Long-Term Strategy for Determining the Potential of Climate-Smart Agriculture to Maximize Efficiency Under Sustainability in Thailand †
Abstract
1. Introduction
2. Literature Review and Research Methodology
- Selection of indicators based on the national governance framework;
- Analysis of adaptive capacity to achieve equilibrium under policy implementation;
- Examination of causal relationships among influencing factors;
- Prioritization analysis using the LMMA-FAHP model combined with sensitivity analysis;
- Forecasting of greenhouse gas emissions in the agriculture sector for the long term (2025–2065);
- Integration of quantitative research findings into the focus group discussion;
- Discussion and recommendations for sustainable national governance, as shown in Figure 1.
3. Material and Methods
3.1. Estimation Methodology Using the Fuzzy Autoregressive Hierarchical Process (FAHP)
- Let be a Fuzzy number if satisfies and . The value of can be determined as the membership function of , as follows [58]:
- 2.
- From Equation (4), given thatAnd given thatFrom Equations (5) and (6), the results can be summarized as follows:
- 3.
- The Degree of Possibility can be determined as follows:From Equation (8), it is found that
- 4.
- The degree of possibility for convex fuzzy numbers can be determined as follows:
3.2. Performance Evaluation of the LMMA-FAHP Model
4. Empirical Analysis
4.1. Selection of Indicators Based on the National Administration Framework
4.2. Analysis of Adaptability to Equilibrium upon Policy Implementation
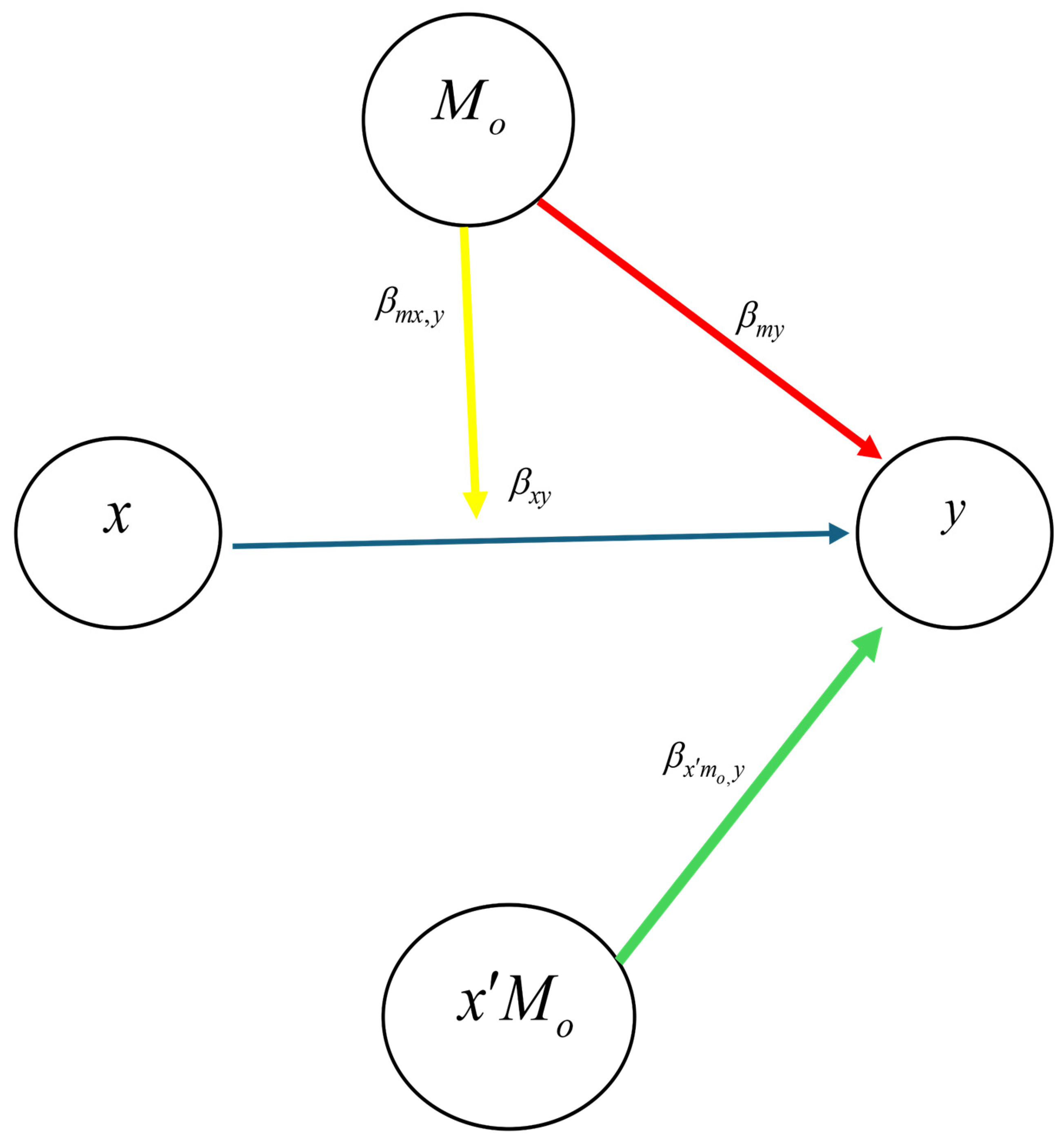
4.3. Analysis of the Influence Pathways of Causal Relationships
- Validity Assessment: The validity check of the LMMA-FAHP model confirms that the model meets the required standards. The statistical criteria used for assessment are the following: , , Cronbach’s alpha , and Composite Reliability (CR) ; all passed the evaluation benchmarks;
- Measurement of Model Fit: The model fit assessment details are as follows:
- 1
- Chi-square statistic = ;
- 2
- Root Mean Squared Residual (RMSR) = ;
- 3
- Root Mean Square Error of Approximation (RMSEA) = ;
- 4
- Standardized Root Mean Square Residual (SRMR) = ;
- 5
- Normal Fit Index (NFI) = ;
- 6
- Non-Normed Fit Index (NNFI) = ;
- 7
- Comparative Fit Index (CFI) = ;
- 8
- Goodness of Fit Index (GFI) = ;
- 9
- Adjusted Goodness of Fit Index (AGFI) = ;
- Spurious Relationship Testing: The assessment found no issues of heteroscedasticity (), multicollinearity (), or autocorrelation (Durbin Watson: D.W. = 1.95).
