The Potential Impact of Assimilating Synthetic Microwave Radiances Onboard a Future Geostationary Satellite on the Prediction of Typhoon Lekima Using the WRF Model
Abstract
1. Introduction
2. Introduction to the Data Used and Typhoon Lekima
2.1. Introduction of Data Used
2.2. The Super Typhoon Lekima
3. Methodologies
3.1. The GEOMS and Its Simulated Radiances
3.2. The Data Assimilation Methodology
3.3. Variational Bias Correction
3.4. Quality Control
- (1)
- Surface type check. This check removes pixels with mixed surface types (for example, mixed predominately sea, mixed predominately sea ice, mixed predominately land, and mixed predominately snow) to reduce the impact of radiances with large error caused by inaccurate calculation of the surface emissivity on these pixels.
- (2)
- Gross check. This check removes radiances with brightness temperatures higher than 330 K or lower than 50 K.
- (3)
- Relative departure check. This check removes radiances if the departure exceeds three times the observation error.
- (4)
- Absolute departure check. This check removes radiances if the departure exceeds 3 K.
- (5)
- Cloud liquid water path (CLWP) check. This check removes radiances with CLWP ≥0.2 kg/m2 calculated from background.
4. Experimental Setup
4.1. The Regional Model Configurations
4.2. Data Assimilation Configurations and Experimental Design
5. Results
5.1. Single GEOMS Radiance Test
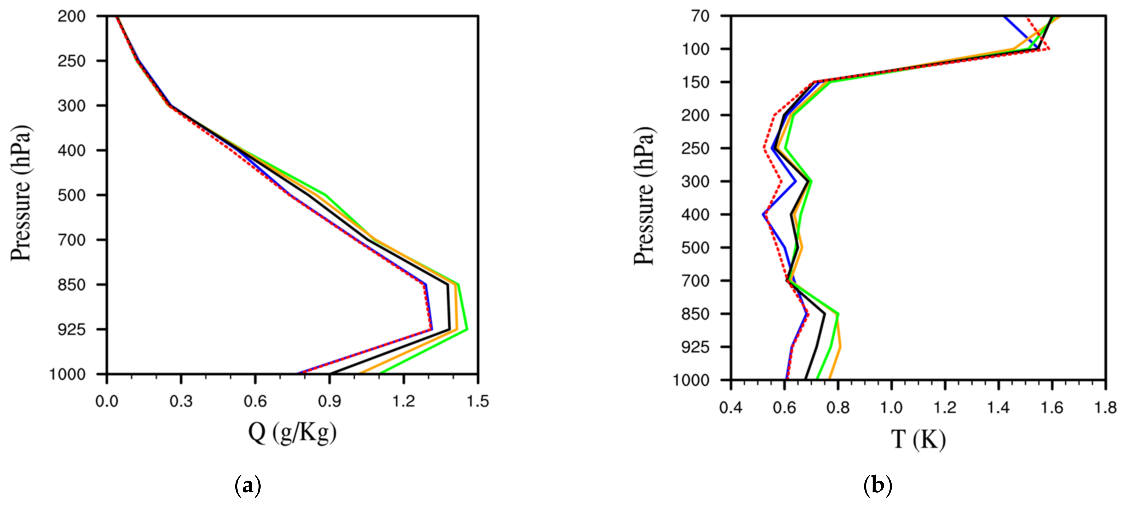
5.2. RMSE Verification against ERA-5
5.3. Impact on Typhoon Track and Intensity Forecast
5.4. Impact on Rainfall Forecasts
6. Conclusions
7. Discussions
Author Contributions
Funding
Data Availability Statement
Acknowledgments
Conflicts of Interest
References
- Derber, J.C.; Wu, W.S. The use of TOVS cloud-cleared radiance in the NCEP SSI analysis system. Mon. Weather Rev. 1998, 126, 2287–2299. [Google Scholar] [CrossRef]
- Prunet, P.; Thépaut, J.N.; Cassé, V.; Pailleux, J.; Baverez, A.; Cardinali, C. Strategies for the assimilation of new satellite measurements at Météo-France. Adv. Space Res. 2000, 25, 1073–1076. [Google Scholar] [CrossRef]
- McNally, T. The use of satellite data in polar regions. In Proceedings ECMWF Seminar on Polar Meteorology; ECMWF: Reading, UK, 2007; pp. 103–114. [Google Scholar]
- Hilton, F.; Atkinson, N.C.; English, S.J.; Eyre, J.R. Assimilation of IASI at the Met Office and assessment of its impact through observing system experiments. Q. J. R. Meteorol. Soc. 2009, 135, 495–505. [Google Scholar] [CrossRef]
- Rennie, M.P. The impact of GPS radio occultation assimilation at the Met Office. Q. J. R. Meteorol. Soc. 2010, 136, 116–131. [Google Scholar] [CrossRef]
- Bauer, P.; Auligné, T.; Bell, W.; Geer, A.; Guidard, V.; Heilliette, S.; Kazumori, M.; Kim, M.J.; Liu, H.-C.; McNally, A.P.; et al. Satellite cloud and precipitation assimilation at operational NWP centres. Q. J. R. Meteorol. Soc. 2011, 137, 1934–1951. [Google Scholar] [CrossRef]
- Kazumori, M. Satellite radiance assimilation in the JMA operational mesoscale 4DVAR system. Mon. Weather Rev. 2014, 142, 1361–1381. [Google Scholar] [CrossRef]
- Buehner, M.; Caya, A.; Carrieres, T.; Pogson, L. Assimilation of SSMIS and ASCAT data and the replacement of highly uncertain estimates in the Environment Canada Regional Ice Prediction System. Q. J. R. Meteorol. Soc. 2016, 142, 562–573. [Google Scholar] [CrossRef]
