Remote Sensing Approach for Monitoring Coastal Wetland in the Mekong Delta, Vietnam: Change Trends and Their Driving Forces
Abstract
1. Introduction
2. Materials and Methods
2.1. Study Area
2.2. Datasets
2.3. Image Pre-Processing
2.4. Image Classification
- (1)
- Application of vegetation indices for mangrove classification
- (2)
- Supervised classification for delineating other classes
- (3)
- Visual modification
2.5. Accuracy Assessment and Change Detection
2.6. Analysis of Sea Level Rise and Wetland Changes Relationship
3. Results
3.1. Wetland Categories and Accuracy Assessment
3.2. Coverage, Trend and Magnitude of Wetland Changes
3.3. Wetland Transition Analysis
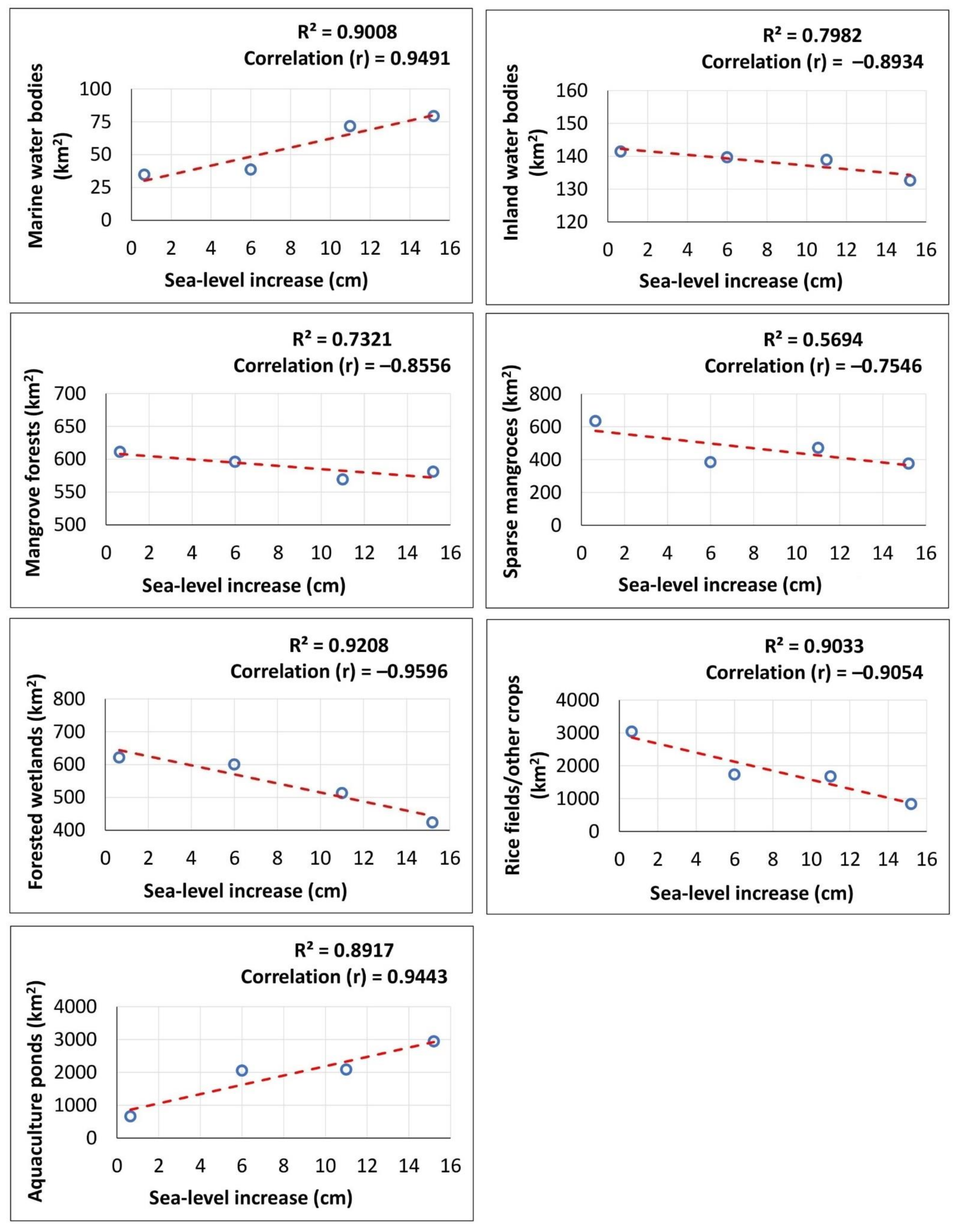
3.4. Sea Level Rise and Wetland Change Trends
4. Discussion
4.1. Classification Accuracies and Uncertaincy
4.2. Wetland Change Trends and Potential Driving Forces
4.2.1. Expansion of Marine Water Bodies
4.2.2. Mangrove Forest Degradation/Deforestation
4.2.3. Reduction of Forested Wetlands
4.2.4. Increase in Aquaculture Ponds
4.2.5. Decrease in Rice Fields/Other Crops
4.3. Implications of the Wetland Changes on Ecosystems and Sustainability
5. Conclusions
Supplementary Materials
Author Contributions
Funding
Institutional Review Board Statement
Informed Consent Statement
Data Availability Statement
Acknowledgments
Conflicts of Interest
References
- Guo, M.; Li, J.; Sheng, C.; Xu, J.; Wu, L. A review of wetland remote sensing. Sensors 2017, 17, 777. [Google Scholar] [CrossRef]
- Salimi, S.; Almuktar, S.A.; Scholz, M. Impact of climate change on wetland ecosystems: A critical review of experimental wetlands. J. Environ. Manag. 2021, 286, 112160. [Google Scholar] [CrossRef] [PubMed]
- Clarkson, B.R.; Ausseil, A.-G.E.; Gerbeaux, P. Wetland ecosystem services. In Ecosystem Services in New Zealand: Conditions and Trends; Manaaki Whenua Press: Lincoln, New Zealand, 2013; pp. 192–202. [Google Scholar]
- Scholz, M.; Lee, B.H. Constructed wetlands: A review. Int. J. Environ. Stud. 2005, 62, 421–447. [Google Scholar] [CrossRef]
- Mitsch, W.J.; Gosselink, J.G.; Zhang, L.; Anderson, C.J. Wetland Ecosystems; John Wiley & Sons: Hoboken, NJ, USA, 2009. [Google Scholar]
- Almuktar, S.A.; Abed, S.N.; Scholz, M. Wetlands for wastewater treatment and subsequent recycling of treated effluent: A review. Environ. Sci. Pollut. Res. 2018, 25, 23595–23623. [Google Scholar] [CrossRef] [PubMed]
- Mitsch, W.J.; Bernal, B.; Nahlik, A.M.; Mander, Ü.; Zhang, L.; Anderson, C.J.; Jørgensen, S.E.; Brix, H. Wetlands, carbon, and climate change. Landsc. Ecol. 2013, 28, 583–597. [Google Scholar] [CrossRef]
- Scholz, M.; Hedmark, Å. Constructed wetlands treating runoff contaminated with nutrients. Water Air Soil Pollut. 2010, 205, 323–332. [Google Scholar] [CrossRef]
- Davidson, N.C. How much wetland has the world lost? Long-term and recent trends in global wetland area. Mar. Freshw. Res. 2014, 65, 934–941. [Google Scholar] [CrossRef]
- Orimoloye, I.R.; Kalumba, A.M.; Mazinyo, S.P.; Nel, W. Geospatial analysis of wetland dynamics: Wetland depletion and biodiversity conservation of Isimangaliso Wetland, South Africa. J. King Saud Univ. Sci. 2020, 32, 90–96. [Google Scholar] [CrossRef]
- Akumu, C.E.; Pathirana, S.; Baban, S.; Bucher, D. Monitoring coastal wetland communities in north-eastern NSW using ASTER and Landsat satellite data. Wetl. Ecol. Manag. 2010, 18, 357–365. [Google Scholar] [CrossRef]
- Jin, H.; Huang, C.; Lang, M.W.; Yeo, I.-Y.; Stehman, S.V. Monitoring of wetland inundation dynamics in the Delmarva Peninsula using Landsat time-series imagery from 1985 to 2011. Remote Sens. Environ. 2017, 190, 26–41. [Google Scholar] [CrossRef]
- Park, N.-W.; Chi, K.-H.; Kwon, B.-D. Geostatistical integration of spectral and spatial information for land-cover mapping using remote sensing data. Geosci. J. 2003, 7, 335. [Google Scholar] [CrossRef]
- Ozesmi, S.L.; Bauer, M.E. Satellite remote sensing of wetlands. Wetl. Ecol. Manag. 2002, 10, 381–402. [Google Scholar] [CrossRef]
- Orimoloye, I.R.; Mazinyo, S.P.; Kalumba, A.; Nel, W.; Adigun, A.I.; Ololade, O.O. Wetland shift monitoring using remote sensing and GIS techniques: Landscape dynamics and its implications on Isimangaliso Wetland Park, South Africa. Earth Sci. Inform. 2019, 12, 553–563. [Google Scholar] [CrossRef]
- Hemba, S.; Iortyom, E.T.; Ropo, O.I.; Daniel, D.P. Analysis of the physical growth and expansion of Makurdi Town using remote sensing and GIS techniques. Imperial. J. Interdiscip. Res. 2017, 3, 821–827. [Google Scholar]
