Real-Time Source Apportionment of PM2.5 Highlights the Importance of Joint Controls on Atmospheric Pollution in Cold Region of China
Abstract
:1. Introduction
2. Materials and Methods
2.1. Sampling Site
2.2. Instrumentation
2.3. HYSPLIT and PSCF Modeling
2.4. Data Analysis
3. Results and Discussion
3.1. Overview of Pollutant Characteristics
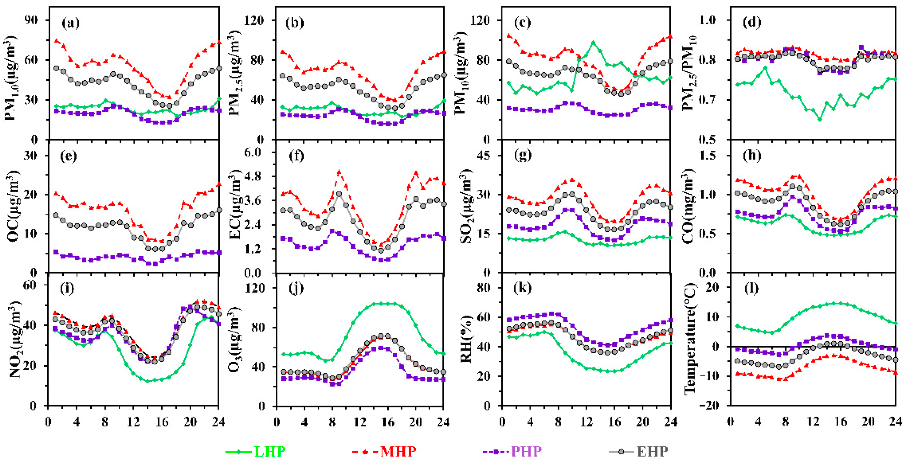
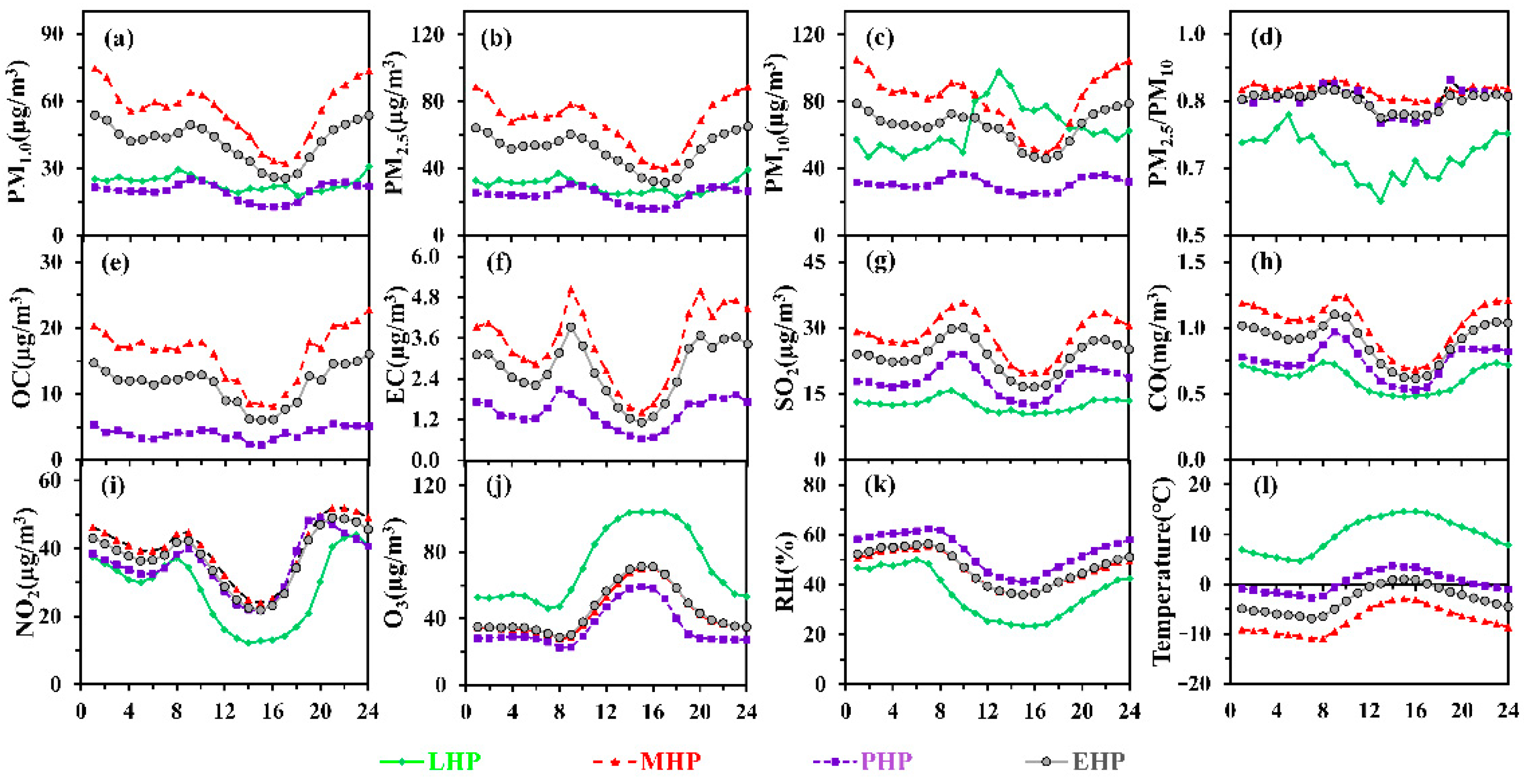
3.2. Influence of Meteorological Factors on Pollutant Concentration
3.3. Source Apportionment of Fine Particulate Matter
3.4. Analysis of Typical Haze Periods
3.4.1. Fuel Consumption-Induced Haze
3.4.2. Biomass Burning-Induced Haze
3.4.3. Windblown-Induced Haze
3.5. Comprehensive Control Options to Reduce Haze Episodes for Cold Regions of Northeast China
4. Conclusions
Author Contributions
Funding
Data Availability Statement
Conflicts of Interest
References
- An, Z.S.; Huang, R.J.; Zhang, R.Y.; Tie, X.X.; Li, G.H.; Cao, J.J.; Zhou, Q.J.; Shi, Z.G.; Han, Y.M.; Gu, Z.L.; et al. Severe haze in northern China: A synergy of anthropogenic emissions and atmospheric processes. Proc. Natl. Acad. Sci. USA 2019, 116, 8657–8666. [Google Scholar] [CrossRef] [Green Version]
- Peng, J.F.; Hu, M.; Shang, D.J.; Wu, Z.J.; Du, Z.F.; Tan, T.Y.; Wang, Y.N.; Zhang, F.; Zhang, R.Y. Explosive Secondary Aerosol Formation during Severe Haze in the North China Plain. Environ. Sci. Technol. 2021, 55, 2189–2207. [Google Scholar] [CrossRef]
- Lu, C.; Fu, J.; Liu, X.; Chen, W.; Hao, J.; Li, X.; Pant, O. Air pollution and meteorological conditions significantly contribute to the worsening of allergic conjunctivitis: A regional 20-city, 5-year study in Northeast China. Light Sci. Appl. 2021, 10, 2128–2142. [Google Scholar] [CrossRef] [PubMed]
- Shen, L.J.; Wang, H.L.; Cheng, M.T.; Ji, D.S.; Liu, Z.R.; Wang, L.L.; Gao, W.K.; Yang, Y.; Huang, W.; Zhang, R.J.; et al. Chemical composition, water content and size distribution of aerosols during different development stages of regional haze episodes over the north China plain. Atmos. Environ. 2021, 245, 118020. [Google Scholar] [CrossRef]
- Kong, L.W.; Tan, Q.W.; Feng, M.; Qu, Y.; An, J.L.; Liu, X.G.; Cheng, N.L.; Deng, Y.J.; Zhai, R.X.; Wang, Z. Investigating the characteristics and source analyses of PM2.5 seasonal variations in Chengdu, Southwest China. Chemosphere 2020, 243, 125267. [Google Scholar] [CrossRef]
