Coal Clinker Ash Influence in Mineral Nitrogen Sorption and Leaching in Sandy Soil
Abstract
1. Introduction
2. Materials and Methods
2.1. Experimental Site
2.2. Treatment Characterisation
2.3. NH4+-N and NO3−-N Sorption Study
2.4. Leaching of NO3−-N Through Soil Columns and Nitrogen Analysis After Leaching in Soil
2.5. pH, EC, and C/N Determination Changes in Soil
2.6. Maize Seedlings Parameters
2.7. Statistical Analysis
3. Results
3.1. NH4+-N and NO3−-N Sorption by CA
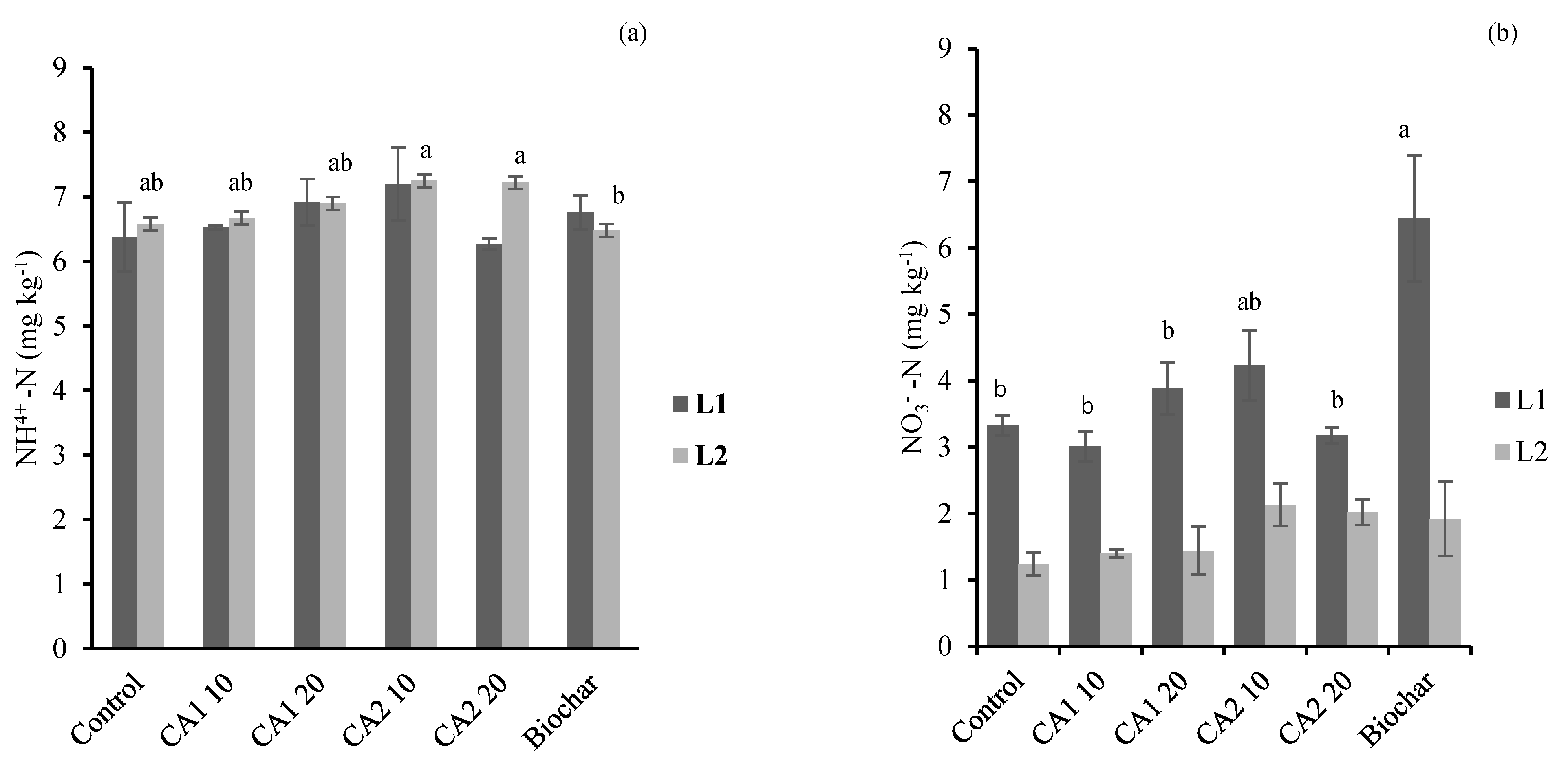
3.2. Influence of CA on NO3−-N Leached, NH4+-N, NO3−-N and Total N Retained in the Soil
3.3. pH, EC, CEC, and C/N Ratio in the Soil Ameliorated with CA After N Leaching
3.4. Maize Growth Performance After Nutrient Leaching Period on Sandy Soil
4. Discussion
4.1. The Effect of CA on N Sorption, Leaching and Retention on Sandy Soil
4.2. The Limitations and Implications of the Study
5. Conclusions
Author Contributions
Funding
Institutional Review Board Statement
Informed Consent Statement
Data Availability Statement
Acknowledgments
Conflicts of Interest
References
- Phan, N.T.; Sengsingkham, T.; Tiyayon, P.; Maneeintr, K. Utilization of bottom ash for degraded soil improvement for sustainable technology. IOP Conf. Ser. Earth Environ. Sci. 2019, 268, 012043. [Google Scholar] [CrossRef]
 - Ahmaruzzaman, M. A review on the utilization of fly ash. Prog. Energy Combust. Sci. 2010, 36, 327–363. [Google Scholar] [CrossRef]
 - Ram, L.C.; Masto, R.E. Fly ash for soil amelioration: A review on the influence of ash blending with inorganic and organic amendments. Earth-Sci. Rev. 2014, 128, 52–74. [Google Scholar] [CrossRef]
 - Jala, S.; Goyal, D. Fly ash as a soil ameliorant for improving crop production—A review. Bioresour. Technol. 2006, 97, 1136–1147. [Google Scholar] [CrossRef]
 - Agustini, R.Y.; Iskandar, I.; Sudarsono, S.; Jaswadi, J.; Wahdaniyah, G. Utilization of Coal Bottom Ash and Cattle Manure as Soil Ameliorant on Acid Soil and Its Effect on Heavy Metal Content in Mustard (Brassica juncea). J. Trop. Soils. 2017, 22, 87–95. [Google Scholar] [CrossRef]
 - Sharma, V.; Singh, S. Modeling for the use of waste materials (Bottom ash and fly ash) in soil stabilization. Mater. Today Proc. 2020, 33, 1610–1614. [Google Scholar] [CrossRef]
 - Haynes, R.J. Reclamation and revegetation of fly ash disposal sites—Challenges and research needs. J. Environ. Manag. 2009, 90, 43–53. [Google Scholar] [CrossRef] [PubMed]
