GNSS-IR Snow Depth Retrieval from Multi-GNSS and Multi-Frequency Data
Abstract
:1. Introduction
2. Materials and Methods
2.1. GNSS-IR Snow Depth Retrieval Principle
2.2. Data Source
2.2.1. Station Location and Surrounding Environment
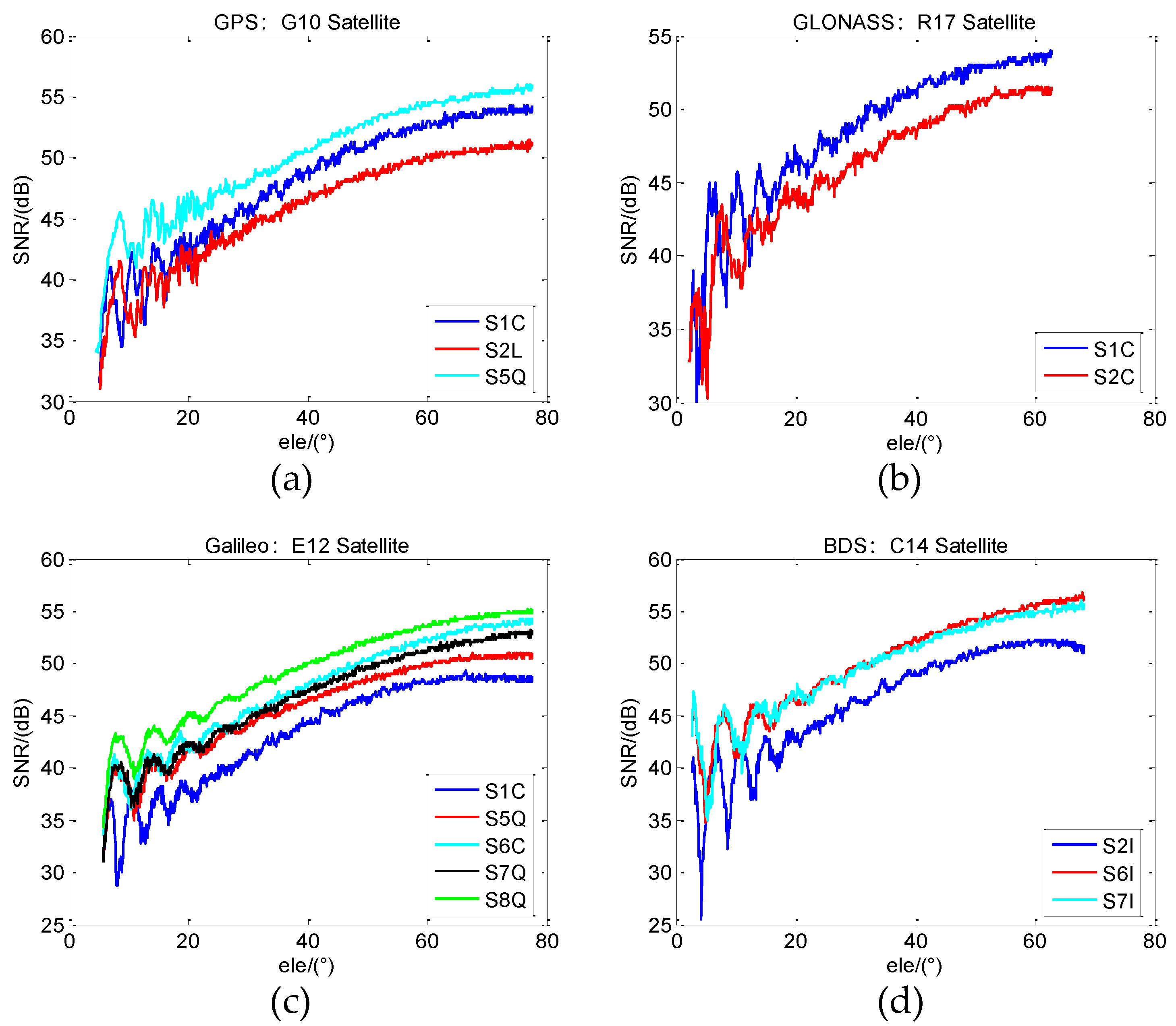
2.2.2. Selection and Analysis of Experimental Data
2.2.3. Reflection Region Analysis
2.2.4. SNR Types
3. Experiment and Results
3.1. Experimental Technical Scheme
3.2. Extraction h
3.2.1. Multi-GNSS and Multi-Frequency SNR Sequence Extraction
3.2.2. SNR Sequence Data Processing
3.2.3. LSP Analysis Results of the Snow Surface
3.2.4. LSP Analysis Results of the Snow-Free Surface
3.3. GNSS-IR Snow Depth Retrieval Results
3.3.1. Multi-GNSS and Multi-Frequency GNSS-IR Snow Depth Retrieval Results
3.3.2. Mean Fusion of Multi-Frequency Retrieval Results in the Four GNSS Systems
3.3.3. Mean Fusion Retrieval Results of Multi-GNSS System
4. Discussion
4.1. Accuracy Analysis between Multi-GNSS and Multi-Frequency GNSS-IR Snow Depth Retrieval Results and PBO Snow Depth
4.2. Accuracy Analysis of Multi-Frequency Mean Fusion Results in the GNSS Systems
4.3. Accuracy Analysis of Mean Fusion Retrieval between Multi-GNSS System
5. Conclusions
- (1)
- QZSS and SBAS systems in multi-GNSS and multi-frequency SNR data provided by PBO are not suitable for use due to the lack of observation arcs. The GPS S1W and S2W data values are the same, and the other frequency SNR data difference is too large and should not be used;
- (2)
- The LSP results of the snow-free surface can be effectively used as the initial reflector height reference value. The snow depth results of multi-GNSS and multi-frequency GNSS-IR retrieval have a strong correlation with PBO snow depth data, and the RMSE of different frequency retrieval results in the multi-GNSS system is between 5 cm and 10 cm. The correlation between the retrieval results of the GPS L1, GLONASS G1, Galileo E1, and BDS B1 bands in the snow depth retrieval results is rather weak;
- (3)
- The mean fusion of multi-frequency retrieval results in GPS, GLONASS, Galileo, and BDS can effectively improve the accuracy and solve the relatively weak results in some bands. The four GNSS systems retrieval results show a strong correlation, and the RMSE is between 4 cm and 7 cm. Comparing the different frequency signals in the multi-GNSS system retrieval results, the multi-frequency mean fusion increase by 11.7% in R and the RMSE decreases by 55.6%, which is the highest;
- (4)
