Abstract
Demre is one of the most important tourist destinations in Antalya province in terms of its natural and cultural heritage values, historical texture, and ecological diversity. Evaluating these potentials and managing them sustainably is of great importance. Management strategies that focus solely on improving ecological elements often fail to deliver the desired results because they tend to neglect the needs and perspectives of stakeholders. Participatory approaches are important for determining and prioritizing tourism strategies because they encourage participation and awareness, thereby facilitating the development of sustainable and effective management strategies. In this context, this study, which aims to contribute to the protection and sustainable management of tourism areas in Demre district using a participatory approach, conducted a SWOT analysis to assess the state of environmental management. Based on the data obtained, internal strategic factors scored 3415 points, while external strategic factors scored 2899 points. Ten sustainable tourism strategies were developed, primarily focusing on the SO strategy, which leverages the potential of the area by focusing on internal strengths and external opportunities, with the aim of increasing tourism opportunities in the region and developing and implementing effective management strategies. At the end of the study, tourism strategies were prioritized using the TOPSIS analysis.
1. Introduction
Today, cities, especially large cities, are facing excessive population growth and massive physical development. Being aware of the positive and negative aspects of urban development in economic, social, and environmental terms is critical to reducing existing deficiencies and ensuring socio-economic well-being and sustainable development. Tourism plays a unique role and has great importance in regional development, and is considered one of the most effective ways to promote environmental sustainability [1].
Environmental sustainability and social welfare are interconnected through dynamic and reciprocal relationships. In natural land management efforts, it is crucial to understand the inherent complexity that arises when integrating ecological (natural environment) and social (human) components across different spatial and temporal scales. Taking into account both economic development and ecological conservation is an effective way to maximize the benefits of land development. Therefore, solutions must include adaptable, interdisciplinary, and participatory mechanisms, and a scientific and sustainable evaluation system must be established.
Participatory management and approaches are essential for achieving sustainable, legitimate, and effective results [2]. However, in achieving results, one may encounter various challenges, including diverse and sometimes conflicting interests that complicate decision-making. Despite internal challenges, strategic approaches to stakeholder participation can maximize benefits and minimize disadvantages. This approach also enhances the overall effectiveness and equity of research and management by empowering participants. The appropriate assessment of social and environmental impacts plays a significant role in developing and implementing effective management strategies and measures.
Demre, which forms the study area, has rich tourism potential with its natural and cultural heritage sites. In this context, it is believed that strategic tourism planning decisions to be made in the region will contribute to sustainable development opportunities for Demre as a cultural and nature-based tourism destination, as well as to the diversification of the region’s tourism products and increased competitiveness. Additionally, planning approaches that address the development of the tourism sector in the region will encourage the adoption of visionary and strategic decisions that are both feasible and environmentally compatible, thereby positively contributing to the management process. The use of the SWOT and TOPSIS decision-making approaches, developed as part of this methodology, will enhance the effectiveness of management plans in promoting sustainable tourism.
The study aims to identify internal and external variables affecting the development of tourism in the Demre district, determine and develop appropriate strategies for sustainable tourism, and prioritize strategies according to key factors. In line with these objectives, the study seeks to answer the question: What are the best strategies for the development of tourism in the Demre district, and how should these strategies be prioritized?
Tourism is an important sector in ensuring sustainability in regional development and enhancing environmental capacity. Tourism is significant both for its economic contributions and its cultural and social benefits. Given that leveraging a region’s tourism potential can serve as a dynamic and active foundation for its growth, analyzing such potentials is inevitable [3]. In addition, tourism has many positive effects, but it also carries risks and threats. Therefore, in the planning process of tourism development, consistent strategies are needed to prevent, plan, and manage risks and harmful situations. Tourism strategic planning integrates stakeholder participation and sustainability practices to optimize the socio-economic development of the area. Therefore, policymakers, managers, and stakeholders should prioritize sustainable practices such as improving infrastructure and service quality and strengthening cultural experiences in tourism destinations [4]. To ensure the long-term sustainability of regional resources, strategic plans focus on identifying the strengths and weaknesses of the area and adapting them to environmental challenges and opportunities [5].
Since there are only a few previous studies that comprehensively address land use decisions in Demre district, this article proposes an evaluation system that takes into account both socio-economic and ecological indicators in the district in order to ensure the coordinated development of the economic and ecological environment. Ensuring the long-term sustainable use of the district’s resources is linked to identifying its strengths, weaknesses, opportunities, and threats.
SWOT analysis (Strengths, Weaknesses, Opportunities, and Threats) is a framework that helps assess the effectiveness of planning and implementation in tourism management and is the most commonly used framework in strategic planning [6,7]. SWOT analysis is based on the idea that a successful plan should optimize strengths and opportunities while minimizing weaknesses and threats [8]. In this regard, it is used to identify effective factors by incorporating it into the management strategy evaluation process [9,10]. SWOT analysis can be preferred for strategy development in directing and managing the system [11]. In addition, the results of SWOT analysis are also used in the development and implementation of long-term strategies to achieve specific goals [7,8,9,10,11,12,13]. The objective of SWOT analysis is to develop plans and strategies that maximize the use of existing strengths and opportunities while minimizing the impact of threats and weaknesses, taking into account internal and external factors [14].
SWOT analysis related to studies in the field of management strategies has been used in many studies, including in the field of tourism, either alone or in conjunction with approaches such as AHP and TOPSIS, in planning, design, and management studies [6,7,8,9,10,11,12,13,14,15,16,17,18,19,20,21,22,23,24].
In addition, the Technique for Order Preference by Similarity to Ideal Solution (TOPSIS) was used to facilitate the participation of experts in the formulation of strategies and to reduce individual subjectivity. The TOPSIS method enabled the evaluation of different scenarios based on multiple criteria, providing a more detailed understanding of their relative strengths and weaknesses. According to studies by Fahlyiani & Jokar [25], Diaz & Cilinskis [26], Azimi et al. [27], and Zhu et al. [28], TOPSIS analysis is applied to facilitate the decision-making process among criteria. Therefore, it can be said that the TOPSIS method is a suitable way to prioritize strategies in conjunction with SWOT analysis, and it has been successfully applied in conjunction with SWOT analysis [29,30].
When reviewing the literature, the TOPSIS method is used in many different fields, including the tourism sector. It is used in the evaluation of tourist sites and the development of new tourist markets [20,31], identifying tourist destinations that will maximize tourists’ visit duration, costs, and satisfaction [32], evaluating business models for hotel operations [33], in listing strategies that can be applied to the medical tourism sector [34], in rating the factors affecting the development of health tourism [35], and in identifying the key critical success factors determining the performance of agricultural tourism clusters [36].
Zhang et al. [37], who examined the competitiveness of tourism destinations, emphasized that the Topsis method is an effective method for assessing the competitiveness of tourism destinations. Vicens-Colom et al. [38], stated that three types of tourism can be created in terms of sustainability: traditional tourism, sustainable tourism, and sustainable impact tourism, and examined the performance of these types of tourism. Weerathunga et al. [39], evaluated the sustainability performance of Sri Lankan hotels.