 - Begen, D.; Calis-Ismetoglu, G.; Gumus, O.Y.; Unal, H.I. A comparative study of coal fly and bottom ashes as sustainable electroactive vibration damping materials. Environ. Eng. Res. 2023, 29, 230561. [Google Scholar] [CrossRef]
 - Kim, H.K.; Lee, H.K. Coal bottom ash in field of civil engineering: A review of advanced applications and environmental considerations. KSCE J. Civ. Eng. 2015, 19, 1802–1818. [Google Scholar] [CrossRef]
 - Chindaprasirt, P.; Jaturapitakkul, C.; Chalee, W.; Rattanasak, U. Comparative study on the characteristics of fly ash and bottom ash geopolymers. Waste Manag. 2009, 29, 539–543. [Google Scholar] [CrossRef] [PubMed]
 - Albuquerque, A.R.L.; Angélica, R.S.; Merino, A.; Paz, S.P.A. Chemical and mineralogical characterization and potential use of ash from Amazonian biomasses as an agricultural fertilizer and for soil amendment. J. Clean. Prod. 2021, 295, 126472. [Google Scholar] [CrossRef]
 - Hur, D.Y.; Kim, S.U.; Park, H.C.; Kim, K.K.; Son, H.J.; Lee, K.M.; Kim, Y.J.; Hong, C.O. Nitrous Oxide Emission and Crop Yield in Arable Soil Amended with Bottom Ash. Agriculture 2021, 11, 1012. [Google Scholar] [CrossRef]
 - Matichenkov, V.; Bocharnikova, E.; Campbell, J. Reduction in nutrient leaching from sandy soils by Si-rich materials: Laboratory, greenhouse and filed studies. Soil Tillage Res. 2020, 196, 104450. [Google Scholar] [CrossRef]
 - Ding, Y.; Liu, Y.-X.; Wu, W.-X.; Shi, D.-Z.; Yang, M.; Zhong, Z.-K. Evaluation of Biochar Effects on Nitrogen Retention and Leaching in Multi-Layered Soil Columns. Water Air Soil Pollut. 2010, 213, 47–55. [Google Scholar] [CrossRef]
 - Kuo, Y.-L.; Lee, C.-H.; Jien, S.-H. Reduction of Nutrient Leaching Potential in Coarse-Textured Soil by Using Biochar. Water 2020, 12, 2012. [Google Scholar] [CrossRef]
 - Nyamangara, J.; Masvaya, E.N.; Tirivavi, R.; Nyengerai, K. Effect of hand-hoe based conservation agriculture on soil fertility and maize yield in selected smallholder areas in Zimbabwe. Soil Tillage Res. 2013, 126, 19–25. [Google Scholar] [CrossRef]
 - Zheng, H.; Wang, Z.; Deng, X.; Herbert, S.; Xing, B. Impacts of adding biochar on nitrogen retention and bioavailability in agricultural soil. Geoderma 2013, 206, 32–39. [Google Scholar] [CrossRef]
 - Ibrahim, M.M.; Hu, K.; Tong, C.; Xing, S.; Zou, S.; Mao, Y. De-ashed biochar enhances nitrogen retention in manured soil and changes soil microbial dynamics. Geoderma 2020, 378, 114589. [Google Scholar] [CrossRef]