- The mean fusion accuracy of the retrieval results of the GPS, GLONASS, Galileo, and BDS is significantly improved. The R between the retrieval results and the PBO results is 0.99, and the retrieval accuracy is better than 3 cm, which significantly enhances the accuracy. In the comparison of the multi-frequency mean fusion, the multi-GNSS system fusion increases by 5.1% in R and the RMSE decreases by 57.1%, which is the highest.
Author Contributions
Funding
Institutional Review Board Statement
Informed Consent Statement
Data Availability Statement
Acknowledgments
Conflicts of Interest
References
- Walsh, J.E. Snow cover and atmospheric variability: Changes in the snow covering the earth’s surface affect both daily weather and long-term climate. Am. Sci. 1984, 72, 50–57. [Google Scholar]
- Rott, H.; Yueh, S.H.; Cline, D.W.; Duguay, C.; Essery, R.; Haas, C.; Heliere, F.; Kern, M.; Macelloni, G.; Malnes, E.; et al. Cold Regions Hydrology High-Resolution Observatory for Snow and Cold Land Processes. IEEE Proc. 2010, 98, 752–765. [Google Scholar] [CrossRef] [Green Version]
- Larson, K.M.; Gutmann, E.D.; Zavorotny, V.U.; Braun, J.J.; Williams, M.W.; Nievinski, F.G. Can we measure snow depth with GPS receivers? Geophys. Res. Lett. 2009, 36, 876–880. [Google Scholar] [CrossRef] [Green Version]
- Georgiadou, Y.; Kleusberg, A. On Carrier Signal Multipath Effects in Relative GPS Positioning. Manuscr. Geod. 1988, 13, 172–179. [Google Scholar]
- Ge, L.; Han, S.; Rizos, C. Multipath Mitigation of Continuous GPS Measurements Using an Adaptive Filter. GPS Solut. 2000, 4, 19–30. [Google Scholar] [CrossRef]
- Ray, J.K.; Cannon, M.E. Synergy between Global Positioning System Code, Carrier, and Signal-to-Noise Ratio Multipath Errors. J. Guid. Control Dyn. 2001, 24, 54–63. [Google Scholar] [CrossRef]
- Larson, K.M.; Small, E.E.; Gutmann, E.D.; Bilich, A.L.; Braun, J.J.; Zavorotny, V.U. Use of GPS receivers as a soil moisture network for water cycle studies. Geophys. Res. Lett. 2008, 35, 1–5. [Google Scholar] [CrossRef] [Green Version]
- Nievinski, F.G.; Larson, K.M. Inverse Modeling of GPS Multipath for Snow Depth Estimation—Part I: Formulation and Simulations. IEEE Trans. Geosci. Remote Sens. 2014, 52, 6555–6563. [Google Scholar] [CrossRef]
- Nievinski, F.G.; Larson, K.M. Inverse Modeling of GPS Multipath for Snow Depth Estimation—Part II: Application and Validation. IEEE Trans. Geosci. Remote Sens. 2014, 52, 6564–6573. [Google Scholar] [CrossRef]
- Wan, W.; Larson, K.M.; Small, E.E.; Chew, C.C.; Braun, J.J. Using geodetic GPS receivers to measure vegetation water content. GPS Solut. 2015, 19, 237–248. [Google Scholar] [CrossRef]
- Larson, K.M.; Small, E.E. GPS ground networks for water cycle sensing. IEEE Geosci. Remote Sens. Symp. 2014, 3822–3825. [Google Scholar]
