The InflateSAR Campaign: Testing SAR Vessel Detection Systems for Refugee Rubber Inflatables
Abstract
1. Introduction
2. Vessel Detection Systems: Developments, Approaches and Methods
- Model-based approaches such as the Generalized Likelihood Ratio Test (GLRT, such as in [39]) were successfully tested. Both can better handle rough sea states than the CFAR through improved false alarms rejection [40]. Liu et al. [41] proposed the GLRT methodology where the statistics for the sea are considered normal distributed and the covariance matrix of the target is unknown.
- The Generalized Optimization of Polarimetric Contrast Enhancement (GOPCE, [42]) tries to identify the highest contrast through measuring the similarity in the scattering behaviour of an arbitrary target with a plane and a dihedral target.
- The polarimetric reflection symmetry detector relies on the concept that surfaces have reflection symmetry and therefore a very low magnitude of the C12 element of the covariance matrix (complex inner product between the co- and the cross-polarized channels). On the other hand, it can be assumed that complex scatterers such as ships are likely to not own particular symmetric properties [8,43,44].
- The Geometrical Perturbation Polarimetric Notch Filter (PNF) was proposed by [7] and further improved [45]. It is based on the idea of isolating the full-polarimetric return coming from the sea and detecting anomalies with different polarimetric signatures depending on orientation, material and structure of the vessel. The PNF approach focuses on targets lying in the complement orthogonal subspace of the sea vector. It was later picked up by [18] who tested it with ATI-SAR data.
- The Polarimetric Match Filter (PMF), developed by [5], was picked up several times since (e.g., [42]). It intends to enhance the contrast between the covariance matrices of the clutter and the vessel over different scattering mechanisms. The algorithm returns the scattering mechanism that optimizes the diversity providing the highest contrast possible. In that very same publication Novak further describes the Polarimetric Whitening Filter (PWF) which uses the trace to minimise the speckle which will facilitate detection and the Optimal Polarimetric Detector (OPD).
- Ref. [14] derived the entropy detector from the Cloude–Pottier decomposition [46] to quantify the possible dominance of one scattering mechanism over the others in small fishing boats at low incidence angles. In [9] the polarimetric entropy detector was as well used for ship detection at low incident angles.
3. Data and Methods
4. Results
4.1. Preliminary Analysis of Detectors
4.2. Comparing Well-Known Detectors
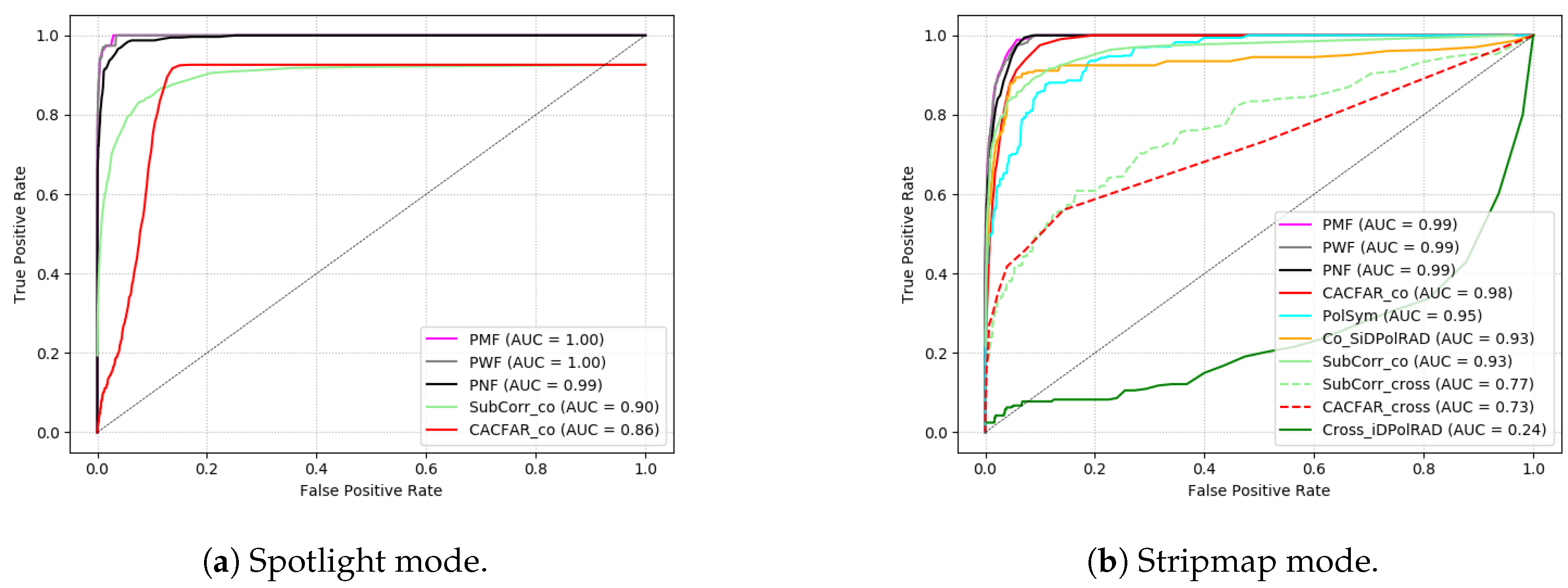
4.2.1. Comparing Resolution Modes
4.2.2. Comparing Polarimetric Modes
4.2.3. Assessing Filtering (Multilooking)
4.2.4. Counting the Boat as a Single Object
4.2.5. Comparing Incidence Angles
4.2.6. Combining iDPolRAD Detectors
4.3. Summary of Results Using TerraSAR-X Data
Performance Tests Using Sentinel-1 Data
5. Discussion
6. Conclusions
Author Contributions
Funding
Data Availability Statement