- Chen, W.W.; Zhang, S.C.; Tong, Q.S.; Zhang, X.L.; Zhao, H.M.; Ma, S.Q.; Xiu, A.J.; He, Y.X. Regional characteristics and causes of haze events in Northeast China. Chin. Geogr. Sci. 2018, 28, 836–850. [Google Scholar] [CrossRef] [Green Version]
- Xu, M.; Liu, Z.R.; Hu, B.; Yan, G.X.; Zou, J.N.; Zhao, S.M.; Zhou, J.X.; Liu, X.H.; Zheng, X.P.; Zhang, X.Y.; et al. Chemical characterization and source identification of PM2.5 in Luoyang after the clean air actions. J. Environ. Sci. 2021, 115, 265–276. [Google Scholar] [CrossRef]
- Li, X.Y.; Cheng, T.H.; Shi, S.Y.; Guo, H.; Wu, Y.; Lei, M.; Zuo, Y.; Wang, W.N.; Han, Z.Y. Evaluating the impacts of burning biomass on PM2.5 regional transport under various emission conditions. Sci. Total Environ. 2021, 793, 148481. [Google Scholar] [CrossRef]
- Hu, W.Y.; Zhao, T.L.; Bai, Y.Q.; Kong, S.F.; Xiong, J.; Sun, X.Y.; Yang, Q.J.; Gu, Y.; Lu, H.C. Importance of regional PM2.5 transport and precipitation washout in heavy air pollution in the Twain-Hu Basin over Central China: Observational analysis and WRF-Chem simulation. Sci. Total Environ. 2021, 758, 143710. [Google Scholar] [CrossRef]
- Luo, L.; Zhu, R.G.; Song, C.B.; Peng, J.F.; Guo, W.; Liu, Y.H.; Zheng, N.J.; Xiao, H.W.; Xiao, H.Y. Changes in nitrate accumulation mechanisms as PM2.5 levels increase on the North China Plain: A perspective from the dual isotopic compositions of nitrate. Chemosphere 2021, 263, 127915. [Google Scholar] [CrossRef]
- Ou, J.P.; Hu, Q.H.; Liu, H.R.; Xu, S.Q.; Wang, Z.; Ji, X.G.; Wang, X.Q.; Xie, Z.Q.; Kang, H. Exploring the impact of new particle formation events on PM2.5 pollution during winter in the Yangtze River Delta, China. J. Environ. Sci. 2021, 111, 75–83. [Google Scholar] [CrossRef]
- Xu, J.; Wang, H.T.; Li, X.J.; Li, Y.; Wen, J.; Zhang, J.S.; Shi, X.R.; Li, M.; Wang, W.; Shi, G.L.; et al. Refined source apportionment of coal combustion sources by using single particle mass spectrometry. Sci. Total Environ. 2018, 627, 633–646. [Google Scholar] [CrossRef]
- Yang, J.; Ma, S.X.; Gao, B.; Li, X.Y.; Zhang, Y.J.; Cai, J.; Li, M.; Yao, L.G.; Huang, B.; Zheng, M. Single particle mass spectral signatures from vehicle exhaust particles and the source apportionment of on-line PM2.5 by single particle aerosol mass spectrometry. Sci. Total Environ. 2017, 593, 310–318. [Google Scholar] [CrossRef] [PubMed]
