Emittance Spectroscopy and Broadband Thermal Remote Sensing Applied to Phosphorite and Its Utility in Geoexploration: A Study in the Parts of Rajasthan, India
Abstract
1. Introduction
2. Study Area and Geology
3. Materials and Methods
3.1. Materials
3.1.1. Rock Samples
3.1.2. ASTER Data
3.1.3. Spectral Data
3.1.4. Mineralogical and Chemical Data
3.2. Methods
3.2.1. Spectral Data Collection and Analysis
3.2.2. Mineralogical and Chemical Analysis
3.2.3. ASTER Data Analysis and Field Validation
4. Results and Discussion
5. Conclusions
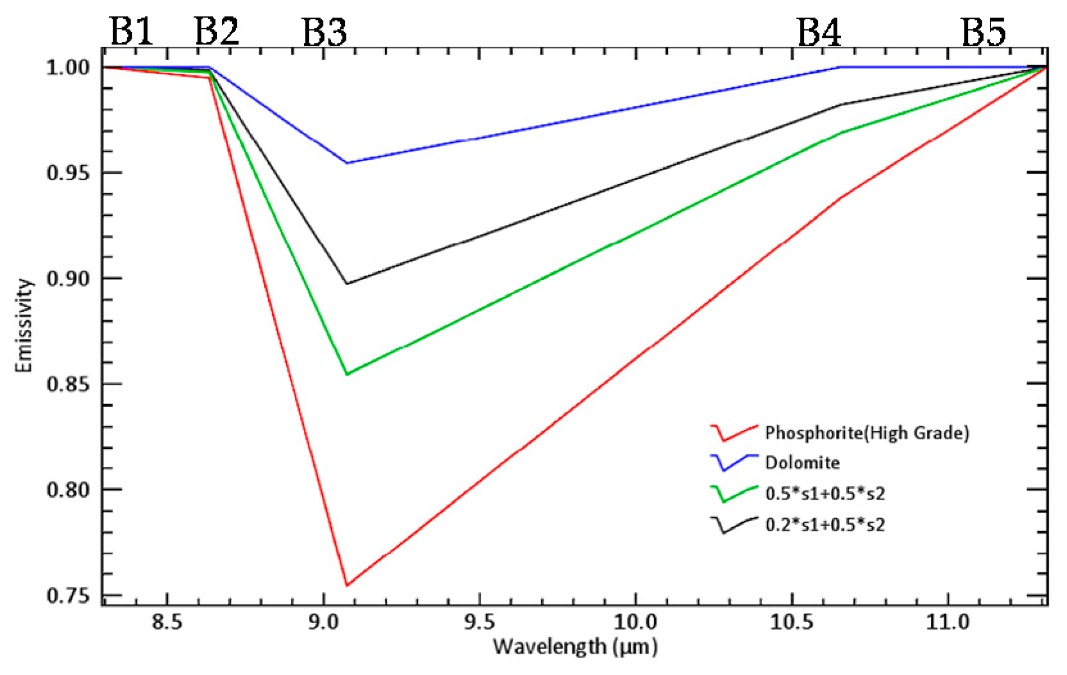
- Emissivity spectra of dolomite and phosphorite are distinct from each other. A strongly emissive doublet characterizes the emissivity spectra of phosphorite samples while dolomite is devoid of such emissivity minima.
- The spectral contrast of dolomite and phosphorite has been further generalized in the ASTER image spectra, and ASTER resampled laboratory spectra (Figure 6). The contrast in the emissivity is limited to the depth variation of the emissivity feature at 9.1 µm for dolomite and phosphorite. Phosphorite emissivity spectra have a larger depth with respect to the emissivity spectrum of dolomite having negligible depth at the wavelength.
- We proposed an RBD image-based on the emissivity contrast of dolomite and phosphate. The proposed RBD image of ASTER TIR bands can be used to delineate phosphorite provided the spatial mapping using the RBD image is restricted within the spatial extent of the host rock, i.e., dolomite or carbonate rocks. In this study, low-grade phosphorite exposures have intermediate value (yellow color), while high-grade phosphorite have high value (identified with yellow pixels)
- The proposed approach of broadband TIR band based phosphorite mapping is simple, reproducible and can be used for targeting phosphorite occurring under similar geological setups. Many important carbonate phosphorite deposits in the world have a similar geological setup.
