Narrow-to-Broadband Conversion for Albedo Estimation on Urban Surfaces by UAV-Based Multispectral Camera
Abstract
1. Introduction
2. Materials and Methods
2.1. Study Cameras and Urban Surface Materials
2.2. Technical Process
2.3. In Situ Measurement and Ground-Based Remote Sensing
2.3.1. In Situ Measurement of Spectral Reflectance
2.3.2. Ground-Based Multispectral Remote Sensing
2.4. Calculation of Broadband and Narrowband Albedos
2.4.1. Calculation of Total Shortwave Albedo (Broadband Albedos)
2.4.2. Calculation of Narrowband Albedo Based on Spectral Reflectance
2.4.3. Calibration of Multispectral Images to Convert Raw Pixel Values to Albedo
2.5. Variable Selection for the Sensitivity Analysis
3. Model Development
3.1. Conversion Model
3.1.1. Model by Applying Regression-Based Strategy
- ADC-Micro:
- Mini-MCA6:
- RedEdge:
3.1.2. Model by Applying Physics-Based Strategy
3.1.3. Conversion Formulae by Improving Physically Based Methodology
3.2. Performance Evaluation
4. Result
4.1. Sensitivity Analysis
4.1.1. Sensitivity to the Season and SZA
4.1.2. Sensitivity to the Horizontal/Vertical Surface
4.1.3. Sensitivity to the Class of Materials
- Custom Model_reg for asphalt:
- Custom Model_reg for wooden slat:
4.2. Validation of Conversion Models
5. Discussion
5.1. Performance Evaluation
5.2. Sensitivity Analysis
5.3. Model Validation
5.4. Limitation
6. Conclusions
- The performances of the three developed NTB conversion models are acceptable for SEB modeling (RMSE < 0.033).
- ADC-Micro had the poorest performance. Mini-MCA6 performed the best with Model_reg and Model_phy_reg and the RedEdge performed better with Model_phy. However, their performances were similar (RMSE difference < 0.002). Data quality, processing complexity, and weight should also be considered while selecting a UAV-based multispectral camera.
- The developed models were not prone to the solar irradiance corresponding to the season and possible SZAs within the season if the multispectral observation was taken near the solar noon (late solar noon for vertical surface) and under clear sky.
- Model_phy_reg was least sensitive to the vertical surfaces with various azimuths, as compared to other two models.
- The developed models performed differently for the construction material class with the RMSE percentage difference of up to 11%. The worst application targets of Model_reg and Model_phy_reg were the asphalt and wooden slat surfaces.
- The potential for improving the customized NTB conversion models for different surface material classes could be a few percent, which is non-negligible for a case study with a high requirement to estimate albedo.
- 7.
- The developed models could estimate the total SW albedo with the fitted RMSEs of approximately 0.03, thus meeting the desired accuracy of SW albedo (approximately 0.05) for SEB modeling.
- 8.
- The model performances for Sample_V were consistent with those of Sample_D, indicating that the model performances were relatively stable when applied to an independent and random dataset.
- 9.
- Model_phy_reg’s performance was the most accurate, stable, and robust, suggesting that the physical constraint used to develop the NTB conversion model may contribute to its applicability and robustness.