- Guo, S.; Hu, M.; Zamora, M.L.; Peng, J.F.; Shang, D.J.; Zheng, J.; Du, Z.F.; Wu, Z.J.; Shao, M.; Zeng, L.M.; et al. Elucidating severe urban haze formation in China. Proc. Natl. Acad. Sci. USA 2014, 111, 17373–17378. [Google Scholar] [CrossRef] [PubMed] [Green Version]
- Zhao, Z.Y.; Cao, F.; Fan, M.Y.; Zhang, W.Q.; Zhai, X.Y.; Wang, Q.; Zhang, Y.L. Coal and biomass burning as major emissions of NOx in Northeast China: Implication from dual isotopes analysis of fine nitrate aerosols. Atmos. Environ. 2020, 242, 117762. [Google Scholar] [CrossRef]
- Zong, Z.; Sun, Z.Y.; Xiao, L.L.; Tian, C.G.; Liu, J.W.; Sha, Q.G.; Li, J.; Fang, Y.T.; Zheng, J.Y.; Zhang, G. Insight into the variability of the nitrogen isotope composition of vehicular NOx in China. Environ. Sci. Technol. 2020, 54, 14246–14253. [Google Scholar] [CrossRef] [PubMed]
- Liao, J.; Jin, A.Z.; Chafe, Z.A.; Pillarisetti, A.; Yu, T.; Shan, M.; Yang, X.D.; Li, H.X.; Liu, G.Q.; Smitha, K.R. The impact of household cooking and heating with solid fuels on ambient PM2.5 in peri-urban Beijing. Atmos. Environ. 2017, 165, 62–72. [Google Scholar] [CrossRef]
- Lin, C.Q.; Liu, G.; Lau, A.K.H.; Li, Y.; Li, C.C.; Fung, J.C.H.; Lao, X.G. High-resolution satellite remote sensing of provincial PM2.5 trends in China from 2001 to 2015. Atmos. Environ. 2018, 180, 110–116. [Google Scholar] [CrossRef]
- Meng, J.; Li, C.; Martin, R.V.; van Donkelaar, A.; Hystad, P.; Brauer, M. Estimated long-term (1981–2016) concentrations of ambient fine particulate matter across North America from chemical transport modeling, satellite remote sensing, and ground-based measurements. Environ. Sci. Technol. 2019, 53, 5071–5079. [Google Scholar] [CrossRef] [Green Version]
- Chen, D.H.; Li, M.; Huang, B.; Jiang, B.; Zhang, T.; Jiang, M.; Xie, M.; Zhong, L.; Bi, X.; Lv, X.; et al. The pollution characteristics and source apportionment of regional atmospheric fine particles. China Environ. Sci. 2016, 36, 651–659. [Google Scholar]
- Wang, Z.S.; Li, Y.T.; Li, Q.; Wang, L.H.; Liu, B.X. Analysis on a Dust Pollution Event in Beijing in May, 2017. Based on the Observation of an Atmospheric Supersite. Environ. Monit. China 2017, 33, 28–34. [Google Scholar] [CrossRef]
- Sun, X.Z.; Wang, K.; Li, B.; Zong, Z.; Shi, X.F.; Ma, L.X.; Fu, D.L.; Thapa, S.; Qi, H.; Tian, C.G. Exploring the cause of PM2.5 pollution episodes in a cold metropolis in China. J. Clean Prod. 2020, 256, 120275. [Google Scholar] [CrossRef]