- Larson, K.M. GPS interferometric reflectometry: Applications to surface soil moisture, snow depth, and vegetation water content in the western United States. Wiley Interdiscip. Rev. Water 2016, 3, 775–787. [Google Scholar] [CrossRef]
- Larson, K.M.; Nievinski, F.G. GPS snow sensing: Results from the EarthScope Plate Boundary Observatory. GPS Solut. 2013, 17, 41–52. [Google Scholar] [CrossRef]
- Larson, K.M.; Small, E.E. Estimation of Snow Depth Using L1 GPS Signal-to-Noise Ratio Data. IEEE J. Sel. Top. Appl. Earth Observ. Remote Sens. 2017, 9, 4802–4808. [Google Scholar] [CrossRef]
- Tabibi, S.; Nievinski, F.G.; Dam, T.V.; Monico, J.F.G. Assessment of modernized GPS L5 SNR for ground-based multipath reflectometry applications. Adv. Space Res. 2015, 55, 1104–1116. [Google Scholar] [CrossRef] [Green Version]
- Tabibi, S.; Nievinski, F.G.; Dam, T.V. Multi-GNSS and multi-frequency SNR multipath reflectometry of snow depth, Trans EOS, G44A-07. In Proceedings of the AGU Fall Meeting Abstract, San Francisco, CA, USA, 17 December 2015. [Google Scholar]
- Tabibi, S.; Nievinski, F.G.; Dam, T.V. Statistical Comparison and Combination of GPS, GLONASS, and Multi-GNSS Multipath Reflectometry Applied to Snow Depth Retrieval. IEEE Trans. Geosci. Remote Sens. 2017, 55, 3773–3785. [Google Scholar] [CrossRef]
- Jin, S.; Qian, X.; Kutoglu, H. Snow Depth Variations Estimated from GPS-Reflectometry: A Case Study in Alaska from L2P SNR Data. Remote Sens. 2016, 8, 63. [Google Scholar] [CrossRef] [Green Version]
- Zhou, W.; Liu, L.; Huang, L.; Li, J.; Chen, J.; Chen, F.D.; Xing, Y.; Liu, L. Monitoring snow depth based on the SNR signal of GLONASS satellites. J. Remote Sens. 2018, 22, 889–899. [Google Scholar] [CrossRef]
- Zhou, W.; Liu, L.; Huang, L.; Yao, Y.; Chen, J.; Li, S. A new GPS SNR-Based Combination Approach for Land Surface Snow Depth Monitoring. Sci. Rep. 2019, 9, 3814. [Google Scholar] [CrossRef] [Green Version]
- Wang, Z.; Liu, Z.; An, J.; Lin, G. Snow depth detection and error analysis derived from SNR of GPS and BDS. Acta Geod. Cartogr. Sin. 2018, 47, 8–16. [Google Scholar] [CrossRef]
- Wang, X.; Zhang, S.; Wang, L.; He, X.; Zhang, Q. Analysis and combination of multi-GNSS snow depth retrievals in multipath reflectometry. GPS Solut. 2020, 24, 1–13. [Google Scholar] [CrossRef]
- Bilich, A.; Larson, K.M.; Axelrad, P. Observations of signal-to-noise ratios (SNR) at geodetic GPS site CASA: Implications for phase multipath. Proc. Cent. Eur. Geodyn. Seismol. 2004, 23, 77–83. [Google Scholar]
- Bilich, A.; Larson, K.M. Mapping the GPS multipath environment using the signal-to-noise ratio (SNR). Radio Sci. 2007, 42, RS6003. [Google Scholar] [CrossRef]
