN, NH4+-N, NO3−-N). (Statistics are categorized according to effluent type, hydraulic load, substrate type and number of layers.); Table S3: The region of the country where the study was conducted and the plant species selected for the experiment; Table S4: Data extraction from literatures.
Author Contributions
Conceptualization, W.H. and S.Z.; formal analysis, W.Z.; writing—original draft preparation, W.Z. and W.H.; writing—review and editing, W.Z., X.Z., M.Z., H.X., S.Z., and W.H.; funding acquisition, X.Z. and H.X. All authors have read and agreed to the published version of the manuscript.
Funding
This research was funded by the National Key R&D Program of China [2022YFE0106200], the Wenzhou Ecological Park Research Project [SY2022ZD-1002], and the Graduate Scientific Research Foundation of Wenzhou University (3162024003060).
Institutional Review Board Statement
Not applicable.
Informed Consent Statement
Not applicable.
Data Availability Statement
Data are contained within the article.
Conflicts of Interest
The authors declare that they have no known competing financial interests or personal relationships that could have appeared to influence the work reported in this paper.
References
- World Water Assessment Programme. The United Nations World Water Development Report 2024: Water for Prosperity and Peace; UNESCO: Paris, France, 2024. [Google Scholar]
- Kesari, K.K.; Soni, R.; Jamal, Q.M.S.; Tripathi, P.; Lal, J.A.; Jha, N.K.; Siddiqui, M.H.; Kumar, P.; Tripathi, V.; Ruokolainen, J. Wastewater Treatment and Reuse: A Review of its Applications and Health Implications. Water Air Soil Pollut. 2021, 232, 208. [Google Scholar] [CrossRef]
- Jones, E.R.; Bierkens, M.F.P.; Wanders, N.; Sutanudjaja, E.H.; van Beek, L.P.H.; van Vliet, M.T.H. Current wastewater treatment targets are insufficient to protect surface water quality. Commun. Earth Environ. 2023, 4, 64. [Google Scholar] [CrossRef]
- Rojas, M.R.; Leung, C.; Bonk, F.; Zhu, Y.; Edwards, L.; Arnold, R.G.; Sáez, A.E.; Klecka, G. Assessment of the Effectiveness of Secondary Wastewater Treatment Technologies to Remove Trace Chemicals of Emerging Concern. Crit. Rev. Environ. Sci. Technol. 2013, 43, 1281–1314. [Google Scholar] [CrossRef]
- Sangamnere, R.; Misra, T.; Bherwani, H.; Kapley, A.; Kumar, R. A critical review of conventional and emerging wastewater treatment technologies. Sustain. Water Resour. Manag. 2023, 9, 58. [Google Scholar] [CrossRef]
- Arias, A.; Rama, M.; González-García, S.; Feijoo, G.; Moreira, M.T. Environmental analysis of servicing centralised and decentralised wastewater treatment for population living in neighbourhoods. J. Water Process Eng. 2020, 37, 101469. [Google Scholar] [CrossRef]
- Molinos-Senante, M.; Poch, M.; Rosso, D.; Garrido-Baserba, M. From wastewater treatment plants to decentralized resource factories. Npj Clean Water 2024, 7, 46. [Google Scholar] [CrossRef]
- Tenenbaum, D.J. Constructed wetlands: Borrowing a concept from nature. Environ. Health Perspect. 2004, 112, A44–A48. [Google Scholar] [CrossRef]
- Wu, H.M.; Wang, R.G.; Yan, P.H.; Wu, S.B.; Chen, Z.B.; Zhao, Y.Q.; Cheng, C.; Hu, Z.; Zhuang, L.L.; Guo, Z.Z.; et al. Constructed wetlands for pollution control. Nat. Rev. Earth Environ. 2023, 4, 218–234. [Google Scholar] [CrossRef]
- Silva, J.A. Wastewater Treatment and Reuse for Sustainable Water Resources Management: A Systematic Literature Review. Sustainability 2023, 15, 10940. [Google Scholar] [CrossRef]
- Pérez, G.; Rincón, L.; Vila, A.; González, J.M.; Cabeza, L.F. Behaviour of green facades in Mediterranean Continental climate. Energy Convers. Manag. 2011, 52, 1861–1867. [Google Scholar] [CrossRef]