Acknowledgments
Conflicts of Interest
References
- Lanz, P.; Marino, A.; Brinkhoff, T.; Köster, F.; Möller, M. The InflateSAR Campaign: Evaluating SAR Identification Capabilities of Distressed Refugee Boats. Remote Sens. 2020, 12, 3516. [Google Scholar] [CrossRef]
- Crisp, D.J.; Redding, N.J. Ship Detection in Synthetic Aperture Radar Imagery. In Proceedings of the 12th Australasian Remote Sensing and Photogrammetry Conference, Fremantle, Australia, 18–22 October 2004; p. 10. [Google Scholar]
- Vachon, P.W. Ship Detection in Synthetic Aperture Radar Imagery. In Proceedings of the OceanSAR, St. John´s, NL, Canada, 23–25 October 2006; pp. 1–10. [Google Scholar]
- Marino, A.; Nunziata, F.; Migliaccio, M.; Ouchi, K.; Sugimoto, M.; Hajnsek, I. PolSAR-Ap: The Use of Polarimetric SAR to Improve Detection of Targets at Sea. In Proceedings of the ESA Living Planet Symposium, St. John´s, NL, Canada, 9–13 September 2013. [Google Scholar]
- Novak, L.M.; Sechtin, M.B.; Burl, M.C. Algorithms for Optimal Processing of Polarimetric Radar Data; Massachusetts Inst of Tech Lexington Lincoln Lab: Lexington, MA, USA, 1989; p. 99. [Google Scholar]
- Marino, A.; Dierking, W.; Wesche, C. A Depolarization Ratio Anomaly Detector to Identify Icebergs in Sea Ice Using Dual-Polarization SAR Images. IEEE Trans. Geosci. Remote Sens. 2016, 54, 5602–5615. [Google Scholar] [CrossRef]
- Marino, A.; Walker, N.; Woodhouse, I. Ship Detection Using Sar Polarimetry. The Development of a New Algorithm Designed to Exploit New Satellite SAR Capabilities for Maritime Surveillance. In Proceedings of the SeaSAR, Frascati, Italy, 25–29 January 2010; p. 9. [Google Scholar]
- Nunziata, F.; Migliaccio, M.; Brown, C.E. A Physically-Based Approach to Observe Ships in Dual-Polarized Sar Data. In Proceedings of the IEEE International Geoscience and Remote Sensing Symposium, Honolulu, HI, USA, 25–30 July 2010; p. 3. [Google Scholar]
- Touzi, R.; Charbonneau, F.; Hawkins, R.K.; Murnaghan, K.; Kavoun, X. Ship-Sea Contrast Optimization When Using Polarimetric SARs. In Proceedings of the IGARSS 2001. Scanning the Present and Resolving the Future. IEEE 2001 International Geoscience and Remote Sensing Symposium (Cat. No.01CH37217), Sydney, Australia, 9–13 July 2001; Volume 1, pp. 426–428. [Google Scholar]
- Arnaud, A. Ship Detection by SAR Interferometry. In Proceedings of the IEEE 1999 International Geoscience and Remote Sensing Symposium. IGARSS’99 (Cat. No.99CH36293), Hamburg, Germany, 28 June–2 July 1999; Volume 5, pp. 2616–2618. [Google Scholar] [CrossRef]
- Ouchi, K.; Tamaki, S.; Yaguchi, H.; Iehara, M. Ship Detection Based on Coherence Images Derived From Cross Correlation of Multilook SAR Images. IEEE Geosci. Remote Sens. Lett. 2004, 1, 184–187. [Google Scholar] [CrossRef]
- Marino, A.; Sanjuan-Ferrer, M.J.; Hajnsek, I.; Ouchi, K. Ship Detection with Spectral Analysis of Synthetic Aperture Radar: A Comparison of New and Well-Known Algorithms. Remote Sens. 2015, 7, 5416–5439. [Google Scholar] [CrossRef]
- Brekke, C.; Anfinsen, S.N.; Larsen, Y. Subband Extraction Strategies in Ship Detection with the Subaperture Cross-Correlation Magnitude. IEEE Geosci. Remote Sens. Lett. 2013, 10, 786–790. [Google Scholar] [CrossRef]
