Material Demand and Contributions of Solar PV End-of-Life Management to the Circular Economy: The Case of Italy
Abstract
1. Introduction
2. CE Indicators and LCA Methodology
3. Data and Method
3.1. LCA Method and CE Integrated Approach
3.2. Life Cycle Inventory Data: Solar Energy Development
3.3. Life Cycle Inventory Data: Recovery, Recycling, and Reintegrate of Materials
4. Results
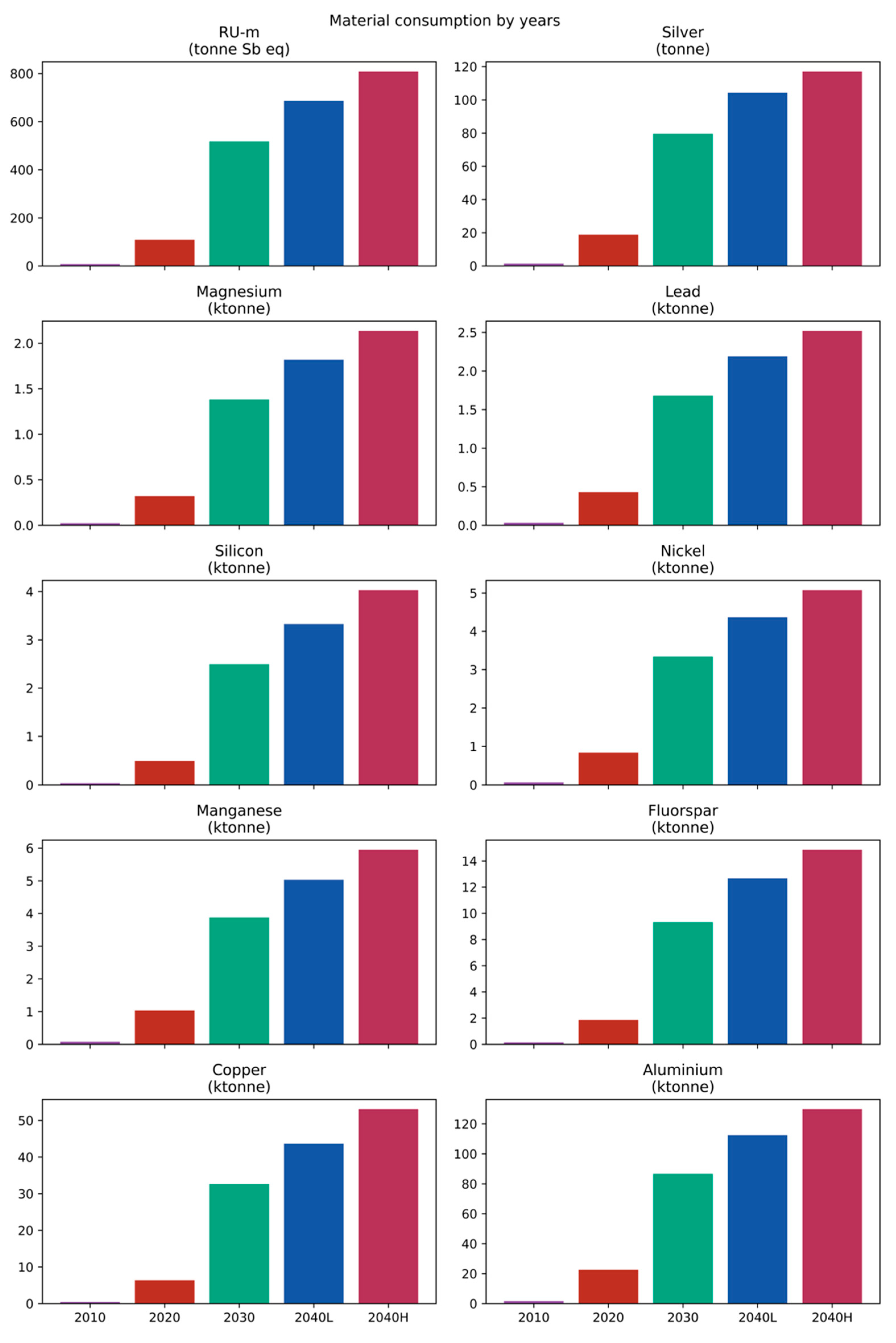
4.1. Material Demand for Solar PV Development
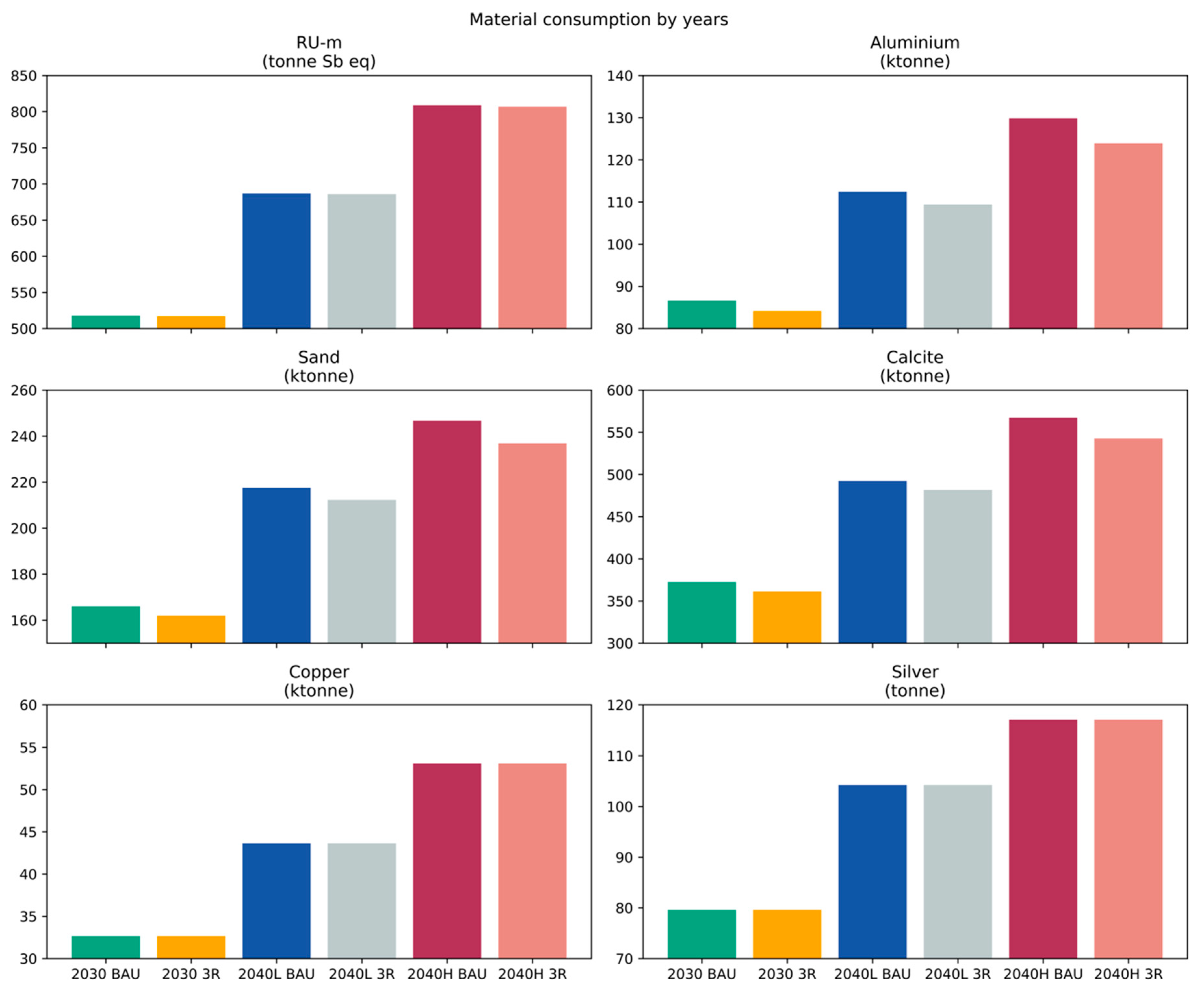
4.2. Material Requirement and Other Environmental Benefits of 3R
4.3. Sensitivity Analysis
5. Discussion
6. Conclusions
Author Contributions
Funding
Institutional Review Board Statement
Informed Consent Statement
Data Availability Statement
Acknowledgments
Conflicts of Interest
References
- Ellen MacArthur Foundation. Towards the Circular Economy Vol. 1: An Economic and Business Rationale for an Accelerated Transition. Available online: https://ellenmacarthurfoundation.org/towards-the-circular-economy-vol-1-an-economic-and-business-rationale-for-an (accessed on 14 May 2025).
- Kirchherr, J.; Yang, N.-H.N.; Schulze-Spüntrup, F.; Heerink, M.J.; Hartley, K. Conceptualizing the Circular Economy (Revisited): An Analysis of 221 Definitions. Resour. Conserv. Recycl. 2023, 194, 107001. [Google Scholar] [CrossRef]
- Geissdoerfer, M.; Savaget, P.; Bocken, N.M.P.; Hultink, E.J. The Circular Economy—A New Sustainability Paradigm? J. Clean. Prod. 2017, 143, 757–768. [Google Scholar] [CrossRef]
- Kristia, K.; Rabbi, M.F. Exploring the Synergy of Renewable Energy in the Circular Economy Framework: A Bibliometric Study. Sustainability 2023, 15, 13165. [Google Scholar] [CrossRef]
- EC Communication from the European Commission. A New Circular Economy Action Plan for a Cleaner and More Competitive Europe. Available online: https://eur-lex.europa.eu/resource.html?uri=cellar:9903b325-6388-11ea-b735-01aa75ed71a1.0017.02/DOC_1&format=PDF (accessed on 14 May 2025).