4.4. Priority Analysis Using the LMMA-FAHP Model Combined with Sensitivity Analysis
4.5. Long-Term Forecasting of Greenhouse Gas Emissions in the Agricultural Sector (2025–2065)
4.6. Integrating Quantitative Research Findings into a Focus Group Discussion
- Key Development Area 1: Enhancing the Adaptive Capacity of Farmers and Agricultural Supply Chain Stakeholders. This development area consists of three main approaches:
- 1.1
- Strengthening Farmers’ Adaptability to Climate Change (Climate-Smart Agriculture)
- (a)
- Promoting and supporting the implementation of Alternative Wetting and Drying (AWD) for irrigated rice cultivation. This practice is already partially implemented by the Ministry of Agriculture and Cooperatives as a core national policy. It was strongly recommended that this policy be scaled and expanded to cover the entire country in order to enhance its impact;
- (b)
- Encouraging agricultural insurance by utilizing technology to design efficient and sustainable programs, leveraging behavioral insights to drive strong market participation from both supply and demand sides, and reforming the government’s role in market development, including redesigning subsidies and disaster assistance to support the insurance market;
- (c)
- Supporting and promoting integrated farming systems to increase net income and reduce production and market risks, as opposed to monoculture farming;
- (d)
- Encouraging New Theory Agriculture to enhance farmers’ net income and reduce household food expenses;
- (e)
- Strengthening farmer organizations in all areas to build resilience;
- (f)
- Promoting land consolidation and the sharing economy for small-scale farmers to improve access to modern machinery and digital technology at affordable costs.
- 1.2
- Increasing the Adoption and Integration of Technology Across the Agricultural Supply Chain
- 1.3
- Enhancing Soil Fertility, Ecosystems, and Water Availability and Accessibility. This includes four key activities:
- (a)
- Improving water demand management policies to enhance water use efficiency, particularly by implementing appropriate water pricing both within and beyond the agricultural sector in water-scarce areas with multi-sectoral water usage, in accordance with applicable legal frameworks;
- (b)
- Investing in the expansion of irrigation areas and supporting the development of various water sources outside irrigation zones for farmers and agricultural institutions;
- (c)
- Promoting agricultural production in suitable cultivation areas that align with soil types and water availability;
- (d)
- Strengthening agricultural resilience by sustainably enhancing soil fertility and ecosystems in a way that aligns with the local context.
- Key Development Area 2: Participation in Reducing Greenhouse Gas Emissions Throughout the Agricultural Supply Chain to Mitigate Long-Term Climate Change Impacts. This development area consists of two main approaches:
- 2.1
- Promoting Environmentally Friendly and Low-Carbon Agricultural Production Aligned with Nationally Determined Contributions (NDCs) and Long-Term Strategies (LTSs). This includes six key activities:
- (a)
- Encouraging and supporting the reduction in open-field burning for harvesting and land management by utilizing agricultural residues in rice, sugarcane, and maize cultivation. This aims to lower greenhouse gas emissions and mitigate air pollution from PM2.5 (Group 1 carcinogen), which has widespread health impacts across all regions of the country. Specific targets will be set for reducing burning practices in rice and maize production within an appropriate timeframe;
- (b)
- Promoting and supporting the optimal use of fertilizers based on soil analysis and crop nutrient requirements (Site-Specific Nutrient Management—SSNM), which helps reduce production costs and greenhouse gas emissions;
- (c)
- Encouraging and facilitating the improvement in livestock and aquaculture production processes to increase net income and reduce greenhouse gas emissions;
- (d)
- Supporting and promoting agricultural production in compliance with Good Agricultural Practices (GAPs) standards;
- (e)
- Enhancing circular economy practices in agriculture by establishing demonstration sites for agricultural recycling, fostering research and development of recycling technologies, and adding value to agricultural by-products for reuse;
- (f)
- Promoting and facilitating greenhouse gas emission reductions in agricultural production, including developing carbon credit market mechanisms for the agricultural sector to incentivize adaptation and emission reductions.