Author Contributions
Funding
Conflicts of Interest
References
- Liang, S.; Li, X.; Wang, J. (Eds.) Broadband Albedo In Advanced Remote Sensing; Academic Press: Boston, MA, USA, 2012; Chapter 7- Broadband Albedo; pp. 175–233. [Google Scholar]
- Oke, T.R.; Mills, G.; Christen, A.; Voogt, J.A. Urban Climates; Cambridge University Press: Cambridge, UK, 2017. [Google Scholar]
- Oke, T.R. The energetic basis of the urban heat island. Q. J. R. Meteorol. Soc. 1982, 108, 1–24. [Google Scholar] [CrossRef]
- Trlica, A.; Hutyra, L.R.; Schaaf, C.L.; Erb, A.; Wang, J.A. Albedo, Land Cover, and Daytime Surface Temperature Variation Across an Urbanized Landscape. Earth’s Futur. 2017, 5, 1084–1101. [Google Scholar] [CrossRef]
- Sailor, D.J. Simulated Urban Climate Response to Modifications in Surface Albedo and Vegetative Cover. J. Appl. Meteorol. 1995, 34, 1694–1704. [Google Scholar] [CrossRef]
- Xu, X.; Asawa, T. Systematic numerical study on the effect of thermal properties of building surface on its temperature and sensible heat flux. Build. Environ. 2020, 168, 106485. [Google Scholar] [CrossRef]
- Yang, J.; Kumar, M.; Pyrgou, A.; Chong, A.; Santamouris, M.; Kolokotsa, D.; Siew, E.L. Green and cool roofs ’ urban heat island mitigation potential in tropical climate . Sol. Energy 2018, 173, 597–609. [Google Scholar]
- Douthat, T.; Morgan, J.D.; Alibašić, H.; Grant, A. Passive building characteristics, and summertime residential energy use: A spatial analysis of energy efficiency in Gainesville, FL. Build. Environ. 2020, 169, 106542. [Google Scholar] [CrossRef]
- Taha, H.; Akbari, H.; Rosenfeld, A.; Huang, J. Residential cooling loads and the urban heat island—the effects of albedo. Build. Environ. 1988, 23, 271–283. [Google Scholar] [CrossRef]
- Liang, S.; Stroeve, J.; Box, J.E. Mapping daily snow/ice shortwave broadband albedo from Moderate Resolution Imaging Spectroradiometer (MODIS): The improved direct retrieval algorithm and validation with Greenland in situ measurement. J. Geophys. Res. Space Phys. 2005, 110, 110. [Google Scholar] [CrossRef]
- Stroeve, J.; Box, J.E.; Wang, Z.; Schaaf, C.; Barrett, A. Re-evaluation of MODIS MCD43 Greenland albedo accuracy and trends. Remote. Sens. Environ. 2013, 138, 199–214. [Google Scholar] [CrossRef]
- Wright, P.; Bergin, M.; Dibb, J.; Lefer, B.; Dominé, F.; Carman, T.; Carmagnola, C.; Dumont, M.; Courville, Z.R.; Schaaf, C.; et al. Comparing MODIS daily snow albedo to spectral albedo field measurements in Central Greenland. Remote. Sens. Environ. 2014, 140, 118–129. [Google Scholar] [CrossRef]
- Klein, A.G.; Stroeve, J. Development and validation of a snow albedo algorithm for the MODIS instrument. Ann. Glaciol. 2002, 34, 45–52. [Google Scholar] [CrossRef]
- Liang, S. Narrowband to broadband conversions of land surface albedo I. Remote Sens. Environ. 2001, 76, 213–238. [Google Scholar] [CrossRef]
- Schaaf, C.; Gao, F.; Strahler, A.H.; Lucht, W.; Li, X.; Tsang, T.; Strugnell, N.C.; Zhang, X.; Jin, Y.; Muller, J.P.; et al. First operational BRDF, albedo nadir reflectance products from MODIS. Remote Sens. Environ. 2002, 83, 135–148. [Google Scholar] [CrossRef]