- Bauer, P.; Geer, A.J.; Lopez, P.; Salmond, D. Direct 4D-Var assimilation of all-sky radiance. Part I: Implementation. Q. J. R. Meteorol. Soc. 2010, 136, 1868–1885. [Google Scholar] [CrossRef]
- Zapotocny, T.H.; Jung, J.A.; Le Marshall, J.F.; Treadon, R.E. A two-season impact study of satellite and in situ data in the NCEP Global Data Assimilation System. Weather Forecast. 2007, 22, 887–909. [Google Scholar] [CrossRef]
- Bennartz, R.; Bauer, P. Sensitivity of microwave radiances at 85-183 GHz to precipitating ice particles. Radio Sci. 2003, 38, 8075. [Google Scholar] [CrossRef]
- Weng, F.; Zhao, L.; Ferraro, R.R.; Poe, G.; Li, X.; Grody, N.C. Advanced microwave sounding unit cloud and precipitation algorithms. Radio Sci. 2003, 38, 8068. [Google Scholar] [CrossRef]
- Hong, G.; Heygster, G.; Miao, J.; Kunzi, K. Detection of tropical deep convective clouds from AMSU-B water vapor channels measurements. J. Geophys. Res. Atmos. 2005, 110. [Google Scholar] [CrossRef]
- Rysman, J.F.; Claud, C.; Chaboureau, J.P.; Delanoë, J.; Funatsu, B.M. Severe convection in the Mediterranean from microwave observations and a convection-permitting model. Q. J. R. Meteorol. Soc. 2016, 142, 43–55. [Google Scholar] [CrossRef]
- Funatsu, B.M.; Rysman, J.F.; Claud, C.; Chaboureau, J.P. Deep convective clouds distribution over the Mediterranean region from AMSU-B/MHS observations. Atmos. Res. 2018, 207, 122–135. [Google Scholar] [CrossRef]
- Ferraro, R.R.; Weng, F.; Grody, N.C.; Zhao, L.; Meng, H.; Kongoli, C.; Pellegrino, P.; Qiu, S.; Dean, C. NOAA operational hydrological products derived from the advanced microwave sounding unit. IEEE Trans. Geosci. Remote 2005, 43, 1036–1049. [Google Scholar] [CrossRef]
- Ferraro, R.; Beauchamp, J.; Cecil, D.; Heymsfield, G. A prototype hail detection algorithm and hail climatology developed with the Advanced Microwave Sounding Unit (AMSU). Atmos. Res. 2015, 163, 24–35. [Google Scholar] [CrossRef]
- Edel, L.; Rysman, J.F.; Claud, C.; Palerme, C.; Genthon, C. Potential of passive microwave around 183 GHz for snowfall detection in the Arctic. Remote Sens. 2019, 11, 2200. [Google Scholar] [CrossRef]
- Claud, C.; Alhammoud, B.; Funatsu, B.M.; Lebeaupin Brossier, C.; Chaboureau, J.P.; Béranger, K.; Drobinski, P. A high resolution climatology of precipitation and deep convection over the Mediterranean region from operational satellite microwave data: Development and application to the evaluation of model uncertainties. Nat. Hazard Earth Syst. Sci. 2012, 12, 785–798. [Google Scholar] [CrossRef]
- Rysman, J.F.; Berthou, S.; Claud, C.; Drobinski, P.; Chaboureau, J.P.; Delanoë, J. Potential of microwave observations for the evaluation of rainfall and convection in a regional climate model in the frame of HyMeX and MED-CORDEX. Clim. Dyn. 2018, 51, 837–855. [Google Scholar] [CrossRef]
- Claud, C.; Alhammoud, B.; Funatsu, B.M.; Chaboureau, J.P. Mediterranean hurricanes: Large-scale environment and convective and precipitating areas from satellite microwave observations. Nat. Hazard Earth Syst. Sci. 2010, 10, 2199–2213. [Google Scholar] [CrossRef]
- Jones, A.S.; Vukićević, T.; Vonder Haar, T.H. A microwave satellite observational operator for variational data assimilation of soil moisture. J. Hydrometeorol. 2004, 5, 213–229. [Google Scholar] [CrossRef]