- Kalmykova, Y.; Sadagopan, M.; Rosado, L. Circular Economy—From Review of Theories and Practices to Development of Implementation Tools. Resour. Conserv. Recycl. 2018, 135, 190–201. [Google Scholar] [CrossRef]
- Moraga, G.; Huysveld, S.; Mathieux, F.; Blengini, G.A.; Alaerts, L.; Van Acker, K.; De Meester, S.; Dewulf, J. Circular Economy Indicators: What Do They Measure? Resour. Conserv. Recycl. 2019, 146, 452–461. [Google Scholar] [CrossRef] [PubMed]
- Rincón-Moreno, J.; Ormazábal, M.; Álvarez, M.J.; Jaca, C. Advancing Circular Economy Performance Indicators and Their Application in Spanish Companies. J. Clean. Prod. 2021, 279, 123605. [Google Scholar] [CrossRef]
- Yu, J.; Tang, Y.M.; Chau, K.Y.; Nazar, R.; Ali, S.; Iqbal, W. Role of Solar-Based Renewable Energy in Mitigating CO2 Emissions: Evidence from Quantile-on-Quantile Estimation. Renew. Energy 2022, 182, 216–226. [Google Scholar] [CrossRef]
- Jäger-Waldau, A.; Kougias, I.; Taylor, N.; Thiel, C. How Photovoltaics Can Contribute to GHG Emission Reductions of 55% in the EU by 2030. Renew. Sustain. Energy Rev. 2020, 126, 109836. [Google Scholar] [CrossRef]
- Rabaia, M.K.H.; Shehata, N.; Olabi, V.; Abdelkareem, M.A.; Semeraro, C.; Chae, K.-J.; Sayed, E.T. Enabling the Circular Economy of Solar PV through the 10Rs of Sustainability: Critical Review, Conceptualization, Barriers, and Role in Achieving SDGs. Sustain. Horiz. 2024, 11, 100106. [Google Scholar] [CrossRef]
- Paraschiv, L.S.; Paraschiv, S. Contribution of Renewable Energy (Hydro, Wind, Solar and Biomass) to Decarbonization and Transformation of the Electricity Generation Sector for Sustainable Development. Energy Rep. 2023, 9, 535–544. [Google Scholar] [CrossRef]
- Mehedi, T.H.; Gemechu, E.; Kumar, A. Life Cycle Greenhouse Gas Emissions and Energy Footprints of Utility-Scale Solar Energy Systems. Appl. Energy 2022, 314, 118918. [Google Scholar] [CrossRef]
- Cellura, M.; Luu, L.Q.; Guarino, F.; Longo, S. A Review on Life Cycle Environmental Impacts of Emerging Solar Cells. Sci. Total Environ. 2024, 908, 168019. [Google Scholar] [CrossRef] [PubMed]
- Abdirahman, A.A.; Asif, M.; Mohsen, O. Circular Economy in the Renewable Energy Sector: A Review of Growth Trends, Gaps and Future Directions. Energy Nexus 2025, 17, 100395. [Google Scholar] [CrossRef]
- Oteng, D.; Zuo, J.; Sharifi, E. A Scientometric Review of Trends in Solar Photovoltaic Waste Management Research. Sol. Energy 2021, 224, 545–562. [Google Scholar] [CrossRef]
- Oteng, D.; Zuo, J.; Sharifi, E. An Evaluation of the Impact Framework for Product Stewardship on End-of-Life Solar Photovoltaic Modules: An Environmental Lifecycle Assessment. J. Clean. Prod. 2023, 411, 137357. [Google Scholar] [CrossRef]
- Oteng, D.; Zuo, J.; Sharifi, E. Environmental Emissions Influencing Solar Photovoltaic Waste Management in Australia: An Optimised System Network of Waste Collection Facilities. J. Environ. Manag. 2022, 314, 115007. [Google Scholar] [CrossRef] [PubMed]
- Daljit Singh, J.K.; Molinari, G.; Bui, J.; Soltani, B.; Rajarathnam, G.P.; Abbas, A. Life Cycle Assessment of Disposed and Recycled End-of-Life Photovoltaic Panels in Australia. Sustainability 2021, 13, 11025. [Google Scholar] [CrossRef]
- Khankhoje, O.; Bherwani, H.; Biniwale, R. Assessing Life Cycle Environmental Impacts of Solar Photovoltaics in India with a Focus on End-of-Life Disposal. Environ. Sci. Pollut. Res. 2025, 1–22. [Google Scholar] [CrossRef] [PubMed]
- Heath, G.A.; Silverman, T.J.; Kempe, M.; Deceglie, M.; Ravikumar, D.; Remo, T.; Cui, H.; Sinha, P.; Libby, C.; Shaw, S.; et al. Research and Development Priorities for Silicon Photovoltaic Module Recycling to Support a Circular Economy. Nat. Energy 2020, 5, 502–510. [Google Scholar] [CrossRef]
- Heath, G.; Drahi, E. Circular Economy in Photovoltaics; IEA PVPS, 2024. Available online: https://iea-pvps.org/wp-content/uploads/2024/03/IEA-PVPS-T12-02-2024-FACT-SHEET-Circular-Economy.pdf (accessed on 14 May 2025).