- Medl, A.; Stangl, R.; Florineth, F. Vertical greening systems—A review on recent technologies and research advancement. Build. Environ. 2017, 125, 227–239. [Google Scholar] [CrossRef]
- Ghazalli, A.J.; Brack, C.; Bai, X.M.; Said, I. Alterations in use of space, air quality, temperature and humidity by the presence of vertical greenery system in a building corridor. Urban For. Urban Green. 2018, 32, 177–184. [Google Scholar] [CrossRef]
- Kim, E.S.; Yun, S.H.; Lee, D.K.; Kim, N.Y.; Piao, Z.G.; Kim, S.H.; Park, S. Quantifying outdoor cooling effects of vertical greening system on mean radiant temperature. Dev. Built Environ. 2023, 15, 100211. [Google Scholar] [CrossRef]
- Abdo, P.; Huynh, B.P.; Irga, P.J.; Torpy, F.R. Evaluation of air flow through an active green wall biofilter. Urban For. Urban Green. 2019, 41, 75–84. [Google Scholar] [CrossRef]
- Pérez, G.; Rincón, L.; Vila, A.; González, J.M.; Cabeza, L.F. Green vertical systems for buildings as passive systems for energy savings. Appl. Energy 2011, 88, 4854–4859. [Google Scholar] [CrossRef]
- Segovia-Cardozo, D.A.; Rodríguez-Sinobas, L.; Zubelzu, S. Living green walls: Estimation of water requirements and assessment of irrigation management. Urban For. Urban Green. 2019, 46, 126458. [Google Scholar] [CrossRef]
- Prenner, F.; Pucher, B.; Zluwa, I.; Pitha, U.; Langergraber, G. Rainwater Use for Vertical Greenery Systems: Development of a Conceptual Model for a Better Understanding of Processes and Influencing Factors. Water 2021, 13, 1860. [Google Scholar] [CrossRef]
- Xie, L.; Shu, X.; Kotze, D.J.; Kuoppamäki, K.; Timonen, S.; Lehvävirta, S. Plant growth-promoting microbes improve stormwater retention of a newly-built vertical greenery system. J. Environ. Manag. 2022, 323, 116274. [Google Scholar] [CrossRef]
- Pucher, B.; Zluwa, I.; Sporl, P.; Pitha, U.; Langergraber, G. Evaluation of the multifunctionality of a vertical greening system using different irrigation strategies on cooling, plant development and greywater use. Sci. Total Environ. 2022, 849, 157842. [Google Scholar] [CrossRef]
- Masi, F.; Bresciani, R.; Rizzo, A.; Edathoot, A.; Patwardhan, N.; Panse, D.; Langergraber, G. Green walls for greywater treatment and recycling in dense urban areas: A case-study in Pune. J. Water Sanit. Hyg. Dev. 2016, 6, 342–347. [Google Scholar] [CrossRef]
- Jin, Z.; Xie, X.Y.; Zhou, J.; Bei, K.; Zhang, Y.J.; Huang, X.F.; Zhao, M.; Kong, H.N.; Zheng, X.Y. Blackwater treatment using vertical greening: Efficiency and microbial community structure. Bioresour. Technol. 2018, 249, 175–181. [Google Scholar] [CrossRef]
- Pradhan, S.; Helal, M.I.; Al-Ghamdi, S.G.; Mackey, H.R. Performance evaluation of various individual and mixed media for greywater treatment in vertical nature-based systems. Chemosphere 2020, 245, 125564. [Google Scholar] [CrossRef]
- Lakho, F.H.; Vergote, J.; Khan, H.; Depuydt, V.; Depreeuw, T.; Van Hulle, S.W.H.; Rousseau, D.P.L. Total value wall: Full scale demonstration of a green wall for grey water treatment and recycling. J. Environ. Manag. 2021, 298, 113489. [Google Scholar] [CrossRef]
- Costamagna, E.; Caruso, A.; Galvao, A.; Rizzo, A.; Masi, F.; Fiore, S.; Boano, F. Impact of Biochar and Graphene as Additives on the Treatment Performances of a Green Wall Fed with Greywater. Water 2023, 15, 195. [Google Scholar] [CrossRef]
- Wang, Z.Q.; Xie, W.J.; Shi, F.; Fan, C.Z.; Wu, S.Q.; He, S.B.; Kong, H.A.; Zhao, M.; Zheng, X.Y. Performance optimization of novel multi-unit green wall system for blackwater treatment and reuse on-site. Environ. Sci. Eur. 2024, 36, 64. [Google Scholar] [CrossRef]