- Abdelaziz, R.; Abd El-Rahman, Y.; Wilhelm, S. Landsat-8 data for chromite prospecting in the Logar Massif, Afghanistan. Heliyon 2018, 4, e00542. [Google Scholar] [CrossRef]
- Son, N.-T.; Chen, C.-F.; Chang, N.-B.; Chen, C.-R.; Chang, L.-Y.; Thanh, B.-X. Mangrove mapping and change detection in Ca Mau Peninsula, Vietnam, using Landsat data and object-based image analysis. IEEE J. Sel. Top. Appl. Earth Obs. Remote Sens. 2014, 8, 503–510. [Google Scholar] [CrossRef]
- Hauser, L.T.; An Binh, N.; Viet Hoa, P.; Hong Quan, N.; Timmermans, J. Gap-Free Monitoring of Annual Mangrove Forest Dynamics in Ca Mau Province, Vietnamese Mekong Delta, Using the Landsat-7-8 Archives and Post-Classification Temporal Optimization. Remote Sens. 2020, 12, 3729. [Google Scholar] [CrossRef]
- Schaffer-Smith, D.; Swenson, J.J.; Barbaree, B.; Reiter, M.E. Three decades of Landsat-derived spring surface water dynamics in an agricultural wetland mosaic; Implications for migratory shorebirds. Remote Sens. Environ. 2017, 193, 180–192. [Google Scholar] [CrossRef]
- Reschke, J.; Hüttich, C. Continuous field mapping of Mediterranean wetlands using sub-pixel spectral signatures and multi-temporal Landsat data. Int. J. Appl. Earth Obs. Geoinf. 2014, 28, 220–229. [Google Scholar] [CrossRef]
- Veettil, B.K.; Quang, N.X.; Trang, N.T.T. Changes in mangrove vegetation, aquaculture and paddy cultivation in the Mekong Delta: A study from Ben Tre Province, southern Vietnam. Estuar. Coast. Shelf Sci. 2019, 226, 106273. [Google Scholar] [CrossRef]
- Nguyen, H.-H.; McAlpine, C.; Pullar, D.; Johansen, K.; Duke, N.C. The relationship of spatial–temporal changes in fringe mangrove extent and adjacent land-use: Case study of Kien Giang coast, Vietnam. Ocean. Coast. Manag. 2013, 76, 12–22. [Google Scholar] [CrossRef]
- Lu, D.; Mausel, P.; Brondizio, E.; Moran, E. Change detection techniques. Int. J. Remote Sens. 2004, 25, 2365–2401. [Google Scholar] [CrossRef]
- Zhang, S.Q.; Zhang, S.K.; Zhang, J.Y. A study on wetland classification model of remote sensing in the Sangjiang Plain. Chin. Geogr. Sci. 2000, 10, 68–73. [Google Scholar] [CrossRef]
- Al-Doski, J.; Mansorl, S.B.; Shafri, H.Z.M. Image classification in remote sensing. Dep. Civ. Eng. Fac. Eng. Univ. Putra Malays. 2013, 3, 141–147. [Google Scholar]
- Kogo, B.K.; Kumar, L.; Koech, R. Analysis of spatio-temporal dynamics of land use and cover changes in Western Kenya. Geocarto Int. 2021, 36, 376–391. [Google Scholar] [CrossRef]
- Langat, P.K.; Kumar, L.; Koech, R.; Ghosh, M.K. Monitoring of land use/land-cover dynamics using remote sensing: A case of Tana River Basin, Kenya. Geocarto Int. 2019, 36, 1470–1488. [Google Scholar] [CrossRef]
- Tadese, M.; Kumar, L.; Koech, R.; Kogo, B.K. Mapping of land-use/land-cover changes and its dynamics in Awash River Basin using remote sensing and GIS. Remote Sens. Appl. Soc. Environ. 2020, 19, 100352. [Google Scholar]
- Kariyawasam, C.S.; Kumar, L.; Kogo, B.K.; Ratnayake, S.S. Long-Term Changes of Aquatic Invasive Plants and Implications for Future Distribution: A Case Study Using a Tank Cascade System in Sri Lanka. Climate 2021, 9, 31. [Google Scholar] [CrossRef]
- Chhogyel, N.; Kumar, L.; Bajgai, Y. Spatio-temporal landscape changes and the impacts of climate change in mountainous Bhutan: A case of Punatsang Chhu Basin. Remote Sens. Appl. Soc. Environ. 2020, 18, 100307. [Google Scholar] [CrossRef]
- Tran, H.; Tran, T.; Kervyn, M. Dynamics of land cover/land use changes in the Mekong Delta, 1973–2011: A remote sensing analysis of the Tran Van Thoi District, Ca Mau Province, Vietnam. Remote Sens. 2015, 7, 2899–2925. [Google Scholar] [CrossRef]
- Owojori, A.; Xie, H. Landsat image-based LULC changes of San Antonio, Texas using advanced atmospheric correction and object-oriented image analysis approaches. In Proceedings of the 5th International Symposium on Remote Sensing of Urban Areas, Tempe, AZ, USA, 14–16 March 2005. [Google Scholar]
- Campbell, I.C. Biodiversity of the Mekong Delta. In The Mekong Delta System; Springer: Dordrecht, The Netherlands, 2012; pp. 293–313. ISBN 978-94-007-3962-8. [Google Scholar]
- Liu, X.; Chen, D.; Duan, Y.; Ji, H.; Zhang, L.; Chai, Q.; Hu, X. Understanding Land use/Land cover dynamics and impacts of human activities in the Mekong Delta over the last 40 years. Glob. Ecol. Conserv. 2020, 22, e00991. [Google Scholar] [CrossRef]
- VNEPA (Viet Nam Environment Protection Agency). Overview of Wetlands Status in Viet Nam Following 15 Years of Ramsar Convention Implementation; IUCN Vietnam: Hanoi, Vietnam, 2005. Available online: https://portals.iucn.org/library/sites/library/files/documents/2005-105.pdf (accessed on 10 January 2021).