At the end of the methodological phase of the study, strategies for the development of the tourism sector in Demre were determined, and based on the findings, the SO strategy, which focuses on internal strengths and external opportunities, was identified as the most appropriate strategy.
2. Materials and Methods
2.1. The Study Area
The main material of the study is the Demre district of Antalya province, located in southwestern Türkiye. Located south of the Tekke Peninsula on the western side of the Gulf of Antalya, the district has a total area of 47,322 hectares. The district comprises 5350 hectares of agricultural land, 50 hectares of meadows and pastures, 31,922 hectares of forest, 300 hectares of water, and 9600 hectares of non-agricultural land (Figure 1). The ancient port city of Andriake is located at the western end of the plain where Demre was founded, while the ancient city of Myra is situated at the northern end. Surrounded by historical and natural beauty, Demre district has 25 historical sites, 13 churches, 1 historical synagogue, 4 historical castles, 10 beaches, 2 caves, 1 lagoon, and 8 natural bays [40]. The district, which is influenced by the Mediterranean climate, features beauties such as the Andriake Bird Sanctuary, Beymelek Lagoon, and Çağman Dam Lake [41].
Figure 1.
Demre district border.
According to 2024 data, the population of Demre district is 27,814. This population consists of 14,291 men (51.38%) and 13,523 women (48.62%) [42]. The district’s historical background and geographical location make Santa Claus Church, Myra Ancient City and Theater, Andreake Ancient City, Rock Tombs, and Simena Ancient City attractive tourist destinations.
Antalya, one of the important centers of world tourism, reached 17,278,103 visitors in 2024. Demre, one of the important districts of Antalya in terms of cultural and religious tourism, was visited by 500,000 local and foreign tourists.
Tourism in Demre consists mostly of day trips. In the district, there are 21 guesthouses with 381 beds in Üçağız Neighborhood and 10 hotel-guesthouses with 450 beds in the center, all licensed by the municipality. There are 2 hotels in the district, with a total bed capacity of 316. The total bed capacity in the district is 1147 [43].
One of Turkey’s important religious destinations, St. Nicholas Church was one of the pilgrimage sites visited by pilgrims traveling to Jerusalem by sea in the Middle Ages [44]. The church houses the tomb of Saint Nicholas, known today as “Santa Claus,” and is an important stop for religious tourism. In countries belonging to the Catholic and Orthodox denominations in the region, St. Nicholas is commemorated with ceremonies on December 6. The “International Santa Claus Festival” is held between December 6 and 8 in the districts of Demre and Kaş [45].
Some of the protected areas are part of the ancient Lycian civilization. Starting in Fethiye and ending in Kemer, Antalya, the Lycian Way, which passes through ancient Lycian cities, is known as one of the 10 best hiking trails in the world. A significant portion of the 535-km-long ancient hiking trail passes through the district of Demre. The Lycian Way is a good alternative for adventure tourism.
Boat tours from Çayağzı (Andriake) and Üçağız are known as “Kekova tours.” The island and its surrounding archaeological and natural conservation areas have been declared the “Kekova Site Area” and are open to visitors.
Andriake Bird Sanctuary is located 5 km away from the center of Demre district. The area where the Myra River flows into the sea is home to 149 different bird species. Birdwatchers come here every year to witness bird migration.
2.2. Research Methodology
A descriptive analytical approach was used to identify internal and external environmental variables and prioritize strategies for determining appropriate strategies for the development of sustainable tourism. The current environmental situation was defined using data, and the effects and results of tourism on the development of the region were evaluated. In this context, the strategic planning stages were divided into three parts (Table 1).
Table 1.
Research method stages.
Stage 1: Determining the purpose of the study, conducting literature research on sustainable tourism development, and establishing evaluation criteria.
The research objectives and criteria were established by evaluating the environmental, social, cultural, and economic characteristics of Demre district for sustainable tourism development.
Criterion selection is an important step in all kinds of applications, including sustainable area management. The selection of criteria should be appropriate to the purpose of the study (focus and number of criteria) and should determine criteria that are (a) comprehensive for all stakeholders, (b) scalable and comparable, and (c) logically consistent (comprehensive, consistent, and non-repetitive).
Stage 2: Calculating the weighting of criteria based on expert opinions.
In the second stage, the data obtained was used to create a matrix of internal and external strategic factors for the purpose of developing decision-making strategies using SWOT analysis, and the weighting of the evaluation criteria was determined based on expert opinions.
SWOT analysis is conducted to maximize the strengths and opportunities of the area and minimize its weaknesses and threats [46]. This analysis was used to identify the effects of social, cultural, economic, and ecological processes that characterize the area. The experts participating in the study (landscape architect, agricultural engineer, architect, culture and tourism expert, tourist guide, academic staff) consisted of researchers and academic staff with relevant expertise and knowledge in the field of study. At this stage, the experts participating in the study were asked to rate the importance of the criteria in terms of implementing management strategies and determining their success.
The weights are determined, with each factor having a weight between 0 and 1. Zero (0) means that the factor is not important, while one (1) means that the factor is the most effective and critical. The total value of all weights must be equal to 1 or 100%.
The rating indicates how effective the current strategies are in terms of the factors. The rating ranges from 1 to 4. The rating is ranked from very weak to very strong. A score of 1 indicates a weak response, 2 indicates an average response, 3 indicates a response above average, and 4 indicates a significant and strong response. In the internal strategic factor matrix, the rating takes a value of 3–4 for the criteria of large and strong aspects, and a value of 1–2 for the criteria of small and weak aspects. In the external strategic factor matrix, the rating takes a value of 3–4 for the criteria of opportunities and a value of 1–2 for the criteria of threats [47].
The weighted score is obtained by multiplying the weighted score of the factor by the rating coefficient corresponding to that factor. If the sum of all effective factors is less than 2.5, it can be concluded that the weak points outweigh the strong points. However, sums above 2.5 indicate that the strong points outweigh the weak points The internal strategic factors matrix, which is used to create a foundation for comprehensive planning of future strategies based on data obtained by evaluating internal and external factors through SWOT analysis, is prepared with x and y axes ranging from 0 to 4 and a midpoint value of 2.5. The x-axis of the internal strategic factor matrix contains the total weighted score of internal factors. The y-axis of the external strategic factor matrix contains the total weighted score of external factors. A total weighted score between 1.0 and 1.99 represents a low level. The middle range is represented by scores between 2.0 and 2.99. A total weighted score between 3.0 and 4.0 is considered high [47].
The comparison stage of the strategy development framework includes ways to identify relevant strategies. Uçar & Doğru [48]. describe this as a strategic view derived from the analysis of internal and external factors using the SWOT matrix. The SWOT matrix is one of the most important tools in the strategy formulation process. Four types of strategies can be created using this matrix (Figure 2). The binary comparison matrix for SWOT factors (Table 2) and strategies;
Figure 2.
Binary comparison diagram for SWOT factors.
Table 2.
SWOT matrix.
- S-O strategy (Offensive Strategy): Identifies and evaluates opportunities by supporting the strengths of the system
- W-O strategy (Conservative Strategy): Weaknesses and opportunities are taken into account. This strategy aims to develop by using opportunities to eliminate weaknesses.