 - Cui, L.; Li, D.; Wu, Z.; Xue, Y.; Xiao, F.; Zhang, L.; Song, Y.; Li, Y.; Zheng, Y.; Zhang, J.; et al. Effects of Nitrification Inhibitors on Soil Nitrification and Ammonia Volatilization in Three Soils with Different pH. Agronomy 2021, 11, 1674. [Google Scholar] [CrossRef]
 - Gentile, R.; Vanlauwe, B.; Van Kessel, C.; Six, J. Managing N availability and losses by combining fertilizer-N with different quality residues in Kenya. Agric. Ecosyst. Environ. 2009, 131, 308–314. [Google Scholar] [CrossRef]
 - Dassanayake, K.B.; Jayasinghe, G.Y.; Surapaneni, A.; Hetherington, C. A review on alum sludge reuse with special reference to agricultural applications and future challenges. Waste Manag. 2015, 38, 321–335. [Google Scholar] [CrossRef] [PubMed]
 - Hamidi, N.H.; Ahmed, O.H.; Omar, L.; Ch’ng, H.Y. Soil Nitrogen Sorption Using Charcoal and Wood Ash. Agronomy 2021, 11, 1801. [Google Scholar] [CrossRef]
 - Teutscherova, N.; Houška, J.; Navas, M.; Masaguer, A.; Benito, M.; Vazquez, E. Leaching of ammonium and nitrate from Acrisol and Calcisol amended with holm oak biochar: A column study. Geoderma 2018, 323, 136–145. [Google Scholar] [CrossRef]
 - Gayathiri, M.; Pulingam, T.; Lee, K.T.; Sudesh, K. Activated carbon from biomass waste precursors: Factors affecting production and adsorption mechanism. Chemosphere 2022, 294, 133764. [Google Scholar] [CrossRef] [PubMed]
 - Cao, X.; Reichel, R.; Wissel, H.; Kummer, S.; Brüggemann, N. High Carbon Amendments Increase Nitrogen Retention in Soil After Slurry Application—An Incubation Study with Silty Loam Soil. J. Soil Sci. Plant Nutr. 2022, 22, 1277–1289. [Google Scholar] [CrossRef]
 - Wei, W.; Yan, Y.; Cao, J.; Christie, P.; Zhang, F.; Fan, M. Effects of combined application of organic amendments and fertilizers on crop yield and soil organic matter: An integrated analysis of long-term experiments. Agric. Ecosyst. Environ. 2016, 225, 86–92. [Google Scholar] [CrossRef]
 - Malcolm, B.J.; Cameron, K.C.; Curtin, D.; Di, H.J.; Beare, M.H.; Johnstone, P.R.; Edwards, G.R. Organic matter amendments to soil can reduce nitrate leaching losses from livestock urine under simulated fodder beet grazing. Agric. Ecosyst. Environ. 2019, 272, 10–18. [Google Scholar] [CrossRef]
 - Van Der Sloot, M.; Kleijn, D.; De Deyn, G.B.; Limpens, J. Carbon to nitrogen ratio and quantity of organic amendment interactively affect crop growth and soil mineral N retention. Crop Environ. 2022, 1, 161–167. [Google Scholar] [CrossRef]