- Hedley, J.D.; Roelfsema, C.; Brando, V.E.; Giardino, C.; Kutser, T.; Phinn, S.; Mumby, P.J.; Barrilero, O.; Laporte, J.; Koetz, B. Coral reef applications of Sentinel-2: Coverage, characteristics, bathymetry and benthic mapping with comparison to Landsat 8. Remote Sens. Environ. 2018, 216, 598–614. [Google Scholar] [CrossRef]
- Bonafoni, S.; Sekertekin, A. Albedo Retrieval from Sentinel-2 by New Narrow-to-Broadband Conversion Coefficients. IEEE Geosci. Remote Sens. Lett. 2020, 1–5. [Google Scholar] [CrossRef]
- Cao, C.; Lee, X.; Muhlhausen, J.; Bonneau, L.; Xu, J. Measuring Landscape Albedo Using Unmanned Aerial Vehicles. Remote Sens. 2018, 10, 1812. [Google Scholar] [CrossRef]
- Calleja, J.F.; Recondo, C.; Peón, J.; Fernández, S.; De La Cruz, F.; González-Piqueras, J. A New Method for the Estimation of Broadband Apparent Albedo Using Hyperspectral Airborne Hemispherical Directional Reflectance Factor Values. Remote Sens. 2016, 8, 183. [Google Scholar] [CrossRef]
- Markelin, L.; Simis, S.G.; Hunter, P.; Spyrakos, E.; Tyler, A.; Clewley, D.; Groom, S. Atmospheric Correction Performance of Hyperspectral Airborne Imagery over a Small Eutrophic Lake under Changing Cloud Cover. Remote Sens. 2016, 9, 2. [Google Scholar] [CrossRef]
- Heldens, W.; Heiden, U.; Esch, T.; Mueller, A.; Dech, S. Integration of remote sensing based surface information into a three-dimensional microclimate model. ISPRS J. Photogramm. Remote. Sens. 2017, 125, 106–124. [Google Scholar] [CrossRef]
- Canisius, F.; Wang, S.; Croft, H.; Leblanc, S.G.; Russell, H.A.; Chen, J.M.; Wang, R. A UAV-Based Sensor System for Measuring Land Surface Albedo: Tested over a Boreal Peatland Ecosystem. Drones 2019, 3, 27. [Google Scholar] [CrossRef]
- Calleja, J.F.; Hellmann, C.; Mendiguren, G.; Punalekar, S.; Peón, J.; MacArthur, A.; Alonso, L. Relating Hyperspectral Airborne Data to Ground Measurements in a Complex and Discontinuous Canopy. Acta Geophys. 2015, 63, 1499–1515. [Google Scholar] [CrossRef]
- Arroyo-Mora, J.P.; Kalacska, M.; Inamdar, D.; Soffer, R.; Lucanus, O.; Gorman, J.; Naprstek, T.; Schaaf, E.S.; Ifimov, G.; Elmer, K.; et al. Implementation of a UAV–Hyperspectral Pushbroom Imager for Ecological Monitoring. Drones 2019, 3, 12. [Google Scholar] [CrossRef]
- Lei, D.; Mao, Z.; Li, X.; Hu, Z.; Duan, F.; Yan, Y. UAV-based multispectral remote sensing for precision agriculture: A comparison between different cameras. ISPRS J. Photogramm. Remote. Sens. 2018, 146, 124–136. [Google Scholar] [CrossRef]
- Liang, S.; Wang, N.; He, T.; Yu, Y.; Yu, Y. Remote sensing of earth’s energy budget: Synthesis and review. Int. J. Digit. Earth 2019, 12, 1–44. [Google Scholar] [CrossRef]
- Krayenhoff, E.S.; Voogt, J.A. A microscale three-dimensional urban energy balance model for studying surface temperatures. Bound. Layer Meteorol. 2007, 123, 433–461. [Google Scholar] [CrossRef]
- Idczak, M.; Groleau, D.; Mestayer, P.G.; Rosant, J.-M.; Sini, J.-F. An application of the thermo-radiative model SOLENE for the evaluation of street canyon energy balance. Build. Environ. 2010, 45, 1262–1275. [Google Scholar] [CrossRef]
- Liang, S.; Shuey, C.J.; Russ, A.L.; Fang, H.; Chen, M.; Walthall, C.L.; Daughtry, C.; Hunt, R., Jr. Narrowband to broadband conversions of land surface albedo: II. Validation. Remote Sens. Environ. 2003, 84, 25–41. [Google Scholar] [CrossRef]