- Durand, M.; Kim, E.J.; Margulis, S.A. Quantifying uncertainty in modeling snow microwave radiance for a mountain snowpack at the point-scale, including stratigraphic effects. IEEE Trans. Geosci. Remote Sens. 2008, 46, 1753–1767. [Google Scholar] [CrossRef]
- Dechant, C.; Moradkhani, H. Radiance data assimilation for operational snow and streamflow forecasting. Adv. Water Resour. 2011, 34, 351–364. [Google Scholar] [CrossRef]
- Zou, X.; Qin, Z.; Weng, F. Improved quantitative precipitation forecasts by MHS radiance data assimilation with a newly added cloud detection algorithm. Mon. Weather Rev. 2013, 141, 3203–3221. [Google Scholar] [CrossRef]
- Che, T.; Li, X.; Jin, R.; Huang, C. Assimilating passive microwave remote sensing data into a land surface model to improve the estimation of snow depth. Remote Sens. Environ. 2014, 143, 54–63. [Google Scholar] [CrossRef]
- Xie, Y.; Xing, J.; Shi, J.; Dou, Y.; Lei, Y. Impacts of radiance data assimilation on the Beijing 7.21 heavy rainfall. Atmos. Res. 2016, 169, 318–330. [Google Scholar] [CrossRef]
- Kwon, Y.; Yang, Z.L.; Zhao, L.; Hoar, T.J.; Toure, A.M.; Rodell, M. Estimating snow water storage in North America using CLM4, DART, and snow radiance data assimilation. J. Hydrometeor. 2016, 17, 2853–2874. [Google Scholar] [CrossRef]
- Shen, F.; Xu, D.; Li, H.; Min, J.; Liu, R. Assimilation of GPM Microwave Imager Radiance data with the WRF hybrid 3DEnVar system for the prediction of Typhoon Chan-hom (2015). Atmos. Res. 2021, 251, 105422. [Google Scholar] [CrossRef]
- Wang, J.; Zhang, L.; Guan, J.; Zhang, M. Comparison of assimilating all-sky and clear-sky satellite radiance for Typhoon Chan-Hom and Nangka forecasts. Atmosphere 2020, 11, 599. [Google Scholar] [CrossRef]
- Kim, M.J.; Jin, J.; El Akkraoui, A.; McCarty, W.; Todling, R.; Gu, W.; Gelaro, R. The Framework for Assimilating All-Sky GPM Microwave Imager Brightness Temperature Data in the NASA GEOS Data Assimilation System. Mon. Weather Rev. 2020, 148, 2433–2455. [Google Scholar] [CrossRef]
- Zhu, T.; Zhang, D.L.; Weng, F. Impact of the Advanced Microwave Sounding Unit measurements on hurricane prediction. Mon. Weather Rev. 2002, 130, 2416–2432. [Google Scholar] [CrossRef]
- Zhao, Y.; Wang, B.; Ji, Z.; Liang, X.; Deng, G.; Zhang, X. Improved track forecasting of a typhoon reaching landfall from four-dimensional variational data assimilation of AMSU-A retrieved data. J. Geophys. Res. Atmos. 2005, 110. [Google Scholar] [CrossRef]
- Deng, G.; Zhang, D.; Zhu, T.; Wang, A. Use of the advanced microwave sounding unit data to improve typhoon prediction. Prog. Nat. Sci. 2009, 19, 369–376. [Google Scholar] [CrossRef]
- Zhang, D.L.; Chen, H. Importance of the upper-level warm core in the rapid intensification of a tropical cyclone. Geophys. Res. Lett. 2012, 39, L02806. [Google Scholar] [CrossRef]
- Shen, F.; Min, J. Assimilating AMSU-a radiance data with the WRF hybrid En3DVAR system for track predictions of Typhoon Megi (2010). Adv. Atmos. Sci. 2015, 32, 1231–1243. [Google Scholar] [CrossRef]
- Tian, X.; Zou, X. ATMS-and AMSU-A-derived hurricane warm core structures using a modified retrieval algorithm. J. Geophys. Res. Atmos. 2016, 121, 12630–12646. [Google Scholar] [CrossRef]
- Liu, Z.; Schwartz, C.S.; Snyder, C.; Ha, S.Y. Impact of assimilating AMSU-A radiances on forecasts of 2008 Atlantic tropical cyclones initialized with a limited-area ensemble Kalman filter. Mon. Weather Rev. 2012, 140, 4017–4034. [Google Scholar] [CrossRef]