- 2.2
- Supporting the Market for Low-Carbon Agricultural Products: This involves promoting and facilitating the expansion of the market value for low-carbon agricultural products through various tools, such as incentive measures, access to low-interest credit, marketing education, packaging design, and management support for farmers and entrepreneurs.
- Key Development Area 3: Building a Knowledge Database and Raising Awareness on Climate Change Impacts, Adaptation, and Greenhouse Gas Emission Reduction.This development issue focuses on enhancing knowledge, data management, and awareness regarding the impact of climate change and the importance of adaptation and greenhouse gas emission reduction. It consists of three key development approaches:
- 3.1
- Enhancing Resource and Risk Management Efficiency
- (a)
- Promote and support the development of an integrated climate change database to forecast future climate change impacts on the agricultural sector;
- (b)
- Promote and support the development of risk management systems, such as early warning systems.
- 3.2
- Expanding Knowledge and Research
- 3.3
- Developing Databases and Knowledge Dissemination
- (a)
- Support the development of scientific, technological, and adaptive tools for climate change across different regions of the country to facilitate the Ministry of Agriculture and Cooperatives’ regional operations;
- (b)
- Promote diverse accessible knowledge dissemination methods tailored to different age groups, capacities, and levels of vulnerability to climate change impacts;
- (c)
- Promote and support farmers’ access to essential information (e.g., production, marketing, and regulations) to facilitate timely and informed decision-making in agricultural production.
- Key Development Area 4: Enhancing Workforce Capacity in the Agricultural Sector and Strengthening Partnerships to Address Climate Change Across All Sectors and LevelsThis development issue focuses on building human resource capacity in the agricultural sector and fostering collaboration among stakeholders to effectively respond to climate change. The key development approaches are as follows:
- 4.1
- Raising Awareness of Climate Change. It is to promote and support awareness-raising efforts on the negative impacts of climate change, the importance of adaptation, and participation in greenhouse gas emission reduction in the agricultural sector. These efforts should be implemented across all levels, including farmers, government administrators, the private sector, and consumers.
- 4.2
- Enhancing Personnel Competencies Aligned with Local Contexts
- (a)
- Promoting and supporting the upskilling and reskilling of farmers by providing knowledge and hands-on training on suitable adaptation methods. These include alternative low-water crops to replace rice, alternate wet and dry rice cultivation, heat stress reduction in livestock, and sustainable fishing practices amid changing monsoon patterns. This should be integrated with local educational institutions and supported with funding to address limitations in government staffing;
- (b)
- Developing and recruiting new-generation researchers to tackle climate change challenges. Key areas of expertise include plant, livestock, and aquatic physiology and breeding; genetic improvement in economically significant aquatic species; soil science; rice production technology; plant pathology; epidemiology and disease prevention in livestock and aquatic species; and entomology;
- (c)
- Promoting and supporting capacity building for personnel in the Measurement, Reporting, and Verification (MRV) of greenhouse gas emissions across the entire agricultural supply chain. This includes enhancing knowledge and expertise in agricultural climate action planning and implementation.
- Development Issue 5: Driving and Advancing Climate Change ActionsThis development issue focuses on promoting and accelerating climate change actions. It consists of three key development approaches:
- 5.1
- Enhancing Integration with Agencies Outside the Ministry of Agriculture and Cooperatives
- (a)
- Develop up-to-date climate change curricula that balance academic content with practical applications and meet the needs of stakeholders through a participatory approach;
- (b)
- Promote access to credit and financial support, which are key factors influencing farmers’ decisions to adapt to climate change;
- (c)
- Promote and support the development of measurable, reportable, and verifiable (MRV) processes for greenhouse gas emissions and reductions at the policy and measure levels by integrating efforts with relevant agencies;
- (d)
- Promote and support carbon credit trading in the agricultural sector, both in domestic and international markets;
- (e)
- Promote and support collaboration in applying Cold Chain Management and Development to reduce food loss and maintain agricultural product quality in response to climate change;
- (f)
- Promote and support the development of mechanisms and initiatives to enhance the added value of the low-carbon agricultural market;
- (g)
- Amend and revise laws and regulations that hinder the advancement of climate change solutions in the agricultural sector.
- 5.2
- Enhancing Integration Among Agencies Within the Ministry of Agriculture and Cooperatives
- (a)
- Develop regional action plans and budgets for climate change adaptation that align with the missions of different agencies within the Ministry of Agriculture and Cooperatives;
- (b)
- Encourage department-level agencies within the ministry to develop their own climate change adaptation plans that identify climate risks, prioritize necessary actions, and integrate climate adaptation into project planning, operations, and management, as well as drive project and activity implementation accordingly;
- (c)
- Develop a monitoring and evaluation system for climate-responsive agricultural action plans that ensures timely implementation, collaboration among all ministry agencies, and continuous improvement.