- Funkenberg, T.; Binh, T.T.; Moder, F.; Dech, S. The Ha Tien Plain–wetland monitoring using remote-sensing techniques. Int. J. Remote Sens. 2014, 35, 2893–2909. [Google Scholar] [CrossRef]
- Nguyen, T.T.; Woodroffe, C.D. Assessing relative vulnerability to sea-level rise in the western part of the Mekong River Delta in Vietnam. Sustain. Sci. 2016, 11, 645–659. [Google Scholar] [CrossRef]
- Tessler, Z.D.; Vörösmarty, C.J.; Grossberg, M.; Gladkova, I.; Aizenman, H. A global empirical typology of anthropogenic drivers of environmental change in deltas. Sustain. Sci. 2016, 11, 525–537. [Google Scholar] [CrossRef] [PubMed]
- Dang, A.T.N.; Kumar, L.; Reid, M.; Anh, L.N.T. Modelling the susceptibility of wetland plant species under climate change in the Mekong Delta, Vietnam. Ecol. Inform. 2021, 64, 101358. [Google Scholar] [CrossRef]
- Leinenkugel, P.; Kuenzer, C.; Oppelt, N.; Dech, S. Characterisation of land surface phenology and land cover based on moderate resolution satellite data in cloud prone areas—A novel product for the Mekong Basin. Remote Sens. Environ. 2013, 136, 180–198. [Google Scholar] [CrossRef]
- Hong, H.T.C.; Avtar, R.; Fujii, M. Monitoring changes in land use and distribution of mangroves in the southeastern part of the Mekong River Delta, Vietnam. Trop. Ecol. 2019, 60, 552–565. [Google Scholar] [CrossRef]
- Hauser, L.T.; Vu, G.N.; Nguyen, B.A.; Dade, E.; Nguyen, H.M.; Nguyen, T.T.Q.; Le, T.Q.; Vu, L.H.; Tong, A.T.H.; Pham, H.V. Uncovering the spatio-temporal dynamics of land cover change and fragmentation of mangroves in the Ca Mau peninsula, Vietnam using multi-temporal SPOT satellite imagery (2004–2013). Appl. Geogr. 2017, 86, 197–207. [Google Scholar] [CrossRef]
- Tue, N.T.; Dung, L.V.; Nhuan, M.T.; Omori, K. Carbon storage of a tropical mangrove forest in Mui Ca Mau National Park, Vietnam. Catena 2014, 121, 119–126. [Google Scholar] [CrossRef]
- Van, T.; Wilson, N.; Thanh-Tung, H.; Quisthoudt, K.; Quang-Minh, V.; Xuan-Tuan, L.; Dahdouh-Guebas, F.; Koedam, N. Changes in mangrove vegetation area and character in a war and land use change affected region of Vietnam (Mui Ca Mau) over six decades. Acta Oecologica 2015, 63, 71–81. [Google Scholar] [CrossRef]
- Khanh, P.; Subasinghe, S. Identification of vegetation change of Lower U Minh National Park of Vietnam from 1975 to 2015. J. Trop. For. Environ. 2017, 7, 10–20. [Google Scholar] [CrossRef]
- Loc, H.H.; Diep, N.T.H.; Tuan, V.T.; Shimizu, Y. An analytical approach in accounting for social values of ecosystem services in a Ramsar site: A case study in the Mekong Delta, Vietnam. Ecol. Indic. 2018, 89, 118–129. [Google Scholar] [CrossRef]
- Bruce, C.M.; Hilbert, D.W. Pre-Processing Methodology for Application to Landsat TM/ETM+ Imagery of the Wet Tropics; Rainforest CRC: Cairns, Australia, 2006. [Google Scholar]
- Song, C.; Woodcock, C.E.; Seto, K.C.; Lenney, M.P.; Macomber, S.A. Classification and change detection using Landsat TM data: When and how to correct atmospheric effects? Remote Sens. Environ. 2001, 75, 230–244. [Google Scholar] [CrossRef]
- Gupta, K.; Mukhopadhyay, A.; Giri, S.; Chanda, A.; Majumdar, S.D.; Samanta, S.; Mitra, D.; Samal, R.N.; Pattnaik, A.K.; Hazra, S. An index for discrimination of mangroves from non-mangroves using LANDSAT 8 OLI imagery. MethodsX 2018, 5, 1129–1139. [Google Scholar] [CrossRef] [PubMed]
- Lillesand, T.; Kiefer, R.W.; Chipman, J. Remote Sensing and Image Interpretation; John Wiley & Sons: Hoboken, NJ, USA, 2015. [Google Scholar]
- USGS. Landsat 8 (L8) Data Users Handbook Version 2.0; EROS: Sioux Falls, SD, USA, 2016.