- S-T strategy (Competitive Strategy): Strengths and threats are taken into account. It aims to use the strengths of the region to eliminate external threats.
- W-T strategy (Defensive Strategy): Weaknesses and threats are taken into account, and the strategy aims to avoid threats and reduce weaknesses. It involves creating protection plans that prevent the system’s weaknesses from being easily affected by external threats [48,49].
In the SWOT matrix, two factors are compared at each step to arrive at the best strategy.
Stage 3: TOPSIS analysis and evaluation.
In the third stage, prioritization strategies were developed using TOPSIS analysis to verify the applicability of the evaluation system and rank alternative solutions.
Developed by Hwang & Yoon [50]. TOPSIS analysis is a powerful tool that can help develop practical solutions while ensuring that decision-making remains fair, transparent, and informed [51,52,53]. TOPSIS analysis is defined as the selected alternative being the shortest distance from the positive ideal solution (PIS) and the farthest distance from the negative ideal solution (NIS). The positive ideal solution consists of all the best values that can be obtained from the criteria (the highest benefit for each criterion), while the negative ideal solution consists of all the worst values that can be obtained from the criteria [54]. Through PIS and NIS evaluations, TOPSIS helps decision-makers fully consider the needs of different stakeholders in selecting the best solution and simplifies the decision-making process when dealing with complex scenarios. This method enables a comprehensive evaluation that allows stakeholders to make informed strategic decisions. The steps of the applied method are detailed below [55,56].
Step 1. Creating a decision matrix.
In order to rank alternatives according to their difficulties, it is necessary to create a weighted decision matrix. The decision matrix shows the importance levels of factors relative to each other within a certain logic.
Step 2. Normalization of the decision matrix.
This involves multiplying the columns of the normalized decision matrix by their associated weights to create a weighted normalized decision matrix. This matrix provides a structured approach for evaluating the strategy and helps to make informed decisions that take into account internal uncertainties in performance. After the weight evaluation, the next stage of the problem is the multi-criteria ranking of alternatives.
Step 3. Creating a weighted normalized decision matrix.
The weighted normalized decision matrix allows each strategy to be evaluated across all criteria, taking into account their relative importance as reflected by the weights W. These weights reflect the relative importance of each criterion in evaluating and prioritizing land management strategies based on their effectiveness in achieving overall objectives. High values indicate that a strategy performs better in criteria with higher weights and influence its overall ranking in subsequent steps of the TOPSIS method.
Xij = Wij·Zij i = 1 … n; j = 1 … k
Step 4. Determining PIS and NIS.
At this stage, PIS and NIS are determined based on the benefit/cost ratio of each criterion.
A+ = {x1+, x2+, … xn+} → Positive İdeal Solutions
A− = {x1−, x2−, … xn−} → Negative İdeal Solutions
Step 5. Calculation of distance values.
Calculates the relative proximity to the ideal solution. It quantitatively expresses how well each alternative performs compared to the best possible scenario (ideal solution) according to the evaluated criteria:
At this stage, the relative proximity to the ideal solution is obtained by dividing the distance to the negative ideal solution by the sum of the distances to the ideal and negative ideal solutions. The value of the Ci changes between 0 ≤ Ci ≤ 1
Step 6. Ranking of alternatives.
Alternatives are ranked based on their relative proximity to the ideal solution, using the maximum value as a basis. This indicates that an alternative performs better in the evaluated criteria and places it in a more favorable position for selection.
Positive and negative ideal scenarios provide a numerical basis for evaluating relative performance across criteria. Smaller distances to the ideal solution indicate strategies closer to optimal performance, while smaller distances to the negative ideal solution suggest strategies that effectively mitigate worst-case outcomes. Ultimately, the relative proximity measure synthesizes these distances into a single Ci score.
The TOPSIS method was used in the SWOT analysis to determine the best course of action.
In the final stage, the Delphi method was used within the framework of qualitative research methods to determine the current state and effects of regional tourism and to guide strategic decisions regarding the development of tourism in the region. The method was used to evaluate future possibilities [37,38,39,40,41,42,43,44,45,46,47,48,49,50,51,52,53,54,55,56,57], generate and prioritize ideas [58], or remove uncertainties about a problem [59].
According to Creswell [60], the number of individuals included in phenomenological research can vary between 3 and 15. In line with this, a survey was conducted with 10 individuals selected using subjective sampling to determine the effects of tourism on the region. In the Delphi technique, sequential surveys administered to participants were prepared using the Likert scale. The solution proposals agreed upon by the experts were included in the strategies.
3. Results
Tourism brings both opportunities and challenges for the natural environment. Demre district offers countless opportunities to local and foreign tourists with its natural, cultural, and historical beauties. With the development of tourism, it is important to determine the existing resource values and uses in order to balance demand levels and ensure the satisfaction of both local residents and tourists. To develop the tourism sector, managers must first develop a good planning strategy by taking into account the value of the area’s resources.
An integrated study was conducted using SWOT analysis and the TOPSIS method to create a framework for ranking Demre’s tourism strategies. First, the SWOT analysis was used to develop feasible strategies. The strategies derived from the SWOT matrix were prioritized and ranked using the TOPSIS method. According to the studies [28,29,30,31,32,33,34,35,36,37,38,39,40,41,42,43,44,45,46,47,48,49,50,51,52,53,54,55,56,57,58,59,60,61], the TOPSIS method is an appropriate way to prioritize strategies in conjunction with the SWOT analysis.
3.1. SWOT Analysis Results
As a result of the work analysis, 32 SWOT factors were identified, including 11 strengths, 10 weaknesses, 7 opportunities, and 4 threats. Using the information obtained from the analyses conducted as a result of the experts’ evaluation of the SWOT form, an external environmental factor analysis (opportunities and threats) was performed, and an external strategic factor matrix was created (Table 3).
Table 3.
Data obtained according to the external strategic factor matrix.
Using the information obtained from your SWOT analysis, an internal environmental factor analysis (strengths and weaknesses) was conducted, resulting in the creation of an internal strategic factors matrix (Table 4).
Table 4.
Data obtained according to the internal strategic factor matrix.