- Marino, A.; Sugimoto, M.; Ouchi, K.; Hajnsek, I. Validating a Notch Filter for Detection of Targets at Sea with ALOS-PALSAR Data: Tokyo Bay. Select. Top. Appl. Earth Obs. Remote Sens. IEEE J. 2014, 7, 4907–4918. [Google Scholar] [CrossRef]
- Marino, A.; Hajnsek, I. Statistical Tests for a Ship Detector Based on the Polarimetric Notch Filter. Geosci. Remote Sens. IEEE Trans. 2015, 53, 4578–4595. [Google Scholar] [CrossRef]
- Yeremy, M.; Campbell, J.W.M.; Mattar, K.; Potter, T. Ocean Surveillance with Polarimetric SAR. Can. J. Remote Sens. 2001, 27, 328–344. [Google Scholar] [CrossRef]
- Stastny, J.; Cheung, S.; Wiafe, G.; Agyekum, K.; Greidanus, H. Application of RADAR Corner Reflectors for the Detection of Small Vessels in Synthetic Aperture Radar. IEEE J. Select. Top. Appl. Earth Obs. Remote Sens. 2014, 8, 1099–1107. [Google Scholar] [CrossRef]
- Gao, G.; Shi, G. Ship Detection in Dual-Channel ATI-SAR Based on the Notch Filter. IEEE Trans. Geosci. Remote Sens. 2017, 55, 4795–4810. [Google Scholar] [CrossRef]
- Zhao, J.; Guo, W.; Zhang, Z.; Yu, W. A Coupled Convolutional Neural Network for Small and Densely Clustered Ship Detection in SAR Images. Sci. China Inf. Sci. 2019, 62, 42301. [Google Scholar] [CrossRef]
- Liu, G.; Zhang, X.; Meng, J. A Small Ship Target Detection Method Based on Polarimetric SAR. Remote Sens. 2019, 11, 2938. [Google Scholar] [CrossRef]
- Eldhuset, K. An Automatic Ship and Ship Wake Detection System for Spaceborne SAR Images in Coastal Regions. IEEE Trans. Geosci. Remote Sens. 1996, 34, 1010–1019. [Google Scholar] [CrossRef]
- Tello, M.; López-Martínez, C.; Mallorqui, J.J. A Novel Algorithm for Ship Detection in SAR Imagery Based on the Wavelet Transform. IEEE Geosci. Remote Sens. Lett. 2005, 2, 201–205. [Google Scholar] [CrossRef]
- Brusch, S.; Lehner, S.; Fritz, T.; Soccorsi, M.; Soloviev, A.; van Schie, B. Ship Surveillance with TerraSAR-X. IEEE Trans. Geosci. Remote Sens. 2010, 49, 1092–1103. [Google Scholar] [CrossRef]
- Watts, S. A Practical Approach to the Prediction and Assessment of Radar Performance in Sea Clutter. In Proceedings of the International Radar Conference, IEEE, Alexandria, VA, USA, 8–11 May 1995; pp. 181–186. [Google Scholar]
- Crisp, D.J. The State-of-the-Art in Ship Detection in Synthetic Aperture Radar Imagery; Res. Rep. DSTO-RR-0272; Defence Science And Technology Organisation Info Sciences Lab: Edinburgh, Australia, 2004; p. 136. [Google Scholar]
- Parthiban, A.; Madhavan, J.; Radhakrishna, P.; Savitha, D.; Kumar, L.S. Modeling and Simulation of Radar Sea Clutter Using K-Distribution. In Proceedings of the SPCOM’04, 2004 International Conference on Signal Processing and Communications, Bangalore, India, 11–14 December 2004; pp. 368–372. [Google Scholar]
- Ward, K.D.; Baker, C.J.; Watts, S. Maritime Surveillance Radar. Part 1: Radar Scattering from the Ocean Surface. IEE Proc. F 1990, 137, 51–62. Available online: https://digital-library.theiet.org/content/journals/10.1049/ip-f-2.1990.0009 (accessed on 2 April 2021).