- Jianya, G.; Haigang, S.; Guorui, M.; Qiming, Z. A review of multi-temporal remote sensing data change detection algorithms. Int. Arch. Photogramm. Remote Sens. Spat. Inf. Sci. 2008, 37, 757–762. [Google Scholar]
- Lhissou, R.; El Harti, A.; Maimouni, S.; Adiri, Z. Assessment of the image-based atmospheric correction of multispectral satellite images for geological mapping in arid and semi-arid regions. Remote Sens. Appl. Soc. Environ. 2020, 20, 100420. [Google Scholar]
- Nazeer, M.; Nichol, J.E.; Yung, Y.-K. Evaluation of atmospheric correction models and Landsat surface reflectance product in an urban coastal environment. Int. J. Remote Sens. 2014, 35, 6271–6291. [Google Scholar] [CrossRef]
- Gilmore, S.; Saleem, A.; Dewan, A. Effectiveness of DOS (Dark-Object Subtraction) method and water index techniques to map wetlands in a rapidly urbanising megacity with Landsat 8 data. In Proceedings of the Research@Locate in Conjunction with the Annual Conference of Spatial Information in Australia and New Zealand, Brisbane, QLD, Australia, 10–12 March 2015; pp. 100–108. [Google Scholar]
- Kok, Z.H.; Shariff, A.R.B.M.; Khairunniza-Bejo, S.; Kim, H.-T.; Ahamed, T.; Cheah, S.S.; Wahid, S.A.A. Plot-Based Classification of Macronutrient Levels in Oil Palm Trees with Landsat-8 Images and Machine Learning. Remote Sens. 2021, 13, 2029. [Google Scholar] [CrossRef]
- Ngo Thi, D.; Ha, N.T.T.; Tran Dang, Q.; Koike, K.; Mai Trong, N. Effective Band ratio of landsat 8 images based on VNIR-SWIR reflectance spectra of topsoils for soil moisture mapping in a tropical region. Remote Sens. 2019, 11, 716. [Google Scholar] [CrossRef]
- Ehlers, M.; Klonus, S.; Johan Åstrand, P.; Rosso, P. Multi-sensor image fusion for pansharpening in remote sensing. Int. J. Image Data Fusion 2010, 1, 25–45. [Google Scholar] [CrossRef]
- Zhang, Y. Understanding image fusion. Photogramm. Eng. Remote Sens. 2004, 70, 657–661. [Google Scholar]
- Kumar, L.; Sinha, P.; Taylor, S. Improving image classification in a complex wetland ecosystem through image fusion techniques. J. Appl. Remote Sens. 2014, 8, 083616. [Google Scholar] [CrossRef]
- Yang, Y.; Wan, W.; Huang, S.; Lin, P.; Que, Y. A novel pan-sharpening framework based on matting model and multiscale transform. Remote Sens. 2017, 9, 391. [Google Scholar] [CrossRef]
- Khan, S.S.; Ran, Q.; Khan, M. Image pan-sharpening using enhancement based approaches in remote sensing. Multimed. Tools Appl. 2020, 79, 32791–32805. [Google Scholar] [CrossRef]
- Xu, H.; Le, Z.; Huang, J.; Ma, J. A Cross-Direction and Progressive Network for Pan-Sharpening. Remote Sens. 2021, 13, 3045. [Google Scholar] [CrossRef]
- Pesántez-Cobos, P.; Cánovas-García, F.; Alonso-Sarría, F. Implementing and Validating of Pan-Sharpening Algorithms in Open-Source Software. In Image and Signal Processing for Remote Sensing XXIII; International Society for Optics and Photonics: Bellingham, WA, USA, 2017. [Google Scholar]
- Pushparaj, J.; Hegde, A.V. Comparison of various pan-sharpening methods using Quickbird-2 and Landsat-8 imagery. Arab. J. Geosci. 2017, 10, 119. [Google Scholar] [CrossRef]
- Zhang, H.K.; Roy, D.P. Computationally inexpensive Landsat 8 operational land imager (OLI) pansharpening. Remote Sens. 2016, 8, 180. [Google Scholar] [CrossRef]
- Davis, T.J. The Ramsar Convention Manual: A Guide to the Convention on Wetlands of International Importance Especially as Waterfowl Habitat; Ramsar Convention Bureau: Gland, Switzerland, 1994. [Google Scholar]
- Nguyen, H.Q.; Brunner, J. Land Cover Change Assessment in the Coastal Areas of the Mekong Delta 2004–2009; IUCN: Hanoi, Vietnam, 2011; p. 13. [Google Scholar]
- Huete, A.R. A soil-adjusted vegetation index (SAVI). Remote Sens. Environ. 1988, 25, 295–309. [Google Scholar] [CrossRef]
- Gao, B.-C. NDWI—A normalized difference water index for remote sensing of vegetation liquid water from space. Remote Sens. Environ. 1996, 58, 257–266. [Google Scholar] [CrossRef]
- Pearson, R.L.; Miller, L.D. Remote mapping of standing crop biomass for estimation of the productivity of the shortgrass prairie. Remote Sens. Environ. 1972, VIII, 1355. [Google Scholar]
- Kuenzer, C.; Bluemel, A.; Gebhardt, S.; Quoc, T.V.; Dech, S. Remote sensing of mangrove ecosystems: A review. Remote Sens. 2011, 3, 878–928. [Google Scholar] [CrossRef]
- Wang, L.; Sousa, W.; Gong, P. Integration of object-based and pixel-based classification for mapping mangroves with IKONOS imagery. Int. J. Remote Sens. 2004, 25, 5655–5668. [Google Scholar] [CrossRef]
- Green, E.; Clark, C.; Mumby, P.; Edwards, A.; Ellis, A. Remote sensing techniques for mangrove mapping. Int. J. Remote Sens. 1998, 19, 935–956. [Google Scholar] [CrossRef]
- Gao, J.; Liu, Y. Determination of land degradation causes in Tongyu County, Northeast China via land cover change detection. Int. J. Appl. Earth Obs. Geoinf. 2010, 12, 9–16. [Google Scholar] [CrossRef]
- Muriithi, F.K. Land use and land cover (LULC) changes in semi-arid sub-watersheds of Laikipia and Athi River basins, Kenya, as influenced by expanding intensive commercial horticulture. Remote Sens. Appl. Soc. Environ. 2016, 3, 73–88. [Google Scholar] [CrossRef]
- Rosenfield, G.H.; Fitzpatrick-Lins, K. A coefficient of agreement as a measure of thematic classification accuracy. Photogramm. Eng. Remote Sens. 1986, 52, 223–227. [Google Scholar]
- Sinha, P.; Kumar, L. Independent two-step thresholding of binary images in inter-annual land cover change/no-change identification. ISPRS J. Photogramm. Remote Sens. 2013, 81, 31–43. [Google Scholar] [CrossRef]
- Ahlgren, P.; Jarneving, B.; Rousseau, R. Requirements for a cocitation similarity measure, with special reference to Pearson’s correlation coefficient. J. Am. Soc. Inf. Sci. Technol. 2003, 54, 550–560. [Google Scholar] [CrossRef]
- Anderson, J.R. A Land Use and Land Cover Classification System for Use with Remote Sensor Data; US Government Printing Office: Washington, DC, USA, 1976; Volume 964.