3.2. Developing Strategies with SWOT Model
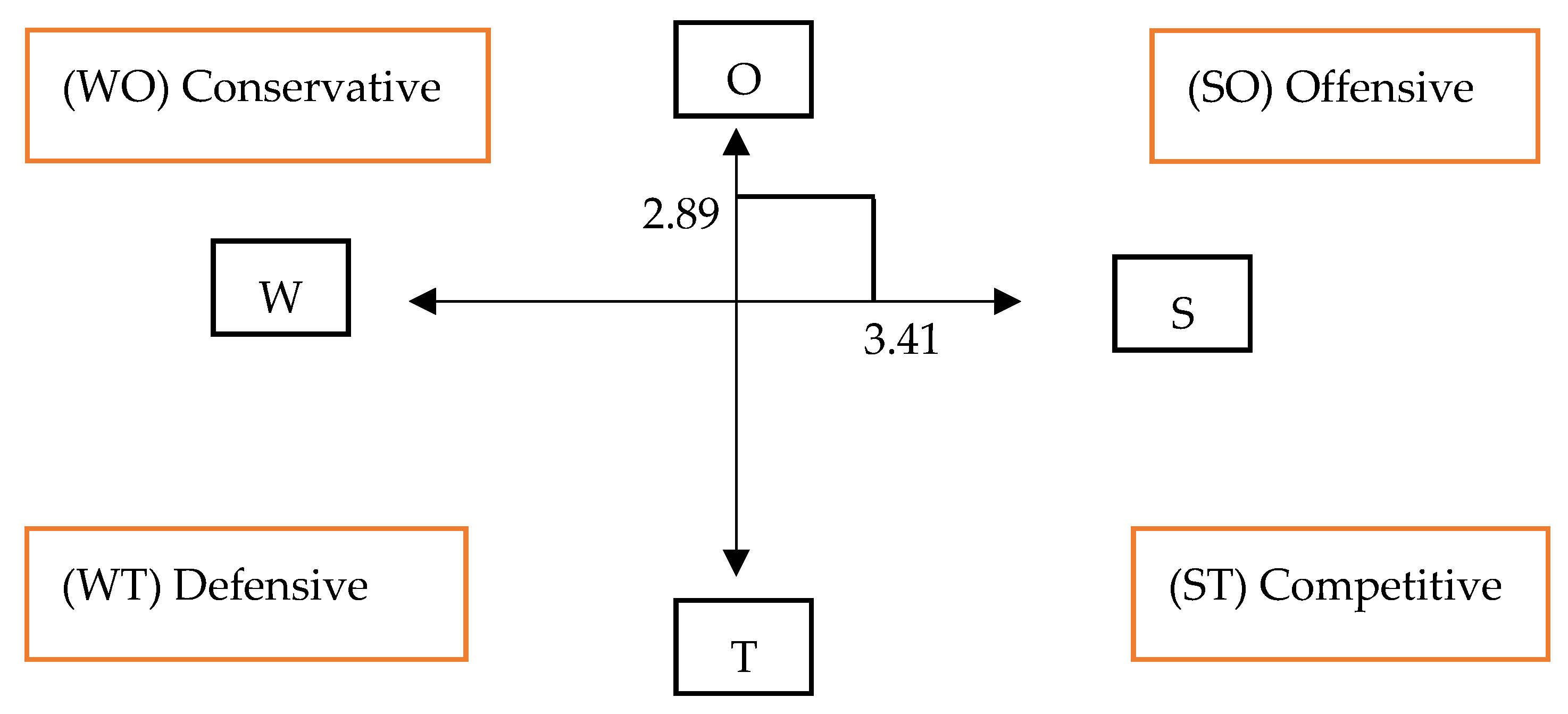
The SWOT analysis was used to develop a sustainable tourism framework for Demre district, and a strategy diagram (Figure 3) was prepared based on factor scores. Looking at the results of the SWOT internal-external strategic factor analysis matrix, the results obtained from the total scores of the two matrices are as follows:
Figure 3.
Demre SWOT internal-external strategic factors analysis diagram.
- (a)
- The total score for strengths is 1.856 and the total score for weaknesses is 1.559. The total score for internal strategic factors (strengths-weaknesses) is 3.415.
- (b)
- The total score for opportunities is 1.794 and the total score for threats is 1.105. The total score for external strategic factors (opportunities-threats) is 2.899.
According to the findings, strategic positioning is an SO strategy based on exploiting the potential of areas that focus on internal strengths and external opportunities. As a result of the SWOT analysis, strengths in terms of internal characteristics should be prioritized and developed. In terms of external characteristics, opportunities should be linked to the development of strengths and contributions should be made, while necessary measures should be taken to reduce threats.
3.3. TOPSIS Analysis Results
TOPSIS analysis is a simple and effective approach to prioritizing strategic decisions. In this regard, SWOT factors such as strengths, weaknesses, opportunities, and threats are ranked according to expert judgment.
In comparing strengths, the most important sub-factor is “The presence of numerous areas with protected status in the region and the existence of areas selected as Important Natural Areas by the International Union for Conservation of Nature (IUCN) (Kıbrıscık, Kekove, Kale)” (0.232), “The presence of the ancient Lycian Way” (0.232), and “Its position as a historical and religious tourism center (the presence of the Church of Saint Nicholas) with numerous ancient ruins and cultural assets” (0.232), while the lowest-impact sub-factor was identified as “High diversity and quality of agricultural products and the presence of organic agricultural production” (0.070).
In the comparison of weaknesses, “Insufficient tourist accommodation facilities and capacity” (0.232) ranked first, while “Intensive urban agriculture and horticulture activities” (0.056) ranked last, and the sub-factors were compared with each other.
Opportunities The most important opportunity in the SWOT group is “Being an important point in terms of historical and religious tourism” (0.471), while the lowest opportunity sub-factors are “The ongoing construction of a yacht marina on the Taşdibi peninsula” (0.130) and “Regularly recurring festivals” (0.130).
Threats SWOT group’s “Inadequate tourism infrastructure” (0.399) is the highest priority threat, while “Damage to natural and cultural areas due to increased carrying capacity due to excessive visitor density and inappropriate protection approach in natural and historical areas” (0.172) are the lowest threat sub-factors.
In the SWOT analysis, the strengths, weaknesses, opportunities and threat factors and their weights are shown in Table 5 according to the average expert judgments.
Table 5.
Average of expert assessments of SWOT factors.
After comparing the SWOT groups, the SWOT sub-factors were compared. Each SWOT sub-factor was compared with the others based on the experts’ judgments, and the results of the comparison of the criteria were determined (Table 6). This process was used to establish the priority distribution of the strategies.
Table 6.
Pairwise comparison according to SWOT groups.
After preparing the pairwise comparison matrix, it must be normalized according to equations (Equation (1)) (Table 7).
Table 7.
Normalized matrix.
PIS and NIS are determined according to the normalized matrix equations (Equation (2)).
- A+ = {0.152; 0.112; 0.188; 0.200} → Positive İdeal Solutions (Equation (3))
- A− = {0.070; 0.063; 0.105; 0.112} → Negative İdeal Solutions (Equation (4))
- Ci values change from 0 to 1. The closer Ci is to 1, the higher the priority of the equations (Equation (5)).
| W | S | O | T |
| 0.138 | 0.565 | 0.305 | 0.153 |
According to the evaluation results, when SWOT factors are taken into account, internal environmental factors should be addressed first. Therefore, strengths are addressed first. SO strategies come before WO, ST, and WT strategies. Table 8 shows the strategies developed with SWOT analysis.
Table 8.
Developing strategies using SWOT analysis.
3.4. Evaluation of Strategies
3.4.1. SO Strategy
The development of tourism activities will increase community income and employment opportunities. It will also increase the number of tourist visits and improve household welfare. Therefore, managers should focus on integrated cooperation among stakeholders to understand tourists’ perspectives on their visits and increase the number of visits. Improving inter-institutional cooperation and communication regarding the impact of tourism in the region is an important strategy. Furthermore, the preservation of the characteristics that constitute Demre’s identity values and the development of its image at the local level should be integrated into the development of alternative tourism areas, taking into account the region’s transportation capacities.