- Leung, T.L.; Willson, G.K.; Fimbres-Weihs, G.; Deng, R.; Chang, N.; Tan, V.; Abbas, A.; Ho-Baillie, A. A New Perspective for Evaluating Circularity of Photovoltaic Module Recycling and Technology Developments. Cell Rep. Phys. Sci. 2025, 6, 102547. [Google Scholar] [CrossRef]
- Contreras Lisperguer, R.; Muñoz Cerón, E.; de la Casa Higueras, J.; Martín, R.D. Environmental Impact Assessment of Crystalline Solar Photovoltaic Panels’ End-of-Life Phase: Open and Closed-Loop Material Flow Scenarios. Sustain. Prod. Consum. 2020, 23, 157–173. [Google Scholar] [CrossRef]
- Mirletz, H.; Ovaitt, S.; Sridhar, S.; Barnes, T.M. Prioritizing Circular Economy Strategies for Sustainable PV Deployment at the TW Scale. EPJ Photovolt. 2024, 15, 18. [Google Scholar] [CrossRef]
- Granata, G.; Altimari, P.; Pagnanelli, F.; De Greef, J. Recycling of Solar Photovoltaic Panels: Techno-Economic Assessment in Waste Management Perspective. J. Clean. Prod. 2022, 363, 132384. [Google Scholar] [CrossRef]
- Pourasl, H.H.; Barenji, R.V.; Khojastehnezhad, V.M. Solar Energy Status in the World: A Comprehensive Review. Energy Rep. 2023, 10, 3474–3493. [Google Scholar] [CrossRef]
- MISE; MEIT; MIT. Integrated National Energy and Climate Plan (NECP), Ministry of Economic Development, Ministry of the Environment and Protection of Natural Resources and the Sea, Ministry of Infrastructure and Transport: Rome, Italy. 2019. Available online: https://energy.ec.europa.eu/system/files/2020-02/it_final_necp_main_en_0.pdf (accessed on 14 May 2025).
- EC. Assessment of National Energy and Climate Plan Italy; European Commission: Brussels, Belgium. Available online: https://energy.ec.europa.eu/document/download/47c8139a-1500-4837-ba66-f1aa5483e47e_en#:~:text=The%20EU%20has%20committed%20itself,by%20the%20end%20of%202019 (accessed on 14 May 2025).
- IEA. Italy 2023 Energy Policy Review; IEA Energy Policy Reviews; OECD Publishing: Paris, France, 2023; ISBN 978-92-64-43946-7. [Google Scholar] [CrossRef]
- European Parliament. Circular Economy: Definition, Importance and Benefits; European Parliament: Strasbourg, France, 2023. [Google Scholar]
- Bobba, S.; Coelho, F.; Mathieux, F. Circular Economy: Indicators, Tools and Methods; 2023. Available online: https://rmis.jrc.ec.europa.eu/CE (accessed on 14 May 2025).
- Walzberg, J.; Lonca, G.; Hanes, R.J.; Eberle, A.L.; Carpenter, A.; Heath, G.A. Do We Need a New Sustainability Assessment Method for the Circular Economy? A Critical Literature Review. Front. Sustain. 2021, 1, 620047. [Google Scholar] [CrossRef]
- Sassanelli, C.; Rosa, P.; Rocca, R.; Terzi, S. Circular Economy Performance Assessment Methods: A Systematic Literature Review. J. Clean. Prod. 2019, 229, 440–453. [Google Scholar] [CrossRef]
- EC. Circular Economy Monitoring Framework. Available online: https://ec.europa.eu/eurostat/web/circular-economy/monitoring-framework (accessed on 13 May 2025).
- Ellen MacArthur Foundation. Material Circularity Indicator. Available online: https://www.ellenmacarthurfoundation.org/material-circularity-indicator (accessed on 14 May 2025).