- 5.3
- Reforming and Developing Regulations, Laws, Standards, Incentives, and Environmental Policies to Influence Behavior
- (a)
- Establish regional and/or provincial climate change learning centers related to agriculture to promote knowledge transfer, increase awareness, and facilitate the adoption of Climate-Smart Adaptation Strategies;
- (b)
- Shift from unconditional farmer assistance policies to conditional support policies to enhance production efficiency and reduce climate change impacts;
- (c)
- Promote and support the use of economic measures and financial mechanisms to aid climate adaptation and greenhouse gas reduction in the agricultural sector.
5. Discussion
- Develop action plans tailored to the specific context of each region;
- Promote group-based farming for alternate wetting and drying (AWD) rice cultivation;
- Set clear targets for reducing greenhouse gas emissions in the agricultural sector;
- Create incentives for private investment in agricultural carbon credits and establish a well-functioning carbon market;
- Link research efforts with the Greenhouse Gas Management Organization (Public Organization) to improve carbon credit measurement and facilitate actual trading;
- Provide financial support to small-scale farmers who lack sufficient budget to participate in carbon trading;
- Prioritize adaptation strategies that enhance primary income sources first, before considering revenue from carbon credit sales;
- Increase awareness across the entire supply chain, from production to consumption, and design appropriate incentive measures;
- Establish demonstration sites or learning centers for integrated low-carbon agricultural production;
- Identify specific agricultural products that will be prioritized for greenhouse gas reduction during the action plan’s implementation period;
- Strengthen research and knowledge development to explore adaptive strategies and mitigation measures suited to local conditions, especially through Climate-Smart Agriculture approaches;
- Develop data collection, monitoring, and evaluation systems to track agricultural activities continuously.
Author Contributions
Funding
Institutional Review Board Statement
Informed Consent Statement
Data Availability Statement
Acknowledgments
Conflicts of Interest
References
- The World Bank: Energy Use (Kg of Oil Equivalent Per Capita) Home Page. Available online: https://data.worldbank.org/indicator/EG.USE.PCAP.KG.OE (accessed on 2 December 2024).
- Office of the National Economic and Social Development Council (NESDC). Available online: https://www.nesdc.go.th/nesdb_en/main.php?filename=index (accessed on 2 December 2024).
- Thailand Greenhouse Gas Management Organization (Public Organization). Net Zero GHG Emissions. Available online: https://www.tgo.or.th/2023/index.php/th/page/PAG232 (accessed on 5 December 2024).
- Department of Alternative Energy Development and Efficiency. Available online: https://pei.dede.go.th/my_MM/dataset/energy-balance-of-thailand (accessed on 12 December 2024).
- National Statistical Office Ministry of Information and Communication Technology. Available online: https://dl.parliament.go.th/handle/20.500.13072/425815 (accessed on 10 December 2024).
- OECD. Historical Crude Oil Import Prices (Indicator), Organization for Economic Co-operation and Development. Available online: https://data.oecd.org/energy/crude-oil-import-prices.htm (accessed on 5 December 2024).
- ONEP. Thailand’s Fourth Biennial Update Report, Office of Natural Resources and Environmental Policy and Planning. Available online: https://www.onep.go.th (accessed on 5 December 2024).
- Sutthichaimethee, P. A Framework on Setting Strategies for Enhancing the Efficiency of State Power use in Thailand’s Pursuit of a Green Economy. Int. J. Energy Econ. Policy 2024, 14, 108–120. [Google Scholar] [CrossRef]
- United Nations Framework Convention on Climate Change (UNFCCC, Bonn, Germany). The Paris Agreement: An Early Assessment. Environ. Policy Law 2014, 44, 485–488. [Google Scholar]
- United Nations Framework Convention on Climate Change (UNFCCC, Bonn, Germany). Global Progress in Environmental Law. Environ. Policy Law 2016, 46, 23–27. [Google Scholar]
- Sutthichaimethee, P. Forecasting Economic, Social and Environmental Growth in the Sanitary and Service Sector Based on Thailand’s Sustainable Development Policy. J. Ecol. Eng. 2018, 19, 205–210. [Google Scholar] [CrossRef]
- Pollution Control Department Ministry of Natural Resources and Environment. Enhancement and Conservation of National Environmental Quality Act, B.E. 2535. Available online: https://www.pcd.go.th/laws/5406/ (accessed on 11 October 2024).
- Thailand Development Research Institute, Carbon Capture Utilization, Carbon Capture Utilization and Storage. Available online: https://thaicarbonlabel.tgo.or.th/tools/files.php?mod=YjNKbllXNXBlbUYwYVc5dVgyUnZkMjVzYjJGaw&type=WDBaSlRFVlQ&files=TkRrPQ (accessed on 11 December 2024).
- Pollution Control Department Ministry of Natural Resources and Environment. Principle 4: In Order to Achieve Sustainable Development, Environmental Protection Shall Constitute an Integral Part of the Development Process and Cannot Be Considered in Isolation from It. Available online: https://www.pcd.go.th/laws/ (accessed on 11 December 2024).