Author Contributions
Funding
Acknowledgments
Conflicts of Interest
References
- Choudhuri, R. Two Decades of Phosphorite Investigations in India; Geological Society: London, UK, 1990; Volume 52, pp. 305–311. [Google Scholar]
- Lane, M.D.; Dyar, M.D.; Bishop, J.L. Spectra of phosphate minerals as obtained by visible-near infrared reflectance, thermal infrared emission, and Mössbauer laboratory analyses. In Proceedings of the Lunar and Planetary Science Conference, League City, TX, USA, 12–16 March 2007; Volume 38, p. 2210. [Google Scholar]
- Tucker, M.E. Sedimentary Petrology: An Introduction to the Origin of Sedimentary Rocks, 3rd ed.; John Wiley & Sons: Hoboken, NJ, USA, 1 April 2009. [Google Scholar]
- Buettner, K.J.; Kern, C.D. The determination of infrared emissivities of terrestrial surfaces. J. Geophys. Res. 1965, 70, 1329–1337. [Google Scholar] [CrossRef]
- Misi, A.; Kyle, J.R. Upper Proterozoic carbonate stratigraphy, diagenesis, and stromatolitic phosphorite formation, Irecê Basin, Bahia, Brazil. J. Sediment. Res. 1994, 64, 299–310. [Google Scholar]
- Cook, P.T.; Shergold, J.H. Phosphate Deposits of the World, Proterozoic and Cambrian Phosphorites; Cambridge University Press: Cambridge, UK, 1986; Volume 1, p. 386. [Google Scholar]
- Salisbury, J.W.; Walter, L.S. Thermal infrared (2.5–13.5 μm) spectroscopic remote sensing of igneous rock types on particulate planetary surfaces. J. Geophys. Res. 1989, 94, 9192–9202. [Google Scholar] [CrossRef]
- Salisbury, J.W.S.; D’Aria, D.M. Emissivity of terrestrial materials in the 8–14 µm atmospheric windows. Remote Sens. Environ. 1992, 42, 83–106. [Google Scholar] [CrossRef]
- Ninomiya, Y.; Fu, B.; Cudahy, T.J. Detecting lithology with advanced spaceborne thermal emission and reflection radiometer (ASTER) multispectral thermal infrared “radiance-at-sensor” data. Remote Sens. Environ. 2005, 99, 127–139. [Google Scholar] [CrossRef]
- Ding, C.; Liu, X.; Liu, W.; Liu, M.; Li, Y. Mafic and ultramafic and quartz-rich rock indices deduced from ASTER thermal infrared data using a linear approximation to the planck function. Ore Geol. Rev. 2014, 60, 161–173. [Google Scholar] [CrossRef]
- Ding, C.; Li, X.; Liu, X.; Zhao, L. Quartzose–mafic spectral feature space model: A methodology for extracting felsic rocks with ASTER thermal infrared radiance data. Ore Geol. Rev. 2015, 66, 283–292. [Google Scholar] [CrossRef]
- Guha, A.; Kumar, V. New ASTER derived thermal indices to delineate mineralogy of different granitoids of Archaean Craton and analysis of their potentials with reference to Ninomiya’s indices for delineating quartz and mafic minerals of granitoids-an analysis in Dharwar Craton, India. Ore Geol. Rev. 2016, 74, 76–87. [Google Scholar]
- Rani, K.; Guha, A.; Pal, S.K.; Vinod Kumar, K. Comparative analysis of potentials of ASTER thermal infrared band derived emissivity composite, radiance composite and emissivity-temperature composite in geological mapping of Proterozoic rocks in parts Banswara, Rajasthan. J. Indian Soc. Remote Sens. 2019. [Google Scholar] [CrossRef]
- Van der Meer, F.D.; Van der Werff, H.M.A.; Van Ruitenbeek, F.J.A.; Hecker, C.A.; Bakker, W.H.; Noomen, M.F.; Van der Meijde, M.; Carranza, E.J.M.; De Smeth, J.B.; Woldai, T. Multi-and hyperspectral geologic remote sensing: A review. Int. Appl. Earth Observ. Geoinf. 2012, 14, 112–128. [Google Scholar] [CrossRef]
- Yamaguchi, Y.; Kahle, A.B.; Tsu, H.; Kawakami, T.; Pniel, M. Overview of advanced spaceborne thermal emission and reflection radiometer (ASTER). IEEE Trans. Geosci. Remote Sens. 1998, 36, 1062–1071. [Google Scholar] [CrossRef]