- D’Adamo, I.; Ferella, F.; Gastaldi, M.; Ippolito, N.M.; Rosa, P. Circular Solar: Evaluating the Profitability of a Photovoltaic Panel Recycling Plant. Waste Manag. Res. 2023, 41, 1144–1154. [Google Scholar] [CrossRef] [PubMed]
- Zubas, A.R.; Fischer, M.; Gervais, E.; Herceg, S.; Nold, S. Combining Circularity and Environmental Metrics to Assess Material Flows of PV Silicon. EPJ Photovolt. 2023, 14, 10. [Google Scholar] [CrossRef]
- Bracquené, E.; Dewulf, W.; Duflou, J.R. Measuring the Performance of More Circular Complex Product Supply Chains. Resour. Conserv. Recycl. 2020, 154, 104608. [Google Scholar] [CrossRef]
- Luthin, A.; Traverso, M.; Crawford, R.H. Circular Life Cycle Sustainability Assessment: An Integrated Framework. J. Ind. Ecol. 2024, 28, 41–58. [Google Scholar] [CrossRef]
- Corona, B.; Shen, L.; Reike, D.; Rosales Carreón, J.; Worrell, E. Towards Sustainable Development through the Circular Economy—A Review and Critical Assessment on Current Circularity Metrics. Resour. Conserv. Recycl. 2019, 151, 104498. [Google Scholar] [CrossRef]
- Muteri, V.; Cellura, M.; Curto, D.; Franzitta, V.; Longo, S.; Mistretta, M.; Parisi, M.L. Review on Life Cycle Assessment of Solar Photovoltaic Panels. Energies 2020, 13, 252. [Google Scholar] [CrossRef]
- Fan, H.-H.; Salas-Redondo, C.; Chalaux, A. Life Cycle Assessment of an Innovative High-Value-Recovery Crystalline Silicon Photovoltaic Recycling Process—The Environmental Impacts and Benefits. EPJ Photovolt. 2024, 15, 35. [Google Scholar] [CrossRef]
- Wang, L.; Oberbeck, L.; Marchand Lasserre, M.; Perez-Lopez, P. Modelling Recycling for the Life Cycle Assessment of Perovskite/Silicon Tandem Modules. EPJ Photovolt. 2024, 15, 14. [Google Scholar] [CrossRef]
- Gong, T.; Yi, Y. The Effect of Service Quality on Customer Satisfaction, Loyalty, and Happiness in Five Asian Countries. Psychol. Mark. 2018, 35, 427–442. [Google Scholar] [CrossRef]
- Samani, P. Synergies and Gaps between Circularity Assessment and Life Cycle Assessment (LCA). Sci. Total Environ. 2023, 903, 166611. [Google Scholar] [CrossRef] [PubMed]
- Ecoinvent. Ecoinvent Database. Available online: https://ecoinvent.org/the-ecoinvent-database/ (accessed on 13 May 2025).
- EC. EPLCA. Available online: https://eplca.jrc.ec.europa.eu/EFpilot.html (accessed on 13 May 2025).
- OpenLCA. OpenLCA Nexus Databases. Available online: https://nexus.openlca.org/databases (accessed on 13 May 2025).
- Cilleruelo Palomero, J.; Freboeuf, L.; Ciroth, A.; Sonnemann, G. Integrating Circularity into Life Cycle Assessment: Circularity with a Life Cycle Perspective. Clean. Environ. Syst. 2024, 12, 100175. [Google Scholar] [CrossRef]
- Horne, R. Life Cycle Assessment: Origins, Principles and Context. In Life Cycle Assessment—Principles, Practice and Prospects; CSIRO Publishing: Collingwood, Australia, 2009; pp. 1–8. [Google Scholar]
- ISO 14040:2006; ISO Environmental Management—Life Cycle Assessment—Principles and Framework. International Organization for Standardization: Geneva, Switzerland, 2006.
- ISO 14044:2006; ISO Environmental Management—Life Cycle Assessment—Requirements and Guidelines. International Organization for Standardization: Geneva, Switzerland, 2006.
- Frischknecht, R.; Itten, R.; Sinha, P.; De Wild-Scholten, M.; Zhang, J.; Heath, G.A.; Olson, C. Life Cycle Inventories and Life Cycle Assessments of Photovoltaic Systems; International Energy Agency (IEA) PVPS Task 12, Report T12-19:2020; ISBN 978-3-907281-14-7. p. 1–88. NREL/TP-6A20-73853, 1561526; Available online: https://iea-pvps.org/wp-content/uploads/2020/12/IEA-PVPS-LCI-report-2020.pdf (accessed on 14 May 2025).
- Frischknecht, R.; Heath, G.; Raugei, M.; Sinha, P.; de Wild-Scholten, M. Methodology Guidelines on Life Cycle Assessment of Photovoltaic Electricity; International Energy Agency: Paris, France, 2016; Available online: https://iea-pvps.org/wp-content/uploads/2020/01/Task_12_-_Methodology_Guidelines_on_Life_Cycle_Assessment_of_Photovoltaic_Electricity_3rd_Edition.pdf (accessed on 14 May 2025).
- Raugei, M.; Frischknecht, R.; Olson, C.; Sinha, P.; Heath, G. Methodological Guidelines on Net Energy Analysis of Photovoltaic Electricity; International Energy Agency: Paris, France, 2016; Available online: https://iea-pvps.org/wp-content/uploads/2020/01/Task12_-_Methodological_Guidelines_on_Net_Energy_Analysis_of_Photovoltaic_Electricity.pdf (accessed on 14 May 2025).
- EC. Commission Recommendation of 16.12.2021 on the Use of the Environmental Footprint Methods to Measure and Com-municate the Life Cycle Environmental Performance of Products and Organisations. 2021. Available online: https://eur-lex.europa.eu/resource.html?uri=cellar:75e0de0f-5e6d-11ec-9c6c-01aa75ed71a1.0019.02/DOC_1&format=PDF (accessed on 14 May 2025).
- Huijbregts, M.A.J.; Steinmann, Z.J.N.; Elshout, P.M.F.; Stam, G.; Verones, F.; Vieira, M.; Zijp, M.; Hollander, A.; van Zelm, R. ReCiPe2016: A Harmonised Life Cycle Impact Assessment Method at Midpoint and Endpoint Level. Int. J. Life Cycle Assess. 2017, 22, 138–147. [Google Scholar] [CrossRef]
- Damiani, M.; Ferrara, N.; Ardente, F. Understanding Product Environmental Footprint and Organisation Environmental Footprint Methods, EUR 31236 EN, Publications Office of the European Union, Luxembourg, 2022, ISBN 978-92-76-57214-5, JRC129907. Available online: https://publications.jrc.ec.europa.eu/repository/handle/JRC129907 (accessed on 13 May 2025).