- Qu, Y.; Liang, S.; Liu, Q.; He, T.; Liu, S.; Li, X. Mapping Surface Broadband Albedo from Satellite Observations: A Review of Literatures on Algorithms and Products. Remote Sens. 2015, 7, 990–1020. [Google Scholar] [CrossRef]
- Wang, Z.; Erb, A.M.; Schaaf, C.; Sun, Q.; Liu, Y.; Yang, Y.; Shuai, Y.; Casey, K.A.; Román, M.O. Early spring post-fire snow albedo dynamics in high latitude boreal forests using Landsat-8 OLI data. Remote. Sens. Environ. 2016, 185, 71–83. [Google Scholar] [CrossRef]
- Shuai, Y.; Masek, J.G.; Gao, F.; Schaaf, C. An algorithm for the retrieval of 30-m snow-free albedo from Landsat surface reflectance and MODIS BRDF. Remot. Sens. Environ. 2011, 115, 2204–2216. [Google Scholar] [CrossRef]
- Hakala, T.; Suomalainen, J.; Peltoniemi, J.I. Acquisition of Bidirectional Reflectance Factor Dataset Using a Micro Unmanned Aerial Vehicle and a Consumer Camera. Remote Sens. 2010, 2, 819–832. [Google Scholar] [CrossRef]
- Strahler, A.H.; Muller, J.; Lucht, W.; Schaaf, C.; Tsang, T.; Gao, F.; Li, X.; Lewis, P.; Barnsley, M.J. MODIS BRDF/Albedo product: Algorithm theoretical basis document version 5.0; NASA: Washington, DC, USA, 1999; pp. 1–53. [Google Scholar]
- Ryan, J.C.; Hubbard, A.; Box, J.E.; Brough, S.; Cameron, K.A.; Cook, J.M.; Cooper, M.G.; Doyle, S.H.; Edwards, A.; Holt, T.O.; et al. Derivation of High Spatial Resolution Albedo from UAV Digital Imagery: Application over the Greenland Ice Sheet. Front. Earth Sci. 2017, 5. [Google Scholar] [CrossRef]
- Valiente, J.A.; Núñez, M.; Lopez-Baeza, E.; Moreno, J.F. Narrow-band to broad-band conversion for Meteosat-visiible channel and broad-band albedo using both AVHRR-1 and -2 channels. Int. J. Remote Sens. 1995, 16, 1147–1166. [Google Scholar] [CrossRef]
- Akkermans, T.; Clerbaux, N. Narrowband-to-Broadband Conversions for Top-of-Atmosphere Reflectance from the Advanced Very High Resolution Radiometer (AVHRR). Remote Sens. 2020, 12, 305. [Google Scholar] [CrossRef]
- Song, J.; Gao, W. An Improved Method to Derive Surface Albedo from Narrowband AVHRR Satellite Data: Narrowband to Broadband Conversion. J. Appl. Meteorol. 1999, 38, 239–249. [Google Scholar] [CrossRef]
- Peng, S.; Wen, J.; Xiao, Q.; You, D.; Dou, B.; Liu, Q.; Tang, Y. Multi-Staged NDVI Dependent Snow-Free Land-Surface Shortwave Albedo Narrowband-to-Broadband (NTB) Coefficients and Their Sensitivity Analysis. Remote. Sens. 2017, 9, 93. [Google Scholar] [CrossRef]
- Tasumi, M.; Allen, R.G.; Trezza, R. At-Surface Reflectance and Albedo from Satellite for Operational Calculation of Land Surface Energy Balance. J. Hydrol. Eng. 2008, 13, 51–63. [Google Scholar] [CrossRef]
- Li, Z.; Erb, A.; Sun, Q.; Liu, Y.; Shuai, Y.; Wang, Z.; Boucher, P.; Schaaf, C. Preliminary assessment of 20-m surface albedo retrievals from sentinel-2A surface reflectance and MODIS/VIIRS surface anisotropy measures. Remote Sens. Environ. 2018, 217, 352–365. [Google Scholar] [CrossRef]
- Ying, W.; Wu, H.; Li, Z.-L. Net Surface Shortwave Radiation Retrieval Using Viirs Data. In Proceedings of the IGARSS 2018 - 2018 IEEE International Geoscience and Remote Sensing Symposium, Valencia, Spain, 22–27 July 2018; pp. 2623–2626. [Google Scholar] [CrossRef]