 - Kuśmierz, S.; Skowrońska, M.; Tkaczyk, P.; Lipiński, W.; Mielniczuk, J. Soil Organic Carbon and Mineral Nitrogen Contents in Soils as Affected by Their pH, Texture and Fertilization. Agronomy 2023, 13, 267. [Google Scholar] [CrossRef]
 - Demirbas, A. Potential applications of renewable energy sources, biomass combustion problems in boiler power systems and combustion related environmental issues. Prog. Energy Combust. Sci. 2005, 31, 171–192. [Google Scholar] [CrossRef]
 - James, A.; Thring, R.; Helle, S.; Ghuman, H. Ash Management Review—Applications of Biomass Bottom Ash. Energies 2012, 5, 3856–3873. [Google Scholar] [CrossRef]
 - Wagner, N.J.; Matjie, R.H.; Slaghuis, J.H.; van Heerden, J.H.P. Characterization of unburned carbon present in coarse gasification ash. Fuel 2008, 87, 683–691. [Google Scholar] [CrossRef]
 - Okazawa, H.; Fujikawa, T. NITROGEN ADSORPTION ABILITY IN CLINKER ASH AND UTILIZATION OF NITROGEN−ADSORBED CLINKER ASH TO PROMOTE VEGETATION GROWTH. Pedgorica 2014, 60, 15–20. [Google Scholar]
 - Yamamoto, H.; Okazawa, H.; Takeuchi, Y.; Mihara, M. EFFECTIVENESS OF CLINKER ASH IN REMOVING NITRATE NITROGEN FROM AGRICULTURAL WASTE WATER. AgricultForest 2016, 62, 37–42. Available online: http://www.agricultforest.ac.me/paper.php?id=2513 (accessed on 18 June 2021). [CrossRef]
 - Egashira, K.; Han, J.L.; Karim AJ, M.; Moslehuddin AZ, M.; Yamada, Y. Evaluation of Long-Term Application of Organic Residues on Accumulation of Organic Matter and Improvement of Soil Chemical Properties in a Clay Terrace Soil of Bangladesh. J. Fac. Agric. Kyushu Univ. 2003, 48, 227–236. [Google Scholar] [CrossRef] [PubMed]
 - He, Z.; Cao, H.; Liang, J.; Hu, Q.; Zhang, Y.; Nan, X.; Li, Z. Effects of biochar particle size on sorption and desorption behavior of NH4+-N. Ind. Crops Prod. 2022, 189, 115837. [Google Scholar] [CrossRef]
 - Mtambanengwe, F.; Mapfumo, P. Effects of Organic Resource Quality on Soil Profile N Dynamics and Maize Yields on Sandy Soils in Zimbabwe. Plant Soil 2006, 281, 173–191. [Google Scholar] [CrossRef]
 - Basalirwa, D.; Sudo, S.; Wacal, C.; Akae, F.; Oo, A.Z.; Koyama, S.; Sasagawa, D.; Yamamoto, S.; Masunaga, T.; Nishihara, E. Assessment of crop residue and palm shell biochar incorporation on greenhouse gas emissions during the fallow and crop growing seasons of broccoli (Brassica oleracea var. italica). Soil Tillage Res. 2020, 196, 104435. [Google Scholar] [CrossRef]
 - Tra, H.T.L.; Phuong, H.X.; Egashira, K. Chemical, Physical and Mineralogical Properties of Soils in Tuliem and Thanhtri Districts of Hanoi City, Vietnam. J. Fac. Agric. Kyushu Univ. 1998, 43, 281–291. [Google Scholar] [CrossRef]