- Gierull, C.H.; Sikaneta, I. A Compound-plus-Noise Model for Improved Vessel Detection in Non-Gaussian SAR Imagery. IEEE Trans. Geosci. Remote Sens. 2017, 56, 1444–1453. [Google Scholar] [CrossRef]
- Greidanus, H.; Alvarez, M.; Santamaria, C.; Thoorens, F.X.; Kourti, N.; Argentieri, P. The SUMO Ship Detector Algorithm for Satellite Radar Images. Remote Sens. 2017, 9, 246. [Google Scholar] [CrossRef]
- Aiello, M.; Vezzoli, R.; Gianinetto, M. Object-Based Image Analysis Approach for Vessel Detection on Optical and Radar Images. J. Appl. Remote Sens. 2019, 13, 1. [Google Scholar] [CrossRef]
- Song, S.; Xu, B.; Li, Z.; Yang, J. Ship Detection in SAR Imagery via Variational Bayesian Inference. IEEE Geosci. Remote Sens. Lett. 2016, 13, 319–323. [Google Scholar] [CrossRef]
- Cloude, S. Polarisation: Applications in Remote Sensing; Oxford University Press: Oxford, UK, 2010. [Google Scholar]
- Lee, J.S.; Pottier, E. Polarimetric Radar Imaging: From Basics to Applications; CRC Press: Boca Raton, FL, USA, 2009. [Google Scholar]
- Hajnsek, I.; Pardini, M.; Papathanassiou, K.; Cloude, S.; Lopez-Sanchez, J.M.; Ballester-Berman, D.; Jagdhuber, T.; Koeniguer, E.; Trouve, N.; Migliaccio, M. PolSAR-Ap: Exploitation of Fully Polarimetric SAR Data for Application Demonstration. In Proceedings of the POLINSAR 2013, Workshop on Applications of SAR Polarimetry and Polarimetric Interferometry, Milan, Italy, 26–31 July 2013. [Google Scholar]
- Velotto, D.; Soccorsi, M.; Lehner, S. Azimuth Ambiguities Removal for Ship Detection Using Full Polarimetric X-Band SAR Data. IEEE Trans. Geosci. Remote Sens. 2014, 52, 76–88. [Google Scholar] [CrossRef]
- Margarit, G.; Mallorqui, J.; Fabregas, X. Single-Pass Polarimetric SAR Interferometry for Vessel Classification. IEEE Trans. Geosci. Remote Sens. 2007, 45, 3494–3502. [Google Scholar] [CrossRef]
- Hannevik, T.N.A. Combining Polarimetric Channels for Better Ship Detection Results; ESA Special Publication: Paris, France, 2013; Volume 713. [Google Scholar]
- Hu, C.; Ferro-Famil, L.; Kuang, G. Ship Discrimination Using Polarimetric SAR Data and Coherent Time-Frequency Analysis. Remote Sens. 2013, 5, 6899–6920. [Google Scholar] [CrossRef]
- Iervolino, P.; Guida, R.; Whittaker, P. A Novel Ship-Detection Technique for Sentinel-1 SAR Data. In Proceedings of the 2015 IEEE 5th Asia-Pacific Conference on Synthetic Aperture Radar (APSAR), Singapore, 1–4 September 2015; pp. 797–801. [Google Scholar] [CrossRef]
- Iervolino, P.; Guida, R.; Amitrano, D.; Marino, A. SAR Ship Detection for Rough Sea Conditions. In Proceedings of the IGARSS 2019–2019 IEEE International Geoscience and Remote Sensing Symposium, Yokohama, Japan, 28 July–2 August 2019; pp. 505–508. [Google Scholar] [CrossRef]
- Liu, C.; Vachon, P.W.; Geling, G.W. Improved Ship Detection Using Polarimetric SAR Data. In Proceedings of the IGARSS 2004. 2004 IEEE International Geoscience and Remote Sensing Symposium, Anchorage, AK, USA, 20–24 September 2004; pp. 1800–1803. [Google Scholar] [CrossRef]