- EPLCA. Environmental Footprint (EF) Impact Assessment. Available online: https://eplca.jrc.ec.europa.eu/EFVersioning.html (accessed on 14 May 2025).
- SimaPro; PRé Sustainability. 2021. Available online: https://simapro.com/about/ (accessed on 14 May 2025).
- Ecoinvent. Ecoinvent Database Version 3.7.1. 2023. Available online: https://support.ecoinvent.org/ecoinvent-version-3.7 (accessed on 13 May 2025).
- GSE. Rapporto Statistico Solare Fotovoltaico. Available online: https://www.gse.it/dati-e-scenari/statistiche (accessed on 13 May 2025).
- Snam; Terna Documento Di Descrizione Degli Scenari. Available online: https://download.terna.it/terna/Documento_Descrizione_Scenari_2022_8da74044f6ee28d.pdf (accessed on 11 June 2022).
- IEA. Advances in Photovoltaic Module Recycling Literature Review and Update to Empirical Life Cycle Inventory Data and Patent Review. International Energy Agency, 2024, Report IEA-PVPS T12-28:2024. Available online: https://iea-pvps.org/wp-content/uploads/2024/06/IEA-PVPS-T12-28-2024-Report-PV-Recycling-LCI_EPRI.pdf (accessed on 14 May 2025).
- Stolz, P.; Frischknecht, R. Life Cycle Assessment of Current Photovoltaic Module Recycling; IEA, France. 2018. Report IEA-PVPS T12-13:2018. Available online: https://iea-pvps.org/wp-content/uploads/2020/01/Life_Cycle_Assesment_of_Current_Photovoltaic_Module_Recycling_by_Task_12.pdf (accessed on 14 May 2025).
- GSE. Rapporto Statistico Solare Fotovoltaico. 2023. Available online: https://www.gse.it/documenti_site/Documenti%20GSE/Rapporti%20statistici/Solare%20Fotovoltaico%20-%20Rapporto%20Statistico%202023.pdf (accessed on 13 May 2025).
- GSE. Rapporto Statistico Solare Fotovoltaico. 2008. Available online: https://www.gse.it/documenti_site/Documenti%20GSE/Rapporti%20statistici/IL%20FOTOVOLTAICO-2008.pdf (accessed on 13 May 2025).
- Xu, C.; Isabella, O.; Vogt, M.R. Future Material Demand for Global Silicon-Based PV Modules under Net-Zero Emissions Target until 2050. Resour. Conserv. Recycl. 2024, 210, 107824. [Google Scholar] [CrossRef]
- Paiano, A. Photovoltaic Waste Assessment in Italy. Renew. Sustain. Energy Rev. 2015, 41, 99–112. [Google Scholar] [CrossRef]
- Khakpour, S.; Luu, L.Q.; Nocera, F.; Latteri, A.; Cellura, M. The Solar Waste Challenge: Estimating and Managing End-of-Life Photovoltaic Panels in Italy. Energies 2025, 18, 2219. [Google Scholar] [CrossRef]
- Jia, X.; Zhou, C.; Tang, Y.; Wang, W. Life Cycle Assessment on PERC Solar Modules. Sol. Energy Mater. Sol. Cells 2021, 227, 111112. [Google Scholar] [CrossRef]
- Bartie, N.J.; Cobos-Becerra, Y.L.; Fröhling, M.; Schlatmann, R.; Reuter, M.A. The Resources, Exergetic and Environmental Footprint of the Silicon Photovoltaic Circular Economy: Assessment and Opportunities. Resour. Conserv. Recycl. 2021, 169, 105516. [Google Scholar] [CrossRef]
- Tan, D.; Wu, Y.; Zhang, Z.; Jiao, Y.; Zeng, L.; Meng, Y. Assessing the Life Cycle Sustainability of Solar Energy Production Systems: A Toolkit Review in the Context of Ensuring Environmental Performance Improvements. Sustainability 2023, 15, 11724. [Google Scholar] [CrossRef]
- Sun, L.; Dong, H.; Dai, Y.; Dong, J.; Fujii, M.; Geng, Y.; Lou, Z.; Liu, X. Environmental Benefit of Recycling Plastics from Waste Electrical & Electronic Equipment. Resour. Conserv. Recycl. 2024, 211, 107855. [Google Scholar] [CrossRef]
- Weckend, S.; Wade, A.; Heath, G. End of Life Management: Solar Photovoltaic Panels; National Renewable Energy Laboratory (NREL): Golden, CO, USA, 2016. [Google Scholar]
- IRENA. Global Energy Transformation: A Roadmap to 2050; IRENA: Abu Dhabi, United Arab Emirates, 2018; ISBN 978-92-9260-059-4. Available online: https://www.irena.org/-/media/Files/IRENA/Agency/Publication/2018/Apr/IRENA_Report_GET_2018.pdf (accessed on 14 May 2025).
