The Validation of Soil Moisture from Various Sources and Its Influence Factors in the Tibetan Plateau
Abstract
:1. Introduction
2. Materials and Methods
2.1. Data Sources
2.1.1. In situ Datasets
2.1.2. Satellite Datasets
2.1.3. GLDAS Product
2.1.4. Reanalysis Product
2.2. Methodology
2.2.1. Statistical Indices
2.2.2. Multiple Linear Stepwise Regression
3. Results
3.1. Tempo-Spatial Variations of the SM Observations
3.2. Comparison among Different SM Products
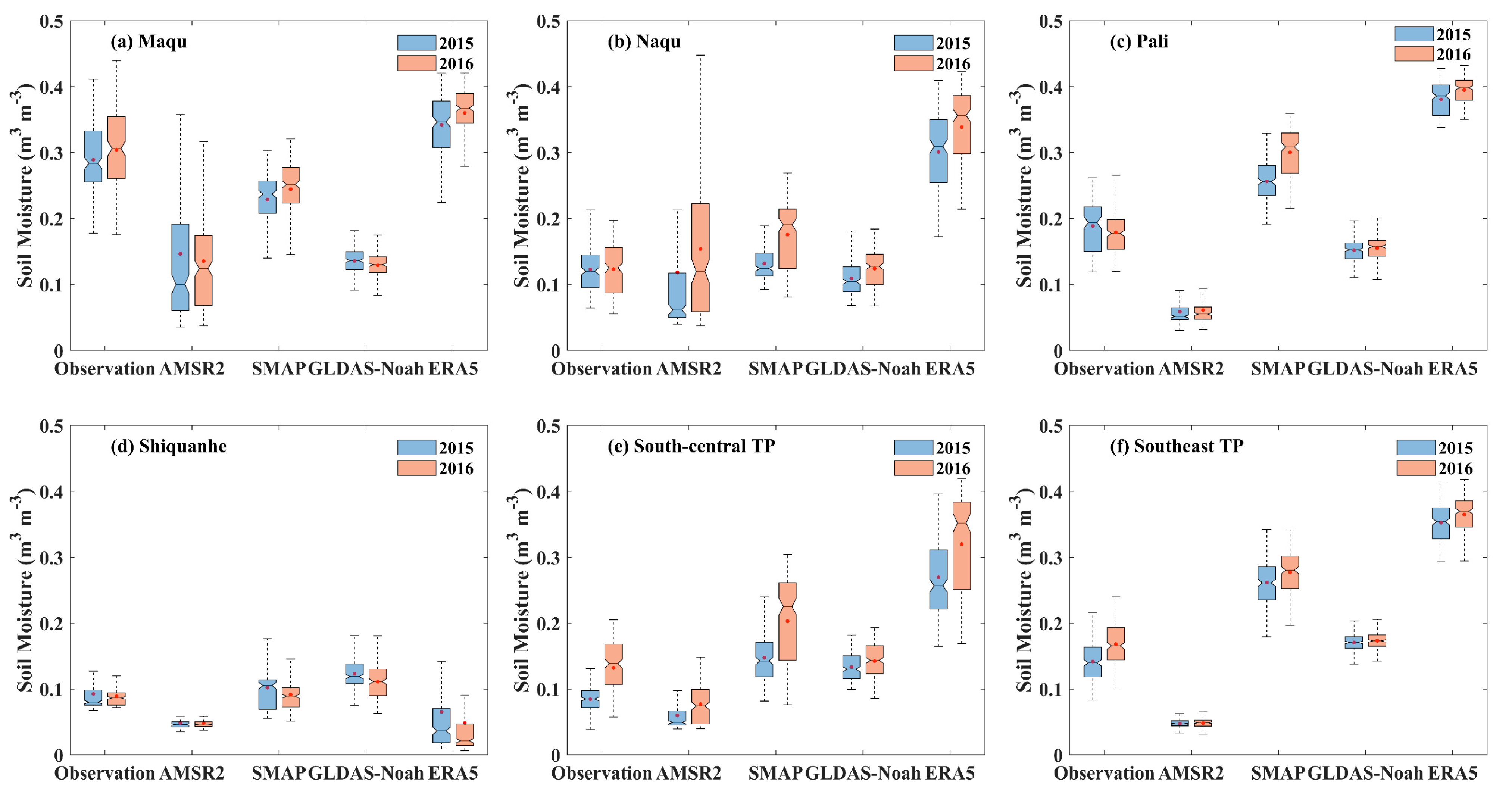
3.2.1. Tempo-Spatial Variations of SM Products
3.2.2. Spatial Distributions of Statistical Indices for SM Products
4. Discussion
4.1. The Correlations between SM and the Influencing Factors
4.2. The Main Factors Influencing SM
5. Conclusions
Author Contributions
Funding
Data Availability Statement
Acknowledgments
Conflicts of Interest
References
- Liu, Y.; Bao, Q.; Duan, A.; Qian, Z.; Wu, G. Recent progress in the impact of the Tibetan Plateau on climate in China. Adv. Atmos. Sci. 2007, 24, 1060–1076. [Google Scholar] [CrossRef]
- Yang, K.; Guo, X.; He, J.; Qin, J.; Koike, T. On the climatology and trend of the atmospheric heat source over the Tibetan Plateau: An experiments-supported revisit. J. Clim. 2011, 24, 1525–1541. [Google Scholar] [CrossRef]
- Zhao, P.; Xu, X.; Chen, F.; Guo, X.; Zheng, X.; Liu, L.; Hong, Y.; Li, Y.; La, Z.; Peng, H.; et al. The third atmospheric scientific experiment for understanding the earth-atmosphere coupled system over the Tibetan Plateau and its effects. Bull. Am. Meteorol. Soc. 2018, 99, 757–776. [Google Scholar] [CrossRef]
- Lu, H.; Koike, T.; Yang, K.; Hu, Z.; Xu, X.; Rasmy, M.; Kuria, D.; Tamagawa, K. Improving land surface soil moisture and energy flux simulations over the Tibetan plateau by the assimilation of the microwave remote sensing data and the GCM output into a land surface model. Int. J. Appl. Earth Obs. 2012, 17, 43–54. [Google Scholar] [CrossRef]
- Talib, J.; Taylor, C.; Duan, A.; Turner, A.G. Intraseasonal soil moisture-atmosphere feedbacks on the Tibetan Plateau circulation. J. Clim. 2021, 34, 1789–1807. [Google Scholar] [CrossRef]
- Tian, J.; Qin, J.; Yang, K.; Zhao, L.; Chen, Y.; Lu, H.; Li, X.; Shi, J. Improving surface soil moisture retrievals through a novel assimilation algorithm to estimate both model and observation errors. Remote Sens. Environ. 2022, 269, 112802. [Google Scholar] [CrossRef]
- Zhang, P.; Zheng, D.; Velde, R.; Wen, J.; Zeng, Y.; Wang, X.; Wang, Z.; Chen, J.; Su, Z. Status of the Tibetan Plateau observatory (Tibet-Obs) and a 10-year (2009–2019) surface soil moisture dataset. Earth Syst. Sci. Data 2021, 13, 3075–3102. [Google Scholar] [CrossRef]