- Zhang, N.; Lu, D.N.; Kan, P.Y.; Yangyao, J.N.; Yao, Z.Y.; Zhu, D.Z.; Gan, H.H.; Zhu, B.Y. Impact analysis of hydraulic loading rate on constructed wetland: Insight into the response of bulk substrate and root-associated microbiota. Water Res. 2022, 216, 118337. [Google Scholar] [CrossRef]
- Shi, B.; Cheng, X.; Zhu, D.; Jiang, S.; Chen, H.; Zhou, Z.; Xie, J.; Jiang, Y.; Liu, C.; Guo, H. Impact analysis of hydraulic loading rate and antibiotics on hybrid constructed wetland systems: Insight into the response to decontamination performance and environmental-associated microbiota. Chemosphere 2024, 347, 140678. [Google Scholar] [CrossRef]
- Samal, K.; Dash, R.R.; Bhunia, P. Effect of hydraulic loading rate and pollutants degradation kinetics in two stage hybrid macrophyte assisted vermifiltration system. Biochem. Eng. J. 2018, 132, 47–59. [Google Scholar] [CrossRef]
- Decezaro, S.T.; Wolff, D.B.; Pelissari, C.; Ramírez, R.; Formentini, T.A.; Goerck, J.; Rodrigues, L.F.; Sezerino, P.H. Influence of hydraulic loading rate and recirculation on oxygen transfer in a vertical flow constructed wetland. Sci. Total Environ. 2019, 668, 988–995. [Google Scholar] [CrossRef]
- Li, X.Y.; Zhou, J.; Tang, Y.Q.; Li, Y.Q.; Jin, Z.; Kong, H.N.; Zhao, M.; Zheng, X.Y.; Bei, K. A hydroponic vertical greening system for disposal and utilization of pre-treated Blackwater: Optimization of the operating conditions. Ecol. Eng. 2022, 183, 106739. [Google Scholar] [CrossRef]
- Sami, M.; Hedström, A.; Kvarnström, E.; McCarthy, D.T.; Herrmann, I. Greywater treatment in a green wall using different filter materials and hydraulic loading rates. J. Environ. Manag. 2023, 340, 117998. [Google Scholar] [CrossRef]
- Ji, Z.H.; Tang, W.Z.; Pei, Y.S. Constructed wetland substrates: A review on development, function mechanisms, and application in contaminants removal. Chemosphere 2022, 286, 131564. [Google Scholar] [CrossRef]
- Anangadan, S.M.; Pradhan, S.; Saththasivam, J.; McKay, G.; Mackey, H.R. A kinetic evaluation of nutrient and organic matter removal in greywater for green Walls: Assessing the performance of Mineral-Based, Organic, and Waste-Derived plant support media. Sep. Purif. Technol. 2024, 349, 127517. [Google Scholar] [CrossRef]
- Prodanovic, V.; Hatt, B.; McCarthy, D.; Deletic, A. Green wall height and design optimisation for effective greywater pollution treatment and reuse. J. Environ. Manag. 2020, 261, 110173. [Google Scholar] [CrossRef]
- Sbahi, S.; Mandi, L.; Masunaga, T.; Ouazzani, N.; Hejjaj, A. Multi-Soil-Layering, the Emerging Technology for Wastewater Treatment: Review, Bibliometric Analysis, and Future Directions. Water 2022, 14, 3653. [Google Scholar] [CrossRef]
- Aicher, A.; Boermel, M.; Londong, J.; Beier, S. Vertical green system for gray water treatment: Analysis of the VertiKKA-module in a field test. Front. Environ. Sci. 2022, 10, 976005. [Google Scholar] [CrossRef]
- Wang, W.; Zhou, X.L.; Wu, S.Q.; Zhao, M.; Jin, Z.; Bei, K.; Zheng, X.Y.; Fan, C.Z. Vertical Green Wall Systems for Rainwater and Sewage Treatment. Sustainability 2024, 16, 7593. [Google Scholar] [CrossRef]
- Galvao, A.; Rodrigues, M.; Mata, J.; Silva, C.M. Green walls for greywater treatment: A comprehensive review of operational parameters and climate influence on treatment performance. Water Res. 2025, 272, 122948. [Google Scholar] [CrossRef]
- Yadav, R.K.; Sahoo, S.; Yadav, A.K.; Patil, S.A. Green wall system coupled with slow sand filtration for efficient greywater management at households. Npj Clean Water 2023, 6, 73. [Google Scholar] [CrossRef]