- Tashtamirov, M. The Circular Economy and Regional Economic Development. E3S Web Conf. 2023, 431, 07003. [Google Scholar] [CrossRef]
- Strupeit, L.; Bocken, N.; Van Opstal, W. Towards a Circular Solar Power Sector: Experience with a Support Framework for Business Model Innovation. Circ. Econ. Sust. 2024, 4, 2093–2118. [Google Scholar] [CrossRef]
- Preet, S.; Smith, S.T. A Comprehensive Review on the Recycling Technology of Silicon Based Photovoltaic Solar Panels: Challenges and Future Outlook. J. Clean. Prod. 2024, 448, 141661. [Google Scholar] [CrossRef]
- Diez-Suarez, A.-M.; Martínez-Benavides, M.; Manteca Donado, C.; Blanes-Peiró, J.-J.; Martínez Torres, E.J. Recycling of Silicon-Based Photovoltaic Modules: Mediterranean Region Insight. Energies 2024, 17, 6015. [Google Scholar] [CrossRef]
- Hammoud, R.; Massoud, M.A.; Chalak, A.; Abiad, M.G. Exploring the Feasibility of Extended Producer Responsibility for Efficient Waste Management in Lebanon. Sci. Rep. 2025, 15, 15444. [Google Scholar] [CrossRef] [PubMed]
- Ali, A.; Islam, M.T.; Rehman, S.; Qadir, S.A.; Shahid, M.; Khan, M.W.; Zahir, M.H.; Islam, A.; Khalid, M. Solar Photovoltaic Module End-of-Life Waste Management Regulations: International Practices and Implications for the Kingdom of Saudi Arabia. Sustainability 2024, 16, 7215. [Google Scholar] [CrossRef]
- Iakovou, E. Next-Generation Reverse Logistics Networks of Photovoltaic Recycling: Perspectives and Challenges. Sol. Energy 2024, 271, 112329. [Google Scholar] [CrossRef]
- Vanegas, P.; Peeters, J.R.; Cattrysse, D.; Tecchio, P.; Ardente, F.; Mathieux, F.; Dewulf, W.; Duflou, J.R. Ease of Disassembly of Products to Support Circular Economy Strategies. Resour. Conserv. Recycl. 2018, 135, 323–334. [Google Scholar] [CrossRef] [PubMed]
- Akhter, M.; Al Mansur, A.; Islam, M.I.; Lipu, M.S.H.; Karim, T.F.; Abdolrasol, M.G.M.; Alghamdi, T.A.H. Sustainable Strategies for Crystalline Solar Cell Recycling: A Review on Recycling Techniques, Companies, and Environmental Impact Analysis. Sustainability 2024, 16, 5785. [Google Scholar] [CrossRef]
- Mallick, P.K.; Salling, K.B.; Pigosso, D.C.A.; McAloone, T.C. Designing and Operationalising Extended Producer Responsibility under the EU Green Deal. Environ. Chall. 2024, 16, 100977. [Google Scholar] [CrossRef]
- OECD. Extended Producer Responsibility: Basic Facts and Key Principles. OECD Environment Policy Papers; Organisation for Economic Co-Operation and Development (OECD). 2024. Available online: https://www.oecd-ilibrary.org/environment/extended-producer-responsibility_67587b0b-en (accessed on 14 May 2025).
- Dreger, M.; Malek, K.; Eikerling, M. Large Language Models for Knowledge Graph Extraction from Tables in Materials Science. Digit. Discov. 2025, 4, 1221–1231. [Google Scholar] [CrossRef]
- Pessanha Santos, N. The Expansion of Data Science: Dataset Standardization. Standards 2023, 3, 400–410. [Google Scholar] [CrossRef]
- Marinna, P.; Laís, V.; Fernando, O.R.P.; Ricardo, R. Circular Solar Economy: PV Modules Decision-Making Framework for Reuse. J. Clean. Prod. 2025, 493, 144941. [Google Scholar] [CrossRef]
- Amrollahi Biyouki, Z.; Zaman, A.; Marinova, D.; Minunno, R.; Askari Shayegan, M. Solar Photovoltaics Value Chain and End-of-Life Management Practices: A Systematic Literature Review. Sustainability 2024, 16, 7038. [Google Scholar] [CrossRef]









| Material | Application in PV | Characterisation Factor (kg Sb eq/kg) | 
|---|---|---|
| Aluminium | Frames, mounting structures | 1.09 × 10−9 | 
| Copper | Electrical cabling | 1.37 × 10−3 | 
| Silver | Conductive layers in cells | 1.18 × 100 | 
| Silicon | PV cells | 1.40 × 10−11 | 