- Wattana, B.; Sa-Ngiamvibool, W.; Sutthichaimethee, P.; Luo, J.H.; Wattana, S. A well-to-wheel analysis of greenhouse gas emissions from passenger vehicles in Thailand: Strategies for enhancing sustainable transportation. Int. J. Sustain. Dev. Plan. 2025, 20, 981–991. [Google Scholar] [CrossRef]
- Sutthichaimethee, P.; Ariyasajjakorn, D. Forecast of Carbon Dioxide Emissions from Energy Consumption in Industry Sectors in Thailand. Environ. Clim. Technol. 2018, 22, 107–117. [Google Scholar] [CrossRef]
- Sutthichaimethee, P.; Ariyasajjakorn, D. Forecasting Model on Carrying Capacity for Government’s Controlling Measure under Environmental Law in Thailand: Adapting Non-recursive Autoregression Based on the Var-X Model. Int. J. Energy Econ. Policy 2020, 10, 645–655. [Google Scholar] [CrossRef]
- Sutthichaimethee, P.; Mentel, G.; Voloshyn, V.; Mishchuk, H.; Bilan, Y. Modeling the Efficiency of Resource Consumption Management in Construction Under Sustainability Policy: Enriching the DSEM-ARIMA Model. Sustainability 2024, 16, 10945. [Google Scholar] [CrossRef]
- DEDE. Energy Balance of Thailand 2022, Department of Alternative Energy Development and Efficiency, Bangkok. Available online: https://www.dede.go.th/ (accessed on 5 December 2024).
- Gołasa, P.; Bieńkowska-Gołasa, W.; Cyrek, P.; Cyrek, M. Legal and Economic Framework for Carbon Farming and Carbon Certificates in the EU Using the Example of Poland. Sustainability 2025, 17, 232. [Google Scholar] [CrossRef]
- Was, A.; Tsybulska, J.; Sulewski, P.; Krupin, V.; Rawa, G.; Skorokhod, I. Energy Efficiency of Polish Farms Following EU Accession (2004–2021). Energies 2025, 18, 101. [Google Scholar] [CrossRef]
- Soilueang, P.; Chromkaew, Y.; Mawan, N.; Wicharuck, S.; Kullachonphuri, S.; Buachun, S.; Wu, Y.-T.; Chen, Y.; Iamsaard, K.; Khongdee, N. Temporal Dynamics of Soil Carbon Stocks and Mineralization Rates in Coffea arabica Agroforestry Systems. Agriculture 2025, 15, 14. [Google Scholar] [CrossRef]
- Kuranc, A.; Bawej, S.; Słowik, T.; Šarkan, B.; Dudziak, A.; Zając, G.; Paciolla, F.; Pascuzzi, S.; Łyp-Wrońska, K. Experimental Assessment of Energy-Ecological Parameters of Biogas-Powered Tractor Within Circular Economy. Energies 2025, 18, 7. [Google Scholar] [CrossRef]
- Wang, H.; Dong, W.; Shao, D.; Liu, L.; Liao, B.; Gu, W.; Tang, C.; Liu, J.; Hu, W.; Feng, J.; et al. Biochar Enhances Paddy Productivity, Carbon Sequestration, and Reduces Greenhouse Gas Emissions in the Middle Yangtze River Region. Agronomy 2024, 14, 3067. [Google Scholar] [CrossRef]
- Ye, Z.; Sun, Y.; Zhang, X.; Yao, Y. Estimation of Nitrous Oxide Emissions from Agricultural Sources and Characterization of Spatial and Temporal Changes in Anhui Province (China). Atmosphere 2024, 15, 1538. [Google Scholar] [CrossRef]
- Taha, N.M.; Bukhari, N.A.; Hatamleh, A.A.; Górnik, K.; Sabah, S.S.; Hashem, F.A.; El-Gabry, Y.A.-E.; Shahin, M.G.E.; Lamlom, S.F.; Ahmed, Y.N.; et al. An Attempt to Reduce Nitrogen Fertilization Levels and Their Impact on the Growth and Productivity of Garlic (Allium sativum L.) Under Different Planting Dates. Horticulturae 2024, 10, 1377. [Google Scholar] [CrossRef]
- Štreimikiene, D.; Bathaei, A.; Streimikis, J. Evaluating Agri-Environmental Indicators for Land Use Impact in Baltic Countries Using Multi-Criteria Decision-Making and Eurostat Data. Land 2024, 13, 2238. [Google Scholar] [CrossRef]
- Prigoreanu, I.; Ungureanu, B.A.; Ungureanu, G.; Ignat, G. Analysis of Sustainable Energy and Environmental Policies in Agriculture in the EU Regarding the European Green Deal. Energies 2024, 17, 6428. [Google Scholar] [CrossRef]
- Hamam, M.; Pergamo, R.; Manganiello, V.; Ferrigno, M. Agricultural Wastewater Reuse as a Circular Economy Model: Future Scenarios Considering Reg. (EU) 2020/741. Water 2024, 16, 3638. [Google Scholar] [CrossRef]