- Lakho, F.H.; Qureshi, A.; Novelli, L.D.; Depuydt, V.; Depreeuw, T.; Van Hulle, S.W.H.; Rousseau, D.P.L. Performance of a green wall (Total Value WallTM) at high greywater loading rates and Life Cycle Impact Assessment. Sci. Total Environ. 2022, 821, 153470. [Google Scholar] [CrossRef]
- Zhang, R.A.; Li, K.X.; Yi, L.Q.; Su, X.; Liu, C.Y.; Rong, X.Y.; Ran, H.X.; Wei, Y.J.; Wan, L.; Han, R.; et al. Nitrogen Removal from Polluted Water by an Integrated Constructed Wetland-Microbial Electrolysis Cell System. Water 2024, 16, 2368. [Google Scholar] [CrossRef]
- Boano, F.; Caruso, A.; Costamagna, E.; Ridolfi, L.; Fiore, S.; Demichelis, F.; Galvao, A.; Pisoeiro, J.; Rizzo, A.; Masi, F. A review of nature-based solutions for greywater treatment: Applications, hydraulic design, and environmental benefits. Sci. Total Environ. 2020, 711, 134731. [Google Scholar] [CrossRef]
- Boano, F.; Costamagna, E.; Caruso, A.; Fiore, S.; Chiappero, M.; Galvao, A.; Pisoeiro, J.; Rizzo, A.; Masi, F. Evaluation of the influence of filter medium composition on treatment performances in an open-air green wall fed with greywater. J. Environ. Manag. 2021, 300, 113646. [Google Scholar] [CrossRef]
- Bulánek, R. Investigation of IR vibrational band of C-O bond of carbonyl species in Cu+-MFI zeolites. Phys. Chem. Chem. Phys. 2004, 6, 4208–4214. [Google Scholar] [CrossRef]
- Boano, F.; Caruso, A.; Costamagna, E.; Fiore, S.; Demichelis, F.; Galvao, A.; Pisoeiro, J.; Rizzo, A.; Masi, F. Assessment of the Treatment Performance of an Open-Air Green Wall Fed with Graywater under Winter Conditions. ACS EsT Water 2021, 1, 595–602. [Google Scholar] [CrossRef]
- Prodanovic, V.; McCarthy, D.; Hatt, B.; Deletic, A. Designing green walls for greywater treatment: The role of plants and operational factors on nutrient removal. Ecol. Eng. 2019, 130, 184–195. [Google Scholar] [CrossRef]
- Dong, W.; Xing, J.; Chen, Q.; Huang, Y.; Wu, M.; Yi, P.; Pan, B.; Xing, B.S. Hydrogen bonds between the oxygen-containing functional groups of biochar and organic contaminants significantly enhance sorption affinity. Chem. Eng. J. 2024, 499, 156654. [Google Scholar] [CrossRef]
- Zhang, M.; Song, G.; Gelardi, D.L.; Huang, L.B.; Khan, E.; Masek, O.; Parikh, S.J.; Ok, Y.S. Evaluating biochar and its modifications for the removal of ammonium, nitrate, and phosphate in water. Water Res. 2020, 186, 116303. [Google Scholar] [CrossRef]
- Galvao, A.; Martins, D.; Rodrigues, A.; Manso, M.; Ferreira, J.; Silva, C.M. Green walls with recycled filling media to treat greywater. Sci. Total Environ. 2022, 842, 156748. [Google Scholar] [CrossRef]
- Costamagna, E.; Fiore, S.; Boano, F. Influence of the number of levels and system age on greywater treatment in a green wall. Ecol. Eng. 2022, 183, 106755. [Google Scholar] [CrossRef]
- Latrach, L.; Ouazzani, N.; Hejjaj, A.; Zouhir, F.; Mahi, M.; Masunaga, T.; Mandi, L. Optimization of hydraulic efficiency and wastewater treatment performances using a new design of vertical flow Multi-Soil-Layering (MSL) technology. Ecol. Eng. 2018, 117, 140–152. [Google Scholar] [CrossRef]
- Wang, P.Y.; Wong, Y.H.; Tan, C.Y.; Li, S.; Chong, W.T. Vertical Greening Systems: Technological Benefits, Progresses and Prospects. Sustainability 2022, 14, 12997. [Google Scholar] [CrossRef]
- Arden, S.; Ma, X. Constructed Wetlands for Greywater Recycle and Reuse: A Review. Sci. Total Environ. 2018, 630, 587–599. [Google Scholar] [CrossRef]
- Parei, A.N.; Naeeni, S.T.O.; Akbari, Z. Application of Hybrid Vertical Flow Constructed Wetland Systems to Treatment of Greywater for Their Use to Irrigation in Rural Areas. J. Clean. Prod. 2023, 412, 137368. [Google Scholar] [CrossRef]