- Le, T.N.; Bregt, A.K.; van Halsema, G.E.; Hellegers, P.J.; Nguyen, L.-D. Interplay between land-use dynamics and changes in hydrological regime in the Vietnamese Mekong Delta. Land Use Policy 2018, 73, 269–280. [Google Scholar] [CrossRef]
- Tran Thi, V.; Tien Thi Xuan, A.; Phan Nguyen, H.; Dahdouh-Guebas, F.; Koedam, N. Application of remote sensing and GIS for detection of long-term mangrove shoreline changes in Mui Ca Mau, Vietnam. Biogeosciences 2014, 11, 3781–3795. [Google Scholar] [CrossRef]
- Veettil, B.K.; Ward, R.D.; Quang, N.X.; Trang, N.T.T.; Giang, T.H. Mangroves of Vietnam: Historical development, current state of research and future threats. Estuar. Coast. Shelf Sci. 2019, 218, 212–236. [Google Scholar] [CrossRef]
- Truong, T.D.; Do, L.H. Mangrove forests and aquaculture in the Mekong river delta. Land Use Policy 2018, 73, 20–28. [Google Scholar] [CrossRef]
- Friess, D.A. Mangrove forests. Curr. Biol. 2016, 26, R746–R748. [Google Scholar] [CrossRef]
- McEwin, A.; McNally, R. Organic Shrimp Certification and Carbon Financing: An Assessment for the Mangroves and Markets Project in Ca Mau Province, Vietnam. Available online: http://www.snv.org/public/cms/sites/default/files/explore/download/140007_mangrove_shrimp_report_single-lr.pdf (accessed on 20 December 2020).
- Baumgartner, U.; Kell, S.; Nguyen, T.H. Arbitrary mangrove-to-water ratios imposed on shrimp farmers in Vietnam contradict with the aims of sustainable forest management. SpringerPlus 2016, 5, 1–10. [Google Scholar] [CrossRef]
- Carew-Reid, J. Rapid Assessment of the Extent and Impact of Sea Level Rise in Viet Nam; International Centre for Environment Management (ICEM): Brisbane, QLD, Australia, 2008; Available online: http://www.icem.com.au/documents/climatechange/icem_slr/ICEM_SLR_final_report.pdf (accessed on 8 January 2021).
- Gilman, E.; Ellison, J.; Coleman, R. Assessment of mangrove response to projected relative sea-level rise and recent historical reconstruction of shoreline position. Environ. Monit. Assess. 2007, 124, 105–130. [Google Scholar] [CrossRef] [PubMed]
- Marchesiello, P.; Nguyen, N.M.; Gratiot, N.; Loisel, H.; Anthony, E.J.; San Dinh, C.; Nguyen, T.; Almar, R.; Kestenare, E. Erosion of the coastal Mekong delta: Assessing natural against man induced processes. Cont. Shelf Res. 2019, 181, 72–89. [Google Scholar] [CrossRef]
- Phan, H. Coastal and Seasonal Hydrodynamics and Morphodynamics of the Mekong Delta. Ph.D. Thesis, Delft University of Technology, Delft, The Netherlands, 2020. [Google Scholar] [CrossRef]
- Duke, N.; Ball, M.; Ellison, J. Factors influencing biodiversity and distributional gradients in mangroves. Glob. Ecol. Biogeogr. Lett. 1998, 7, 27–47. [Google Scholar] [CrossRef]
- Ellison, J.C. How South Pacific mangroves may respond to predicted climate change and sea-level rise. In Climate Change in the South Pacific: Impacts and Responses in Australia, New Zealand, and Small Island States; Springer: Dordrecht, The Netherlands, 2000; pp. 289–300. [Google Scholar]
- Krauss, K.W.; Lovelock, C.E.; McKee, K.L.; López-Hoffman, L.; Ewe, S.M.; Sousa, W.P. Environmental drivers in mangrove establishment and early development: A review. Aquat. Bot. 2008, 89, 105–127. [Google Scholar] [CrossRef]
- Tran, T.V.; Tran, D.X.; Nguyen, H.; Latorre-Carmona, P.; Myint, S.W. Characterising spatiotemporal vegetation variations using LANDSAT time-series and Hurst exponent index in the Mekong River Delta. Land Degrad. Dev. 2021, 32, 3507–3523. [Google Scholar] [CrossRef]
- Quan, N.H.; Toan, T.Q.; Dang, P.D.; Phuong, N.L.; Anh, T.T.H.; Quang, N.X.; Quoc, D.P.; Hanington, P.; Sea, W.B. Conservation of the Mekong Delta wetlands through hydrological management. Ecol. Res. 2018, 33, 87–103. [Google Scholar] [CrossRef]
- Giri, C.; Defourny, P.; Shrestha, S. Land cover characterization and mapping of continental Southeast Asia using multi-resolution satellite sensor data. Int. J. Remote Sens. 2003, 24, 4181–4196. [Google Scholar] [CrossRef]
- Dang, A.T.N.; Kumar, L.; Reid, M.; Mutanga, O. Fire danger assessment using geospatial modelling in Mekong delta, Vietnam: Effects on wetland resources. Remote Sens. Appl. Soc. Environ. 2021, 21, 100456. [Google Scholar]
- Tran, T. U Minh Peat Swamp Forest: Mekong River Basin (Vietnam). In The Wetland Book; Springer Science+Business Media: Dordrecht, The Netherlands, 2016; ISBN 978-94-007-4001-3. [Google Scholar]
- Van, T.T.; Tien, T.V.; Toi, N.D.L.; Bao, H.D.X. Risk of Climate Change Impacts on Drought and Forest Fire Based on Spatial Analysis and Satellite Data. In Proceedings of the 2nd International Electronic Conference on Water Sciences, Online, 16–30 November 2017; pp. 1–7. Available online: https://ecws-2.sciforum.net/ (accessed on 15 March 2021).
- Thanh, V.T.; Hoang, P.V.; Trong, K.; Thanh, P.H. Evaluation of current situation of melaleuca forest in the U Minh Ha national park, Vietnam under the situation of climate change and proposed solutions for conservation and sustainable development. In IOP Conference Series: Materials Science and Engineering; IOP Publishing: Bristol, UK, 2020. [Google Scholar]
- Tran, T.; Nguyen, T.K.D.; Le, X.T.; Tran, T.A.D. Climate Change Vulnerability Assessment U Minh Thuong National Park, Vietnam. Mekong WET–Building Resilience of Wetlands in the Lower Mekong Region; Tech. Report; International Union for Conservation of Nature: Bangkok, Thailand, 2018; pp. 1–41. [Google Scholar]
- Tran, D.B.; Dargusch, P.; Moss, P.; Hoang, T.V. An assessment of potential responses of Melaleuca genus to global climate change. Mitig. Adapt. Strateg. Glob. Chang. 2013, 18, 851–867. [Google Scholar] [CrossRef]
- Dinh, Q.T. Vietnam-Mekong Delta Integrated Climate Resilience and Sustainable Livelihoods (MD-ICRSL) Project: Environmental Assessment (English). Project Report. 2016. Available online: http://documents.worldbank.org/curated/en/855731468312052747/Regional-environmental-assessment-report (accessed on 20 April 2021).