- Htike, S.L.; Khemacheewakul, J.; Techapun, C.; Phimolsiripol, Y.; Rachtanapun, P.; Phongthai, S.; Tochampa, W.; Taesuwan, S.; Jantanasakulwong, K.; Porninta, K.; et al. Production of Xylitol and Ethanol from Agricultural Wastes and Biotransformation of Phenylacetyl carbinol in Deep Eutectic Solvent. Agriculture 2024, 14, 2043. [Google Scholar] [CrossRef]
- Zafeiriou, E.; Galatsidas, S.; Moulogianni, C.; Sofios, S.; Arabatzis, G. Evaluating Enteric Fermentation- Driven Environmental Kuznets Curve Dynamics: A Bayesian Vector Autoregression Comparative Study of the EU and Least Developed Countries. Agriculture 2024, 14, 2036. [Google Scholar] [CrossRef]
- Ma, X.; Yang, Y.; Tan, Z.; Cheng, Y.; Wang, T.; Yang, L.; He, T.; Liang, S. Climate-Smart Drip Irrigation with Fertilizer Coupling Strategies to Improve Tomato Yield, Quality, Resources Use Efficiency and Mitigate Greenhouse Gases Emissions. Land 2024, 13, 1872. [Google Scholar] [CrossRef]
- Chen, Q.; Li, H.; Huang, H.; Wang, W. Effect of Seedling Rates on Crop Yield and Methane Emissions from Rice Paddies. Atmosphere 2024, 15, 1342. [Google Scholar] [CrossRef]
- Ma, J.; Xu, X.; Cui, B.; Hao, X.; Yang, J.; Yang, S.; Liu, L. Multivariate Regression-Based Dynamic Simulation Modeling of Cumulative Carbon Emissions from Fields. Sustainability 2024, 16, 9700. [Google Scholar] [CrossRef]
- Hu, J.; Dong, J.; Xu, D.; Yang, Q.; Liang, J.; Li, N.; Wang, H. Trends in Global Agricultural Carbon Emission Research: A Bibliometric Analysis. Agronomy 2024, 14, 2617. [Google Scholar] [CrossRef]
- Yu, J.; Pu, S.; Cheng, H.; Ren, C.; Lai, X.; Long, A. Promoting Sustainability: Collaborative Governance Pathways for Virtual Water Interactions and Environmental Emissions. Sustainability 2024, 16, 9309. [Google Scholar] [CrossRef]
- Eismann, M.-S.R.; Smit, H.P.J.; Poyda, A.; Loges, R.; Klus, C.; Taube, F. Combining the Eddy Covariance Method and Dry Matter Intake Measurements for Enteric Methane Emission Estimation from Grazing Dairy Cows. Atmosphere 2024, 15, 1269. [Google Scholar] [CrossRef]
- Tindwa, H.J.; Semu, E.W.; Singh, B.R. Circular Regenerative Agricultural Practices in Africa: Techniques and Their Potential for Soil Restoration and Sustainable Food Production. Agronomy 2024, 14, 2423. [Google Scholar] [CrossRef]
- Chowdhury, R.; Agarwal, V. Mathematical Models and Dynamic Global Warming Potential Calculation for Estimating the Role of Organic Amendment in Net-Zero Goal Achievement. Energies 2024, 17, 4819. [Google Scholar] [CrossRef]
- Nelson, D.G.; Mikhailova, E.A.; Zurqani, H.A.; Lin, L.; Hao, Z.; Post, C.J.; Schlautman, M.A.; Shepherd, G.B. Soil-Based Emissions and Context-Specific Climate Change Planning to Support the United Nations (UN) Sustainable Development Goal (SDG) on Climate Action: A Case Study of Georgia (USA). Land 2024, 13, 1669. [Google Scholar] [CrossRef]
- Chebykina, E.Y.; Abakumov, E.V. Agroecological Assessment of Arable Lands in the Leningrad Region of Russia under the Influence of Climate Change. Agronomy 2024, 14, 2113. [Google Scholar] [CrossRef]
- Liang, S.; Abd El Baki, H.M.; An, P.; Fujimaki, H. Determining Irrigation Volumes for Enhancing Profit and N Uptake Efficiency of Potato Using WASH_2D Model. Agronomy 2022, 12, 2372. [Google Scholar] [CrossRef]
- Rathod, S.; Chitikela, G.; Bandumula, N.; Ondrasek, G.; Ravichandran, S.; Sundaram, R.M. Modeling and Forecasting of Rice Prices in India during the COVID-19 Lockdown Using Machine Learning Approaches. Agronomy 2022, 12, 2133. [Google Scholar] [CrossRef]
- Liu, K.; Mu, Y.; Chen, X.; Ding, Z.; Song, M.; Xing, D.; Li, M. Towards Developing an Epidemic Monitoring and Warning System for Diseases and Pests of Hot Peppers in Guizhou, China. Agronomy 2022, 12, 1034. [Google Scholar] [CrossRef]
- Haider, S.A.; Naqvi, S.R.; Akram, T.; Umar, G.A.; Shahzad, A.; Sial, M.R.; Khaliq, S.; Kamran, M. LSTM Neural Network Based Forecasting Model for Wheat Production in Pakistan. Agronomy 2019, 9, 72. [Google Scholar] [CrossRef]