- Liu, Y.; Wang, Z.; Sun, Q.; Erb, A.M.; Li, Z.; Schaaf, C.; Zhang, X.; Román, M.O.; Scott, R.L.; Zhang, Q.; et al. Evaluation of the VIIRS BRDF, Albedo and NBAR products suite and an assessment of continuity with the long term MODIS record. Remote Sens. Environ. 2017, 201, 256–274. [Google Scholar] [CrossRef]
- Mori, M.; Iwata, T.; Minami, Y.; Kato, S.; Akamatsu, Y. Spectral Analysis of Building Materials Used in Japan Int. Arch. Photogramm. Remote Sens. Spat. Inf. Sci. 2004, 37, 49–54. [Google Scholar]
- Hoyano, A.; Asawa, T.; Murakami, A.; Sato, R.; Nakaohkubo, K. 3D-CAD MODELING OF A SUBSTANTIAL URBAN AREA AND HEAT ISLAND POTENTIAL OF URBAN BLOCKS IN SUMMER: Analysis of the thermal environment in a substantial urban area with regard to land use and land cover using numerical simulation Part 1. J. Environ. Eng. 2007, 72, 97–104. [Google Scholar] [CrossRef]
- Von Bueren, S.K.; Burkart, A.; Hueni, A.; Rascher, U.; Tuohy, M.P.; Yule, I.J. Deploying four optical UAV-based sensors over grassland: Challenges and limitations. Biogeosciences 2015, 12, 163–175. [Google Scholar] [CrossRef]
- Baldinelli, G.; Bonafoni, S.; Rotili, A. Albedo Retrieval from Multispectral Landsat 8 Observation in Urban Environment: Algorithm Validation by in situ Measurements. IEEE J. Sel. Top. Appl. Earth Obs. Remote Sens. 2017, 10, 1–8. [Google Scholar] [CrossRef]
- Kotthaus, S.; Smith, T.E.; Wooster, M.J.; Grimmond, C.S.B. Derivation of an urban materials spectral library through emittance and reflectance spectroscopy. ISPRS J. Photogramm. Remote Sens. 2014, 94, 194–212. [Google Scholar] [CrossRef]
- Cloutis, E.A. Spectral Reflectance Properties of Hydrocarbons: Remote-Sensing Implications. Science 1989, 245, 165–168. [Google Scholar] [CrossRef]
- Gueymard, C.A. Parameterized transmittance model for direct beam and circumsolar spectral irradiance. Sol. Energy 2001, 71, 325–346. [Google Scholar] [CrossRef]
- Gueymard, C.A. SMARTS2, A Simple Model. of the Atmospheric Radiative Transfer of Sunshine: Algorithms and Performance Assessment; FSEC-PF-270-95; Florida Solar Energy Center: Cocoa, FL, USA, 1995. [Google Scholar]
- Gueymard, C.A. The SMARTS spectral irradiance model after 25 years: New developments and validation of reference spectra. Sol. Energy 2019, 187, 233–253. [Google Scholar] [CrossRef]
- Gueymard, C.A. Interdisciplinary applications of a versatile spectral solar irradiance model: A review. Energy 2005, 30, 1551–1576. [Google Scholar] [CrossRef]
- Gueymard, C.A. Prediction and validation of cloudless shortwave solar spectra incident on horizontal, tilted, or tracking surfaces. Sol. Energy 2008, 82, 260–271. [Google Scholar] [CrossRef]
- Cierniewski, J.; Karnieli, A.; Kaźmierowski, C.; Krolewicz, S.; Piekarczyk, J.; Lewińska, K.; Goldberg, A.; Wesolowski, R.; Orzechowski, M. Effects of Soil Surface Irregularities on the Diurnal Variation of Soil Broadband Blue-Sky Albedo. IEEE J. Sel. Top. Appl. Earth Obs. Remote Sens. 2015, 8, 493–502. [Google Scholar] [CrossRef]
- MicaSense-RedEdge TM. User Manual Multispectral Camera; MicaSense, Inc.: Seattle, WA, USA, 2015; pp. 1–27. [Google Scholar]
- Gul, M.; Kotak, Y.; Muneer, T.; Ivanova, S. Enhancement of Albedo for Solar Energy Gain with Particular Emphasis on Overcast Skies. Energies 2018, 11, 2881. [Google Scholar] [CrossRef]