- Yang, J.; Cui, Y. A Novel Method for Ship Detection in Polarimetric SAR Images Using Gopce. In Proceedings of the IET International Radar Conference, Guilin, China, 20–22 April 2009; pp. 1–5. [Google Scholar] [CrossRef]
- Nunziata, F.; Montuori, A.; Migliaccio, M. Dual-Polarized COSMO SkyMed SAR Data to Observe Metallic Targets at Sea. In Proceedings of the Geoscience and Remote Sensing Symposium (IGARSS), Vancouver, BC, Canada, 24–29 July 2011; pp. 2270–2273. [Google Scholar]
- Nunziata, F.; Migliaccio, M.; Brown, C.E. Reflection Symmetry for Polarimetric Observation of Man-Made Metallic Targets at Sea. Ocean. Eng. IEEE J. 2012, 37, 384–394. [Google Scholar] [CrossRef]
- Marino, A.; Walker, N. Ship Detection In Variable Sea States And Depolarized Sea Clutter: A Polarimetric Notch Filter. PolinSAR 2011 Sci. Appl. SAR Polarim. Polarim. Interferom. 2011, 695, 8. [Google Scholar]
- Cloude, S.R.; Pottier, E. A Review of Target Decomposition Theorems in Radar Polarimetry. IEEE Trans. Geosci. Remote Sens. 1996, 34, 498–518. [Google Scholar] [CrossRef]
- Schneider, R.Z.; Papathanassiou, K.P.; Hajnsek, I.; Moreira, A. Polarimetric and Interferometric Characterization of Coherent Scatterers in Urban Areas. IEEE Trans. Geosci. Remote Sens. 2006, 44, 971–984. [Google Scholar] [CrossRef]
- Anfinsen, S.N.; Brekke, C. Statistical Models for Constant False Alarm Rate Ship Detection with the Sublook Correlation Magnitude. In Proceedings of the Geoscience and Remote Sensing Symposium (IGARSS), Munich, Germany, 22–27 July 2012; pp. 5626–5629. [Google Scholar]
- Sanjuan-Ferrer, M.J.; Hajnsek, I.; Papathanassiou, K.P.; Moreira, A. A New Detection Algorithm for Coherent Scatterers in SAR Data. IEEE Trans. Geosci. Remote Sens. 2015, 53, 6293–6307. [Google Scholar] [CrossRef]
- Zhang, B.; Li, X.; Perrie, W.; Garcia-Pineda, O. Compact Polarimetric Synthetic Aperture Radar for Marine Oil Platform and Slick Detection. IEEE Trans. Geosci. Remote Sens. 2017, 55, 1407–1423. [Google Scholar] [CrossRef]
- Sanjuan-Ferrer, M.J. Detection of Coherent Scatterers in SAR Data: Algorithms and Applications. Ph.D. Thesis, ETH Zurich, Zurich, Switzerland, 2013. [Google Scholar] [CrossRef]
- Souyris, J.C.; Henry, C.; Adragna, F. On the Use of Complex SAR Image Spectral Analysis for Target Detection: Assessment of Polarimetry. IEEE Trans. Geosci. Remote Sens. 2003, 41, 2725–2734. [Google Scholar] [CrossRef]
- Raney, R.K. Synthetic Aperture Imaging Radar and Moving Targets. IEEE Trans. Aerosp. Electron. Syst. 1971, AES-7, 499–505. [Google Scholar] [CrossRef]
- Ender, J.H. Space-Time Processing for Multichannel Synthetic Aperture Radar. Electron. Commun. Eng. J. 1999, 11, 29–38. [Google Scholar] [CrossRef]
- Ender, J.H.G.; Gierull, C.H.; Cerutti-Maori, D. Improved Space-Based Moving Target Indication via Alternate Transmission and Receiver Switching. IEEE Trans. Geosci. Remote Sens. 2008, 46, 3960–3974. [Google Scholar] [CrossRef]