- Abrams, M. The advanced spaceborne thermal emission and reflection radiometer (ASTER): Data products for the high spatial resolution imager on NASA’s Terra platform. Int. J. Remote Sens. 2000, 21, 847–859. [Google Scholar] [CrossRef]
- Becker, F.; Li, Z.L. Surface temperature and emissivity at various scales: Definition, measurement and related problems. Remote Sens. Rev. 1995, 12, 225–253. [Google Scholar] [CrossRef]
- Tang, H.; Li, Z.L. Quantitative Remote Sensing in Thermal Infrared: Theory and Applications; Springer: Heidelberg, Germany, 2014. [Google Scholar]
- Hubbard, B.E.; Crowley, J.K. Mineral mapping on the Chilean–Bolivian Altiplano using co-orbital ALI, ASTER and Hyperion imagery: Data dimensionality issues and solutions. Remote Sens. Environ. 2005, 99, 173–186. [Google Scholar] [CrossRef]
- Hewson, R.D.; Cudahy, T.J.; Mizuhiko, S.; Ueda, K.; Mauger, A.J. Seamless geological map generation using ASTER in the Broken Hill-Curnamona province of Australia. Remote Sens. Environ. 2005, 99, 159–172. [Google Scholar] [CrossRef]
- Chen, X.; Warner, T.A.; Campagna, D.J. Integrating visible, near-infrared and short-wave infrared hyperspectral and multispectral thermal imagery for geological mapping at Cuprite, Nevada. Remote Sens. Environ. 2007, 110, 344–356. [Google Scholar] [CrossRef]
- Bell, J.H.; Bowen, B.B.; Martini, B.A. Imaging spectroscopy of jarosite cement in the Jurassic Navajo Sandstone. Remote Sens. Environ. 2010, 114, 2259–2270. [Google Scholar] [CrossRef]
- Brandmeier, M. Remote sensing of Carhuarazo volcanic complex using ASTER imagery in Southern Peru to detect alteration zones and volcanic structures–a combined approach of image processing in ENVI and ArcGIS/ArcScene. Geocarto Int. 2010, 25, 629–648. [Google Scholar] [CrossRef]
- Bedini, E. Mineral mapping in the Kap Simpson complex, central East Greenland, using HyMap and ASTER remote sensing data. Adv. Space Res. 2011, 47, 60–73. [Google Scholar] [CrossRef]
- Ninomiya, Y.; Matsunaga, T.; Yamaguchi, Y.; Ogawa, K.; Rokugawa, S.; Uchida, K.; Muraoka, H.; Kaku, M. A comparison of thermal infrared emissivity spectra measured in situ, in the laboratory, and derived from thermal infrared multispectral scanner (TIMS) data in Cuprite, Nevada, USA. Int. J. Remote Sens. 1997, 18, 1571–1581. [Google Scholar] [CrossRef]
- Aboelkhair, H.; Ninomiya, Y.; Watanabe, Y.; Sato, I. Processing and interpretation of ASTER TIR data for mapping of rare-metal-enriched albite granitoids in the Central Eastern Desert of Egypt. J. Afr. Earth Sci. 2010, 58, 141–151. [Google Scholar] [CrossRef]
- Matar, S.S.; Bamousa, A.O. Integration of the ASTER thermal infra-red bands imageries with geological map of Jabal Al Hasir area, AsirTerrane, the Arabian Shield. J. Taibah Univ. Sci. 2013, 7, 1–7. [Google Scholar] [CrossRef]
- Yajima, T.; Yamaguchi, Y. Geological mapping of the Francistown area in north-eastern Botswana by surface temperature and spectral emissivity information derived from advanced spaceborne thermal emission and reflection radiometer (ASTER) thermal infrared data. Ore Geol. Rev. 2013, 53, 134–144. [Google Scholar] [CrossRef]
- Son, Y.S.; Kang, M.K.; Yoon, W.J. Lithological and mineralogical survey of the Oyu Tolgoi region, Southeastern Gobi, Mongolia using ASTER reflectance and emissivity data. Int. J. Appl. Earth Observ. Geoinf. 2014, 26, 205–216. [Google Scholar] [CrossRef]
- Guha, A.; Vinod Kumar, K.; Porwal, A.; Rani, K.; Singaraju, V.; Singh, R.P.; Khandelwal, M.K.; Raju, P.V.; Diwakar, P.G. Reflectance spectroscopy and ASTER based mapping of rock-phosphate in parts of Paleoproterozoic sequences of Aravalli Group of rocks, Rajasthan, India. Ore Geol. Rev. 2018. [Google Scholar] [CrossRef]
