Digital Mapping of Soil Organic Carbon Using Sentinel Series Data: A Case Study of the Ebinur Lake Watershed in Xinjiang
Abstract
1. Introduction
2. Materials and Methods
2.1. Study Area
2.2. Soil Data Source
2.3. Environment Variables
2.3.1. Topographic Variables
2.3.2. Remote Sensing Variables and Processing
2.3.3. Climate Variables
2.4. Modelling Techniques
2.4.1. Random Forest
2.4.2. Cubist
2.5. Model Calibration and Validation
3. Results
3.1. Descriptive Analysis of SOC and Environment Variables
3.2. Evaluation and Comparison of Different Models
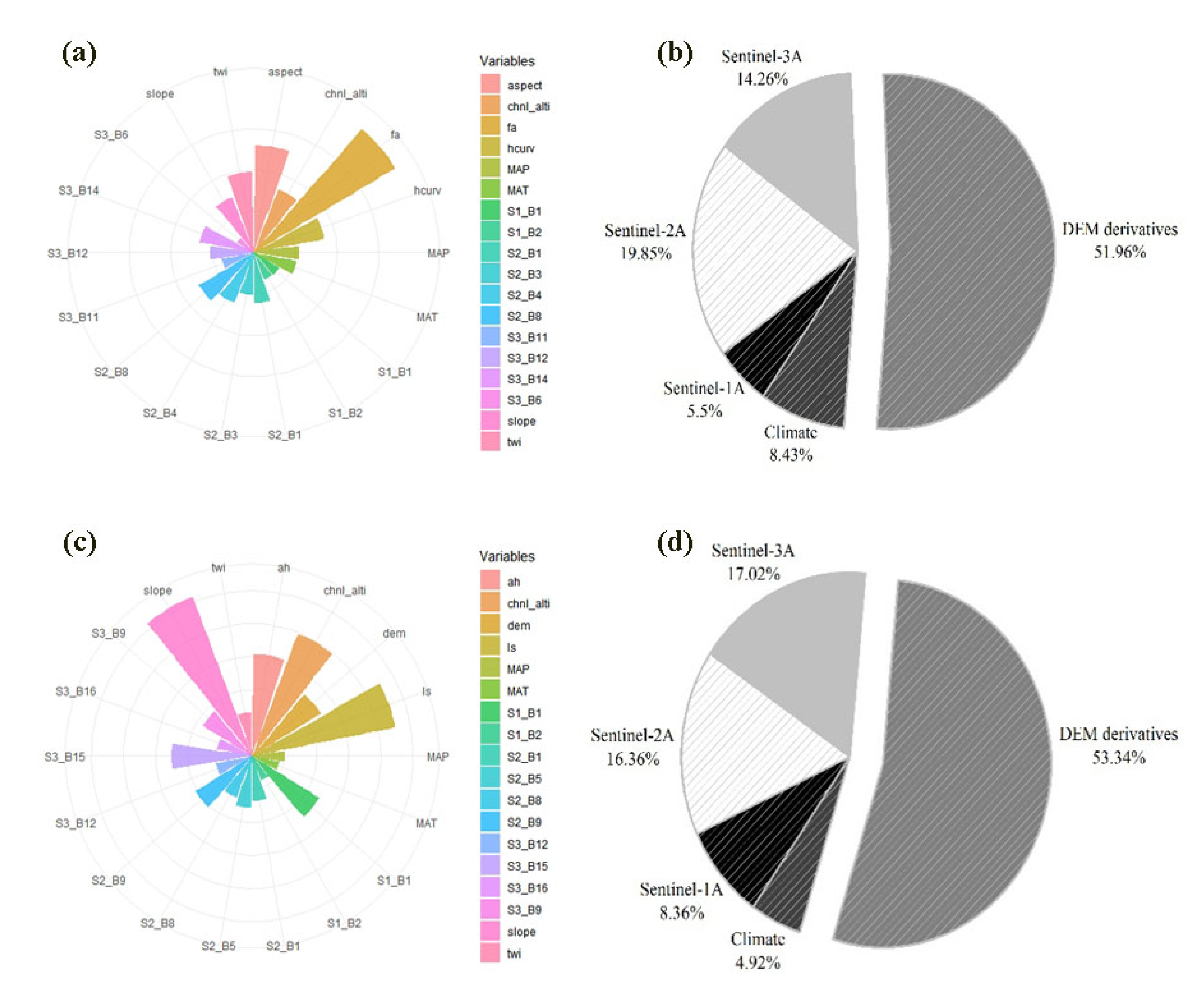
3.3. Importance Analysis of Environmental Variables
3.4. Spatial Prediction Results of SOC
4. Discussion
4.1. Sentinel-1A/2A/3A for SOC Prediction
4.2. Analysis of Environmental Variables
4.3. Comparison of Spatial Prediction Models
5. Conclusions
- (1)
- The simulation accuracies of the three data sources are ranked as Sentinel-1A (Model A) > Sentinel-2A (Model B) > Sentinel-3A (Model C). The prediction performance of the three data at different spatial resolutions is better for Sentinel-1A and Sentinel-2A at 10 m resolution and best for Sentinel-3A at 500 m.
- (2)
- Combining all environmental variables, the best model is model G. Model G is a combination of radar data, optical data and all environmental variables. In this model, the RF method has the best modeling effect at 10 m, R2 = 0.406, MAE = 0.162, REMS = 5.947, LCCC = 0.266. In model E that combines SAR data with environmental variables, the prediction effect of 300 m is best to reach R2 = 0.383. In model F that combines spectral data (S-2, S-3) with environmental variables, the 100 m prediction effect is best to reach R2 = 0.397.
- (3)
- From the overall perspective, the accuracy of the RF model is better than that of Cubist among the two machine learning models, and the RF model can be used to predict SOC in arid areas in the future.
- (4)
- The spatial distribution of SOC shows that the SOC content is higher in oases, and lower in mountainous areas and areas around lake.