- Lan, N.T.P. From rice to shrimp: Ecological change and human adaptation in the Mekong Delta of Vietnam. In Environmental Change and Agricultural Sustainability in the Mekong Delta; Springer: Dordrecht, The Netherlands, 2011; pp. 271–285. [Google Scholar]
- Lam-Dao, N.; Pham-Bach, V.; Nguyen-Thanh, M.; Pham-Thi, M.-T.; Hoang-Phi, P. Change detection of land use and riverbank in Mekong Delta, Vietnam using time series remotely sensed data. J. Resour. Ecol. 2011, 2, 370–374. [Google Scholar]
- IMHEN; Ca Mau Peoples Committee; Kien Giang Peoples Committee. Climate Change Impact and Adaptation Study in The Mekong Delta – Part A Final Report: Climate Change Vulnerability and Risk Assessment Study for Ca Mau and Kien Giang Provinces, Vietnam; Institute of Meteorology, Hydrology and Environment (IMHEN): Hanoi, Vietnam, 2011. Available online: https://www.adb.org/sites/default/files/project-document/73153/43295-012-tacr-03a.pdf (accessed on 20 March 2021).
- Hai, T.X.; Van Nghi, V.; Hung, V.H.; Tuan, D.N.; Lam, D.T.; Van, C.T. Assessing and Forecasting Saline Intrusion in the Vietnamese Mekong Delta Under the Impact of Upstream flow and Sea Level Rise. J. Environ. Sci. Eng. B 2019, 8, 174. [Google Scholar]
- Smajgl, A.; Toan, T.Q.; Nhan, D.K.; Ward, J.; Trung, N.H.; Tri, L.Q.; Tri, V.P.D.; Vu, P.T. Responding to rising sea levels in the Mekong Delta. Nat. Clim. Chang. 2015, 5, 167–174. [Google Scholar] [CrossRef]
- Akam, R.; Gruere, G. Rice and Risks in the Mekong Delta. 2018. Available online: https://www.oecd-ilibrary.org/docserver/bbddd17ben.pdf?expires=1629540388&id=id&accname=guest&checksum=F544DB1ED655A785770AE37551F9C746 (accessed on 10 April 2021).
- Son, N.; Chen, C.; Chen, C.; Chang, L.; Duc, H.; Nguyen, L. Prediction of rice crop yield using MODIS EVI−LAI data in the Mekong Delta, Vietnam. Int. J. Remote Sens. 2013, 34, 7275–7292. [Google Scholar] [CrossRef]
- Gopalakrishnan, T.; Hasan, M.K.; Haque, A.; Jayasinghe, S.L.; Kumar, L. Sustainability of coastal agriculture under climate change. Sustainability 2019, 11, 7200. [Google Scholar] [CrossRef]
- Gopalakrishnan, T.; Kumar, L. Potential impacts of sea-level rise upon the Jaffna Peninsula, Sri Lanka: How climate change can adversely affect the coastal zone. J. Coast. Res. 2020, 36, 951–960. [Google Scholar] [CrossRef]
- Dang, A.T.N.; Kumar, L.; Reid, M. Modelling the Potential Impacts of Climate Change on Rice Cultivation in Mekong Delta, Vietnam. Sustainability 2020, 12, 9608. [Google Scholar] [CrossRef]
- Minderhoud, P.; Coumou, L.; Erban, L.; Middelkoop, H.; Stouthamer, E.; Addink, E. The relation between land use and subsidence in the Vietnamese Mekong delta. Sci. Total. Environ. 2018, 634, 715–726. [Google Scholar] [CrossRef] [PubMed]
- Lee, S.Y.; Primavera, J.H.; Dahdouh-Guebas, F.; McKee, K.; Bosire, J.O.; Cannicci, S.; Diele, K.; Fromard, F.; Koedam, N.; Marchand, C. Ecological role and services of tropical mangrove ecosystems: A reassessment. Glob. Ecol. Biogeogr. 2014, 23, 726–743. [Google Scholar] [CrossRef]
- Barbier, E.B.; Hacker, S.D.; Kennedy, C.; Koch, E.W.; Stier, A.C.; Silliman, B.R. The value of estuarine and coastal ecosystem services. Ecol. Monogr. 2011, 81, 169–193. [Google Scholar] [CrossRef]
- Menéndez, P.; Losada, I.J.; Torres-Ortega, S.; Narayan, S.; Beck, M.W. The global flood protection benefits of mangroves. Sci. Rep. 2020, 10, 1–11. [Google Scholar] [CrossRef]
- Gilman, E.L.; Ellison, J.; Duke, N.C.; Field, C. Threats to mangroves from climate change and adaptation options: A review. Aquat. Bot. 2008, 89, 237–250. [Google Scholar] [CrossRef]
- Lovelock, C.E.; Cahoon, D.R.; Friess, D.A.; Guntenspergen, G.R.; Krauss, K.W.; Reef, R.; Rogers, K.; Saunders, M.L.; Sidik, F.; Swales, A. The vulnerability of Indo-Pacific mangrove forests to sea-level rise. Nature 2015, 526, 559–563. [Google Scholar] [CrossRef]
- McFadden, T.N.; Kauffman, J.B.; Bhomia, R.K. Effects of nesting waterbirds on nutrient levels in mangroves, Gulf of Fonseca, Honduras. Wetl. Ecol. Manag. 2016, 24, 217–229. [Google Scholar] [CrossRef]
- Eom, K.-C. Environmentally beneficial function of rice culture and paddy soil. In Rice Culture in Asia; Korean National Committee on Irrigation and Drainage (KCID): Ansan-si, Gyeonggi-do, Korea, 2001; pp. 28–35. [Google Scholar]
- Kim, T.-C.; Gim, U.-S.; Kim, J.S.; Kim, D.-S. The multi-functionality of paddy farming in Korea. Paddy Water Environ. 2006, 4, 169–179. [Google Scholar] [CrossRef]
- Czech, H.A.; Parsons, K.C. Agricultural wetlands and waterbirds: A review. Waterbirds 2002, 25, 56–65. [Google Scholar]
- Yoon, C.G. Wise use of paddy rice fields to partially compensate for the loss of natural wetlands. Paddy Water Environ. 2009, 7, 357. [Google Scholar] [CrossRef]
- Nakayama, T.; Hoa, T.T.T.; Harada, K.; Warisaya, M.; Asayama, M.; Hinenoya, A.; Lee, J.W.; Phu, T.M.; Ueda, S.; Sumimura, Y. Water metagenomic analysis reveals low bacterial diversity and the presence of antimicrobial residues and resistance genes in a river containing wastewater from backyard aquacultures in the Mekong Delta, Vietnam. Environ. Pollut. 2017, 222, 294–306. [Google Scholar] [CrossRef] [PubMed]