- Li, J.; Liu, H. Improved hurricane track and intensity forecast using single field-of-view advanced IR sounding measurements. Geophys. Res. Lett. 2009, 36, L11813. [Google Scholar] [CrossRef]
- Schwartz, C.S.; Liu, Z.; Chen, Y.; Huang, X.-Y. Impact of assimilating microwave radiances with a limited-area ensemble data assimilation system on forecasts of Typhoon Morakot. Weather Forecast. 2012, 27, 424–437. [Google Scholar] [CrossRef]
- Xu, D.; Liu, Z.; Huang, X.-Y.; Min, J.; Wang, H. Impact of assimilating IASI radiance observations on forecasts of two tropical cyclones. Meteorol. Atmos. Phys. 2013, 122, 1–18. [Google Scholar] [CrossRef]
- Jung, J.A.; Zapotocny, T.H.; Le Marshall, J.F.; Treadon, R.E. A two-season impact study on NOAA polar-orbiting satellites in the NCEP Global Data Assimilation System. Weather Forecast. 2008, 23, 854–877. [Google Scholar] [CrossRef]
- Xu, D.; Huang, X.-Y.; Liu, Z.; Min, J. Impact of Assimilating Radiances with the WRFDA ETKF/3DVAR Hybrid System on the Prediction of Two Typhoons (2012). J. Meteorol. Res. 2015, 29, 28–40. [Google Scholar] [CrossRef]
- Li, X.; Zou, X. Bias characterization of CrIS radiances at 399 selected channels with respect to NWP model simulations. Atmos. Res. 2017, 196, 164–181. [Google Scholar] [CrossRef]
- Montmerle, T.; Rabier, F.; Fischer, C. Relative impact of polar-orbiting and geostationary satellite radiance in the Aladin/France numerical weather prediction system. Q. J. R. Meteorol. Soc. 2007, 133, 655–671. [Google Scholar] [CrossRef]
- Stengel, M.; Undén, P.; Lindskog, M.; Dahlgren, P.; Gustafsson, N.; Bennartz, R. Assimilation of SEVIRI infrared radiance with HIRLAM 4D-Var. Q. J. R. Meteorol. Soc. 2009, 135, 2100–2109. [Google Scholar] [CrossRef]
- Zou, X.; Qin, Z.; Weng, F. Improved coastal precipitation forecasts with direct assimilation of GOES-11/12 imager radiance. Mon. Weather Rev. 2011, 139, 3711–3729. [Google Scholar] [CrossRef]
- Zhang, H.; Xue, J.; Zhu, G.; Zhuang, S.; Wu, X.; Zhang, F. Application of direct assimilation of ATOVS microwave radiances to typhoon track prediction. Adv. Atmos. Sci. 2004, 21, 283–290. [Google Scholar] [CrossRef]
- Choi, Y.; Cha, D.H.; Lee, M.I.; Kim, J.; Jin, C.S.; Park, S.H.; Joh, M.S. Satellite radiance data assimilation for binary tropical cyclone cases over the western North Pacific. J. Adv. Model. Earth Syst. 2017, 9, 832–853. [Google Scholar] [CrossRef]
- Singh, K.S.; Mandal, M.; Bhaskaran, P.K. Impact of radiance data assimilation on the prediction performance of cyclonic storm SIDR using WRF-3DVAR modelling system. Meteorol. Atmos. Phys. 2019, 131, 11–28. [Google Scholar] [CrossRef]
- Xu, D.; Shu, A.; Shen, F. Effects of Clear-Sky Assimilation of GPM Microwave Imager on the Analysis and Forecast of Typhoon “Chan-Hom”. Sensors 2020, 20, 2674. [Google Scholar] [CrossRef]
- Gasiewski, A.J.; Voronovich, A.; Weber, B.L.; Stankov, B.; Klein, M.; Hill, R.J.; Bao, J.W. Geosynchronous microwave (GEM) sounder/imager observation system simulation. In Geoscience and Remote Sensing Symposium, IGARSS, Proceedings; IEEE: Toulouse, France, 2003; Volume 2, pp. 1209–1211. [Google Scholar] [CrossRef]