Author Contributions
Funding
Acknowledgments
Conflicts of Interest
References
- Lal, R. Soil carbon sequestration impacts on global climate change and food security. Science 2004, 304, 1623–1627. [Google Scholar] [CrossRef] [PubMed]
- Lozano-García, B.; Francaviglia, R.; Renzi, G.; Doro, L.; Ledda, L.; Benítez, C.; González-Rosado, M.; Parras-Alcántara, L. Land use change effects on soil organic carbon store. An opportunity to soils regeneration in Mediterranean areas: Implications in the 4p1000 notion. Ecol. Indic. 2020, 119, 106831. [Google Scholar] [CrossRef]
- Chen, L.-F.; He, Z.-B.; Du, J.; Yang, J.-J.; Zhu, X. Patterns and environmental controls of soil organic carbon and total nitrogen in alpine ecosystems of northwestern China. CATENA 2016, 137, 37–43. [Google Scholar] [CrossRef]
- Dasandi, N.; Graham, H.; Lampard, P.; Jankin Mikhaylov, S. Engagement with health in national climate change commitments under the Paris Agreement: A global mixed-methods analysis of the nationally determined contributions. Lancet Planet. Health 2021, 5, e93–e101. [Google Scholar] [CrossRef]
- Silatsa, F.B.T.; Yemefack, M.; Tabi, F.O.; Heuvelink, G.B.M.; Leenaars, J.G.B. Assessing countrywide soil organic carbon stock using hybrid machine learning modelling and legacy soil data in Cameroon. Geoderma 2020, 367, 114260. [Google Scholar] [CrossRef]
- Batjes, N.H. Effects of mapped variation in soil conditions on estimates of soil carbon and nitrogen stocks for South America. Geoderma 2000, 97, 135–144. [Google Scholar] [CrossRef]
- Yang, Y.; Mohammat, A.; Feng, J.; Zhou, R.; Fand, J. Storage, patterns and environmental Controls of soil organic Carbon in China. Biogeochemistry 2007, 84, 121–141. [Google Scholar] [CrossRef]
- Yang, R.-M.; Zhang, G.-L.; Liu, F.; Lu, Y.-Y.; Yang, F.; Yang, F.; Yang, M.; Zhao, Y.-G.; Li, D.-C. Comparison of boosted regression tree and random forest models for mapping topsoil organic carbon concentration in an alpine ecosystem. Ecol. Indic. 2016, 60, 870–878. [Google Scholar] [CrossRef]
- Mcbratney, A.; Santos, M.L.M.; Minasny, B. On Digital Soil Mapping. Geoderma 2003, 117, 3–52. [Google Scholar] [CrossRef]
- Cinelli, G.; Tondeur, F.; Dehandschutter, B. Mapping potassium and thorium concentrations in Belgian soils. J. Environ. Radioact. 2018, 184–185, 127–139. [Google Scholar] [CrossRef]
- Jeong, G.; Oeverdieck, H.; Park, S.J.; Huwe, B.; Ließ, M. Spatial soil nutrients prediction using three supervised learning methods for assessment of land potentials in complex terrain. CATENA 2017, 154, 73–84. [Google Scholar] [CrossRef]
- John, K.; Isong, I.A.; Kebonye, N.M.; Ayito, E.O.; Agyeman, P.C.; Afu, S.M. Using Machine Learning Algorithms to Estimate Soil Organic Carbon Variability with Environmental Variables and Soil Nutrient Indicators in an Alluvial Soil. Land 2020, 9, 487. [Google Scholar] [CrossRef]
- Guo, Z.; Adhikari, K.; Chellasamy, M.; Greve, M.B.; Owens, P.R.; Greve, M.H. Selection of terrain attributes and its scale dependency on soil organic carbon prediction. Geoderma 2019, 340, 303–312. [Google Scholar] [CrossRef]
- Doetterl, S.; Stevens, A.; Six, J.; Merckx, R.; van Oost, K.; Casanova Pinto, M.; Casanova-Katny, A.; MuñOz, C.; Boudin, M.; Zagal Venegas, E. Soil carbon storage controlled by interactions between geochemistry and climate. Nat. Geosci. 2015. [Google Scholar] [CrossRef]
- Xiong, X.; Grunwald, S.; Myers, D.B.; Kim, J.; Harris, W.G.; Comerford, N.B. Holistic environmental soil-landscape modeling of soil organic carbon. Environ. Model. Softw. 2014, 57, 202–215. [Google Scholar] [CrossRef]
- Wiesmeier, M.; Urbanski, L.; Hobley, E.; Lang, B.; von Lützow, M.; Marin-Spiotta, E.; van Wesemael, B.; Rabot, E.; Ließ, M.; Garcia-Franco, N.; et al. Soil organic carbon storage as a key function of soils—A review of drivers and indicators at various scales. Geoderma 2019, 333, 149–162. [Google Scholar] [CrossRef]
- Yang, R.M.; Zhang, G.L.; Yang, F.; Zhi, J.J.; Yang, F.; Liu, F.; Zhao, Y.G.; Li, D.C. Precise estimation of soil organic carbon stocks in the northeast Tibetan Plateau. Sci. Rep. 2015, 6, 21842. [Google Scholar] [CrossRef] [PubMed]
- Arunrat, N.; Pumijumnong, N.; Hatano, R. Predicting local-scale impact of climate change on rice yield and soil organic carbon sequestration: A case study in Roi Et Province, Northeast Thailand. Agric. Syst. 2018, 164, 58–70. [Google Scholar] [CrossRef]
- Jia, B.; Zhang, Z.; Ci, L.; Ren, Y.; Pan, B.; Zhang, Z. Oasis land-use dynamics and its influence on the oasis environment in Xinjiang, China. J. Arid Environ. 2004, 56, 11–26. [Google Scholar] [CrossRef]
- Zhu, B.; Yu, J.; Qin, X.; Rioual, P.; Xiong, H. Climatic and geological factors contributing to the natural water chemistry in an arid environment from watersheds in northern Xinjiang, China. Geomorphology 2012, 153–154, 102–114. [Google Scholar] [CrossRef]