 - Dhakal, K.; Baral, B.R.; Pokhrel, K.R.; Pandit, N.R.; Gaihre, Y.K.; Vista, S.P. Optimizing N Fertilization for Increasing Yield and Profits of Rainfed Maize Grown under Sandy Loam Soil. Nitrogen 2021, 2, 359–377. [Google Scholar] [CrossRef]
 - Fuertes-Mendizábal, T.; Estavillo, J.M.; Duñabeitia, M.K.; Huérfano, X.; Castellón, A.; González-Murua, C.; Aizpurua, A.; González-Moro, M.B. 15N Natural Abundance Evidences a Better Use of N Sources by Late Nitrogen Application in Bread Wheat. Front. Plant Sci. 2018, 9, 853. Available online: https://www.frontiersin.org/journals/plant-science/articles/10.3389/fpls.2018.00853/full (accessed on 7 November 2024). [CrossRef] [PubMed]
 - Fidel, R.B.; Laird, D.A.; Spokas, K.A. Sorption of ammonium and nitrate to biochars is electrostatic and pH-dependent. Sci. Rep. 2018, 8, 17627. [Google Scholar] [CrossRef] [PubMed]
 - Al-Saedi, R.; Hammood, Z.; Chyad, T. Ammonium Adsorption onto a Contaminated Soil-Water Environment Amended with Organic Matter. J. Ecol. Eng. 2021, 22, 188–194. [Google Scholar] [CrossRef]
 - Vushe, A.; Amutenya, M. Investigating nitrate retention capacity, elementary and mineral composition of Kalahari sandy soils at Mashare farm in Namibia, Okavango river basin. Sci. Afr. 2019, 6, e00193. [Google Scholar] [CrossRef]
 - Zhou, J.-B.; Xi, J.-G.; Chen, Z.-J.; Li, S.-X. Leaching and Transformation of Nitrogen Fertilizers in Soil After Application of N with Irrigation: A Soil Column Method. Pedosphere 2006, 16, 245–252. [Google Scholar] [CrossRef]
 - Saad, O.A.; Conrad, R. Temperature dependence of nitrification, denitrification, and turnover of nitric oxide in different soils. Biol. Fertil. Soils 1993, 15, 21–27. [Google Scholar] [CrossRef]
 - Norton, J.; Ouyang, Y. Controls and Adaptive Management of Nitrification in Agricultural Soils. Front. Microbiol. 2019, 10, 1931. [Google Scholar] [CrossRef] [PubMed]
 - Kaleeem Abbasi, M.; Mahmood Tahir, M.; Sabir, N.; Khurshid, M. Impact of the addition of different plant residues on nitrogen mineralization–immobilization turnover and carbon content of a soil incubated under laboratory conditions. Solid Earth 2015, 6, 197–205. [Google Scholar] [CrossRef]
 - Lazicki, P.; Geisseler, D.; Lloyd, M. Nitrogen mineralization from organic amendments is variable but predictable. J. Environ. Qual. 2020, 49, 483–495. [Google Scholar] [CrossRef] [PubMed]