3.4.2. ST Strategy
Competitive strategy guides the development of tourism. Through this strategy, competitive tourism destinations should be created in cooperation with tourism stakeholders for the development of sustainable tourism. Creating recreational opportunities to attract tourists throughout the year is an important strategy. Education is a priority in a sustainable tourism strategy and is important for sustainable visitor management in natural, cultural, and historical areas. In addition, priority should be given to conservation in ecotourism activities.
3.4.3. WO Strategy
Increasing the quality and number of supporting areas in tourism areas and improving weaknesses is an important strategy. Developing tourism facilities and amenities in the region is a solution to overcome visitor problems and congestion. In this regard, the creation of environmentally friendly accommodation in ecotourism areas and an increase in certified buildings should be addressed first. Creating and promoting sustainable tourism goals requires the establishment of integrated management systems and plans for tourism, as well as stakeholder participation. This approach will ensure that tourism development is sustainable and beneficial for all stakeholders.
3.4.4. WT Strategy
It is important to raise awareness by organizing training for the local community and visitors in order to improve information management. The quality of information will positively influence tourists’ travel interests and contribute to preventing environmental damage.
3.5. Ranking Strategic Factors
After calculating the total scores for each strategy in the strategic planning matrix, the strategies were ranked according to their scores and listed in Table 9. In this step, using expert assessment, importance weights were determined for each alternative strategy (SO1, SO2, SO3, ST1, etc.) according to the defined SWOT sub-criteria.
Table 9.
Ranking of strategic factors.
In the study, the overall scores for the strategies are 0.23, 0.16, 0.05, 0.075, 0.5, 0.11, 0.018, 0.075, 0.035, and 0.018, respectively. The corresponding preference order is SO1, SO2, SO3, ST1, ST2, WO1, WO2, WO3, WT1, and WT2. Therefore, SO1 has been determined as the most suitable strategy (Figure 4).
Figure 4.
Weights of the evaluated strategies.
The survey on the Delphi technique used in the study consists of three sections. These sections are assessments of the current situation, assessments of the sustainable tourism approach, and assessments of strategies within the scope of sustainable tourism. When the distribution of participants in the study is examined according to gender, it is seen that 40% of the experts are women and 60% are men. Comments related to the research were made based on the results of the third round, where the experts’ opinions became clearer.
The evaluation results show that managers emphasize taking full advantage of opportunities related to the current situation, while experts emphasize avoiding weaknesses and threats. Participants stated that sustainable tourism should be offered while preserving the social and cultural identity of the region. In addition, experts emphasized that the importance of historical culture as a strength in tourism will increase in the future.
The study highlights the need to implement strategies aimed at ensuring the participation of all stakeholders and developing alternative forms of tourism that are free from the destructive effects of mass tourism. These recommendations are as follows:
- The participation of all stakeholders should be ensured in the development of tourism.
- Civil society organizations should be made more effective in the protection, development, and promotion of the region.
- Alternative types of tourism (such as agro-tourism) should be developed.
- Emphasis should be placed on boutique hotels rather than small guesthouses.
General issues related to Demre include rapid and uncontrolled tourism development and the resulting exceeding of transportation capacity, increasing environmental pollution, deterioration of architectural, environmental, and cultural values, and insufficient cooperation among stakeholders.
4. Conclusions
Demre is one of the most important tourist centers in Antalya province in terms of its natural and cultural heritage values, historical texture, and ecological diversity. It is an important destination for sea tourism as well as religious tourism, nature tourism, cultural tourism, and health tourism. The region is also highly suitable for nature walks (trekking) due to its natural structure and historical walking routes. Additionally, it offers rich opportunities for bird watching as it is located on the migration route of migratory birds. Beyond all these tourist potentials, Demre’s true tourist image is shaped by its rich historical and cultural potential.
Evaluating these potentials is of great importance. Compliance with land development and environmental protection standards is a necessary condition for increasing sustainable tourism development [62]. Poorly planned and implemented tourism activities bring difficulties with them. Therefore, determining and prioritizing strategies through SWOT and TOPSIS analysis is also important for the sustainable development of the region. Zhu et al. [28], and Petrova et al. [63], emphasize the importance of strategic planning strategies to attract tourists in every season of the year and maximize opportunities.
TOPSIS analysis provides a systematic comparison that supports sustainable resource management decisions, offering a structured approach to evaluate and rank alternative strategies according to defined criteria. The TOPSIS method, when combined with SWOT analysis, is an appropriate way to prioritize strategies. Therefore, relevant authorities must focus on the vision and goals of the tourism sector to contribute to the development and improvement of the regional economy.
This study has the advantage of integrating expert opinions in TOPSIS analysis and SWOT analysis to create and prioritize strategies. The advantage of the evaluation system developed is that it enhances the capacity for sustainable tourism development and growth by integrating natural, cultural, and environmental aspects along with ecological indicators. This method not only relies on data-driven quantitative indicators but also incorporates qualitative indicators based on this foundation, thereby making the evaluation system more comprehensive and scientific.
The findings of the study, which comprehensively addresses strengths, weaknesses, opportunities, and threats, are important for developing and implementing sustainable tourism strategies and provide stakeholders with the information they need to make informed decisions. The strategies proposed in the study are designed to create a balanced tourism development approach that benefits both the local community and the environment, emphasizing economic empowerment, cultural preservation, environmental protection, and stakeholder participation.
The identification and prioritization of strategies for preserving the characteristics that constitute Demre’s identity values play an important role in the development and economy of the region. Using SWOT analysis, Demre was analyzed based on findings obtained from internal and external factors affecting the development of tourism in the district. 21 internal factors and 11 external factors affecting district tourism were identified. 10 strategic objectives were established for the area’s strategies. The strategies were evaluated and prioritized based on expert opinions.
All these assessments and the opinions of experts participating in the Delphi study show that the strategy of “utilizing the natural and historical features and unique location of Demre district for the development of district tourism” ranks first. Recommendations for the healthy development and sustainability of tourism in Demre can be listed as follows:
- All stakeholders affected by and influential in the development of tourism in the region should be given a say in the management and development of tourism, and cooperation should be ensured. The study shows that all stakeholders who should have a say in tourism have not yet been sufficiently involved in the tourism development process. Participants indicate that 80% of them believe that cooperation between the public and private sectors will have a positive impact on the development of tourism in Demre.
- The characteristics that constitute Demre’s identity values must be preserved and its image must be developed at the local level. Demre’s image should be approached as a broad concept that encompasses its natural and cultural characteristics, infrastructure, services, tourism products, culture, and the entire social structure. This should be done by taking into account the characteristics of the region, the services it wants to offer, and the supply-demand balance.
- Priority should be given to the professional training of personnel working in the tourism sector in order to improve the quality of services. In this context, support should be sought from the Akdeniz University Demre Dr. Hasan Ünal Vocational School located in the district to address issues and find solutions.