- Yang, Z.; Gao, X.; Lei, J. Fuzzy comprehensive risk evaluation of aeolian disasters in Xinjiang, Northwest China. Aeolian Res. 2021, 48, 100647. [Google Scholar] [CrossRef]
- Moore, I.D.; Gessler, P.E.; Nielsen, G.A.E.; Peterson, G.A. Soil Attribute Prediction Using Terrain Analysis. Soil Sci. Soc. Am. J. 1993, 57, 443–452. [Google Scholar] [CrossRef]
- Odeh, I.O.A.; McBratney, A.B.; Chittleborough, D.J. Further results on prediction of soil properties from terrain attributes: Heterotopic cokriging and regression-kriging. Geoderma 1995, 67, 215–226. [Google Scholar] [CrossRef]
- Stockmann, U.; Malone, B.P.; McBratney, A.B.; Minasny, B. Landscape-scale exploratory radiometric mapping using proximal soil sensing. Geoderma 2015, 239–240, 115–129. [Google Scholar] [CrossRef]
- Malone, B.P.; Jha, S.K.; Minasny, B.; McBratney, A.B. Comparing regression-based digital soil mapping and multiple-point geostatistics for the spatial extrapolation of soil data. Geoderma 2016, 262, 243–253. [Google Scholar] [CrossRef]
- Hartemink, A.E.; Krasilnikov, P.; Bockheim, J.G. Soil maps of the world. Geoderma 2013, 207–208, 256–267. [Google Scholar] [CrossRef]
- Iticha, B.; Takele, C. Digital soil mapping for site-specific management of soils. Geoderma 2019, 351, 85–91. [Google Scholar] [CrossRef]
- Were, K.; Bui, D.T.; Dick, Ø.B.; Singh, B.R. A comparative assessment of support vector regression, artificial neural networks, and random forests for predicting and mapping soil organic carbon stocks across an Afromontane landscape. Ecol. Indic. 2015, 52, 394–403. [Google Scholar] [CrossRef]
- Tajik, S.; Ayoubi, S.; Zeraatpisheh, M. Digital mapping of soil organic carbon using ensemble learning model in Mollisols of Hyrcanian forests, northern Iran. Geoderma Reg. 2020, 20, e00256. [Google Scholar] [CrossRef]
- Castaldi, F.; Hueni, A.; Chabrillat, S.; Ward, K.; Buttafuoco, G.; Bomans, B.; Vreys, K.; Brell, M.; van Wesemael, B. Evaluating the capability of the Sentinel 2 data for soil organic carbon prediction in croplands. ISPRS J. Photogramm. Remote Sens. 2019, 147, 267–282. [Google Scholar] [CrossRef]
- Sayão, V.M.; Demattê, J.A.M. Soil texture and organic carbon mapping using surface temperature and reflectance spectra in Southeast Brazil. Geoderma Reg. 2018, 14, e00174. [Google Scholar] [CrossRef]
- Gholizadeh, A.; Žižala, D.; Saberioon, M.; Borůvka, L. Soil organic carbon and texture retrieving and mapping using proximal, airborne and Sentinel-2 spectral imaging. Remote Sens. Environ. 2018, 218, 89–103. [Google Scholar] [CrossRef]
- Berger, M.; Moreno, J.; Johannessen, J.A.; Levelt, P.F.; Hanssen, R.F. ESA’s sentinel missions in support of Earth system science. Remote Sens. Environ. 2012, 120, 84–90. [Google Scholar] [CrossRef]
- Dkhala, B.; Mezned, N.; Gomez, C.; Abdeljaouad, S. Hyperspectral field spectroscopy and SENTINEL-2 Multispectral data for minerals with high pollution potential content estimation and mapping. Sci. Total Environ. 2020, 740, 140160. [Google Scholar] [CrossRef]
- Gomez, C.; Adeline, K.; Bacha, S.; Driessen, B.; Gorretta, N.; Lagacherie, P.; Roger, J.M.; Briottet, X. Sensitivity of clay content prediction to spectral configuration of VNIR/SWIR imaging data, from multispectral to hyperspectral scenarios. Remote Sens. Environ. 2018, 204, 18–30. [Google Scholar] [CrossRef]
- Belluco, E.; Camuffo, M.; Ferrari, S.; Modenese, L.; Silvestri, S.; Marani, A.; Marani, M. Mapping salt-marsh vegetation by multispectral and hyperspectral remote sensing. Remote Sens. Environ. 2006, 105, 54–67. [Google Scholar] [CrossRef]
- Wielemaker, W.G.; de Bruin, S.; Epema, G.F.; Veldkamp, A. Significance and application of the multi-hierarchical landsystem in soil mapping. CATENA 2001, 43, 15–34. [Google Scholar] [CrossRef]
- Logsdon, S.D.; Perfect, E.; Tarquis, A.M. Multiscale Soil Investigations: Physical Concepts and Mathematical Techniques. Vadose Zone J. 2008, 7, 453–455. [Google Scholar] [CrossRef]
- Viaa, R.; Magillo, P.; Puppo, E. Multi-Scale Geographic Maps; Springer: Berlin/Heidelberg, Germany, 2005. [Google Scholar]
- Dumont, M.; Touya, G.; Duchêne, C. Designing multi-scale maps: Lessons learned from existing practices. Int. J. Cartogr. 2020, 6, 121–151. [Google Scholar] [CrossRef]
- Pahlavan-Rad, M.R.; Dahmardeh, K.; Brungard, C. Predicting soil organic carbon concentrations in a low relief landscape, eastern Iran. Geoderma Reg. 2018, 15, e00195. [Google Scholar] [CrossRef]
- Huang, X.; Senthilkumar, S.; Kravchenko, A.; Thelen, K.; Qi, J. Total carbon mapping in glacial till soils using near-infrared spectroscopy, Landsat imagery and topographical information. Geoderma 2007, 141, 34–42. [Google Scholar] [CrossRef]