 - Wu, S.; Konhauser, K.O.; Chen, B.; Huang, L. “Reactive Mineral Sink” drives soil organic matter dynamics and stabilization. NPJ Mater. Sustain. 2023, 1, 3. [Google Scholar] [CrossRef]
 - Cai, Y.; Qi, H.; Liu, Y.; He, X. Sorption/Desorption Behavior and Mechanism of NH 4 + by Biochar as a Nitrogen Fertilizer Sustained-Release Material. J. Agric. Food Chem. 2016, 64, 4958–4964. [Google Scholar] [CrossRef] [PubMed]
 - Othaman, N.N.C.; Isa, M.N.M.; Ismail, R.C.; Ahmad, M.I.; Hui, C.K. Factors that Affect Soil Electrical Conductivity (EC) Based System for Smart Farming Application. IP Conf. Proc. 2020, 2203, 020055. [Google Scholar] [CrossRef]
 - Zhang, Y.; Zhang, S.; Wang, R.; Cai, J.; Zhang, Y.; Li, H.; Huang, S.; Jiang, Y. Impacts of fertilization practices on pH and the pH buffering capacity of calcareous soil. Soil Sci. Plant Nutr. 2016, 62, 432–439. [Google Scholar] [CrossRef]
 - Chong, I.Q.; Azman, E.A.; Ng, J.F.; Ismail, R.; Awang, A.; Hasbullah, N.A.; Murdad, R.; Ahmed, O.H.; Musah, A.A.; Alam, M.A.; et al. Improving Selected Chemical Properties of a Paddy Soil in Sabah Amended with Calcium Silicate: A Laboratory Incubation Study. Sustainability 2022, 14, 13214. [Google Scholar] [CrossRef]
 - Sdiri, A.; Higashi, T.; Chaabouni, R.; Jamoussi, F. Competitive Removal of Heavy Metals from Aqueous Solutions by Montmorillonitic and Calcareous Clays. Water Air Soil Pollut. 2012, 223, 1191–1204. [Google Scholar] [CrossRef]
 - Alghamdi, A.G.; Majrashi, M.A.; Ibrahim, H.M. Improving the Physical Properties and Water Retention of Sandy Soils by the Synergistic Utilization of Natural Clay Deposits and Wheat Straw. Sustainability 2023, 16, 46. [Google Scholar] [CrossRef]
 






| Cycle | Treatment | pH (H2O 1:5)  | EC (10−2 dS m−1)  | CEC (cmolc kg−1)  | C/N Ratio | 
|---|---|---|---|---|---|
| L1 | Control | 5.9 ± 0.04 d | 26.4 ± 0.11 c | 11.8 ± 0.82 b | 9 ± 0.62 c | 
| CA110 | 6.5 ± 0.03 c | 23.2 ± 0.03 c | 12.1 ± 0.08 b | 47 ± 0.95 b | |
| CA120 | 6.8 ± 0.03 b | 38.6 ± 0.02 bc | 16.2 ± 0.86 a | 52 ± 0.71 b | |
| CA210 | 6.7 ± 0.01 c | 44.7 ± 0.10 b | 12.3 ± 0.72 b | 9 ± 0.39 c | |
| CA220 | 7.1 ± 0.04 a | 95.2 ± 0.40 a | 10.7 ± 0.66 b | 11 ± 0.22 c | |
| Biochar | 7.1 ± 0.01 a | 96.8 ± 0.76 a | 18.5 ± 1.23 a | 99 ± 3.60 a | |
| ANOVA (p values) | *** | *** | *** | *** | |
| L2 | Control | 6.9 ± 0.05 c | 17.6 ± 0.09 c | 12.2 ± 0.43 b | 9 ± 0.94 c | 
| CA110 | 7.5 ± 0.04 b | 17.5 ± 0.05 c | 13.5 ± 0.21 b | 50 ± 0.38 b | |
| CA120 | 7.7 ± 0.03 ab | 27.5 ± 0.08 b | 17.5 ± 0.59 a | 55 ± 0.07 b | |