- Brest, C.L.; Goward, S.N. Deriving surface albedo measurements from narrow band satellite data. Int. J. Remote Sens. 1987, 8, 351–367. [Google Scholar] [CrossRef]
- Franch, B.; Vermote, E.; Skakun, S.; Roger, J.-C.; Artigas, A.S.-; Villaescusa-Nadal, J.L.; Masek, J. Toward Landsat and Sentinel-2 BRDF Normalization and Albedo Estimation: A Case Study in the Peruvian Amazon Forest. Front. Earth Sci. 2018, 6, 185. [Google Scholar] [CrossRef]











| Sensor | Blue Band/B (nm) | Green Band/G (nm) | Red Band/R (nm) | Red- Edge Band/RE (nm) | NIR Band /NIR1 (nm) | NIR Band /NIR2 (nm) | Resolution (Pixels) /Weight (g) |
|---|---|---|---|---|---|---|---|
| ADC-Micro | - | 520–600 | 630–690 | - | 760–900 | - | 2018 × 1536/ 200 |
| Mini-MCA6 | 485–495 | 545–555 | 675–685 | 715–725 | 795–805 | 890–910 | 1280 × 1024/ 700 |
| RedEdge | 465–485 | 550–570 | 663–673 | 712–722 | 820–860 | - | 1280 × 960/ 150 |
| Case | Horizontal/ Vertical Surface | Season | Solar Zenith Angle | Surface Azimuth (°) | Case | Horizontal /Vertical Surface | Season | Solar Zenith Angle | Surface Azimuth |
|---|---|---|---|---|---|---|---|---|---|
| Rs_1 | Horizontal | Winter | 40° | - | Rs_13 | Vertical | Winter | 70° | 50° |
| Rs_2 | Horizontal | Winter | 50° | - | Rs_14 | Vertical | Winter | 70° | 140° |
| Rs_3 | Horizontal | Winter | 70° | - | Rs_15 | Vertical | Winter | 70° | 230° |
| Rs_4 | Horizontal | Winter | 80° | - | Rs_16 | Vertical | Winter | 70° | 320° |
| Rs_5 | Horizontal | Summer | 0° | - | Rs_17 | Vertical | Summer | 30° | 50° |
| Rs_6 | Horizontal | Summer | 10° | - | Rs_18 | Vertical | Summer | 30° | 140° |
| Rs_7 | Horizontal | Summer | 20° | - | Rs_19 | Vertical | Summer | 30° | 230° |
| Rs_8 | Horizontal | Summer | 30° | - | Rs_20 | Vertical | Summer | 30° | 320° |
| Rs_9 | Vertical | Winter | 50° | 50° | Rs_21 | Vertical | Summer | 40° | 50° |
| Rs_10 | Vertical | Winter | 50° | 140° | Rs_22 | Vertical | Summer | 40° | 140° |
| Rs_11 | Vertical | Winter | 50° | 230° | Rs_23 | Vertical | Summer | 40° | 230° |
| Rs_12 | Vertical | Winter | 50° | 320° | Rs_24 | Vertical | Summer | 40° | 320° |
| Sample | Horizontal/Vertical Surface | Surface Azimuth | Sample | Horizontal/Vertical Surface | Surface Azimuth |
|---|---|---|---|---|---|
| Concrete_1 | Vertical | 50° | coating_1 | Horizontal | - |
| Concrete_2 | Horizontal | - | coating_2 | Horizontal | - |
| Concrete_3 | Vertical | 230° | coating_3 | Vertical | 140° |
| Stone_2 | Horizontal | - | coating_4 | Vertical | 140° |
| Stone_1 | Horizontal | - | coating_5 | Vertical | 320° |
| Stone_3 | Horizontal | - | Asphalt_1 | Horizontal | - |
| Tile_1 | Vertical | 50° | Asphalt_2 | Horizontal | - |
| Tile_2 | Vertical | 230° | Asphalt_3 | Horizontal | - |
| Tile_3 | Vertical | 140° | Woodenslabs_1 | Horizontal | - |
| Brick_1 | Horizontal | - | Woodenslabs_2 | Horizontal | - |
| Brick_2 | Horizontal | - | Woodenslabs_3 | Horizontal | - |
| Brick_3 | Horizontal | - |
| Sensor | ADC-Micro | Mini-MCA6 | RedEdge | |||||||||||
|---|---|---|---|---|---|---|---|---|---|---|---|---|---|---|
| Variable * | 0.9141 | 0.9193 | 0.9282 | |||||||||||
| Channel | G | R | NIR | B | G | R | RE | NIR1 | NIR2 | B | G | R | RE | NIR |
| Rs_1 | 0.3632 | 0.1462 | 0.4950 | 0.2197 | 0.1440 | 0.1208 | 0.0697 | 0.0892 | 0.3695 | 0.2157 | 0.1510 | 0.1076 | 0.0904 | 0.4459 |