- Duruisseau, F.; Chambon, P.; Guedj, S.; Guidard, V.; Fourrié, N.; Taillefer, F.; Brousseau, P.; Mahfouf, J.F.; Roca, R. Investigating the potential benefit to a mesoscale NWP model of a microwave sounder on board a geostationary satellite. Q. J. R. Meteorol. Soc. 2017, 143, 2104–2115. [Google Scholar] [CrossRef]
- Prigent, C.; Pardo, J.R.; Rossow, W.B. Comparisons of the millimeter and submillimeter bands for atmospheric temperature and water vapor soundings for clear and cloudy skies. J. Appl. Meteorol. Climatol. 2006, 45, 1622–1633. [Google Scholar] [CrossRef][Green Version]
- Roca, R.; Brogniez, H.; Chambon, P.; Chomette, O.; Cloch´e, S.; Gosset, M.E.; Mahfouf, J.-F.; Raberanto, P.; Viltard, N. The Megha-Tropiques mission: A review after three years in orbit. Front. Earth Sci. 2015, 3, 17. [Google Scholar] [CrossRef]
- Hersbach, H.; Bell, B.; Berrisford, P.; Hirahara, S.; Horányi, A.; Muñoz-Sabater, J.; Nicolas, J.; Peubey, C.; Radu, R.; Schepers, D.; et al. The ERA-5 global reanalysis. Q. J. R. Meteorol. Soc. 2020, 146, 1999–2049. [Google Scholar] [CrossRef]
- Ying, M.; Zhang, W.; Yu, H.; Lu, X.; Feng, J.; Fan, Y.; Zhu, Y.; Chen, D. An overview of the China Meteorological Administration tropical cyclone database. J. Atmos. Ocean. Technol. 2014, 31, 287–301. [Google Scholar] [CrossRef]
- Shen, Y.; Xiong, A.Y.; Wang, Y.; Xie, P.P. Performance of high-resolution satellite precipitation products over China. J. Geophys. Res. Atmos. 2010, 115, D02114. [Google Scholar] [CrossRef]
- Tsang, L.; Kong, J.A.; Shin, R.T. Theory of Microwave Remote Sensing; Wiley: Berkeley, CA, USA, 1985. [Google Scholar] [CrossRef]
- Gaier, T.; Kangaslahti, P.; Lambrigtsen, B.; Ramos-Perez, I.; Tanner, A.; McKague, D.; Ruf, C.; Flynn, M.; Zhang, Z.; Backhus, R.; et al. A 180 GHz prototype for a geostationary microwave imager/sounder-GeoSTAR-III. In Proceedings of the 2016 IEEE International Geoscience and Remote Sensing Symposium (IGARSS), Beijing, China, 10–15 July 2016; pp. 2021–2023. [Google Scholar] [CrossRef]
- Greenwald, T.J.; Christopher, S.A. Effect of cold clouds on satellite measurements near 183 GHz. J. Geophys. Res. Atmos. 2002, 107, 4170. [Google Scholar] [CrossRef]
- He, J.; Zhang, S.; Wang, Z. Advanced microwave atmospheric sounder (AMAS) channel specifications and T/V calibration results on FY-3C satellite. IEEE Geosci. Remote Sens. 2014, 53, 481–493. [Google Scholar] [CrossRef]
- Okamoto, K.; Owada, H.; Fujita, T.; Kazumori, M.; Otsuka, M.; Seko, H.; Ota, Y.; Uekiyo, N.; Ishimoto, H.; Hayashi, M.; et al. Assessment of the potential impact of a hyperspectral infrared sounder on the Himawari follow-on geostationary satellite. SOLA 2020, 16, 162–168. [Google Scholar] [CrossRef]
- He, Q.; Wang, Z.; He, J. Bias correction for retrieval of atmospheric parameters from the microwave humidity and temperature sounder onboard the Fengyun-3C satellite. Atmosphere 2016, 7, 156. [Google Scholar] [CrossRef]
- Zhang, K.; Gasiewski, A.J. Fast 3-D Inhomogeneous Radiative Transfer Model Using a Planar-Stratified Forward Algorithm and Horizontal Perturbation Series. IEEE Trans. Geosci. Remote 2020, 58, 6861–6873. [Google Scholar] [CrossRef]
- Yang, C.; Liu, Z.; Bresch, J.; Rizvi, S.R.; Huang, X.Y.; Min, J. AMSR2 all-sky radiance assimilation and its impact on the analysis and forecast of Hurricane Sandy with a limited-area data assimilation system. Tellus A 2016, 68, 30917. [Google Scholar] [CrossRef]