- Zhang, S.; Peng, J.; Zhang, C.; Zhang, J.; Liu, Q. GiRsnow: An open-source software for snow depth retrievals using GNSS interferometric reflectometry. GPS Solut. 2021, 25, 1–8. [Google Scholar] [CrossRef]
- Roussel, N.; Ramillien, G.; Frappart, F.; Darrozes, J.; Gay, A.; Biancale, R.; Striebig, N.; Hanquiez, V.; Bertin, X.; Allain, D. Sea level monitoring and sea state estimate using a single geodetic receiver. Remote Sens. Environ. 2015, 171, 261–277. [Google Scholar] [CrossRef]
- Roesler, C.; Larson, K.M. Software tools for GNSS interferometric reflectometry (GNSS-IR). GPS Solut. 2018, 22, 1–10. [Google Scholar] [CrossRef] [Green Version]
- Axelrad, P.; Larson, K.; Jones, B. Use of the correct satellite repeat period to characterize and reduce site-specific multipath errors. In Proceedings of the ION GNSS 2005, Long Beach, CA, USA, 13–16 September 2005; pp. 2638–2648. [Google Scholar]
- Lomb, N.R. Least-squares frequency analysis of unequally spaced data. Astrophys. Space Sci. 1976, 39, 447–462. [Google Scholar] [CrossRef]
- Scargle, J.D. Studies in astronomical time series analysis. II—Statistical aspects of spectral analysis of unevenly spaced data. Astrophys. J. 1982, 263, 835–853. [Google Scholar] [CrossRef]
- Williams, S.D.P.; Nievinski, F.G. Tropospheric delays in ground-based GNSS multipath reflectometry—Experimental evidence from coastal sites. J. Geophys. Res. Solid Earth. 2017, 122, 2310–2327. [Google Scholar] [CrossRef] [Green Version]
- He, X.; Wang, J.; Wang, X.; Song, M. Retrieval of coastal typhoon storm surge using multi-GNSS-IR. Acta Geod. Cartogr. Sin. 2020, 49, 1168–1178. [Google Scholar] [CrossRef]
















| Satellite System | Frequency Band/Frequency (MHz) | Channel or Code | Carrier Phase | SNR Types | Yes/No Use |
|---|---|---|---|---|---|
| GPS | L1/1575.42 | C/A | L1C | S1C | YES |
| Z-tracking and similar (AS on) | L1W | S1W | |||
| L2/1227.60 | L2C(L) | L2L | S2L | ||
| Z-tracking and similar (AS on) | L2W | S2W | |||
| L5/1176.45 | Q | L5Q | S5Q | ||
| GLONASS | G1/(1602 + k*9/16) K = −7 … + 12 | C/A | L1C | S1C | YES |
| G2/(1246 + k*7/16) | C/A | L2C | S2C | ||
| Galileo | E1/1575.42 | C | L1C | S1C | YES |
| E5a/1176.45 | Q | L5Q | S5Q | ||
| E6/1278.75 | C | L6C | S6C | ||
| E5b/1207.14 | Q | L7Q | S7Q | ||
| E5(E5a + E5b)/1191.795 | Q | L8Q | S8Q | ||
| BDS | B1/1561.098 | I | L1I | S2I | YES |
| B3/1268.52 | I | L6I | S6I | ||
| B2/1207.140 | I | L7I | S7I | ||
| QZSS | L1/1575.42 | C/A | L1C | S1C | NO |
| L2/1227.60 | L2C(L) | L2L | S2L | ||
| L5/1176.45 | Q | L5Q | S5Q | ||
| SBAS | L1/1575.42 | C/A | L1C | S1C | NO |
| L5/1176.45 | I | L5I | S5I |