- Luo, Y.; Liu, S.; Che, L.; Yu, Y. Analysis of temporal spatial distribution characteristics of PM2.5 pollution and the influential meteorological factors using Big Data in Harbin, China. J. Air Waste Manag. Assoc. 2021, 71, 964–973. [Google Scholar] [CrossRef]
- Bai, H.M.; Zheng, Z.; Zhang, Y.P.; Huang, H.; Wang, L. Comparison of satellite-based PM2.5 estimation from aerosol optical depth and top-of-atmosphere reflectance. Aerosol Air Qual. Res. 2021, 21, 200257. [Google Scholar] [CrossRef]
- Wang, Y.; Wang, M.M.; Li, S.P.; Sun, H.Y.; Mu, Z.; Zhang, L.X.; Li, Y.G.; Chen, Q.C. Study on the oxidation potential of the water-soluble components of ambient PM2.5 over Xi’an, China: Pollution levels, source apportionment and transport pathways. Environ. Int. 2020, 136, 105515. [Google Scholar] [CrossRef]
- Li, B.; Shi, X.F.; Liu, Y.P.; Lu, L.; Wang, G.L.; Thapa, S.; Sun, X.Z.; Fu., D.L.; Wang, K.; Hong, Q. Long-term characteristics of criteria air pollutants in megacities of Harbin-Changchun megalopolis, Northeast China: Spatiotemporal variations, source analysis, and meteorological effects. Environ. Pollut. 2020, 267, 115441. [Google Scholar] [CrossRef]
- Statistics Bureau of Harbin. Harbin Statistical Yearbook 2019; China Statistics Press: Beijing, China, 2019. (In Chinese) [Google Scholar]
- Chen, W.W.; Tong, D.Q.; Zhang, S.C.; Zhang, X.L.; Zhao, H.M. Local PM10 and PM2.5 emission inventories from agricultural tillage and harvest in northeastern China. China Environ. Sci. 2017, 57, 15–23. [Google Scholar] [CrossRef]
- Zhang, M.D.; Chen, W.W.; Shen, X.J.; Zhao, H.M.; Gao, C.K.; Zhang, X.L.; Liu, W.; Yang, C.J.; Qin, Y.; Zhang, S.C.; et al. Comprehensive and high-resolution emission inventory of atmospheric pollutants for the northernmost cities agglomeration of Harbin-Changchun, China: Implications for local atmospheric environment management. J. Environ. Sci. 2021, 104, 150–168. [Google Scholar] [CrossRef]
- Bi, X.H.; Zhang, G.H.; Li, L.; Wang, X.M.; Li, M.; Sheng, G.Y.; Fu, J.M.; Zhou, Z. Mixing state of biomass burning particles by single particle aerosol mass spectrometer in the urban area of PRD, China. Atmos. Environ. 2011, 45, 3447–3453. [Google Scholar] [CrossRef]
- Li, L.; Huang, Z.X.; Dong, J.G.; Li, M.; Gao, W.; Nian, H.Q.; Zhou, F.; Zhang, G.H.; Bi, X.H.; Cheng, P.; et al. Real time bipolar time-of-flight mass spectrometer for analyzing single aerosol particles. Int. J. Mass Spectrom. 2011, 303, 118–124. [Google Scholar] [CrossRef]