- Liu, K.; Zhang, C.; Yang, X.; Diao, M.; Liu, H.; Li, M. Development of an Occurrence Prediction Model for Cucumber Downy Mildew in Solar Greenhouses Based on Long Short-Term Memory Neural Network. Agronomy 2022, 12, 442. [Google Scholar] [CrossRef]
- Roy, D.K.; Sarkar, T.K.; Kamar, S.S.A.; Goswami, T.; Muktadir, M.A.; Al-Ghobari, H.M.; Alataway, A.; Dewidar, A.Z.; El-Shafei, A.A.; Mattar, M.A. Daily Prediction and Multi-Step Forward Forecasting of Reference Evapotranspiration Using LSTM and Bi-LSTM Models. Agronomy 2022, 12, 594. [Google Scholar] [CrossRef]
- Rathod, S.; Saha, A.; Patil, R.; Ondrasek, G.; Gireesh, C.; Anantha, M.S.; Rao, D.V.K.N.; Bandumula, N.; Senguttuvel, P.; Swarnaraj, A.K.; et al. Two-Stage Spatiotemporal Time Series Modelling Approach for Rice Yield Prediction & Advanced Agroecosystem Management. Agronomy 2021, 11, 2502. [Google Scholar] [CrossRef]
- Han, J.; Bae, J.H. Developing an Hourly Water Level Prediction Model for Small- and Medium-Sized Agricultural Reservoirs Using AutoML: Case Study of Baekhak Reservoir, South Korea. Agriculture 2025, 15, 71. [Google Scholar] [CrossRef]
- Tan, S.; Qiao, S.; Wang, H.; Chang, S. Predicting Wheat Potential Yield in China Based on Eco-Evolutionary Optimality Principles. Agriculture 2024, 14, 2058. [Google Scholar] [CrossRef]
- Karasu, T.; Leviakangas, P.; Edwards, D.J. Road Freight Demand Forecasting Using National Accounts’ Data—The Case of Cereals. Agriculture 2024, 14, 1980. [Google Scholar] [CrossRef]
- Zamani-Noor, N.; Klocke, B.; Dominic, A.R.; Brand, S.; Wusthoff, N.; Papenbrock, J. In-Vivo and In-Vitro Investigation of Germination Rate of Buried Sclerotia, and Variability in Carpogenic Germination Among Sclerotinia sclerotiorum Isolates. Agriculture 2024, 14, 1939. [Google Scholar] [CrossRef]
- Shin, S.H.; Deb, N.C.; Arulmozhi, E.; Tamrakar, N.; Ogundele, O.M.; Kook, J.; Kim, D.H.; Kim, H.T. Prediction of Carbon Dioxide Concentrations in Strawberry Greenhouse by Using Time Series Models. Agriculture 2024, 14, 1895. [Google Scholar] [CrossRef]
- Wang, Y.; Pang, G.; Wang, T.; Cong, X.; Pan, W.; Fu, X.; Wang, X.; Xu, Z. Future Reference Evapotranspiration Trends in Shandong Province, China: Based on SAO-CNN-BiGRU-Attention and CMIP6. Agriculture 2024, 14, 1556. [Google Scholar] [CrossRef]
- Yousif, I.A.H.; Sayed, A.S.A.; Abdelsamie, E.A.; Ahmed, A.A.R.S.; Saeed, M.; Mohamed, E.S.; Rebouh, N.Y.; Shokr, M.S. Efficiency of Geostatistical Approach for Mapping and Modeling Soil Site-Specific Management Zones for Sustainable Agriculture Management in Drylands. Agronomy 2024, 14, 2681. [Google Scholar] [CrossRef]
- Enders, W. Applied Econometrics Time Series; Wiley Series in Probability and Statistics; University of Alabama: Tuscaloosa, AL, USA, 2010. [Google Scholar]
- Harvey, A.C. Forecasting, Structural Time Series Models and the Kalman Filter; Cambridge University Press: Cambridge, UK, 1980. [Google Scholar]
- Dickey, D.A.; Fuller, W.A. Likelihood ratio statistics for autoregressive time series with a unit root. Econometrica 1981, 49, 1057–1072. [Google Scholar] [CrossRef]
- Bollen, K. Structural Equations with Latent Variables; John Wiley & Sons: New York, NY, USA, 1989. [Google Scholar]
- Pearl, J. Causality: Models, Reasoning, and Inference; Cambridge University Press: New York, NY, USA, 2000. [Google Scholar]
- Johansen, S.; Juselius, K. Maximum likelihood estimation and inference on cointegration with applications to the demand for money. Oxf. Bull. Econ. Stat. 1990, 52, 169–210. [Google Scholar] [CrossRef]
- Wattana, B.; Wattana, S.; Sa-Ngiamvibool, W.; Thanarak, P.; Luo, J. Electric vehicles penetration in Thailand: Rationale, challenges and strategies. J. Infrastruct. Policy Dev. 2024, 8, 6829. [Google Scholar] [CrossRef]
- Wattana, B.; Wattana, S. Implications of electric vehicle promotion policy on the road transport and electricity sectors for Thailand. Energy Strategy Rev. 2022, 42, 100901. [Google Scholar] [CrossRef]