- Dou, X.; Wang, X.; Liu, H.; Zhang, X.; Meng, L.; Pan, Y.; Yu, Z.; Cui, Y. Prediction of soil organic matter using multi-temporal satellite images in the Songnen Plain, China. Geoderma 2019, 356, 113896. [Google Scholar] [CrossRef]
- Yang, R.-M.; Guo, W.-W. Modelling of soil organic carbon and bulk density in invaded coastal wetlands using Sentinel-1 imagery. Int. J. Appl. Earth Obs. Geoinf. 2019, 82, 101906. [Google Scholar] [CrossRef]
- Liu, B.; D’Sa, E.J.; Joshi, I. Multi-decadal trends and influences on dissolved organic carbon distribution in the Barataria Basin, Louisiana from in-situ and Landsat/MODIS observations. Remote Sens. Environ. 2019, 228, 183–202. [Google Scholar] [CrossRef]
- Lin, C.; Zhu, A.X.; Wang, Z.; Wang, X.; Ma, R. The refined spatiotemporal representation of soil organic matter based on remote images fusion of Sentinel-2 and Sentinel-3. Int. J. Appl. Earth Obs. Geoinf. 2020, 89, 102094. [Google Scholar] [CrossRef]
- Zhou, T.; Geng, Y.; Chen, J.; Pan, J.; Haase, D.; Lausch, A. High-resolution digital mapping of soil organic carbon and soil total nitrogen using DEM derivatives, Sentinel-1 and Sentinel-2 data based on machine learning algorithms. Sci. Total Environ. 2020, 729, 138244. [Google Scholar] [CrossRef] [PubMed]
- Zhou, T.; Geng, Y.; Ji, C.; Xu, X.; Wang, H.; Pan, J.; Bumberger, J.; Haase, D.; Lausch, A. Prediction of soil organic carbon and the C:N ratio on a national scale using machine learning and satellite data: A comparison between Sentinel-2, Sentinel-3 and Landsat-8 images. Sci. Total Environ. 2021, 755, 142661. [Google Scholar] [CrossRef]
- Ge, Y.; Abuduwaili, J.; Ma, L.; Wu, N.; Liu, D. Potential transport pathways of dust emanating from the playa of Ebinur Lake, Xinjiang, in arid northwest China. Atmos. Res. 2016, 178–179, 196–206. [Google Scholar] [CrossRef]
- Hao, S.; Li, F.; Li, Y.; Gu, C.; Zhang, Q.; Qiao, Y.; Jiao, L.; Zhu, N. Stable isotope evidence for identifying the recharge mechanisms of precipitation, surface water, and groundwater in the Ebinur Lake basin. Sci. Total Environ. 2019, 657, 1041–1050. [Google Scholar] [CrossRef]
- Yushanjiang, A.; Zhang, F.; Yu, H.; Kung, H. Quantifying the spatial correlations between landscape pattern and ecosystem service value: A case study in Ebinur Lake Basin, Xinjiang, China. Ecol. Eng. 2018, 113, 94–104. [Google Scholar] [CrossRef]
- Wang, J.; Ding, J.; Yu, D.; Ma, X.; Zhang, Z.; Ge, X.; Teng, D.; Li, X.; Liang, J.; Lizaga, I.; et al. Capability of Sentinel-2 MSI data for monitoring and mapping of soil salinity in dry and wet seasons in the Ebinur Lake region, Xinjiang, China. Geoderma 2019, 353, 172–187. [Google Scholar] [CrossRef]
- Nawar, S.; Mouazen, A.M. On-line vis-NIR spectroscopy prediction of soil organic carbon using machine learning. Soil Tillage Res. 2019, 190, 120–127. [Google Scholar] [CrossRef]
- Nelson, D. A rapid and accurate method for estimating organic carbon in soil. Proc. Indiana Acad. Sci. 1975, 84, 456–462. [Google Scholar]
- Conrad, O.; Bechtel, B.; Bock, M.; Dietrich, H.; Fischer, E.; Gerlitz, L.; Wehberg, J.; Wichmann, V.; Böhner, J. System for Automated Geoscientific Analyses (SAGA) v. 2.1.4. Geosci. Model Dev. 2015, 8, 1991–2007. [Google Scholar] [CrossRef]
- Quinn, P.; Beven, K.; Chevallier, P.; Planchon, O. The prediction of hillslope flow paths for distributed hydrological modelling using digital terrain models. Hydrol. Process. 2010, 5, 59–79. [Google Scholar] [CrossRef]
- Wood, J. Chapter 14 Geomorphometry in LandSerf. In Developments in Soil Science; Hengl, T., Reuter, H.I., Eds.; Elsevier: Amsterdam, The Netherlands, 2009; pp. 333–349. ISBN 0166-2481. [Google Scholar]
- Iwahashi, J.; Pike, R.J. Automated classifications of topography from DEMs by an unsupervised nested-means algorithm and a three-part geometric signature. Geomorphology 2007, 86, 409–440. [Google Scholar] [CrossRef]
- Cheng, Z.Q.; Zhan, L.J. Parallelizing flow-accumulation calculations on graphics processing units-From iterative DEM preprocessing algorithm to recursive multiple-flow-direction algorithm. Comput. Geosci. 2012, 43, 7–16. [Google Scholar]
- Gallant, J.C.; Dowling, T.I. A multiresolution index of valley bottom flatness for mapping depositional areas. Water Resour. Res. 2003, 39, 291–297. [Google Scholar] [CrossRef]
- Bock, M.; Köthe, R. Predicting the Depth of Hydromorphic Soil Haracteristics Influenced by Ground Water. SAGA—Seconds Out 2008, 19, 13–22. [Google Scholar]
- Rodriguez, F. The Black Top Hat function applied to a DEM: A tool to estimate recent incision in a mountainous watershed (Estibère Watershed, Central Pyrenees). Geophys. Res. Lett. 2002, 29. [Google Scholar] [CrossRef]
- Dawen, Y.; Srikantha, H.; Katumi, M. A hillslope-based hydrological model using catchment area and width functions. Hydrol. Sci. J. 2002, 47, 49–65. [Google Scholar]