- Chiu, S.; Livingstone, C. A Comparison of Displaced Phase Centre Antenna and Along-Track Interferometry Techniques for RADARSAT-2 Ground Moving Target Indication. Can. J. Remote Sens. 2005, 31, 37–51. [Google Scholar] [CrossRef]
- Makhoul, E.; Baumgartner, S.V.; Jager, M.; Broquetas, A. Multichannel SAR-GMTI in Maritime Scenarios With F-SAR and TerraSAR-X Sensors. IEEE J. Select. Top. Appl. Earth Obs. Remote Sens. 2015, 8, 5052–5067. [Google Scholar] [CrossRef]
- Cerutti-Maori, D.; Sikaneta, I. Optimum GMTI Processing for Space-Based SAR/GMTI Systems-Theoretical Derivation. In Proceedings of the 8th European Conference on Synthetic Aperture Radar, VDE, Aachen, Germany, 7–10 June 2010; pp. 1–4. [Google Scholar]
- Gao, G.; Huang, K.; Gao, S.; He, J.; Zhang, X. Ship Detection Based on Oceanic Displaced Phase Center Antenna Technique in Along-Track Interferometric SAR. IEEE J. Select. Top. Appl. Earth Obs. Remote Sens. 2019, 12, 788–802. [Google Scholar] [CrossRef]
- Tian, M.; Yang, Z.; Duan, C.; Liao, G.; Liu, Y.; Wang, C.; Huang, P. A Method for Active Marine Target Detection Based on Complex Interferometric Dissimilarity in Dual-Channel ATI-SAR Systems. IEEE Trans. Geosci. Remote Sens. 2020, 58, 251–267. [Google Scholar] [CrossRef]
- Werle, D. RADARSAT SAR Azimuth Ambiguity Patterns-The Ghost Fleet of Halifax Harbour and Implications for Applications. In Proceedings of the International Symposium Geomatics in the Era of RADARSAT (GER’97), Ottawa, ON, Canada, 25–30 May 1997; p. 10. [Google Scholar]
- Hu, C.; Xiong, B.; Lu, J.; Li, Z.; Zhao, L.; Kuang, G. SAR Azimuth Ambiguities Removal for Ship Detection Using Time-Frequency Techniques. In Proceedings of the Geoscience and Remote Sensing Symposium (IGARSS), Quebec City, QC, Canada, 13–18 July 2014; pp. 982–985. [Google Scholar]
- Avolio, C.; Costantini, M.; Di Martino, G.; Iodice, A.; Macina, F.; Ruello, G.; Riccio, D.; Zavagli, M. A Method for the Reduction of Ship-Detection False Alarms Due to SAR Azimuth Ambiguity. In Proceedings of the Geoscience and Remote Sensing Symposium (IGARSS), Quebec City, QC, Canada, 13–18 July 2014; pp. 3694–3697. [Google Scholar]
- Alpers, W.; Romeiser, R.; Hennings, I. On the Radar Imaging Mechanism of Kelvin Arms of Ship Wakes. In Proceedings of the IGARSS ’98. Sensing and Managing the Environment. 1998 IEEE International Geoscience and Remote Sensing. Symposium Proceedings. (Cat. No.98CH36174), Seattle, WA, USA, 6–10 July 1998; Volume 4, pp. 1932–1934. [Google Scholar] [CrossRef]
- Tings, B.; Pleskachevsky, A.; Velotto, D.; Jacobsen, S. Extension of Ship Wake Detectability Model for Non-Linear Influences of Parameters Using Satellite Based X-Band Synthetic Aperture Radar. Remote Sens. 2019, 11, 563. [Google Scholar] [CrossRef]
- Graziano, M.; D’Errico, M.; Rufino, G. Wake Component Detection in X-Band SAR Images for Ship Heading and Velocity Estimation. Remote Sens. 2016, 8, 498. [Google Scholar] [CrossRef]
- Karakuş, O.; Rizaev, I.; Achim, A. Ship Wake Detection in SAR Images via Sparse Regularisation. IEEE Trans. Geosci. Remote Sens. 2020, 58, 1665–1677. [Google Scholar] [CrossRef]