- Le, T.X.; Munekage, Y.; Kato, S.-I. Antibiotic resistance in bacteria from shrimp farming in mangrove areas. Sci. Total Environ. 2005, 349, 95–105. [Google Scholar] [CrossRef] [PubMed]
- Berg, H.; Söderholm, A.E.; Söderström, A.-S.; Tam, N.T. Recognizing wetland ecosystem services for sustainable rice farming in the Mekong Delta, Vietnam. Sustain. Sci. 2017, 12, 137–154. [Google Scholar] [CrossRef] [PubMed]
- Ha, T.T.P.; van Dijk, H.; Visser, L. Impacts of changes in mangrove forest management practices on forest accessibility and livelihood: A case study in mangrove-shrimp farming system in Ca Mau Province, Mekong Delta, Vietnam. Land Use Policy 2014, 36, 89–101. [Google Scholar] [CrossRef]







| Data Type | Data | Year | Date of Acquisition | Spatial Resolution (m) | Sources |
|---|---|---|---|---|---|
| Remote sensing data: Level-1 Landsat images | Landsat 5 TM Landsat 7 ETM+ Landsat 8 OLI Landsat 8 OLI | 1995 2002 2013 2020 | 08/01/1995–06/03/1995 03/01/2002–20/02/2002 08/01/2013–27/02/2013 06/01/2020–23/02/2020 | 30 (MS) 30 (MS); 15 (PAN) 30 (MS); 15 (PAN) 30 (MS); 15 (PAN) | USGS https://earthexplorer.usgs.gov/, accessed on 4 December 2020 |
| Ancillary data | Land-use/land-cover maps | 1995 2000 2005 2010 2015 | Digital maps (Scale: 1:25,000) | Ministry of Natural Resources and Environment (http://monre.gov.vn), accessed on 4 December 2020 | |
| Local land-use and land-inventory maps | 2000 2005 2010 2015 | Digital maps | Department of Natural Resources and Environment of Ca Mau and Kien Giang provinces | ||
| Google Earth Imagery | - | - | - | Google Inc. | |
| Ground truth data | 2019/2020 | 2019–03/2020 | GPS recorders | Field trip (237 filed observations) | |
| Sea level data | - | 1995–2019 | - | NCHMF, https://nchmf.gov.vn, accessed on 4 December 2020 |
| Classified Wetland Classes | Second Ramsar Level; Source: [68] | Description |
|---|---|---|
| Marine water bodies | A—permanent shallow marine waters F—estuarine waters | Open permanent salt-water bodies along the coast within the study area over the study period, which were transferred from/to mangroves or other lands in the coastal zones due to erosion, inundation or aggradation. |
| Inland water bodies | M—permanent rivers N—seasonal/intermittent/irregular rivers O—permanent freshwater lakes (over 8 ha) Q—permanent saltwater/brackish/alkaline lakes | Large or small fresh, brackish or saltwater bodies, including lakes, rivers, and ponds. |
| Mangrove forests | I—intertidal forested wetlands; includes mangrove swamps, nipah swamps, and tidal freshwater swamp forests | Includes dense mangrove forests in coastal zone, which are subjected to tidal flooding, with a minimum of 30% canopy cover; and dominated by mangrove species, such as Avicennia alba and Rhizophora apiculata. |
| Sparse mangroves/saltmarshes | H—intertidal marshes; includes salt marshes, salt meadows, saltings, and raised salt marshes; includes tidal brackish and freshwater marshes | Consists of vegetated mangrove areas and saltmarsh vegetation, normally in aquaculture ponds with crown cover of less than 30%. |
| Forested wetlands | Xp—forested peatlands; peat-swamp forests | Includes peat-swamp forests (dense forest, and plantation forests) dominated by Melaleuca cajuputi plant species. |
| Rice fields/other crops | 3—irrigated land; includes irrigation channels and rice fields 4—seasonally flooded agricultural land (including intensively managed or grazed wet meadow or pasture) | Includes seasonal flooded agricultural land, dominated by rice fields (other crops including pineapple, coconut, and orchard accounted for small areas compared with rice fields). |
| Aquaculture ponds | 1—aquaculture (e.g., fish/shrimp/crab) ponds | Artificial water bodies with regular geometric boundary for aquaculture practices. |
| Vegetation Indices | Equations | Reference |
|---|---|---|
| Normalized Difference Vegetation Index (NDVI) | (NIR − Red)/(NIR + Red) | [72] |
| Normalized Difference Water Index (NDWI) | (Green − NIR)/(Green + NIR) | [71] |
| Combined Mangrove Recognition Index (CMRI) | NDVI − NDWI | [50] |
| (a) Error matrix for 1995 Landsat 5 TM image | |||||||||
| Class | Ground truth (pixels) | User accuracy (%) | |||||||
| (1) | (2) | (3) | (4) | (5) | (6) | (7) | Total | ||
| Marine water bodies (1) | 109 | 4 | 0 | 0 | 0 | 0 | 0 | 113 | 96.5 |
| Inland water bodies (2) | 6 | 168 | 0 | 0 | 0 | 0 | 4 | 178 | 94.4 |
| Mangrove forests (3) | 0 | 0 | 214 | 25 | 0 | 0 | 0 | 239 | 89.5 |
| Spare mangroves/saltmarshes (4) | 0 | 0 | 40 | 188 | 0 | 0 | 0 | 228 | 82.5 |
| Forested wetland (5) | 0 | 0 | 0 | 0 | 152 | 10 | 0 | 162 | 93.8 |
| Rice fields/other crops (6) | 0 | 0 | 0 | 0 | 8 | 68 | 0 | 76 | 89.5 |
| Aquaculture ponds (7) | 0 | 64 | 0 | 0 | 0 | 0 | 150 | 214 | 70.1 |
| Total | 115 | 236 | 254 | 213 | 160 | 78 | 154 | 1210 | - |