- Böhner, T.S.J. Spatial prediction of soil attributes using terrain analysis and climate regionalisation. SAGA–Analyses and Modelling Applications. Göttinger Geogr. Abh. 2006, 115, 13–28. [Google Scholar]
- Hong, S.H.; Wdowinski, S. Evaluation of the quad-polarimetric Radarsat-2 observations for the wetland InSAR application. Can. J. Remote Sens. 2012, 37, 484–492. [Google Scholar] [CrossRef]
- Wang, C.; Pan, Y.; Chen, J.; Ouyang, Y.; Rao, J.; Jiang, Q. Indicator element selection and geochemical anomaly mapping using recursive feature elimination and random forest methods in the Jingdezhen region of Jiangxi Province, South China. Appl. Geochem. 2020, 122, 104760. [Google Scholar] [CrossRef]
- Zhou, T.; Zhao, M.; Sun, C.; Pan, J. Exploring the impact of seasonality on urban land-cover mapping using multi-season sentinel-1A and GF-1 WFV images in a subtropical monsoon-climate region. ISPRS Int. J. Geo-Inf. 2018, 7, 3. [Google Scholar]
- Louis, J.; Debaecker, V.; Pflug, B.; Main-Knorn, M.; Bieniarz, J.; Müller-Wilm, U.; Cadau, E.G.; Gascon, F. SENTINEL-2 SEN2COR: L2A Processor for Users. In Proceedings of the ESA Living Planet Symposium, Prague, Czech Republic, 9–13 May 2016. [Google Scholar]
- Yue, T.X.; Zhao, N.; Ramsey, R.D.; Wang, C.L.; Fan, Z.M.; Chen, C.F.; Lu, Y.M.; Li, B.L. Climate change trend in China, with improved accuracy. Clim. Chang. 2013, 120, 137–151. [Google Scholar] [CrossRef]
- Jeung, M.; Baek, S.; Beom, J.; Cho, K.H.; Her, Y.; Yoon, K. Evaluation of random forest and regression tree methods for estimation of mass first flush ratio in urban catchments. J. Hydrol. 2019, 575, 1099–1110. [Google Scholar] [CrossRef]
- Zhou, X.; Wang, P.; Tansey, K.; Zhang, S.; Li, H.; Tian, H. Reconstruction of time series leaf area index for improving wheat yield estimates at field scales by fusion of Sentinel-2, -3 and MODIS imagery. Comput. Electron. Agric. 2020, 177, 105692. [Google Scholar] [CrossRef]
- Pal, M.; Giles, M.F. Feature Selection for Classification of Hyperspectral Data by SVM. IEEE Trans. Geosci. Remote Sens. 2010, 48, 2297–2307. [Google Scholar] [CrossRef]
- Khosravi, I.; Alavipanah, S.K. A random forest-based framework for crop mapping using temporal, spectral, textural and polarimetric observations. Int. J. Remote Sens. 2019, 40, 7221–7251. [Google Scholar] [CrossRef]
- Wang, B.; Waters, C.; Orgill, S.; Cowie, A.; Clark, A.; de Li, L.; Simpson, M.; McGowen, I.; Sides, T. Estimating soil organic carbon stocks using different modelling techniques in the semi-arid rangelands of eastern Australia. Ecol. Indic. 2018, 88, 425–438. [Google Scholar] [CrossRef]
- Appelhans, T.; Mwangomo, E.; Hardy, D.R.; Hemp, A.; Nauss, T. Evaluating machine learning approaches for the interpolation of monthly air temperature at Mt. Kilimanjaro, Tanzania. Spat. Stat. 2015, 14, 91–113. [Google Scholar] [CrossRef]
- Ma, Z.; Shi, Z.; Zhou, Y.; Xu, J.; Yu, W.; Yang, Y. A spatial data mining algorithm for downscaling TMPA 3B43 V7 data over the Qinghai–Tibet Plateau with the effects of systematic anomalies removed. Remote Sens. Environ. 2017, 200, 378–395. [Google Scholar] [CrossRef]
- Bui, E.; Henderson, B.; Viergever, K. Using knowledge discovery with data mining from the Australian Soil Resource Information System database to inform soil carbon mapping in Australia. Glob. Biogeochem. Cycles 2009, 23. [Google Scholar] [CrossRef]
- Walton, J.T. Subpixel urban land cover estimation: Comparing cubist, random forests, and support vector regression. Photogramm. Eng. Remote Sens. 2008, 74, 1213–1222. [Google Scholar] [CrossRef]
- Houborg, R.; Mccabe, M.F. A hybrid training approach for leaf area index estimation via Cubist and random forests machine-learning. Isprs J. Photogramm. Remote Sens. Environ. 2017, 135, 173–188. [Google Scholar] [CrossRef]
- Henderson, B.L.; Bui, E.N.; Moran, C.J.; Simon, D.A.P. Australia-wide predictions of soil properties using decision trees. Geoderma 2005, 124, 383–398. [Google Scholar] [CrossRef]
- Pouladi, N.; Møller, A.B.; Tabatabai, S.; Greve, M.H. Mapping soil organic matter contents at field level with Cubist, Random Forest and kriging. Geoderma 2019, 342, 85–92. [Google Scholar] [CrossRef]
- Akpa, S.I.C.; Odeh, I.O.A.; Bishop, T.F.A.; Hartemink, A.E.; Amapu, I.Y. Total soil organic carbon and carbon sequestration potential in Nigeria. Geoderma 2016, 271, 202–215. [Google Scholar] [CrossRef]
- Miller, B.A.; Koszinski, S.; Wehrhan, M.; Sommer, M. Comparison of spatial association approaches for landscape mapping of soil organic carbon stocks. Soil 2015, 1, 217–233. [Google Scholar] [CrossRef]
- Amirian-Chakan, A.; Minasny, B.; Taghizadeh-Mehrjardi, R.; Akbarifazli, R.; Darvishpasand, Z.; Khordehbin, S. Some practical aspects of predicting texture data in digital soil mapping. Soil Tillage Res. 2019, 194, 104289. [Google Scholar] [CrossRef]