- 80% of participants agree with the statement that “One of the major problems facing tourism in Demre is the lack of effective promotion.” Experts agree that neither the government nor private businesses are doing enough to attract foreign tourists to the region, let alone local tourists. The high number of tourists visiting the Antalya region will increase the potential number of visitors to the region thanks to promotional efforts.
- 60% of participants responded negatively to the statement, “Demre’s accommodation infrastructure is sufficient for the development of regional tourism.” Tourism investments in the region should be made by considering the region’s characteristics, the services it wants to offer, and the supply-demand balance. Instead of large accommodation facilities, boutique hotels that are compatible with local architecture and culture should be built in the district. The characteristics that form Demre’s identity values should be preserved, and its image should be developed at the local level.
- The tourism industry has become the most important sector in the region, and as a result, intensive construction, particularly in coastal and coastal settlements, has begun to threaten natural areas. Measures should be taken to counteract the potential damage that tourism could cause to the natural, cultural, historical, and architectural environment due to uncontrolled development, and care should be taken not to exceed the carrying capacity of these areas. While anticipating the economic, social, and physical development of the region, the protection of its ecological structure and natural and cultural values should be taken as a basis.
- In Demre, although cultural tourism and religious tourism centered on the Church of St. Nicholas (Santa Claus) are the main types of tourism, the agricultural sector and greenhouse activities also provide opportunities for agrotourism activities. In line with the district’s resource values, emphasis should be placed on developing tourism types that reflect and support the region’s characteristics, such as agrotourism and rural tourism, with a sustainability approach.
- Due to high demand during the tourist season in Demre, the sector is rapidly developing in order to meet this demand. Some operators, whose sole aim is short-term commercial gain, are causing damage to the environment and coastline. While the economic, social, and physical development of the region is anticipated, the protection of its ecological structure and natural and cultural values must be a priority.
- In order to establish a correct image of tourism, the local community and visitors should be informed. Awareness should be raised by organizing training for the local community and visitors. The active use of local media will provide significant advantages in terms of raising awareness and ensuring participation in sustainable tourism.
In order to preserve cultural wealth, Demre district’s natural and historical features and unique location should be utilized for the development of district tourism, the protection of historical and cultural heritage sites and effective management should be ensured, and importance should be given to increasing and developing the number of regularly held festivals for the promotion of culture and traditions in the district.
The characteristics that constitute Demre’s identity values should be preserved, and its image should be developed at the local level. The use of natural and cultural areas in the district for ecotourism should be planned with attention to their carrying capacity, and inter-institutional cooperation and communication regarding the impact of tourism in the region should be improved. Integrated management systems and plans for tourism must be established to create and promote sustainable tourism goals.
In ensuring economic sustainability, the following measures are taken: ensuring the satisfaction of local and foreign visitors to Demre, creating favorable trade conditions, designing and planning attractive destinations with a participatory approach, and supporting tourism businesses.
To ensure visitor satisfaction, measures must be developed to protect visitors, particularly the disabled, the elderly, and children, from accidents, infrastructure must be carefully planned, and tourists must be made aware of the local culture.
In order to ensure the efficient and effective use of resources, it is necessary to take measures for the effective and efficient use of water to control the limited and non-renewable resources caused by the sector, to ensure waste and residue management, and to take measures to minimize the negative effects of tourism activities on the environment.
In protecting biological diversity, it is necessary to raise visitors’ awareness of biological diversity and increase regional measures for the natural habitats of living creatures in order to support the protection of natural areas and habitats and minimize potential damage.
In order to ensure local control, it is necessary to ensure the participation of tourism stakeholders in the planning, management, and development of tourism activities in the region, to empower local communities and ensure their unity, and to improve conditions for effective local decision-making mechanisms.
In order to ensure sustainable development in the region, it is important to use natural, historical, and cultural resources rationally, protect the ecological balance of the region, ensure the orderly and balanced development of land use, and preserve and develop the socio-cultural identity of the region. In this regard, integrating environmental elements such as promoting environmentally friendly accommodation, implementing waste management systems, and taking ecological sensitivities into account into planning strategies is necessary for the long-term management of the environment.
As a result, the study developed an evaluation solution that addresses the natural, cultural, and ecological aspects of the district through multi-criteria decision-making. It is consistent with the goal of developing sustainable tourism in the Demre district, and it was concluded that the proposed evaluation system is practical and worth using. Additionally, conducting comparative analyses across different fields can contribute to the development of best practices and innovative strategies for sustainable tourism.
Funding
This research received no external funding.
Institutional Review Board Statement
Not applicable.
Informed Consent Statement
Not applicable.
Data Availability Statement
The original contributions presented in this study are included in the article. Further inquiries can be directed to the corresponding author.
Conflicts of Interest
The author declares no conflicts of interest.
References
- Ballantyne, R.; Packer, J.; Hughes, K. Tourists’ Support for Conservation Messages and Sustainable Management Practices in Wildlife Tourism Experiences. Tour. Manag. 2009, 30, 658–664. [Google Scholar] [CrossRef]
- Baylan, E.; Karadeniz, N. Co-Management of Natural Resource Management: Participatory Planning and Collaborative Approach. Yuz. Yıl Univ. J. Agric. Sci. 2016, 26, 648–661. [Google Scholar]
- Kumari, S.; Behera, M.D.; Tewari, H.R. Identification of Potential Ecotourism Sites in West District, Sikkim Using Geospatial Tools. Trop. Ecol. 2010, 551, 75–85. [Google Scholar]