- Yang, C.; Liu, Z.; Gao, F.; Childs, P.P.; Min, J. Impact of assimilating GOES imager clear-sky radiance with a rapid refresh assimilation system for convection-permitting forecast over Mexico. J. Geophys Res. Atmos. 2017, 122, 5472–5490. [Google Scholar] [CrossRef]
- Wang, Y.; Liu, Z.; Yang, S.; Min, J.; Chen, L.; Chen, Y.; Zhang, T. Added value of assimilating Himawari-8 AHI water vapor radiances on analyses and forecasts for “7.19” severe storm over north China. J. Geophys Res. Atmos. 2018, 123, 3374–3394. [Google Scholar] [CrossRef]
- Barker, D.; Huang, X.-Y.; Liu, Z.; Auligné, T.; Zhang, X.; Rugg, S.; Ajjaji, R.; Bourgeois, A.; Bray, J.; Chen, Y.; et al. The weather research and forecasting (WRF) model’s community variational/ensemble data assimilation system: WRFDA. Bull. Am. Meteorol. Soc. 2012, 93, 831–843. [Google Scholar] [CrossRef]
- Wang, X.; Barer, D.M.; Snyder, C.; Hamill, T.M. A hybrid ETKF-3DVAR data assimilation scheme for the WRF model. Part I: Observing system simulation experiment. Mon. Weather Rev. 2008, 136, 5116–5131. [Google Scholar] [CrossRef]
- Parrish, D.F.; Derber, J.C. The National Meteorological Center’s spectral statistical interpolation analysis system. Mon. Weather Rev. 1992, 120, 1747–1763. [Google Scholar] [CrossRef]
- Dee, D.P.; Uppala, S. Variational bias correction of satellite radiance data in the ERA-Interim reanalysis. Q. J. R. Meteorol. Soc. 2009, 135, 1830–1841. [Google Scholar] [CrossRef]
- Zhu, Y.; Derber, J.; Collard, A.; Dee, D.; Treadon, R.; Gayno, G.; Jung, J.A. Enhanced radiance bias correction in the National Centers for Environmental Prediction’s Gridpoint Statistical Interpolation data assimilation system. Q. J. R. Meteorol. Soc. 2014, 140, 1479–1492. [Google Scholar] [CrossRef]
- Harris, B.A.; Kelly, G. A satellite radiance-bias correction scheme for data assimilation. Q. J. R. Meteorol. Soc. 2001, 127, 1453–1468. [Google Scholar] [CrossRef]
- Auligné, T.; McNally, A.P.; Dee, D.P. Adaptive bias correction for satellite data in a numerical weather prediction system. Q. J. R. Meteorol. Soc. 2007, 133, 631–642. [Google Scholar] [CrossRef]
- Skamarock, W.C.; Klemp, J.B.; Dudhia, J.; Gill, D.O.; Liu, Z.; Berner, J.; Wang, W.; Powers, J.G.; Duda, M.G.; Barker, D.M.; et al. A Description of the Advanced Research WRF Version 4; NCAR Tech, Note NCAR/TN-556+STR; National Center for Atmospheric Research: Boulder, CO, USA, 2019; p. 145. [Google Scholar] [CrossRef]
- Hong, S.Y.; Lim, J.O.J. The WRF single–moment 6–class microphysics scheme (WSM6). J. Korean Meteorol. Soc. 2006, 42, 129–151. [Google Scholar]
- Zhang, C.; Wang, Y.; Hamilton, K. Improved representation of boundary layer clouds over the southeast pacific in ARW–WRF using a modified Tiedtke cumulus parameterization scheme. Mon. Weather Rev. 2011, 139, 3489–3513. [Google Scholar] [CrossRef]
- Iacono, M.J.; Delamere, J.S.; Mlawer, E.J.; Shephard, M.W.; Clough, S.A.; Collins, W.D. Radiative forcing by long–lived greenhouse gases: Calculations with the AER radiative transfer models. J. Geophys. Res. 2008, 113, D13103. [Google Scholar] [CrossRef]
- Hong, S.Y.; Noh, Y.; Dudhia, J. A new vertical diffusion package with an explicit treatment of entrainment processes. Mon. Weather Rev. 2006, 134, 2318–2341. [Google Scholar] [CrossRef]