- Fabio, C.; Sabine, C.; Arwyn, J.; Kristin, V.; Bart, B.; van Bas, W. Soil Organic Carbon Estimation in Croplands by Hyperspectral Remote APEX Data Using the LUCAS Topsoil Database. Remote Sens. 2018, 10, 153. [Google Scholar]
- Kuei, I.; Lin, L. A concordance correlation coefficient to evaluate reproducibility. Biometrics 1989, 45, 255–268. [Google Scholar]
- Wiesmeier, M.; Barthold, F.; Blank, B.; Ingrid, K.-K. Digital mapping of soil organic matter stocks using Random Forest modeling in a semi-arid steppe ecosystem. Plant Soil 2011, 340, 7–24. [Google Scholar] [CrossRef]
- Yang, R.-M.; Guo, W.-W.; Zheng, J.-B. Soil prediction for coastal wetlands following Spartina alterniflora invasion using Sentinel-1 imagery and structural equation modeling. CATENA 2019, 173, 465–470. [Google Scholar] [CrossRef]
- Stevens, A.; Udelhoven, T.; Denis, A.; Tychon, B.; Lioy, R.; Hoffmann, L.; van Wesemael, B. Measuring soil organic carbon in croplands at regional scale using airborne imaging spectroscopy. Geoderma 2010, 158, 32–45. [Google Scholar] [CrossRef]
- Li, W.; Niu, Z.; Shang, R.; Qin, Y.; Wang, L.; Chen, H. High-resolution mapping of forest canopy height using machine learning by coupling ICESat-2 LiDAR with Sentinel-1, Sentinel-2 and Landsat-8 data. Int. J. Appl. Earth Obs. Geoinf. 2020, 92, 102163. [Google Scholar] [CrossRef]
- Kim, J.; Grunwald, S.; Rivero, R.G.; Rick, R. Multi-scale Modeling of Soil Series Using Remote Sensing in a Wetland Ecosystem. Soil Sci. Soc. Am. J. 2012, 76, 2327. [Google Scholar] [CrossRef]
- Yu, H.; Zha, T.; Zhang, X.; Nie, L.; Ma, L.; Pan, Y. Spatial distribution of soil organic carbon may be predominantly regulated by topography in a small revegetated watershed. CATENA 2020, 188, 104459. [Google Scholar] [CrossRef]
- Yoo, K.; Amundson, R.; Heimsath, A.M.; Dietrich, W.E. Spatial patterns of soil organic carbon on hillslopes: Integrating geomorphic processes and the biological C cycle. Geoderma 2006, 130, 47–65. [Google Scholar] [CrossRef]
- Zhang, X.; Liu, M.; Zhao, X.; Li, Y.; Zhao, W.; Li, A.; Chen, S.; Chen, S.; Han, X.; Huang, J. Topography and grazing effects on storage of soil organic carbon and nitrogen in the northern China grasslands. Ecol. Indic. 2018, 93, 45–53. [Google Scholar] [CrossRef]
- Bangroo, S.A.; Najar, G.R.; Achin, E.; Truong, P.N. Application of predictor variables in spatial quantification of soil organic carbon and total nitrogen using regression kriging in the North Kashmir forest Himalayas. CATENA 2020, 193, 104632. [Google Scholar] [CrossRef]
- Mondal, A.; Khare, D.; Kundu, S.; Mondal, S.; Mukherjee, S.; Mukhopadhyay, A. Spatial soil organic carbon (SOC) prediction by regression kriging using remote sensing data. Egypt. J. Remote Sens. Space Sci. 2017, 20, 61–70. [Google Scholar] [CrossRef]
- Schwanghart, W.; Jarmer, T. Linking spatial patterns of soil organic carbon to topography—A case study from south-eastern Spain. Geomorphology 2011, 126, 252–263. [Google Scholar] [CrossRef]
- Cantón, Y.; Solé-Benet, A.; Domingo, F. Temporal and spatial patterns of soil moisture in semiarid badlands of SE Spain. J. Hydrol. 2004, 285, 199–214. [Google Scholar] [CrossRef]
- Liu, Z.; Fagherazzi, S.; She, X.; Ma, X.; Xie, C.; Cui, B. Efficient tidal channel networks alleviate the drought-induced die-off of salt marshes: Implications for coastal restoration and management. Sci. Total Environ. 2020, 749, 141493. [Google Scholar] [CrossRef]
- Kabindra, A.; Hartemink, A.E.; Budiman, M.; Rania, B.K.; Greve, M.B.; Greve, M.H.; Hui, D. Digital Mapping of Soil Organic Carbon Contents and Stocks in Denmark. PLoS ONE 2014, 9, e105519. [Google Scholar]
- Farrokhzad, F.; Barari, A.; Choobbasti, A.J.; Ibsen, L.B. Neural network-based model for landslide susceptibility and soil longitudinal profile analyses: Two case studies. J. Afr. Earth Sci. 2011, 61, 349–357. [Google Scholar] [CrossRef]
- Mashalaba, L.; Galleguillos, M.; Seguel, O.; Poblete-Olivares, J. Predicting spatial variability of selected soil properties using digital soil mapping in a rainfed vineyard of central Chile. Geoderma Reg. 2020, 22, e00289. [Google Scholar] [CrossRef]
- Liu, S.; An, N.; Yang, J.; Dong, S.; Wang, C.; Yin, Y. Prediction of soil organic matter variability associated with different land use types in mountainous landscape in southwestern Yunnan province, China. CATENA 2015, 133, 137–144. [Google Scholar] [CrossRef]
- Xu, H.; Zeng, C.; Wang, W.; Zhai, J. Study on Vertical Distribution and the Influencing Factors of Soil Organic Carbon in Ebinur Lake Wetland. J. Fujian Norm. Univ. 2010, 26, 92–97. [Google Scholar]