- Yang, T.; Karakuş, O.; Achim, A. Detection of Ship Wakes in SAR Imagery Using Cauchy Regularisation. arXiv 2020, arXiv:2002.04744. [Google Scholar]
- Chang, Y.L.; Anagaw, A.; Chang, L.; Wang, Y.; Hsiao, C.Y.; Lee, W.H. Ship Detection Based on YOLOv2 for SAR Imagery. Remote Sens. 2019, 11, 786. [Google Scholar] [CrossRef]
- Girshick, R.; Donahue, J.; Darrell, T.; Malik, J. Rich Feature Hierarchies for Accurate Object Detection and Semantic Segmentation. In Proceedings of the IEEE Conference on Computer Vision and Pattern Recognition, Columbus, OH, USA, 23–28 June 2014; pp. 580–587. [Google Scholar] [CrossRef]
- Girshick, R. Fast R-Cnn. In Proceedings of the IEEE International Conference on Computer Vision, Santiago, Chile, 7–13 December 2015; pp. 1440–1448. [Google Scholar]
- Ren, S.; He, K.; Girshick, R.; Sun, J. Faster R-CNN: Towards Real-Time Object Detection with Region Proposal Networks. In Advances in Neural Information Processing Systems 28; Cortes, C., Lawrence, N.D., Lee, D.D., Sugiyama, M., Garnett, R., Eds.; Curran Associates, Inc.: New York, NY, USA, 2015; pp. 91–99. [Google Scholar]
- Li, J.; Qu, C.; Shao, J. Ship Detection in SAR Images Based on an Improved Faster R-CNN. In Proceedings of the SAR in Big Data Era: Models, Methods and Applications (BIGSARDATA), Beijing, China, 13–14 November 2017; pp. 1–6. [Google Scholar] [CrossRef]
- Redmon, J.; Divvala, S.; Girshick, R.; Farhadi, A. You Only Look Once: Unified, Real-Time Object Detection. In Proceedings of the IEEE Conference on Computer Vision and Pattern Recognition (CVPR), Las Vegas, NV, USA, 27–30 June 2016; pp. 779–788. [Google Scholar] [CrossRef]
- Kang, M.; Ji, K.; Leng, X.; Lin, Z. Contextual Region-Based Convolutional Neural Network with Multilayer Fusion for SAR Ship Detection. Remote Sens. 2017, 9, 860. [Google Scholar] [CrossRef]
- Sharifzadeh, F.; Akbarizadeh, G.; Seifi Kavian, Y. Ship Classification in SAR Images Using a New Hybrid CNN–MLP Classifier. J. Indian Soc. Remote Sens. 2019, 47, 551–562. [Google Scholar] [CrossRef]
- Cloude, S. The Dual Polarization Entropy/Alpha Decomposition: A PALSAR Case Study. ESASP 2007, 644, 2. [Google Scholar]














| TSX-HS | Images from... | TSX-SM | Images from... | ||
|---|---|---|---|---|---|
| Single-Pol Mode | Dual-Pol Mode | Single-Pol Mode | Dual-Pol Mode | ||
| Co-pol | 13 | 14 | Co-pol | 8 | 12 |
| Cross-pol | 0 | 0 | Cross-pol | 0 | 6 |
| Detector | Category | Single Co-Pol | Dual Co-Pol | Dual Cross-Pol | N (HS, SM) | Fixed Parameters: RR (Dimensionless), All Others in m |
|---|---|---|---|---|---|---|
| Cell Averaging Constant False Alarm Rate (CA-CFAR) | intensity based | 🗸 | 🗸 | 🗸 | 27,26 | training window size: 36 guard window size: 24 CUT: 1 cell |
| 0.94,0.94,0.94 Sub-look Correlation (SubCorr) | sub-look | 🗸 | 🗸 | 🗸 | 27,26 | training window size: 12 CUT: 1 cell |
| Polarimetric Notch Filter (PNF) | polari- metric | 🗸 | 🗸 | 7,9 | training window size: 96 CUT 1 cell RR: 0.02 | |