| Rs_2 | 0.3571 | 0.1472 | 0.4999 | 0.2153 | 0.1430 | 0.1207 | 0.0704 | 0.0912 | 0.3722 | 0.2113 | 0.1497 | 0.1077 | 0.0917 | 0.4503 |
| Rs_3 | 0.3382 | 0.1477 | 0.5180 | 0.2039 | 0.1375 | 0.1185 | 0.0724 | 0.0964 | 0.3843 | 0.2000 | 0.1433 | 0.1059 | 0.0948 | 0.4668 |
| Rs_4 | 0.3225 | 0.1438 | 0.5372 | 0.1998 | 0.1280 | 0.1121 | 0.0737 | 0.1012 | 0.3982 | 0.1957 | 0.1330 | 0.1003 | 0.0967 | 0.4847 |
| Rs_5 | 0.3850 | 0.1515 | 0.4682 | 0.2333 | 0.1519 | 0.1265 | 0.0702 | 0.0907 | 0.3405 | 0.2291 | 0.1595 | 0.1127 | 0.0915 | 0.4184 |
| Rs_6 | 0.3843 | 0.1515 | 0.4689 | 0.2329 | 0.1517 | 0.1264 | 0.0702 | 0.0907 | 0.3412 | 0.2287 | 0.1593 | 0.1126 | 0.0914 | 0.4191 |
| Rs_7 | 0.3839 | 0.1517 | 0.4690 | 0.2325 | 0.1518 | 0.1266 | 0.0703 | 0.0909 | 0.3410 | 0.2283 | 0.1594 | 0.1127 | 0.0916 | 0.4191 |
| Rs_8 | 0.3830 | 0.1522 | 0.4694 | 0.2317 | 0.1519 | 0.1268 | 0.0704 | 0.0914 | 0.3409 | 0.2275 | 0.1594 | 0.1130 | 0.0919 | 0.4194 |
| Rs_9 | 0.6459 | 0.1233 | 0.2345 | 0.4828 | 0.1603 | 0.1100 | 0.0519 | 0.0598 | 0.1477 | 0.4741 | 0.1744 | 0.0963 | 0.0672 | 0.1992 |
| Rs_10 | 0.3516 | 0.1503 | 0.5024 | 0.2068 | 0.1458 | 0.1236 | 0.0716 | 0.0923 | 0.3729 | 0.2030 | 0.1526 | 0.1102 | 0.0932 | 0.4520 |
| Rs_11 | 0.3345 | 0.1513 | 0.5186 | 0.1914 | 0.1443 | 0.1238 | 0.0726 | 0.0941 | 0.3868 | 0.1878 | 0.1506 | 0.1106 | 0.0945 | 0.4674 |
| Rs_12 | 0.6328 | 0.1283 | 0.2427 | 0.4654 | 0.1643 | 0.1145 | 0.0540 | 0.0621 | 0.1525 | 0.4570 | 0.1782 | 0.1003 | 0.0698 | 0.2060 |
| Rs_13 | 0.6124 | 0.1301 | 0.2612 | 0.4518 | 0.1598 | 0.1127 | 0.0573 | 0.0670 | 0.1644 | 0.4431 | 0.1731 | 0.0990 | 0.0742 | 0.2221 |
| Rs_14 | 0.2918 | 0.1541 | 0.5581 | 0.1578 | 0.1375 | 0.1227 | 0.0762 | 0.1022 | 0.4168 | 0.1548 | 0.1423 | 0.1099 | 0.0997 | 0.5042 |
| Rs_15 | 0.2764 | 0.1544 | 0.5732 | 0.1448 | 0.1355 | 0.1224 | 0.0768 | 0.1037 | 0.4301 | 0.1420 | 0.1398 | 0.1097 | 0.1006 | 0.5187 |
| Rs_16 | 0.5997 | 0.1347 | 0.2695 | 0.4357 | 0.1631 | 0.1166 | 0.0593 | 0.0693 | 0.1694 | 0.4272 | 0.1762 | 0.1025 | 0.0767 | 0.2290 |
| Rs_17 | 0.6675 | 0.1247 | 0.2116 | 0.4953 | 0.1680 | 0.1143 | 0.0493 | 0.0573 | 0.1283 | 0.4867 | 0.1827 | 0.0997 | 0.0643 | 0.1778 |
| Rs_18 | 0.6504 | 0.1321 | 0.2216 | 0.4714 | 0.1743 | 0.1210 | 0.0521 | 0.0605 | 0.1336 | 0.4632 | 0.1889 | 0.1056 | 0.0680 | 0.1859 |
| Rs_19 | 0.3977 | 0.1523 | 0.4546 | 0.2426 | 0.1551 | 0.1280 | 0.0698 | 0.0897 | 0.3282 | 0.2382 | 0.1631 | 0.1139 | 0.0909 | 0.4052 |
| Rs_20 | 0.5086 | 0.1439 | 0.3519 | 0.3422 | 0.1641 | 0.1254 | 0.0622 | 0.0770 | 0.2422 | 0.3362 | 0.1750 | 0.1107 | 0.0811 | 0.3085 |
| Rs_21 | 0.6709 | 0.1232 | 0.2097 | 0.5006 | 0.1664 | 0.1127 | 0.0489 | 0.0569 | 0.1270 | 0.4918 | 0.1812 | 0.0982 | 0.0638 | 0.1762 |
| Rs_22 | 0.6478 | 0.1331 | 0.2233 | 0.4685 | 0.1747 | 0.1217 | 0.0527 | 0.0612 | 0.1343 | 0.4602 | 0.1893 | 0.1063 | 0.0687 | 0.1872 |
| Rs_23 | 0.3800 | 0.1544 | 0.4703 | 0.2261 | 0.1542 | 0.1289 | 0.0712 | 0.0921 | 0.3407 | 0.2220 | 0.1617 | 0.1149 | 0.0928 | 0.4199 |
| Rs_24 | 0.4766 | 0.1472 | 0.3807 | 0.3128 | 0.1622 | 0.1269 | 0.0646 | 0.0811 | 0.2656 | 0.3072 | 0.1723 | 0.1122 | 0.0843 | 0.3354 |
| R2 | RMSE | RSE | MBE | ||
|---|---|---|---|---|---|