- Qi, Q.; Zhang, D.; Zhang, M.; Tong, S.; Wang, W.; An, Y. Spatial distribution of soil organic carbon and total nitrogen in disturbed Carex tussock wetland. Ecol. Indic. 2021, 120, 106930. [Google Scholar] [CrossRef]
- Chen, W.; Ge, Z.-M.; Fei, B.-L.; Chao, Z.; Liu, Q.-X.; Zhang, L.-Q. Soil carbon and nitrogen storage in recently restored and mature native Scirpus marshes in the Yangtze Estuary, China: Implications for restoration. Ecol. Eng. 2017, 104, 150–157. [Google Scholar] [CrossRef]
- Hobley, E.U.; Baldock, J.; Wilson, B. Environmental and human influences on organic carbon fractions down the soil profile. Agric. Ecosyst. Environ. 2016, 223, 152–166. [Google Scholar] [CrossRef]
- Knoepp, J.D.; See, C.R.; Vose, J.M.; Miniat, C.F.; Clark, J.S. Total C and N Pools and Fluxes Vary with Time, Soil Temperature, and Moisture Along an Elevation, Precipitation, and Vegetation Gradient in Southern Appalachian Forests. Ecosystems 2018, 21, 1623–1638. [Google Scholar] [CrossRef]
- Fu, X.; Shao, M.; Wei, X.; Horton, R. Soil organic carbon and total nitrogen as affected by vegetation types in Northern Loess Plateau of China. Geoderma 2010, 155, 31–35. [Google Scholar] [CrossRef]
- Wiesmeier, M.; Barthold, F.; Spörlein, P.; Geuß, U.; Hangen, E.; Reischl, A.; Schilling, B.; Angst, G.; von Lützow, M.; Kögel-Knabner, I. Estimation of total organic carbon storage and its driving factors in soils of Bavaria (southeast Germany). Geoderma Reg. 2014, 1, 67–78. [Google Scholar] [CrossRef]
- Koven, C.D.; Hugelius, G.; Lawrence, D.M.; Wieder, W.R. Higher climatological temperature sensitivity of soil carbon in cold than warm climates. Nat. Clim. Chang. 2017, 7, 817–822. [Google Scholar] [CrossRef]
- Xu, E.; Zhang, H.; Xu, Y. Exploring land reclamation history: Soil organic carbon sequestration due to dramatic oasis agriculture expansion in arid region of Northwest China. Ecol. Indic. 2020, 108, 105746. [Google Scholar] [CrossRef]
- Kopittke, P.M.; Dalal, R.C.; Finn, D.; Menzies, N.W. Global changes in soil stocks of carbon, nitrogen, phosphorus, and sulphur as influenced by long-term agricultural production. Glob. Chang. Biol. 2017, 23, 2509–2519. [Google Scholar] [CrossRef]
- Wichern, F.; Luedeling, E.; Müller, T.; Joergensen, R.G.; Buerkert, A. Field measurements of the CO2 evolution rate under different crops during an irrigation cycle in a mountain oasis of Oman. Appl. Soil Ecol. 2004, 25, 85–91. [Google Scholar] [CrossRef]



| Classification | Attributes | Brief Description | Unit | Reference |
|---|---|---|---|---|
| Original DEM | elevation | LiDAR-produced elevation of the land surface | m | |
| locate | slope | Maximum rate of change between cells and neighbors | Degree | [55] |
| ah | Analytical Hillshading | |||
| aspect | Direction of the steepest slope from the north | [55] | ||
| hcurv | Plan Curvature: Curvature of contour drawn through the grid point | m−1 | [57] | |
| vcurv | Profile Curvature, Curvature of the surface in the direction of steepest descent | m−1 | [57] | |
| convergence | Convergence Index: The index of convergence/divergence for overland flow | % | [58] | |
| fa | Flow Accumulation | [59] | ||
| Regional | twi | Calculates slope and specific catchment area based topographic wetness index | Non-dimensional | [60] |
| chnl_base | Channel Network Base Level | m | [61] | |
| chnl_alti | Vertical Distance to Channel Network | m | [61] | |
| rsp | Relative Slope Position | [0,1] | [55] | |
| vall_depth | Valley Depth: The relative height difference to the immediate adjacent channel lines | m | [62] | |
| tca | Total Catchment Area | [63] | ||
| sink | Closed depressions | [55] | ||
| Combined | ls | Slope length (LS) factor calculates the slope length as used by USLE | m | [64] |
| Date | Imaging Model | Polarization | Direction |
|---|---|---|---|
| 20070620 | IW | VV | Ascending |
| 20070620 | IW | VH | Ascending |
| 20180721 | IW | VV | Ascending |
| 20180721 | IW | VH | Ascending |
| Sentinel-2A | Sentinel-3A | ||
|---|---|---|---|
| Band | Wavelength (nm)/spatial resolution (m) | Band | Wavelength (nm) |
| 1 | 443/60 | 1 | 400 |
| 2 | 490/10 | 2 | 412.5 |
| 3 | 560/10 | 3 | 442.5 |
| 4 | 665/10 | 4 | 490 |
| 5 | 704/20 | 5 | 510 |
| 6 | 740/20 | 6 | 560 |
| 7 | 783/20 | 7 | 620 |
| 8 | 842/10 | 8 | 665 |
| 8a | 865/20 | 9 | 673 |
| 9 | 945/60 | 10 | 681 |
| 10 | 1357/60 | 11 | 708 |
| 11 | 1610/20 | 12 | 753 |
| 12 | 2190/20 | 13 | 761 |
| 14 | 764 | ||
| 15 | 767 | ||
| 16 | 778 | ||
| 17 | 865 | ||
| 18 | 885 | ||
| 19 | 900 |
| Minimum | Maximum | Mean | Median | Standard Deviation (SD) | Skewness | |
|---|---|---|---|---|---|---|
| SOC | 0.120 | 43.125 | 13.421 | 2.384 | 7.785 | 1.143 |
| S1_B1 | −20.878 | −5.853 | −11.668 | −12.098 | 2.810 | 0.111 |
| S1_B2 | −23.046 | −13.419 | −18.555 | −18.911 | 2.520 | 0.477 |
| S2_B1 | 0.264 | 2.448 | 1.299 | 1.388 | 0.572 | −0.147 |