- Yadav, N. Tourism, Strategies for development. In Geography of Tourism; ALEXIS: Singapore, 2024. [Google Scholar]
- Teh, L.; Cabanban, A.S. Planning for Sustainable Tourism in Southern Pulau Banggi: An Assessment of Biophysical Conditions and Their Implications for Future Tourism Development. J. Environ. Manag. 2008, 85, 999–1008. [Google Scholar] [CrossRef]
- Kajanus, M.; Kangas, J.; Kurttila, M. The Use of Volue Focused Thinking and the A’WOT Hybrid Method in Tourism Management. Tour. Manag. 2004, 25, 499–506. [Google Scholar] [CrossRef]
- Gao, C.-Y.; Peng, D.-H. Consolidating SWOT Analysis with Nonhomogeneous Uncertain Preference Information. Knowl.-Based Syst. 2011, 24, 796–808. [Google Scholar] [CrossRef]
- Kandakoğlu, A.; Çelik, M.; Akgun, I. A Multimethodological Approach for Shipping Registry Selection in Maritime Transportation Industry. Math. Comput. Model. 2009, 49, 586–597. [Google Scholar] [CrossRef]
- Yan, Z.; Wang, X. Research on the Tourism Development and Countermeasures of Nishan Town Based on SWOT Analyis. J. Serv. Sci. Manag. 2021, 14, 429–443. [Google Scholar] [CrossRef]
- Wiyaja, P.T.; Kawiana, G.P.; Suasih, N.N.R.; Hartati, P.S.; Sumadi, N.K. SWOT and MICMAC Analysis to Determine the Development Strategy and Sustainability of the Bongkasa Pertiwi Tourism Village, Bali Province, Indonesia. Decis. Sci. Lett. 2020, 9, 439–452. [Google Scholar] [CrossRef]
- Çoban, B.; Karakaya, Y.E. Geleceği Planlamada Stratejik Yönetim ve SWOT Analizi: Kavramsal Yaklaşımlar. e-J. New World Sci. Acad. 2010, 5, 342–352. [Google Scholar]
- Houben, G.; Lenie, K.; Vanhoof, K. A Knowledge-Based SWOT Analysis System as an Instrument for Strategic Planning in Small and Medium Sized Enterprises. Decis. Support Syst. 1999, 26, 125–135. [Google Scholar] [CrossRef]
- Şevkli, M.; Öztekin, A.; Uysal, Ö.; Torlak, G.; Türkyılmaz, A.; Delen, D. Development of a Fuzzy ANP Based SWOT Analysis for the Airline Industry in Turkey. Expert Syst. Appl. 2012, 39, 14–24. [Google Scholar] [CrossRef]
- Shinno, H.; Yoshioka, H.; Marpaung, S.; Hachiga, S. Quantitative SWOT Analysis on Global Competitiveness of Machine Tool Industry. J. Eng. Des. 2006, 17, 251–258. [Google Scholar] [CrossRef]
- Kangas, J.; Kurttila, M.; Pesonen, M.; Kajanus, M.; Kangas, A. Evaluating the Management Strategies of a Forestland Estate—The S–O–S Approach. J. Environ. Manag. 2003, 69, 349–358. [Google Scholar] [CrossRef] [PubMed]
- Pesonen, M.; Kurttila, M.; Kangas, J.; Kajanus, M.; Heinonen, P. Assessing the Priorities Using A’WOT Among Resource Management Strategies at the Finnish Forest and Park Service. For. Sci. 2001, 47, 534–541. [Google Scholar] [CrossRef]
- Xu, Z. A Survey of Preference Relations. Int. J. Gen. Syst. 2007, 36, 179–203. [Google Scholar] [CrossRef]
- Yüksel, İ.; Dağdeviren, M. Using the Analytic Network Process (ANP) in a SWOT Analysis—A Case Study for a Textile Firm. Inf. Sci. 2007, 177, 3364–3382. [Google Scholar] [CrossRef]
- Akbulak, C.; Cengiz, T. Determining Ecotourism Strategies Using A’WOT Hybrid Method: Case Study of Troia Historical National Park, Çanakkale, Turkey. Int. J. Sustain. Dev. World Ecol. 2014, 21, 380–388. [Google Scholar] [CrossRef]
- Taghipour, M.; Sarchoghaei, J.A. Evaluation of Tourist Attractions in Borujerd County with Emphasis on Development of New Markets by Using Topsis Model. Sci. J. Bus. Manag. 2015, 3, 175–189. [Google Scholar] [CrossRef]
- Taşcıoğlu Gıran, S. Turizm Planlamasında Sayısal SWOT Analizi Uygulaması: Oymapınar Kültür ve Turizm Koruma ve Gelişim Bölgesi Örneği. Akdeniz Üniv. Ziraat Fak. Derg. 2011, 24, 87–93. [Google Scholar]
- Arsić, S.; Nikolić, D.; Živković, Ž. Hybrid SWOT-ANP-FANP Model for Prioritization Strategies of Sustainable Development of Ecotourism in National Park Djerdap, Serbia. For. Policy Econ. 2017, 80, 11–26. [Google Scholar] [CrossRef]
- Özdemir, Y.; Demirel, T. Prioritization of Tourism Strategies in Turkey Using a SWOT-AHP Analysis. Int. J. Bus. Ind. Mark. 2018, 3, 34–45. [Google Scholar]
- Yılmaz, A.; Zorlu, K. SWOT-AHS Analizi Kullanılarak Sinop’ta Sürdürülebilir Turizm Stratejilerinin Önceliklendirilmesi. Uluslararası Sos. Araştırmalar Derg. 2018, 11, 390–403. [Google Scholar] [CrossRef]
- Fahlyiani, M.A.; Jokar, S. Codification Appropriate Strategies Urban Land Using A Combined Model TOPSİS-SWOT. Georaphy Hum. Relatsh. 2019, 2, 349–368. [Google Scholar]
- Diaz, F.; Cilinskis, E. Use of Multi-Criteria TOPSİS Analysis to Define A Decorbonization Path in Colombia. Rigas Teh. Univ. Zinat. Raksti 2019, 23, 110–128. [Google Scholar] [CrossRef]
- Azimi, R.; Yazdani-Chamzini, A.; Fouladgar, M.M.; Zavadskas, E.K.; Basiri, M.H. Ranking the Strategies of Mining Sector Through TOPSİS in a SWOT Framework. J. Bus. Econ. Manag. 2011, 12, 670–689. [Google Scholar] [CrossRef]
- Zhu, Y.; Chen, C.; Zhang, G.; Lin, Z.; Meshram, S.G.; Alvandi, E. Investigation of West Lake Ecoturism Capabilities Using SWOT and TOPSİS Desicion-Making Methods. Sustainability 2023, 15, 2464. [Google Scholar] [CrossRef]
- Kurttila, M.; Pesonen, M.; Kangas, J.; Kajanus, M. Utilizing the Analytic Hierarchy Process (AHP) in SWOT Analysis-A Hybridmethod and its Application to A Forest-Certification Case. For. Policy Econ. 2000, 1, 41–52. [Google Scholar] [CrossRef]
- Petriki, O.; Bobori, D.C. Ecological Assessment and SWOT–AHP Integration for Sustainable Management of a Mediterranean Freshwater Lake. Sustainability 2025, 17, 4950. [Google Scholar] [CrossRef]
- Asadi, R.; Daryaei, M. Prioritization of Forms of Tourism in İran to Formulate National Strategies. Eur. J. Sci. Res. 2011, 1, 144–152. [Google Scholar]
- Santiary, P.A.W.; Ciptayani, P.I.; Saptarini, H.N.G.A.P.; Swardika, I.K. Sistem Pendukung Keputusan Penentuan Lokasi Wisata Dengan Metode Topsis. J. Teknol. Inf. Dan. Ilmu Komput. 2018, 5, 621–628. [Google Scholar] [CrossRef]
- Chang, H.F.; Shu-Hua, W.; Joyce, H.Y.C.; Chao-Hui, K. Evaluating Business Model for Hotel Industry by Grey-Topsis. J. Risk Financ. Manag. 2021, 14, 606. [Google Scholar] [CrossRef]
- Ajmera, P. Ranking the Strategies for Indian Medical Tourism Sector Through the Integration of Swot Analysis and Topsis Method. Int. J. Health Care Qual. Assur. 2017, 30, 668–679. [Google Scholar] [CrossRef]
- Sharifabadi, M.A.; Ardakani, F.A. A Model for Health Tourism Development Using Fuzzy Topsis and Interpretive Structural Modeling in Yazd Province. J. Health Adm. 2014, 17, 73–88. [Google Scholar]
- Joshi, S.; Sharma, M.; Singh, R.K. Performance Evaluation of Agro-Tourism Clusters Using AHP–Topsis. J. Oper. Strateg. Plan. 2020, 3, 7–30. [Google Scholar] [CrossRef]
- Zhang, H.; Song, H.; Wen, L.; Liu, C. Forecasting Tourism Recovery Amid COVID-19. Ann. Tour. Res. 2021, 87, 103149. [Google Scholar] [CrossRef]
- Vicens-Colom, J.; Holles, J.; Liern, V. Measuring Sustainability with Unweighted TOPSIS: An Application to Sustainable Tourism in Spain. Sustainability 2021, 13, 5283. [Google Scholar] [CrossRef]
- Weerathunga, P.R.; Xiaofang, C.; Samarathunga, W.H.M.S.; Kulathunga, K.M.M.C.B. Application of Entropy Based Topsis in Analysis of Sustainability Performance of Sri Lankan Hotels. RISUS J. Innov. Sustain. 2020, 11, 100–108. [Google Scholar] [CrossRef]
- Dündar, H.B.; Aydemir, Ç.; Gül, A. Ecoturism potential of demre (antalya) region. In Proceedings of the 5th International Urban Landscape and Art Congress, Paris, France, 25–27 October 2024. [Google Scholar]
- Şen, S. Antalya Demre Mevcut Durum Analizi; Batı Akdeniz Kalkınma Ajansı: Antalya, Türkiye, 2021; 55p.