- Jimenez, P.A.; Dudhia, J.; Fidel Gonzalez–Rouco, J.; Navarro, J.; Montavez, J.P.; Garcia–Bustamante, E. A revised scheme for the WRF surface layer formulation. Mon. Weather Rev. 2012, 140, 898–918. [Google Scholar] [CrossRef]
- Tewari, M.; Chen, F.; Wang, W.; Dudhia, J.; LeMone, M.A.; Mitchell, K.; Ek, M.; Gayno, G.; Wegiel, J.; Cuenca, R.H. Implementation and verification of the unified NOAH land surface model in the WRF model. In Proceedings of the 20th Conference on Weather Analysis and Forecasting/16th Conference on Numerical Weather Prediction, Seattle, WA, USA, 12 January 2004; pp. 11–15. [Google Scholar]
- Liu, Z.Q.; Rabier, F. The interaction between model resolution, observation resolution and observation density in data assimilation: A one-dimensional study. Q. J. R. Meteorol. Soc. 2002, 128, 1367–1386. [Google Scholar] [CrossRef]
- Liu, Z.Q.; Rabier, F. The potential of high-density observations for numerical weather prediction: A study with simulated observations. Q. J. R. Meteorol. Soc. 2003, 129, 3013–3035. [Google Scholar] [CrossRef]
- Peckham, S.E.; Smirnova, T.G.; Benjamin, S.G.; Brown, J.M.; Kenyon, J.S. Implementation of a digital filter initialization in the WRF model and its application in the rapid refresh. Mon. Weather Rev. 2016, 144, 99–106. [Google Scholar] [CrossRef]
- Barker, D.M. Southern high-latitude ensemble data assimilation in the Antarctic mesoscale prediction system. Mon. Weather Rev. 2005, 133, 3431–3449. [Google Scholar] [CrossRef]
- Shen, F.; Min, J.; Xu, D. Assimilation of Radar radial velocity data with the WRF Hybrid ETKF-3DVAR system for the prediction of Hurricane Ike (2008). Atmos. Res. 2015, 169, 127–138. [Google Scholar] [CrossRef]
- Wang, C.C. On the calculation and correction of equitable threat score for model quantitative precipitation forecasts for small verification areas: The example of Taiwan. Weather Forecast. 2014, 29, 788–798. [Google Scholar] [CrossRef]
- Roberts, N.M.; Lean, H.W. Scale-selective verification of rainfall accumulations from high-resolution forecasts of convective events. Mon. Weather Rev. 2008, 136, 78–97. [Google Scholar] [CrossRef]
- Wernli, H.; Paulat, M.; Hagen, M.; Frei, C. SAL-A novel quality measure for the verification of quantitative precipitation forecasts. Mon. Weather Rev. 2008, 136, 4470–4487. [Google Scholar] [CrossRef]

























| Physics Options | Physics Schemes |
|---|---|
| Micro Physics Option | WRF Single-Moment 6-Class Scheme |
| Cumulus Parameterization Option | Tiedtke Scheme |
| Radiation Shortwave Physics Option | Rapid Radiative Transfer Model Shortwave Scheme |
| Radiation Longwave Physics Option | Rapid Radiative Transfer Model Longwave Scheme |
| Planetary Boundary Layer Physics Option | Yonsei University Scheme |
| Surface Layer Physics Option | Revised MM5 Scheme |
| Land Surface Physics Option | Unified Noah Land Surface Model Scheme |
| Experiment | DA Scheme | Radiance Resolution | Calibration Accuracy | |
|---|---|---|---|---|
| 1 | NDA | No DA | \ | \ |
| 2 | SDA | Single time DA | 30 km | 0.5 K |
| 3 | CDA-1 | Hourly Continuous DA | 30 km | 0.5 K |
| 4 | CDA-2 | Hourly Continuous DA | 15 km | 0.5 K |
| 5 | CDA-3 | Hourly Continuous DA | 15 km | 0.3 K |
| 1000 | 925 | 850 | 700 | 500 | 400 | 300 | 250 | 200 | |
|---|---|---|---|---|---|---|---|---|---|
| NDA | 1.1 | 1.455 | 1.42 | 1.081 | 0.883 | 0.551 | 0.248 | 0.121 | 0.041 |