- Saeed, T.; Sun, G.Z. A Review on Nitrogen and Organics Removal Mechanisms in Subsurface Flow Constructed Wetlands: Dependency on Environmental Parameters, Operating Conditions and Supporting Media. J. Environ. Manag. 2012, 112, 429–448. [Google Scholar] [CrossRef]
- Dunne, E.J.; Coveney, M.F.; Hoge, V.R.; Conrow, R.; Naleway, R.; Lowe, E.F.; Battoe, L.E.; Wang, Y.P. Phosphorus Removal Performance of a Large-Scale Constructed Treatment Wetland Receiving Eutrophic Lake Water. Ecol. Eng. 2015, 79, 132–142. [Google Scholar] [CrossRef]
- Rahman, M.E.; Bin Halmi, M.I.E.; Samad, M.Y.B.; Uddin, M.K.; Mahmud, K.; Abd Shukor, M.Y.; Abdullah, S.R.S.; Shamsuzzaman, S.M. Design, Operation and Optimization of Constructed Wetland for Removal of Pollutant. Int. J. Environ. Res. Public Health 2020, 17, 8339. [Google Scholar] [CrossRef]
- Jin, Z.; Zheng, Y.F.; Li, X.Y.; Dai, C.J.; Xu, K.Q.; Bei, K.; Zheng, X.Y.; Zhao, M. Combined Process of Bio-Contact Oxidation-Constructed Wetland for Blackwater Treatment. Bioresour. Technol. 2020, 316, 123891. [Google Scholar] [CrossRef]
- Li, L.; Zhang, Z.; Shen, Y.; He, B.; Fu, Y.; Kou, S.S.; Gao, J.Q. Optimized Design of Modular Constructed Wetland for Treating Rural Black-Odorous Water. Water 2024, 16, 2492. [Google Scholar] [CrossRef]
- Pan, X.Q.; Gu, Z.P.; Chen, W.M.; Li, Q.B. Preparation of biochar and biochar composites and their application in a Fenton-like process for wastewater decontamination: A review. Sci. Total Environ. 2021, 754, 142104. [Google Scholar] [CrossRef]
- Wang, L.Y.; Ma, L.H.; Wang, J.K.; Zhao, X.; Jing, Y.S.; Liu, C.Q.; Xiao, Y.H.; Li, C.; Jiao, C.; Xu, M.C. Research Progress on the Removal of Contaminants from Wastewater by Constructed Wetland Substrate: A Review. Water 2024, 16, 1848. [Google Scholar] [CrossRef]
- Saleem, M.H.; Mfarrej, M.F.B.; Khan, K.A.; Alharthy, S.A. Emerging trends in wastewater treatment: Addressing microorganic pollutants and environmental impacts. Sci. Total Environ. 2024, 913, 169755. [Google Scholar] [CrossRef]
- Wang, B.Q.; Xu, Z.X.; Dong, B. Occurrence, fate, and ecological risk of antibiotics in wastewater treatment plants in China: A review. J. Hazard. Mater. 2024, 469, 133925. [Google Scholar] [CrossRef]
- Liu, Y.; Wu, N.N.; Xu, R.; Li, Z.H.; Xu, X.R.; Liu, S. Phthalates released from microplastics can’t be ignored: Sources, fate, ecological risks, and human exposure risks. Trac-Trends Anal. Chem. 2024, 179, 117870. [Google Scholar] [CrossRef]
- Espartero, L.J.L.; Yamada, M.; Ford, J.; Owens, G.; Prow, T.; Juhasz, A. Health-related toxicity of emerging per- and polyfluoroalkyl substances: Comparison to legacy PFOS and PFOA. Environ. Res. 2022, 212, 113431. [Google Scholar] [CrossRef]
- Fowdar, H.S.; Hatt, B.E.; Breen, P.; Cook, P.L.M.; Deletic, A. Designing living walls for greywater treatment. Water Res. 2017, 110, 218–232. [Google Scholar] [CrossRef]
- Dal Ferro, N.; De Mattia, C.; Gandini, M.A.; Maucieri, C.; Stevanato, P.; Squartini, A.; Borin, M. Green walls to treat kitchen greywater in urban areas: Performance from a pilot-scale experiment. Sci. Total Environ. 2021, 757, 144189. [Google Scholar] [CrossRef]
Disclaimer/Publisher’s Note: The statements, opinions and data contained in all publications are solely those of the individual author(s) and contributor(s) and not of MDPI and/or the editor(s). MDPI and/or the editor(s) disclaim responsibility for any injury to people or property resulting from any ideas, methods, instructions or products referred to in the content. |
© 2025 by the authors. Licensee MDPI, Basel, Switzerland. This article is an open access article distributed under the terms and conditions of the Creative Commons Attribution (CC BY) license (https://creativecommons.org/licenses/by/4.0/).