- Molnár, P.; Tang, L.; Sjöberg, K.; Wichmann, J. Long-range transport clusters and positive matrix factorization source apportionment for investigating transboundary PM2.5 in Gothenburg, Sweden. Environ. Sci. Processes Impacts 2017, 19, 1270–1277. [Google Scholar] [CrossRef] [PubMed] [Green Version]
- Polissar, A.V.; Hopke, P.K.; Paatero, P.; Kaufmann, Y.J.; Hall, D.K.; Bodhaine, B.A.; Harris, J.M. The aerosol at Barrow, Alaska: Long-term trends and source locations. Atmos. Environ. 1999, 33, 2441–2458. [Google Scholar] [CrossRef]
- Song, X.H.; Hopke, P.K.; Fergenson, D.P.; Prather, K.A. Classification of single particles analyzed by ATOFMS using an artificial neural network, ART-2A. Anal. Chem. 1999, 71, 860–865. [Google Scholar] [CrossRef]
- Zou, J.N.; An, J.L.; Cao, Q.M.; Wang, H.L.; Wang, J.X.; Chen, C. The effects of physical and chemical characteristics of aerosol number concentration on scattering coefficients in Nanjing, China: Insights from a single particle aerosol mass spectrometer. Atmos Res. 2021, 250, 105382. [Google Scholar] [CrossRef]
- Zhang, M.D.; Zhang, S.C.; Bao, Q.Y.; Yang, C.J.; Qin, Y.; Fu, J.; Chen, W.W. Temporal Variation and Source Analysis of Carbonaceous Aerosol in Industrial Cities of Northeast China during the Spring Festival: The Case of Changchun. Atmosphere 2020, 11, 991. [Google Scholar] [CrossRef]
- Wang, Y.; Guo, H.; Zou, S.C.; Lyu, X.P.; Ling, Z.H.; Cheng, H.R.; Zeren, Y.Z. Surface O3 photochemistry over the South China Sea: Application of a near-explicit chemical mechanism box model. Environ. Pollut. 2018, 234, 155–166. [Google Scholar] [CrossRef]
- Sadanaga, Y.; Yoshino, A.; Kato, S.; Kajii, Y. Measurements of OH reactivity and photochemical ozone production in the urban atmosphere. Environ. Sci. Technol. 2005, 39, 8847–8852. [Google Scholar] [CrossRef]
- Gao, C.K.; Gao, C.B.; Song, K.H.; Xing, Y.H.; Chen, W.W. Vehicle emissions inventory in high spatial–temporal resolution and emission reduction strategy in Harbin-Changchun Megalopolis. Process Saf. Environ. Prot. 2020, 138, 236–245. [Google Scholar] [CrossRef]
- He, Y.P.; Gu, Z.L.; Lu, W.Z.; Zhang, L.Y.; Okuda, T.; Fujioka, K.; Luo, H.; Yu, C.W. Atmospheric humidity and particle charging state on agglomeration of aerosol particles. Atmos. Environ. 2019, 197, 141–149. [Google Scholar] [CrossRef]