| SDA | 1.018 | 1.415 | 1.408 | 1.086 | 0.846 | 0.547 | 0.25 | 0.125 | 0.04 |
| CDA-1 | 0.902 | 1.385 | 1.377 | 1.054 | 0.814 | 0.538 | 0.255 | 0.124 | 0.027 |
| CDA-2 | 0.767 | 1.313 | 1.288 | 1.009 | 0.74 | 0.53 | 0.259 | 0.129 | 0.038 |
| CDA-3 | 0.774 | 1.31 | 1.28 | 1.005 | 0.737 | 0.502 | 0.249 | 0.121 | 0.037 |
| 1000 | 925 | 850 | 700 | 500 | 400 | 300 | 250 | 200 | 150 | 100 | 70 | |
|---|---|---|---|---|---|---|---|---|---|---|---|---|
| NDA | 0.72 | 0.773 | 0.8 | 0.615 | 0.642 | 0.661 | 0.7 | 0.603 | 0.633 | 0.771 | 1.511 | 1.61 |
| SDA | 0.766 | 0.808 | 0.794 | 0.622 | 0.666 | 0.636 | 0.691 | 0.573 | 0.623 | 0.756 | 1.456 | 1.631 |
| CDA-1 | 0.677 | 0.72 | 0.75 | 0.608 | 0.65 | 0.624 | 0.688 | 0.564 | 0.598 | 0.711 | 1.546 | 1.6 |
| CDA-2 | 0.607 | 0.627 | 0.682 | 0.636 | 0.6 | 0.52 | 0.641 | 0.553 | 0.608 | 0.731 | 1.55 | 1.418 |
| CDA-3 | 0.611 | 0.629 | 0.69 | 0.612 | 0.573 | 0.529 | 0.588 | 0.522 | 0.562 | 0.708 | 1.588 | 1.5 |
| 1000 | 925 | 850 | 700 | 500 | 400 | 300 | 250 | 200 | 150 | 100 | 70 | |
|---|---|---|---|---|---|---|---|---|---|---|---|---|
| NDA | 1.243 | 3.329 | 3.566 | 2.865 | 3.365 | 3.903 | 4.34 | 4.915 | 5.612 | 5.693 | 4.989 | 3.82 |
| SDA | 1.157 | 3.234 | 3.52 | 2.907 | 3.409 | 3.739 | 4.258 | 4.858 | 5.253 | 5.33 | 5.222 | 3.629 |
| CDA-1 | 1.3 | 3.1 | 3.442 | 2.697 | 3.2 | 3.739 | 4.198 | 4.75 | 5.075 | 5.298 | 5.344 | 3.786 |
| CDA-2 | 0.905 | 2.889 | 3.399 | 2.805 | 3.324 | 3.548 | 3.982 | 4.396 | 5.075 | 5.368 | 4.957 | 3.712 |
| CDA-3 | 0.856 | 2.81 | 3.35 | 2.8 | 3.131 | 3.373 | 3.708 | 4.276 | 4.998 | 5.082 | 5.278 | 3.731 |
| NDA | SDA | CDA-1 | CDA-2 | CDA-3 | |
|---|---|---|---|---|---|
| MSLP Error (mb) | 9.82 | 9.10 | 6.63 | 5.93 | 5.72 |
| MWS Error (m/s) | 42.10 | 41.45 | 39.82 | 38.87 | 38.66 |
| Track Error (km) | 125.33 | 113.01 | 110.14 | 110.04 | 108.60 |
Publisher’s Note: MDPI stays neutral with regard to jurisdictional claims in published maps and institutional affiliations. |
© 2021 by the authors. Licensee MDPI, Basel, Switzerland. This article is an open access article distributed under the terms and conditions of the Creative Commons Attribution (CC BY) license (http://creativecommons.org/licenses/by/4.0/).
Share and Cite
Wang, Y.; He, J.; Chen, Y.; Min, J. The Potential Impact of Assimilating Synthetic Microwave Radiances Onboard a Future Geostationary Satellite on the Prediction of Typhoon Lekima Using the WRF Model. Remote Sens. 2021, 13, 886. https://doi.org/10.3390/rs13050886
Wang Y, He J, Chen Y, Min J. The Potential Impact of Assimilating Synthetic Microwave Radiances Onboard a Future Geostationary Satellite on the Prediction of Typhoon Lekima Using the WRF Model. Remote Sensing. 2021; 13(5):886. https://doi.org/10.3390/rs13050886
Chicago/Turabian StyleWang, Yuanbing, Jieying He, Yaodeng Chen, and Jinzhong Min. 2021. "The Potential Impact of Assimilating Synthetic Microwave Radiances Onboard a Future Geostationary Satellite on the Prediction of Typhoon Lekima Using the WRF Model" Remote Sensing 13, no. 5: 886. https://doi.org/10.3390/rs13050886
APA StyleWang, Y., He, J., Chen, Y., & Min, J. (2021). The Potential Impact of Assimilating Synthetic Microwave Radiances Onboard a Future Geostationary Satellite on the Prediction of Typhoon Lekima Using the WRF Model. Remote Sensing, 13(5), 886. https://doi.org/10.3390/rs13050886