| Satellite System | SNR Types | Mean LSP of 4 Days/m |
|---|---|---|
| GPS | S1C | 1.834 |
| S2L | 1.910 | |
| S5Q | 1.918 | |
| GLONASS | S1C | 1.815 |
| S2C | 1.914 | |
| Galileo | S1C | 1.813 |
| S5Q | 1.866 | |
| S6C | 1.854 | |
| S7Q | 1.844 | |
| S8Q | 1.854 | |
| BDS | S2I | 1.810 |
| S6I | 1.826 | |
| S7I | 1.830 |
| Satellite System | SNR Types | R | RMSE/m |
|---|---|---|---|
| GPS | S1C | 0.90 | 0.09 |
| S2L | 0.99 | 0.05 | |
| S5Q | 0.98 | 0.08 | |
| GLONASS | S1C | 0.83 | 0.10 |
| S2C | 0.97 | 0.10 | |
| Galileo | S1C | 0.88 | 0.08 |
| S5Q | 0.95 | 0.07 | |
| S6C | 0.94 | 0.06 | |
| S7Q | 0.96 | 0.05 | |
| S8Q | 0.95 | 0.06 | |
| BDS | S2I | 0.86 | 0.09 |
| S6I | 0.95 | 0.05 | |
| S7I | 0.93 | 0.06 |
| Satellite System | SNR Types | Increases in R | Decreases in the RMSE |
|---|---|---|---|
| GPS | S1C | 9.1% | 55.6% |
| S2L | 0.0% | 20.0% | |
| S5Q | 1.0% | 50.0% | |
| GLONASS | S1C | 11.7% | 30.0% |
| S2C | −3.2% | 30.0% | |
| Galileo | S1C | 9.3% | 37.5% |
| S5Q | 2.1% | 28.5% | |
| S6C | 3.1% | 16.7% | |
| S7Q | 1.0% | 0.0% | |
| S8Q | 2.1% | 16.7% | |
| BDS | S2I | 9.5% | 44.4% |
| S6I | 0.0% | 0.0% | |
| S7I | 2.1% | 16.7% |
| Satellite System | Increases in R | Decreases in the RMSE |
|---|---|---|
| GPS | 0.0% | 25.0% |
| GLONASS | 5.1% | 57.1% |
| Galileo | 2.0% | 40% |
| BDS | 4.0% | 40% |
Publisher’s Note: MDPI stays neutral with regard to jurisdictional claims in published maps and institutional affiliations. |
© 2021 by the authors. Licensee MDPI, Basel, Switzerland. This article is an open access article distributed under the terms and conditions of the Creative Commons Attribution (CC BY) license (https://creativecommons.org/licenses/by/4.0/).
Share and Cite
Tu, J.; Wei, H.; Zhang, R.; Yang, L.; Lv, J.; Li, X.; Nie, S.; Li, P.; Wang, Y.; Li, N. GNSS-IR Snow Depth Retrieval from Multi-GNSS and Multi-Frequency Data. Remote Sens. 2021, 13, 4311. https://doi.org/10.3390/rs13214311
Tu J, Wei H, Zhang R, Yang L, Lv J, Li X, Nie S, Li P, Wang Y, Li N. GNSS-IR Snow Depth Retrieval from Multi-GNSS and Multi-Frequency Data. Remote Sensing. 2021; 13(21):4311. https://doi.org/10.3390/rs13214311
Chicago/Turabian StyleTu, Jinsheng, Haohan Wei, Rui Zhang, Lei Yang, Jichao Lv, Xiaoming Li, Shihai Nie, Peng Li, Yanxia Wang, and Nan Li. 2021. "GNSS-IR Snow Depth Retrieval from Multi-GNSS and Multi-Frequency Data" Remote Sensing 13, no. 21: 4311. https://doi.org/10.3390/rs13214311
APA StyleTu, J., Wei, H., Zhang, R., Yang, L., Lv, J., Li, X., Nie, S., Li, P., Wang, Y., & Li, N. (2021). GNSS-IR Snow Depth Retrieval from Multi-GNSS and Multi-Frequency Data. Remote Sensing, 13(21), 4311. https://doi.org/10.3390/rs13214311