| Regression-Based (Model_reg) | ADC-Micro | 0.9796 | 0.0227 | 0.0227 | 7.42691 × 10−16 |
| Mini-MCA6 | 0.9827 | 0.0209 | 0.0209 | 4.29695 × 10−16 | |
| RedEdge | 0.9805 | 0.0222 | 0.0222 | 5.70368 × 10−16 | |
| Physically Based (Model_phy) | ADC-Micro | 0.9568 | 0.0330 | 0.0330 | 0.0189 |
| Mini-MCA6 | 0.9673 | 0.0287 | 0.0287 | 0.0182 | |
| RedEdge | 0.9700 | 0.0275 | 0.0275 | 0.0152 | |
| Improved Physically Based (Model_phy_reg) | ADC-Micro | 0.9835 | 0.0204 | 0.0204 | −0.0022 |
| Mini-MCA6 | 0.9907 | 0.0153 | 0.0153 | −0.0016 | |
| RedEdge | 0.9881 | 0.0173 | 0.0173 | −0.0022 |
| Sensor | ADC-Micro | RedEdge | ||||||||||||||
|---|---|---|---|---|---|---|---|---|---|---|---|---|---|---|---|---|
| Channel | G | R | NIR | Constant | B | G | R | RE | NIR | Constant | ||||||
| General | 0.7028 | −0.4155 | 0.6222 | 0.009 | 0.3973 | −0.0102 | 0.0454 | −0.1017 | 0.6116 | 0.0075 | ||||||
| Asphalt | 0.5011 | −0.6705 | 1.0308 | 0.0023 | 0.3595 | −0.0451 | −0.8113 | 0.6996 | 0.6437 | 0.0001 | ||||||
| Wooden Slat | −0.2058 | 0.5498 | 0.5912 | 0.0075 | −0.8996 | 3.8407 | 0.2938 | −4.6087 | 2.4312 | 0.007 | ||||||
| Sensor | Mini-MCA6 | |||||||||||||||
| Channel | B | G | R | RE | NIR1 | NIR2 | Constant | |||||||||
| General | 0.3668 | −0.0449 | 0.2183 | 0.2105 | −0.5914 | 0.7708 | 0.0075 | |||||||||
| Asphalt | 0.3276 | −0.0196 | 0.2205 | −0.2433 | −0.1853 | 0.8345 | 0.0004 | |||||||||
| Wooden slat | 1.0432 | −1.0292 | −0.0135 | 2.9212 | −3.8306 | 1.8782 | 0.01618 | |||||||||
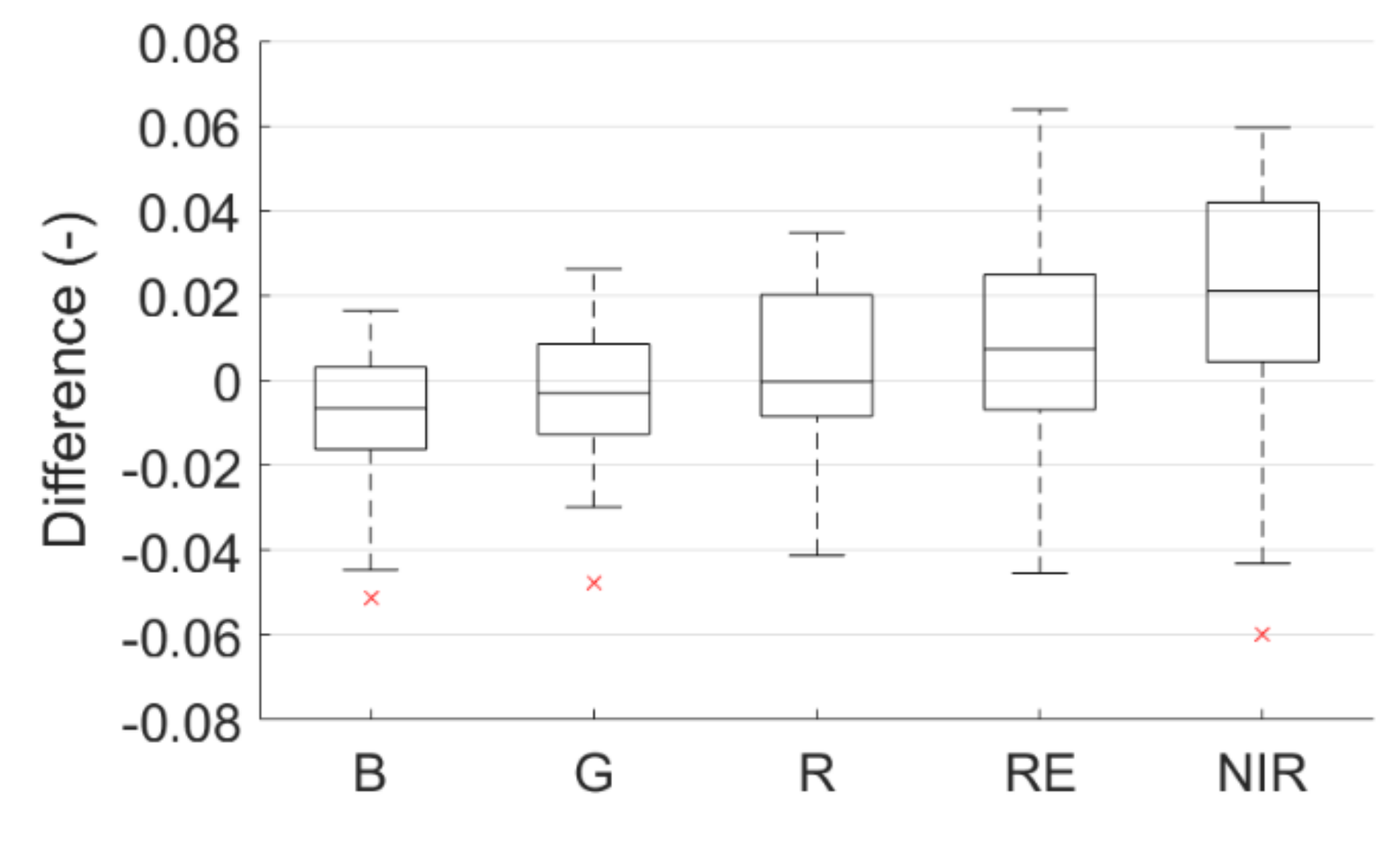
| R2 RedEdge/ASD | RMSE RedEdge/ASD | RSE RedEdge/ASD | MBE RedEdge/ASD (Red Cross Marks in the Boxplot Above) | |
|---|---|---|---|---|
| Model_reg | 0.959/0.962 | 0.0304/0.0293 | 0.0354/0.0341 | −0.0049/−0.0113 |
| Model_phy | 0.960/0.954 | 0.0300/0.0322 | 0.0349/0.0375 | 0.0063/0.0023 |
| Model_phy_reg | 0.966/0.963 | 0.0279/0.0290 | 0.0325/0.0337 | −0.0142/−0.0179 |
| R2 RedEdge/ASD | RMSE RedEdge/ASD | MBE RedEdge/ASD | |
|---|---|---|---|
| Model_reg | 0.878/0.956 | 0.0397/0.0238 | 0.0022/0.0077 |
| Model_phy | 0.827/0.856 | 0.0471/0.0430 | 0.0201/0.0295 |
| Model_phy_reg | 0.902/0.963 | 0.0355/0.0218 | −0.0110/−0.0023 |
© 2020 by the authors. Licensee MDPI, Basel, Switzerland. This article is an open access article distributed under the terms and conditions of the Creative Commons Attribution (CC BY) license (http://creativecommons.org/licenses/by/4.0/).
Share and Cite
Xu, X.; Asawa, T.; Kobayashi, H. Narrow-to-Broadband Conversion for Albedo Estimation on Urban Surfaces by UAV-Based Multispectral Camera. Remote Sens. 2020, 12, 2214. https://doi.org/10.3390/rs12142214
Xu X, Asawa T, Kobayashi H. Narrow-to-Broadband Conversion for Albedo Estimation on Urban Surfaces by UAV-Based Multispectral Camera. Remote Sensing. 2020; 12(14):2214. https://doi.org/10.3390/rs12142214
Chicago/Turabian StyleXu, Xi, Takashi Asawa, and Hideki Kobayashi. 2020. "Narrow-to-Broadband Conversion for Albedo Estimation on Urban Surfaces by UAV-Based Multispectral Camera" Remote Sensing 12, no. 14: 2214. https://doi.org/10.3390/rs12142214
APA StyleXu, X., Asawa, T., & Kobayashi, H. (2020). Narrow-to-Broadband Conversion for Albedo Estimation on Urban Surfaces by UAV-Based Multispectral Camera. Remote Sensing, 12(14), 2214. https://doi.org/10.3390/rs12142214