| S2_B11 | 1.263 | 4.761 | 2.598 | 2.556 | 0.635 | 0.704 |
| S2_B12 | 0.676 | 4.619 | 2.113 | 2.158 | 0.788 | 0.197 |
| S3_B9 | 0.035 | 0.376 | 0.189 | 0.204 | 0.074 | −0.452 |
| S3_B11 | 0.151 | 0.385 | 0.237 | 0.237 | 0.049 | 0.300 |
| S3_B12 | 0.176 | 0.678 | 0.355 | 0.336 | 0.115 | 0.933 |
| S3_B14 | 0.173 | 0.746 | 0.386 | 0.367 | 0.132 | 0.883 |
| dem | 194.000 | 415.000 | 240.514 | 222.000 | 48.513 | 1.587 |
| aspect | −1 | 1 | 0.004 | −0.00004 | 0.6929 | −1.376 |
| twi | 0.371 | 17.371 | 10.246 | 9.996 | 3.135 | −0.202 |
| chnl_alti | 0.018 | 1218.744 | 533.590 | 502.649 | 187.999 | 0.879 |
| MAT | 84.394 | 1209.806 | 103.461 | 93.041 | 111.221 | 10.040 |
| MAP | 859.788 | 1802.550 | 1171.839 | 1161.747 | 174.111 | 0.881 |
| Modeling Technique | |||||||||
|---|---|---|---|---|---|---|---|---|---|
| RF | SOC | Cubist | SOC | ||||||
| R2 | MAE | REMS | LCCC | R2 | MAE | RMSE | LCCC | ||
| Model A | Model A | ||||||||
| 10 m | 0.391 | 0.123 | 6.438 | 0.401 | 10 m | 0.335 | 0.275 | 4.883 | 0.304 |
| 100 m | 0.317 | 0.217 | 6.805 | 0.260 | 100 m | 0.295 | 0.157 | 6.369 | 0.170 |
| 300 m | 0.314 | 0.129 | 6.245 | 0.303 | 300 m | 0.300 | 0.050 | 5.576 | 0.139 |
| 500 m | 0.296 | 0.174 | 6.401 | 0.266 | 500 m | 0.238 | 0.322 | 7.735 | 0.217 |
| Model B | Model B | ||||||||
| 10 m | 0.383 | 0.372 | 6.766 | 0.324 | 10 m | 0.308 | 0.361 | 7.025 | 0.257 |
| 100 m | 0.357 | 0.313 | 6.802 | 0.304 | 100 m | 0.284 | 0.228 | 7.272 | 0.176 |
| 300 m | 0.351 | 0.150 | 5.884 | 0.310 | 300 m | 0.278 | 0.410 | 7.178 | 0.214 |
| 500 m | 0.314 | 0.170 | 6.058 | 0.305 | 500 m | 0.291 | 0.202 | 6.405 | 0.180 |
| Model C | Model C | ||||||||
| 10 m | 0.332 | 0.210 | 6.307 | 0.301 | 10 m | 0.322 | 0.281 | 6.908 | 0.261 |
| 100 m | 0.367 | 0.122 | 6.672 | 0.297 | 100 m | 0.292 | 0.264 | 7.413 | 0.228 |
| 300 m | 0.335 | 0.197 | 5.874 | 0.339 | 300 m | 0.338 | 0.201 | 5.722 | 0.263 |
| 500 m | 0.373 | 0.220 | 7.196 | 0.292 | 500 m | 0.367 | 0.145 | 7.582 | 0.250 |
| Model D | Model D | ||||||||
| 10 m | 0.388 | 0.149 | 5.944 | 0.293 | 10 m | 0.326 | 0.280 | 6.011 | 0.260 |
| 100 m | 0.350 | 0.226 | 5.019 | 0.314 | 100 m | 0.287 | 0.194 | 6.700 | 0.198 |
| 300 m | 0.400 | 0.285 | 7.316 | 0.259 | 300 m | 0.311 | 0.172 | 6.090 | 0.202 |
| 500 m | 0.340 | 0.097 | 4.240 | 0.300 | 500 m | 0.341 | 0.124 | 7.946 | 0.176 |
| Model E | Model E | ||||||||
| 10 m | 0.352 | 0.289 | 6.091 | 0.239 | 10 m | 0.339 | 0.260 | 6.994 | 0.189 |
| 100 m | 0.377 | 0.324 | 8.507 | 0.179 | 100 m | 0.326 | 0.229 | 4.868 | 0.227 |
| 300 m | 0.383 | 0.385 | 7.975 | 0.267 | 300 m | 0.309 | 0.695 | 9.026 | 0.105 |
| 500 m | 0.348 | 0.415 | 8.094 | 0.201 | 500 m | 0.311 | 0.497 | 8.540 | 0.164 |
| Model F | Model F | ||||||||
| 10 m | 0.339 | 0.248 | 7.377 | 0.227 | 10 m | 0.314 | 0.446 | 6.968 | 0.119 |
| 100 m | 0.397 | 0.361 | 7.598 | 0.171 | 100 m | 0.327 | 0.300 | 6.494 | 0.210 |
| 300 m | 0.359 | 0.378 | 7.273 | 0.173 | 300 m | 0.351 | 0.302 | 9.204 | 0.158 |
| 500 m | 0.383 | 0.310 | 6.380 | 0.139 | 500 m | 0.394 | 0.371 | 8.722 | 0.203 |
| Model G | Model G | ||||||||
| 10 m | 0.406 | 0.162 | 5.947 | 0.266 | 10 m | 0.358 | 0.127 | 6.542 | 0.243 |
| 100 m | 0.425 | 0.321 | 6.443 | 0.263 | 100 m | 0.374 | 0.281 | 6.222 | 0.221 |
| 300 m | 0.390 | 0.329 | 8.069 | 0.612 | 300 m | 0.335 | 0.257 | 7.361 | 0.184 |
| 500 m | 0.386 | 0.184 | 5.285 | 0.274 | 500 m | 0.329 | 0.180 | 5.822 | 0.354 |
Publisher’s Note: MDPI stays neutral with regard to jurisdictional claims in published maps and institutional affiliations. |
© 2021 by the authors. Licensee MDPI, Basel, Switzerland. This article is an open access article distributed under the terms and conditions of the Creative Commons Attribution (CC BY) license (http://creativecommons.org/licenses/by/4.0/).
Share and Cite
Li, X.; Ding, J.; Liu, J.; Ge, X.; Zhang, J. Digital Mapping of Soil Organic Carbon Using Sentinel Series Data: A Case Study of the Ebinur Lake Watershed in Xinjiang. Remote Sens. 2021, 13, 769. https://doi.org/10.3390/rs13040769
Li X, Ding J, Liu J, Ge X, Zhang J. Digital Mapping of Soil Organic Carbon Using Sentinel Series Data: A Case Study of the Ebinur Lake Watershed in Xinjiang. Remote Sensing. 2021; 13(4):769. https://doi.org/10.3390/rs13040769
Chicago/Turabian StyleLi, Xiaohang, Jianli Ding, Jie Liu, Xiangyu Ge, and Junyong Zhang. 2021. "Digital Mapping of Soil Organic Carbon Using Sentinel Series Data: A Case Study of the Ebinur Lake Watershed in Xinjiang" Remote Sensing 13, no. 4: 769. https://doi.org/10.3390/rs13040769
APA StyleLi, X., Ding, J., Liu, J., Ge, X., & Zhang, J. (2021). Digital Mapping of Soil Organic Carbon Using Sentinel Series Data: A Case Study of the Ebinur Lake Watershed in Xinjiang. Remote Sensing, 13(4), 769. https://doi.org/10.3390/rs13040769