| Producer accuracy (%) | 94.8 | 71.2 | 84.3 | 88.3 | 95.0 | 89.5 | 97.4 | - | - |
| Overall accuracy = 86.69%, Kappa coefficient = 0.8434 | |||||||||
| (b) Error matrix for 2002 Landsat 7 ETM+ image | |||||||||
| Class | Ground truth (pixels) | User accuracy (%) | |||||||
| (1) | (2) | (3) | (4) | (5) | (6) | (7) | Total | ||
| Marine water bodies (1) | 125 | 2 | 0 | 0 | 0 | 0 | 0 | 127 | 98.4 |
| Inland water bodies (2) | 3 | 260 | 0 | 0 | 0 | 0 | 16 | 279 | 93.2 |
| Mangrove forests (3) | 0 | 0 | 125 | 25 | 0 | 0 | 0 | 150 | 83.3 |
| Spare mangroves/saltmarshes (4) | 0 | 0 | 20 | 134 | 0 | 0 | 0 | 154 | 87.0 |
| Forested wetland (5) | 0 | 0 | 0 | 0 | 89 | 10 | 0 | 99 | 89.9 |
| Rice fields/other crops (6) | 0 | 0 | 0 | 0 | 12 | 101 | 0 | 113 | 89.4 |
| Aquaculture ponds (7) | 0 | 23 | 0 | 0 | 0 | 0 | 109 | 132 | 82.6 |
| Total | 128 | 285 | 145 | 159 | 101 | 111 | 125 | 1054 | - |
| Producer accuracy (%) | 99.2 | 91.2 | 86.2 | 84.3 | 88.1 | 91.0 | 87.2 | - | - |
| Overall accuracy = 89.47%, Kappa coefficient = 0.8763 | |||||||||
| (c) Error matrix for 2013 Landsat 8 OLI image | |||||||||
| Class | Ground truth (pixels) | User accuracy (%) | |||||||
| (1) | (2) | (3) | (4) | (5) | (6) | (7) | Total | ||
| Marine water bodies (1) | 112 | 3 | 0 | 0 | 0 | 0 | 0 | 115 | 99.1 |
| Inland water bodies (2) | 8 | 332 | 0 | 0 | 0 | 0 | 15 | 355 | 93.5 |
| Mangrove forests (3) | 0 | 0 | 131 | 19 | 0 | 0 | 0 | 150 | 87.3 |
| Spare mangroves/saltmarshes (4) | 0 | 0 | 26 | 107 | 0 | 0 | 0 | 133 | 80.5 |
| Forested wetland (5) | 0 | 0 | 0 | 0 | 75 | 2 | 0 | 77 | 97.4 |
| Rice fields/other crops (6) | 0 | 0 | 0 | 0 | 5 | 85 | 0 | 90 | 94.4 |
| Aquaculture ponds (7) | 0 | 19 | 0 | 0 | 0 | 0 | 101 | 120 | 84.2 |
| Total | 120 | 354 | 157 | 126 | 80 | 87 | 116 | 1040 | - |
| Producer accuracy (%) | 93.3 | 93.8 | 83.4 | 84.9 | 93.8 | 97.7 | 87.1 | - | - |
| Overall accuracy = 90.67%, Kappa coefficient = 0.8864 | |||||||||
| (d) Error matrix for 2020 Landsat 8 OLI image | |||||||||
| Class | Ground truth (pixels) | User accuracy (%) | |||||||
| (1) | (2) | (3) | (4) | (5) | (6) | (7) | Total | ||
| Marine water bodies (1) | 105 | 5 | 0 | 0 | 0 | 0 | 0 | 110 | 95.5 |
| Inland water bodies (2) | 2 | 332 | 0 | 0 | 0 | 0 | 6 | 340 | 97.6 |
| Mangrove forests (3) | 0 | 0 | 66 | 9 | 0 | 0 | 0 | 75 | 88.0 |
| Spare mangroves/saltmarshes (4) | 0 | 0 | 7 | 53 | 0 | 0 | 0 | 60 | 88.3 |
| Forested wetland (5) | 0 | 0 | 0 | 0 | 65 | 4 | 0 | 69 | 94.2 |
| Rice fields/other crops (6) | 0 | 0 | 0 | 0 | 1 | 34 | 0 | 35 | 97.1 |
| Aquaculture ponds (7) | 0 | 20 | 0 | 0 | 0 | 0 | 92 | 112 | 82.1 |
| Total | 107 | 357 | 73 | 62 | 66 | 38 | 98 | 801 | - |
| Producer accuracy (%) | 98.1 | 93.0 | 90.4 | 85.5 | 98.5 | 89.5 | 93.9 | - | - |
| Overall accuracy = 93.26, Kappa coefficient = 0.9125 | |||||||||
| Wetland Type | Area in Square Kilometre (km2) | Area in Percentage (%) | ||||||
|---|---|---|---|---|---|---|---|---|
| 1995 | 2002 | 2013 | 2020 | 1995 | 2002 | 2013 | 2020 | |
| Marine water bodies | 34.6 | 38.6 | 72.1 | 79.3 | 0.6 | 0.7 | 1.3 | 1.4 |
| Inland water bodies | 141.4 | 139.7 | 138.9 | 132.6 | 2.5 | 2.4 | 2.4 | 2.3 |
| Mangrove forests | 611.0 | 596.1 | 569.2 | 581.0 | 10.6 | 10.4 | 9.9 | 10.1 |
| Sparse mangroves/saltmarshes | 634.5 | 383.8 | 470.8 | 375.4 | 11.1 | 6.7 | 8.2 | 6.5 |
| Forested wetlands | 621.4 | 600.4 | 513.1 | 423.8 | 10.8 | 10.5 | 8.9 | 7.4 |
| Rice fields/other crops | 2843.0 | 1733.7 | 1673.1 | 832.2 | 49.5 | 30.2 | 29.1 | 14.5 |
| Aquaculture ponds | 661.4 | 2054.7 | 2109.8 | 3122.8 | 11.5 | 35.8 | 36.7 | 54.4 |
Publisher’s Note: MDPI stays neutral with regard to jurisdictional claims in published maps and institutional affiliations. |
© 2021 by the authors. Licensee MDPI, Basel, Switzerland. This article is an open access article distributed under the terms and conditions of the Creative Commons Attribution (CC BY) license (https://creativecommons.org/licenses/by/4.0/).
Share and Cite
Dang, A.T.N.; Kumar, L.; Reid, M.; Nguyen, H. Remote Sensing Approach for Monitoring Coastal Wetland in the Mekong Delta, Vietnam: Change Trends and Their Driving Forces. Remote Sens. 2021, 13, 3359. https://doi.org/10.3390/rs13173359
Dang ATN, Kumar L, Reid M, Nguyen H. Remote Sensing Approach for Monitoring Coastal Wetland in the Mekong Delta, Vietnam: Change Trends and Their Driving Forces. Remote Sensing. 2021; 13(17):3359. https://doi.org/10.3390/rs13173359
Chicago/Turabian StyleDang, An T. N., Lalit Kumar, Michael Reid, and Ho Nguyen. 2021. "Remote Sensing Approach for Monitoring Coastal Wetland in the Mekong Delta, Vietnam: Change Trends and Their Driving Forces" Remote Sensing 13, no. 17: 3359. https://doi.org/10.3390/rs13173359
APA StyleDang, A. T. N., Kumar, L., Reid, M., & Nguyen, H. (2021). Remote Sensing Approach for Monitoring Coastal Wetland in the Mekong Delta, Vietnam: Change Trends and Their Driving Forces. Remote Sensing, 13(17), 3359. https://doi.org/10.3390/rs13173359