- Sutthichaimethee, P.; Saraphirom, P.; Junsiri, C. A Path Analysis—Generalized Method of Moments Based on a NearestNeighbor with Observed Variable Model for Developing New Scenario Policies to Reduce Greenhouse Gas Emissions from Agricultural Waste Towards Sustainability. Appl. Sci. 2025, 15, 2160. [Google Scholar] [CrossRef]
- Sutthichaimethee, P.; Saraphirom, P.; Junsiri, C. An Advanced Model for Greenhouse Gas Emission Reduction in the Agricultural Sector to Achieve Sustainability for Thailand’s Future. Appl. Sci. 2025, 15, 1485. [Google Scholar] [CrossRef]
- Sutthichaimethee, P.; Sa-Ngiamvibool, W.; Thanarak, P.; Luo, J.; Wattana, S. A Long-Term CO2 Emission Forecasting Under Sustainability Policy Using an Advanced Model Complementing the PAARIMAX Framework. Agriculture 2024, 14, 2342. [Google Scholar] [CrossRef]




| Sector | Trace Statistic Test | Max-Eigen Statistic Test | Error Correction Mechanism ( ) | MacKinnon Critical Value (p-Value) | Type of Effect |
|---|---|---|---|---|---|
| Economic sector | 215.05 *** | 255.10 *** | −0.51 *** | p < 0.01 | Direct effect |
| Social sector | −0.35 *** | p < 0.01 | Direct effect | ||
| civil politics sector | −0.77 *** | p < 0.01 | Direct effect | ||
| environmental sector | 0.00009 *** | p < 0.01 | Indirect effect |
| Dependent Variables | Type of Effect | Independent Variables | |||
|---|---|---|---|---|---|
| Economic Sector | Social Sector | Environmental Sector | Civil Politics Sector | ||
| Economic sector | DE | - | - | - | 0.84 *** |
| IE | - | - | - | - | |
| Social sector | DE | 0.65 *** | - | - | 0.82 *** |
| IE | - | - | - | 0.01 *** | |
| Environmental sector | DE | 0.73 *** | 0.49 *** | - | 0.80 *** |
| IE | −0.1 *** | - | - | 0.21 *** | |
| Civil politics sector | DE | - | - | - | - |
| IE | - | - | - | - | |
| Forecasting Model | MAPE (%) | RMSE (%) | MAE (%) |
|---|---|---|---|
| ANN model | 6.56 | 7.11 | 7.89 |
| ANIF model | 6.35 | 6.79 | 6.87 |
| ML model | 6.21 | 6.35 | 6.44 |
| DL model | 5.87 | 5.91 | 5.98 |
| GM(1,1) | 5.79 | 5.85 | 5.92 |
| BG(1,1) | 5.50 | 5.61 | 5.75 |
| NN model | 5.46 | 5.59 | 5.72 |
| ARIMA model | 5.19 | 5.34 | 5.45 |
| CNN model | 4.79 | 4.87 | 4.95 |
| SVM model | 4.32 | 4.57 | 4.77 |
| GA model | 4.05 | 4.36 | 4.52 |
| Fuzzy Logic | 3.81 | 4.11 | 4.27 |
| Fuzzy VIKOR | 3.69 | 3.98 | 4.02 |
| ARIMAX model | 3.25 | 3.50 | 3.99 |
| LMMA-FAHP model | 1.05 | 1.30 | 1.35 |
Disclaimer/Publisher’s Note: The statements, opinions and data contained in all publications are solely those of the individual author(s) and contributor(s) and not of MDPI and/or the editor(s). MDPI and/or the editor(s) disclaim responsibility for any injury to people or property resulting from any ideas, methods, instructions or products referred to in the content. |
© 2025 by the authors. Licensee MDPI, Basel, Switzerland. This article is an open access article distributed under the terms and conditions of the Creative Commons Attribution (CC BY) license (https://creativecommons.org/licenses/by/4.0/).
Share and Cite
Sutthichaimethee, P.; Saraphirom, P.; Junsiri, C. Long-Term Strategy for Determining the Potential of Climate-Smart Agriculture to Maximize Efficiency Under Sustainability in Thailand. Sustainability 2025, 17, 3635. https://doi.org/10.3390/su17083635
Sutthichaimethee P, Saraphirom P, Junsiri C. Long-Term Strategy for Determining the Potential of Climate-Smart Agriculture to Maximize Efficiency Under Sustainability in Thailand. Sustainability. 2025; 17(8):3635. https://doi.org/10.3390/su17083635
Chicago/Turabian StyleSutthichaimethee, Pruethsan, Phayom Saraphirom, and Chaiyan Junsiri. 2025. "Long-Term Strategy for Determining the Potential of Climate-Smart Agriculture to Maximize Efficiency Under Sustainability in Thailand" Sustainability 17, no. 8: 3635. https://doi.org/10.3390/su17083635
APA StyleSutthichaimethee, P., Saraphirom, P., & Junsiri, C. (2025). Long-Term Strategy for Determining the Potential of Climate-Smart Agriculture to Maximize Efficiency Under Sustainability in Thailand. Sustainability, 17(8), 3635. https://doi.org/10.3390/su17083635