- Wen, X.; Chen, W.W.; Chen, B.; Yang, C.J.; Tu, G.; Cheng, T.H. Does the prohibition on open burning of straw mitigate air pollution? An empirical study in Jilin Province of China in the post-harvest season. J. Environ. Manag. 2020, 264, 110451. [Google Scholar] [CrossRef]
- Li, X.R.; Wang, Y.S.; Guo, X.Q.; Wang, Y.F. Seasonal variation and source apportionment of organic and inorganic compounds in PM2.5 and PM10 particulates in Beijing, China. J. Environ. Sci. 2013, 25, 741–750. [Google Scholar] [CrossRef]
- Xu, G.; Jiao, L.M.; Zhang, B.E.; Zhao, S.L.; Yuan, M.; Gu, Y.Y.; Liu, J.F.; Tang, X. Spatial and temporal variability of the PM2.5/PM10 ratio in Wuhan, Central China. Aerosol Air Qual. Res. 2017, 17, 741–751. [Google Scholar] [CrossRef] [Green Version]
- Chen, Q.X.; Huang, C.L.; Xiao, T.; Yuan, Y.; Mao, Q.J.; Tan, H.P. Characterization of atmospheric aerosols and source apportionment analyses in urban Harbin, Northeast China. Infrared Phys. Technol. 2019, 103, 103109. [Google Scholar] [CrossRef]
- Gao, C.K.; Xu, Q.J.; Xing, Y.H. Emission Inventory of Atmospheric Pollutants from on-Road Vehicles in Low-Temperature Areas in Winter. J. Northeast. Univ. (Nat. Sci.) 2019, 40, 1343–1349. [Google Scholar]
- Sun, J.; Wang, J.H.; Shen, Z.X.; Huang, Y.; Zhang, Y.; Niu, X.Y.; Cao, J.J.; Zhang, Q.; Xu, H.M.; Zhang, N.N.; et al. Volatile organic compounds from residential solid fuel burning in Guanzhong Plain, China: Source-related profiles and risks. Chemosphere 2019, 221, 184–192. [Google Scholar] [CrossRef]
- Yu, K.; Qiu, G.K.; Chan, K.H.; Lam, K.B.H.; Kurmi, O.P.; Bennett, D.A.; Yu, C.Q.; Pan, A.; Lv, J.; Guo, Y.; et al. Association of solid fuel use with risk of cardiovascular and all-cause mortality in rural China. JAMA 2018, 319, 1351–1361. [Google Scholar] [CrossRef]
- Harbin Municipal People’s Government. Special Action Plan on Prevention and Control of Air Pollution in Harbin (2016–2018). [internet]. 2018. Available online: http://www.harbin.gov.cn/art/2016/5/23/art_13790_684.html (accessed on 10 August 2021). (In Chinese)










| ENP | PHP | MHP | LHP | |
|---|---|---|---|---|
| PM10 | 65.36 ± 60.72 | 30.70 ± 26.35 | 81.30 ± 82.90 | 64.98 ± 116.80 |
| PM2.5 | 51.21 ± 49.24 | 23.77 ± 17.91 | 68.02 ± 71.48 | 29.36 ± 23.15 |
| PM1.0 | 41.88 ± 41.12 | 19.70 ± 15.05 | 55.75 ± 60.53 | 23.22 ± 18.53 |
| OC | 11.26 ± 13.58 | 3.76 ± 2.96 | 16.02 ± 19.88 | - |
| EC | 2.49 ± 2.49 | 1.23 ± 1.15 | 3.41 ± 4.03 | - |
| SO2 | 22.70 ± 10.61 | 17.97 ± 8.85 | 28.23 ± 13.56 | 12.49 ± 4.09 |