- Gaffey, S.J. Spectral reflectance of carbonate minerals in visible and near infrared: Anhydrous carbonate minerals. J. Geophys. Res. 1987, 92, 1429–1440. [Google Scholar] [CrossRef]
- Gaffey, S.J. Spectral reflectance of-carbonate minerals in the visible and near infrared (0.35–2.55 microns): Calcite, aragonite, and dolomite. Am. Mineral. 1986, 71, 151–162. [Google Scholar]
- Li, Z.L.; Becker, F.; Stoll, M.P.; Wan, Z. Evaluation of six methods for extracting relative emissivity spectra from thermal infrared images. Remote Sens. Environ. 1999, 69, 197–214. [Google Scholar] [CrossRef]
- Li, Z.L.; Tang, B.H.; Wu, H.; Ren, H.; Yan, G.; Wan, Z.; Trigo, I.F.; Sobrino, J.A. Satellite derived land surface temperature: Current status and perspectives. Remote Sens. Environ. 2013, 131, 14–37. [Google Scholar] [CrossRef]
- Guha, A.; Vinod Kumar, K. Integrated approach of using aster derived emissivity and radiant temperature for delineating different granitoids—a case study in parts of Dharwar Craton, India. Geocarto Int. 2015, 31, 860–869. [Google Scholar] [CrossRef]
- Roy, A.B.; Paliwal, B.S.; Shekhawat, S.S.; Nagori, D.K.; Golani, P.R.; Bejarniya, B.R. Stratigraphy of the Aravalli Supergroup in the type area. Geol. Soc. India Mem. 1988, 7, 121–138. [Google Scholar]
- Banerjee, D.M.; Schidlowski, M.; Arneth, J.D. Genesis of upper proterozoic Cambrian phosphorite deposits of India: Isotopic inferences from carbonate fluroapatite, carbonate and organic carbon. Precambrian Res. 1986, 33, 239–253. [Google Scholar] [CrossRef]
- Roy, A.B.; Paliwal, B.S. Evolution of lower Proterozoic epicontinental deposits: Stromatolite-bearing Aravalli rocks of Udaipur, Rajasthan, India. Precambrian Res. 1981, 14, 49–74. [Google Scholar] [CrossRef]
- Abrams, M.; Tsu, H.; Hulley, G.; Iwao, K.; Pieri, D.; Cudahy, T.; Kargel, J. The advanced spaceborne thermal emission and reflection radiometer (ASTER) after fifteen years: Review of global products. Int. J. Appl. Earth Observ. Geoinf. 2015, 38, 292–301. [Google Scholar] [CrossRef]
- NASA. ASTER. Available online: https://asterweb.jpl.nasa.gov/ (accessed on 1 January 2016).
- Hook, S.J.; Gabell, A.R.; Green, A.A.; Kealy, P.S. A comparison of techniques for extracting emissivity information fromthermal infrared data for geologic studies. Remote Sens. Environ. 1992, 42, 123–135. [Google Scholar] [CrossRef]
- Kealy, P.S.; Hook, S.J. Separating temperature and emissivity in thermal infrared multispectral scanner data: Implications for recovering land surface temperatures. IEEE Trans. Geosci. Remote Sens. 1993, 31, 1155–1164. [Google Scholar] [CrossRef]
- D&P Instruments. Available online: http://www.dpinstruments.com/ (accessed on 15 June 2018).
- Ruff, S.W.; Christensen, P.R.; Barbera, P.W.; Anderson, D.L. Quantitative thermal emission spectroscopy of minerals: A laboratory technique for measurement and calibration. J. Geophys. Res. 1997, 102, 14899–14913. [Google Scholar] [CrossRef]
- Christensen, P.R.; Bandfield, J.L.; Hamilton, V.E.; Howard, D.A.; Lane, M.D.; Piatek, J.L.; Ruff, S.W.; Stefanov, W.L. A thermal emission spectral library of rock-forming minerals. J. Geophys. Res. Planets 2000, 105, 9735–9739. [Google Scholar] [CrossRef]
- Kokaly, R.F.; Clark, R.N.; Swayze, G.A.; Livo, K.E.; Hoefen, T.M.; Pearson, N.C.; Wise, R.A.; Benzel, W.M.; Lowers, H.A.; Driscoll, R.L.; et al. USGS Spectral Library Version 7; No. 1035; US Geological Survey: Reston, VA, USA, 2017.