| CA210 | 7.0 ± 0.14 c | 33.1 ± 0.02 b | 13.8 ± 0.27 b | 10 ± 1.03 c | |
| CA220 | 6.7 ± 0.04 c | 42.7 ± 0.44 a | 17.6 ± 0.77 a | 16 ± 0.30 c | |
| Biochar | 8.0 ± 0.05 a | 24.2 ± 0.04 bc | 16.6 ± 0.21 a | 88 ± 9.04 a | |
| ANOVA (p values) | *** | *** | *** | *** | |
| Treatment | Height (cm) | Dry Biomass (g) | ||
|---|---|---|---|---|
| L1 | L2 | L1 | L2 | |
| Control | 52.4 ± 0.54 ab | 18.4 ± 1.26 | 0.5 ± 0.03 ab | 0.08 ± 0.01 | 
| CA110 | 53.9 ± 3.98 ab | 19.4 ± 1.50 | 0.6 ± 0.08 a | 0.08 ± 0.01 | 
| CA120 | 44.9 ± 6.42 abc | 19.2 ± 0.68 | 0.5 ± 0.11 ab | 0.09 ± 0.01 | 
| CA210 | 36.5 ± 5.46 bc | 21.4 ± 0.50 | 0.2 ± 0.07 ab | 0.07 ± 0.03 | 
| CA220 | 32.1 ± 0.29 c | 17.0 ± 0.96 | 0.1 ± 0.01 b | 0.07 ± 0.01 | 
| Biochar | 57.0 ± 2.84 a | 19.4 ± 1.79 | 0.5 ± 0.08 ab | 0.10 ± 0.01 | 
| ANOVA (p values) | ** | ns | * | ns | 
| Grand mean | 45.9 | 19.1 | 0.40 | 0.08 | 
Disclaimer/Publisher’s Note: The statements, opinions and data contained in all publications are solely those of the individual author(s) and contributor(s) and not of MDPI and/or the editor(s). MDPI and/or the editor(s) disclaim responsibility for any injury to people or property resulting from any ideas, methods, instructions or products referred to in the content.  | 
© 2025 by the authors. Licensee MDPI, Basel, Switzerland. This article is an open access article distributed under the terms and conditions of the Creative Commons Attribution (CC BY) license (https://creativecommons.org/licenses/by/4.0/).
Share and Cite
Dube, A.A.; Abebe, M.G.; Manneh, E.; Tsubo, M.; Sato, K.; Nishihara, E. Coal Clinker Ash Influence in Mineral Nitrogen Sorption and Leaching in Sandy Soil. Sustainability 2025, 17, 1733. https://doi.org/10.3390/su17041733
Dube AA, Abebe MG, Manneh E, Tsubo M, Sato K, Nishihara E. Coal Clinker Ash Influence in Mineral Nitrogen Sorption and Leaching in Sandy Soil. Sustainability. 2025; 17(4):1733. https://doi.org/10.3390/su17041733
Chicago/Turabian StyleDube, Agnes Aron, Meseret Gutema Abebe, Elizabeth Manneh, Mitsuru Tsubo, Kuniaki Sato, and Eiji Nishihara. 2025. "Coal Clinker Ash Influence in Mineral Nitrogen Sorption and Leaching in Sandy Soil" Sustainability 17, no. 4: 1733. https://doi.org/10.3390/su17041733
APA StyleDube, A. A., Abebe, M. G., Manneh, E., Tsubo, M., Sato, K., & Nishihara, E. (2025). Coal Clinker Ash Influence in Mineral Nitrogen Sorption and Leaching in Sandy Soil. Sustainability, 17(4), 1733. https://doi.org/10.3390/su17041733
        
                                                