| CO | 0.87 ± 0.34 | 0.74 ± 0.27 | 1.02 ± 0.48 | 0.61 ± 0.19 |
| NO2 | 36.35 ± 13.12 | 35.36 ± 15.60 | 39.78 ± 19.91 | 27.73 ± 17.17 |
| O3 | 63.77 ± 23.36 | 35.51 ± 19.50 | 44.03 ± 21.71 | 73.89 ± 29.54 |
| Wind speed | 2.84 ± 1.73 | 2.86 ± 2.22 | 2.67 ± 1.64 | 3.61 ± 1.60 |
| Relative humidity | 46.91 ± 15.77 | 52.99 ± 14.15 | 46.29 ± 15.04 | 35.81 ± 16.35 |
| Ambient temperature | −3.07 ± 10.12 | 0.35 ± 8.08 | –7.24 ± 8.75 | 10.10 ± 5.64 |
| Episode1 | Episode2 | Episode3 | |
|---|---|---|---|
| Pollutant concentrations | |||
| PM1.0 | 54.28 | 118.12 | 24.70 |
| PM2.5 | 66.06 | 142.41 | 31.41 |
| PM10 | 79.20 | 166.29 | 96.71 |
| NO2 | 46.15 | 51.38 | 23.94 |
| O3_8 h | 33.58 | 52.30 | 78.56 |
| SO2 | 36.27 | 27.49 | 10.40 |
| CO | 1.10 | 1.20 | 0.58 |
| Particle ratio | |||
| PM1.0/PM2.5 | 0.82 | 0.82 | 0.80 |
| PM2.5/PM10 | 0.82 | 0.85 | 0.57 |
| Meteorological factors | |||
| Temperature | −11.99 | 1.21 | 10.55 |
| RH | 53.37 | 40.38 | 30.14 |
| WS | 2.25 | 2.61 | 4.41 |
Publisher’s Note: MDPI stays neutral with regard to jurisdictional claims in published maps and institutional affiliations. |
© 2022 by the authors. Licensee MDPI, Basel, Switzerland. This article is an open access article distributed under the terms and conditions of the Creative Commons Attribution (CC BY) license (https://creativecommons.org/licenses/by/4.0/).
Share and Cite
Chen, W.; Zhang, M.; Liu, W.; Fu, J.; Guo, L. Real-Time Source Apportionment of PM2.5 Highlights the Importance of Joint Controls on Atmospheric Pollution in Cold Region of China. Remote Sens. 2022, 14, 3770. https://doi.org/10.3390/rs14153770
Chen W, Zhang M, Liu W, Fu J, Guo L. Real-Time Source Apportionment of PM2.5 Highlights the Importance of Joint Controls on Atmospheric Pollution in Cold Region of China. Remote Sensing. 2022; 14(15):3770. https://doi.org/10.3390/rs14153770
Chicago/Turabian StyleChen, Weiwei, Mengduo Zhang, Wei Liu, Jing Fu, and Li Guo. 2022. "Real-Time Source Apportionment of PM2.5 Highlights the Importance of Joint Controls on Atmospheric Pollution in Cold Region of China" Remote Sensing 14, no. 15: 3770. https://doi.org/10.3390/rs14153770
APA StyleChen, W., Zhang, M., Liu, W., Fu, J., & Guo, L. (2022). Real-Time Source Apportionment of PM2.5 Highlights the Importance of Joint Controls on Atmospheric Pollution in Cold Region of China. Remote Sensing, 14(15), 3770. https://doi.org/10.3390/rs14153770