| 0.94,0.94,0.94 Polarimetric Entropy (PolEntropy) | polari- metric | 🗸 | 🗸 | 7,9 | training window size: 7 CUT: 1 cell | |
| Polarimetric Match Filter (PMF) | polari- metric | 🗸 | 🗸 | 7,9 | training window size: 120 guard window size: 24 CUT window size: 24 | |
| 0.94,0.94,0.94 Polarimetric Whitening Filter (PWF) | polari- metric | 🗸 | 🗸 | 7,9 | training window size: 120 guard window size: 24 CUT window size: 24 | |
| Polarimetric Symmetry (PolSym) | polari- metric | 🗸 | 0,6 | training window size: 5 guard window size: 2 CUT: 1 cell | ||
| 0.94,0.94,0.94 Cross-pol Intensity Depolarization Ratio Anomaly "volume" Detector (Cross-iDPolRAD) | polari- metric | 🗸 | 0,6 | training window size: 36 guard window size: 12 CUT: 1 cell | ||
| Co-pol Surface Intensity Depolarization Ratio Anomaly Detector (Co-SiDPolRAD) | polari- metric | 🗸 | 0,6 | training window size: 36 guard window size: 12 CUT: 1 cell |
| Negatives | |||
|---|---|---|---|
| and | or | ||
| Positives | and | 0.49 | 0.7 |
| or | 0.98 | 1 | |
| Detector | Applicability to Single-Pol Mode | Overall Performance | Challenges | Cost per Step (Norm = CA-CFAR) | |
|---|---|---|---|---|---|
| Low Incidence Angle | Cross-Pol | ||||
| CA-CFAR | 🗸 | 95 | 76 | 73 | 1 |
| SubCorr | 🗸 | 94 | 78 | 75 | 2.8 |
| PNF | x | 98 | 96 | 99 | 3.8 |
| PolEntropy | x | 69 | 63 | 90 | 42.3 |
| PMF | x | 99 | 97 | 99 | 70.6 |
| PWF | x | 99 | 97 | 99 | 14.9 |
| PolSym | x | 99 | 99 | 98 | 0.4 |
| Cross-iDPolRAD | x | 46 | 45 | 46 | 0.4 |
| Co-SiDPolRAD | x | 94 | 100 | 94 | 0.4 |
| iDPolRAD_comb1 | x | 99 | 100 | 99 | 0.8 |
| iDPolRAD_comb2 | x | 100 | 100 | 100 | 0.8 |
Publisher’s Note: MDPI stays neutral with regard to jurisdictional claims in published maps and institutional affiliations. |
© 2021 by the authors. Licensee MDPI, Basel, Switzerland. This article is an open access article distributed under the terms and conditions of the Creative Commons Attribution (CC BY) license (https://creativecommons.org/licenses/by/4.0/).
Share and Cite
Lanz, P.; Marino, A.; Brinkhoff, T.; Köster, F.; Möller, M. The InflateSAR Campaign: Testing SAR Vessel Detection Systems for Refugee Rubber Inflatables. Remote Sens. 2021, 13, 1487. https://doi.org/10.3390/rs13081487
Lanz P, Marino A, Brinkhoff T, Köster F, Möller M. The InflateSAR Campaign: Testing SAR Vessel Detection Systems for Refugee Rubber Inflatables. Remote Sensing. 2021; 13(8):1487. https://doi.org/10.3390/rs13081487
Chicago/Turabian StyleLanz, Peter, Armando Marino, Thomas Brinkhoff, Frank Köster, and Matthias Möller. 2021. "The InflateSAR Campaign: Testing SAR Vessel Detection Systems for Refugee Rubber Inflatables" Remote Sensing 13, no. 8: 1487. https://doi.org/10.3390/rs13081487
APA StyleLanz, P., Marino, A., Brinkhoff, T., Köster, F., & Möller, M. (2021). The InflateSAR Campaign: Testing SAR Vessel Detection Systems for Refugee Rubber Inflatables. Remote Sensing, 13(8), 1487. https://doi.org/10.3390/rs13081487