- TUİK. Turkısh Statıstıcal Institute. Available online: https://www.tuik.gov.tr (accessed on 20 July 2025).
- Demre Kaymakamlığı. Available online: https://www.demre.gov.tr/ (accessed on 20 July 2025).
- Akça, E.; Esen, S. Aziz Nikolas’ın Hayatı ve Mucizevi Karakteri. Avrasya Sos. Ve Ekon. Araştırmaları Derg. 2020, 7, 114–128. [Google Scholar]
- Tezcan, S. Demre’de İnanç Turizminin Tanıtılmasına Yönelik Ölçek: Geçerlik ve Güvenirlik Çalışması. Turk. Online J. Des. Art Commun. 2023, 13, 803–819. [Google Scholar] [CrossRef]
- Phadermrod, B.; Crowder, R.M.; Wills, G.B. Importance Performance Analysis Based SWOT Analysis. Int. J. Inf. Mang. 2019, 44, 194–203. [Google Scholar] [CrossRef]
- Nouri, J.; Karbassi, A.R.; Mirkia, S. Environmental Management of Coastal Regions in the Caspian Sea. Int. J. Environ. Sci. Technol. 2008, 5, 43–52. [Google Scholar] [CrossRef]
- Uçar, D.; Doğru, A.Ö. CBS Projelerinin Stratejik Planlaması ve SWOT Analizinin Yeri; TMMOB 10; Türkiye Harita Bilimsel ve Teknik Kurultayı: Ankara, Türkiye, 2005. [Google Scholar]
- Keban, Y.B.; Arifin, S.; Wahyono, R. SWOT Analysis and Its Implementation Strategies in Educational Management. J. Educ. Pract. 2019, 10, 86–92. [Google Scholar] [CrossRef]
- Hwang, C.L.; Yoon, K. Multiple Attribute Decision Making-Methods and Applications; Springer: Berlin/Heidelberg, Germany, 1981. [Google Scholar]
- Jahanshahloo, G.R.; Lotfi, F.H.; Izadikhah, M. An Algorithmic Method to Extend TOPSİS for Decision-Making Problems with Interval Data. Appl. Math. Comput. 2006, 175, 1375–1384. [Google Scholar] [CrossRef]
- Kelemenis, A.; Askounis, D. A New TOPSİS Based Multi Criteria Approach to Personnel Selection. Expert Syst. Appl. 2010, 37, 4999–5008. [Google Scholar] [CrossRef]
- Soheil, S.N.; Damghani, K.K. Application of Fuzzy TOPSİS Method Base on Modified Preference Ratio and Fuzzy Distance Measurement in Assessment of Traffic Police CentersPerformance. Appl. Soft Comput. 2010, 10, 1028–1039. [Google Scholar] [CrossRef]
- Wang, Y.M.; Elhag, T.M.S. On the Normalization of Inter Valand Fuzzy Weights. Fuzzy Sets Syst. 2006, 157, 2456–2471. [Google Scholar] [CrossRef]
- Ciardiello, F.; Genovese, A.A. Comparison Between TOPSIS and SAW Methods. Ann. Oper. Res. 2023, 325, 967–994. [Google Scholar] [CrossRef]
- Saraji, M.K.; Streimikiene, D.; Lauzadyte-Tutliene, A.A. Novel Pythogorean Fuzzy-SWARA-CRITIC-COPRAS Method for evaluating the barriers to developing business model innovation for sustainability. In Handbook of Research on Novel Practices and Current Successes in Achieving the Sustainable Development Goals; IGI Global: Hershey, PA, USA, 2021; pp. 1–31. [Google Scholar]
- Berridge, C.; Demiris, G.; Kaye, J. Domain Experts on Dementia-Care Technologies: Mitigating Riskin Design and Implementation. Sci. Eng. Ethics 2021, 27, 14. [Google Scholar] [CrossRef] [PubMed]
- Khorramshahgol, R.; AlHusain, R. A GP-AHP approach to Design Responsive Supply Chains for Pareto Customers. Oper. Res. Perspect. 2020, 8, 100172. [Google Scholar] [CrossRef]
- Franklin, K.K.; Hart, J.K. Idea Generation and Exploration: Benefits and Limitations of the Policy Delphi Research Method. Innov. High. Educ. 2007, 31, 237–246. [Google Scholar] [CrossRef]
- Creswell, J.W. Nitel Araştırmacılar İçin 30 Temel Beceri; Anı Yayıncılık: Ankara, Türkiye, 2019. [Google Scholar]
- Tang, J.; Zhu, H.; Liu, F.; Jia, F.; Zheng, X. Urban Sustainability Evaluation under the Modified TOPSİS Based on Grey Relational Analysis. Int. J. Environ. Res. Public Health 2019, 16, 256. [Google Scholar] [CrossRef] [PubMed]
- Akten, M. The Role of Urban Design and Planning in the Process of Urban Image Creation. In Architectural Sciences and Urban Environmental Studies; Iksad Publications: Ankara, Türkiye, 2023; pp. 228–255. [Google Scholar]
- Petrova, M.; Dekhtyar, N.; Klok, O.; Loseva, O. Regional Tourism Infrastructure Development in the State Strategies. Probl. Perspect. Manag. 2018, 16, 259–274. [Google Scholar] [CrossRef]
Disclaimer/Publisher’s Note: The statements, opinions and data contained in all publications are solely those of the individual author(s) and contributor(s) and not of MDPI and/or the editor(s). MDPI and/or the editor(s) disclaim responsibility for any injury to people or property resulting from any ideas, methods, instructions or products referred to in the content. |
© 2025 by the author. Licensee MDPI, Basel, Switzerland. This article is an open access article distributed under the terms and conditions of the Creative Commons Attribution (CC BY) license (https://creativecommons.org/licenses/by/4.0/).