- Johnson, B.R.; Young, S.J. In-Scene Atmospheric Compensation: Application to SEBASS Data Collected at the ARM Site, Technical Report, Space and Environment Technology Center; The Aerospace Corporation: El Segundo, CA, USA, 1998. [Google Scholar]
- Hamilton, V.E.; Christensen, P.R.; McSween, H.Y., Jr. Determination of Martian meteorite lithologies and mineralogies using vibrational spectroscopy. J. Geophys. Res. Planets 1997, 102, 25593–25603. [Google Scholar] [CrossRef]
- Hamilton, V.E. Thermal infrared emission spectroscopy of the pyroxene mineral series. J. Geophys. Res. Planets 2000, 105, 9701–9716. [Google Scholar] [CrossRef]
- Mission, G. Colorimetric estimation of phosphorus in steels. Chemiker Zeitung 1908, 32, 633. [Google Scholar]
- Wynn, J.C.; Bazzari, M.; Bawajeeh, A.; Tarabulsi, Y.; Showail, A.; Hajnoor, M.O.; Techico, L.; Wynn, J.P. Phosphate Content Derived from Well Logging, Al Jalamid Phosphate Deposit, Northern Saudi Arabia; U.S. Geological Survey Mission Data File Report IR-869; U.S. Geological Survey: Reston, VA, USA, 1994; 9p.














| Sensor Type | Band Number | Spectral Width or Wavelength Range (µm) | Spatial Resolution (meter) | Radiometric Resolution (in bits) |
|---|---|---|---|---|
| Visible Infrared (VNIR) | 1 | 0.52–0.60 | 15 | 8 |
| 2 | 0.63–0.69 | 15 | 8 | |
| 3N | 0.78–0.86 | 15 | 8 | |
| Thermal Infrared Sensor (TIR) | Band 10 | 8.125–8.475 | 90 | 12 |
| Band 11 | 8.8475–8.825 | |||
| Band 12 | 8.925–9.275 | |||
| Band 13 | 10.25–10.95 | |||
| Band 14 | 10.95–11.65 |
| Nature of Samples | Sample No. and Details | Major Dominant Minerals Identified Using XRD Data (Arranged as Per the Decreasing Order of Relative Abundance) | P2O5 Content in % (XRF) |
|---|---|---|---|
| Phosphorite and dolomite | P1(low-grade phosphorite) | Fluroapatite, dolomite | 13.94 |
| P6 (Dolomite) | Dolomite, quartz | ---- | |
| P9 (Dolomite bearing high-grade phosphorite) | Fluroapatite, dolomite, | 38.53 | |
| P11 (Dolomite depleted high-grade phosphorite) | Fluroapatite, quartz | 39.11 |
© 2019 by the authors. Licensee MDPI, Basel, Switzerland. This article is an open access article distributed under the terms and conditions of the Creative Commons Attribution (CC BY) license (http://creativecommons.org/licenses/by/4.0/).
Share and Cite
Guha, A.; Yamaguchi, Y.; Chatterjee, S.; Rani, K.; Vinod Kumar, K. Emittance Spectroscopy and Broadband Thermal Remote Sensing Applied to Phosphorite and Its Utility in Geoexploration: A Study in the Parts of Rajasthan, India. Remote Sens. 2019, 11, 1003. https://doi.org/10.3390/rs11091003
Guha A, Yamaguchi Y, Chatterjee S, Rani K, Vinod Kumar K. Emittance Spectroscopy and Broadband Thermal Remote Sensing Applied to Phosphorite and Its Utility in Geoexploration: A Study in the Parts of Rajasthan, India. Remote Sensing. 2019; 11(9):1003. https://doi.org/10.3390/rs11091003
Chicago/Turabian StyleGuha, Arindam, Yasushi Yamaguchi, Snehamoy Chatterjee, Komal Rani, and Kumranchat Vinod Kumar. 2019. "Emittance Spectroscopy and Broadband Thermal Remote Sensing Applied to Phosphorite and Its Utility in Geoexploration: A Study in the Parts of Rajasthan, India" Remote Sensing 11, no. 9: 1003. https://doi.org/10.3390/rs11091003
APA StyleGuha, A., Yamaguchi, Y., Chatterjee, S., Rani, K., & Vinod Kumar, K. (2019). Emittance Spectroscopy and Broadband Thermal Remote Sensing Applied to Phosphorite and Its Utility in Geoexploration: A Study in the Parts of Rajasthan, India. Remote Sensing, 11(9), 1003. https://doi.org/10.3390/rs11091003