| Nickel | Coatings, contacts | 6.53 × 10−5 | 
| Magnesium | Alloying agent | 2.02 × 10−9 | 
| Manganese | Alloying agent | 2.54 × 10−6 | 
| Lead | Solder | 6.34 × 10−3 | 
| Input/Output | Unit | Amount | 
|---|---|---|
| Electricity | kWh | 1.11 × 10−1 | 
| Diesel | kg | 6.48 × 10−2 | 
| Natural gas | MJ | −8.15 × 10−1 | 
| Heavy fuel oil | MJ | −5.28 × 10−1 | 
| Silica sand | kg | −3.44 × 10−1 | 
| Soda, power | kg | −1.36 × 10−1 | 
| Limestone | kg | −2.38 × 10−1 | 
| Copper | kg | −2.48 × 10−2 | 
| Aluminium | kg | −5.34 × 10−2 | 
| Impact | Unit | 2030 | 2040 with High Solar Penetration | ||
|---|---|---|---|---|---|
| BAU | 3R | BAU | 3R | ||
| AP | mol H+ eq | 6.14 × 10−1 | 6.09 × 10−1 | 5.51 × 10−1 | 5.50 × 10−1 | 
| GWP | kg CO2 eq | 7.93 × 101 | 7.89 × 101 | 7.45 × 101 | 7.44 × 101 | 
| ET-fw | CTUe | 7.99 × 102 | 7.96 × 102 | 6.96 × 102 | 6.96 × 102 | 
| PMF | disease inc. | 5.52 × 10−6 | 5.48 × 10−6 | 5.09 × 10−6 | 5.08 × 10−6 | 
| EP-m | kg N eq | 9.85 × 10−2 | 9.82 × 10−2 | 8.51 × 10−2 | 8.50 × 10−2 | 
| EP-fw | kg P eq | 5.00 × 10−2 | 4.91 × 10−2 | 4.50 × 10−2 | 4.48 × 10−2 | 
| EP-t | mol N eq | 9.73 × 10−1 | 9.68 × 10−1 | 8.92 × 10−1 | 8.91 × 10−1 | 
| HT-c | CTUh | 1.03 × 10−7 | 1.02 × 10−7 | 9.04 × 10−8 | 9.02 × 10−8 | 
| HT-nc | CTUh | 4.49 × 10−6 | 4.46 × 10−6 | 3.92 × 10−6 | 3.91 × 10−6 | 
| IR | kBq U-235 eq | 7.15 × 100 | 7.05 × 100 | 6.65 × 100 | 6.63 × 100 | 
| LU | Pt | 1.65 × 103 | 1.65 × 103 | 1.16 × 103 | 1.16 × 103 | 
| ODP | kg CFC11 eq | 5.05 × 10−6 | 5.01 × 10−6 | 4.73 × 10−6 | 4.72 × 10−6 | 
| PCOF | kg NMVOC eq | 3.43 × 10−1 | 3.42 × 10−1 | 3.17 × 10−1 | 3.17 × 10−1 | 
| RU-f | MJ | 9.86E × 102 | 9.81 × 102 | 9.26 × 102 | 9.25 × 102 | 
| RU-m | kg Sb eq | 5.03 × 10−3 | 5.01 × 10−3 | 4.38× 10−3 | 4.38 × 10−3 | 
| WU | m3 depriv. | 6.18 × 101 | −4.42 × 102 | 5.48 × 101 | −3.65 × 101 | 
| Disclaimer/Publisher’s Note: The statements, opinions and data contained in all publications are solely those of the individual author(s) and contributor(s) and not of MDPI and/or the editor(s). MDPI and/or the editor(s) disclaim responsibility for any injury to people or property resulting from any ideas, methods, instructions or products referred to in the content. | 
© 2025 by the authors. Licensee MDPI, Basel, Switzerland. This article is an open access article distributed under the terms and conditions of the Creative Commons Attribution (CC BY) license (https://creativecommons.org/licenses/by/4.0/).
Share and Cite
Luu, L.Q.; Nguyen, T.Q.; Khakpour, S.; Cellura, M.; Nocera, F.; Nguyen, N.H.; Bui, N.H. Material Demand and Contributions of Solar PV End-of-Life Management to the Circular Economy: The Case of Italy. Sustainability 2025, 17, 6592. https://doi.org/10.3390/su17146592
Luu LQ, Nguyen TQ, Khakpour S, Cellura M, Nocera F, Nguyen NH, Bui NH. Material Demand and Contributions of Solar PV End-of-Life Management to the Circular Economy: The Case of Italy. Sustainability. 2025; 17(14):6592. https://doi.org/10.3390/su17146592
Chicago/Turabian StyleLuu, Le Quyen, Thanh Quang Nguyen, Soroush Khakpour, Maurizio Cellura, Francesco Nocera, Nam Hoai Nguyen, and Ngoc Han Bui. 2025. "Material Demand and Contributions of Solar PV End-of-Life Management to the Circular Economy: The Case of Italy" Sustainability 17, no. 14: 6592. https://doi.org/10.3390/su17146592
APA StyleLuu, L. Q., Nguyen, T. Q., Khakpour, S., Cellura, M., Nocera, F., Nguyen, N. H., & Bui, N. H. (2025). Material Demand and Contributions of Solar PV End-of-Life Management to the Circular Economy: The Case of Italy. Sustainability, 17(14), 6592. https://doi.org/10.3390/su17146592
 
        





 
       