- Zhuang, R.; Zeng, Y.; Manfreda, S.; Su, Z. Quantifying long-term land surface and root zone soil moisture over Tibetan Plateau. Remote Sens. 2020, 12, 509. [Google Scholar] [CrossRef] [Green Version]
- Cheng, M.; Zhong, L.; Ma, Y.; Zou, M.; Ge, N.; Wang, X.; Hu, Y. A study on the assessment of multi-source satellite soil moisture products and reanalysis data for the Tibetan Plateau. Remote Sens. 2019, 11, 1196. [Google Scholar] [CrossRef] [Green Version]
- Yang, S.; Li, R.; Wu, T.; Hu, G.; Xiao, Y.; Du, Y.; Zhu, X.; Ni, J.; Ma, J.; Zhang, Y.; et al. Evaluation of reanalysis soil temperature and soil moisture products in permafrost regions on the Qinghai-Tibetan Plateau. Geoderma 2020, 377, 114583. [Google Scholar] [CrossRef]
- Ling, X.; Huang, Y.; Guo, W.; Wang, Y.; Chen, C.; Qiu, B.; Ge, J.; Qin, K.; Xue, Y.; Peng, J. Comprehensive evaluation of satellite-based and reanalysis soil moisture products using in situ observations over China. Hydrol. Earth Syst. Sci. 2021, 25, 4209–4229. [Google Scholar] [CrossRef]
- Liu, W.; Wang, J.; Xu, F.; Li, C.; Xian, T. Validation of four satellite-derived soil moisture products using ground-based in situ observations over northern China. Remote Sens. 2022, 14, 1419. [Google Scholar] [CrossRef]
- Ming, W.; Ji, X.; Zhang, M.; Li, Y.; Liu, C.; Wang, Y.; Li, J. A hybrid triple collocation-deep learning approach for improving soil moisture estimation from satellite and model-based data. Remote Sens. 2022, 14, 1744. [Google Scholar] [CrossRef]
- Wang, Y.; Leng, P.; Peng, J.; Marzahn, P.; Ludwig, R. Global assessments of two blended microwave soil moisture products CCI and SMOPS with in-situ measurements and reanalysis data. Int. J. Appl. Earth Obs. 2021, 94, 102234. [Google Scholar] [CrossRef]
- Wang, Y.; Li, G. Evaluation of simulated soil moisture from China Land Data Assimilation System (CLDAS) land surface models. Remote Sens. Lett. 2020, 11, 1060–1069. [Google Scholar] [CrossRef]
- Wu, Z.; Feng, H.; He, H.; Zhou, J.; Zhang, Y. Evaluation of soil moisture climatology and anomaly components derived from ERA5-land and GLDAS-2.1 in China. Water Resour. Manag. 2021, 35, 629–643. [Google Scholar] [CrossRef]
- Bi, H.; Ma, J.; Zheng, W.; Zeng, J. Comparison of soil moisture in GLDAS model simulations and in situ observations over the Tibetan Plateau. J. Geophys. Res. Atmos. 2016, 121, 2658–2678. [Google Scholar] [CrossRef] [Green Version]
- Chen, Y.; Yang, K.; Qin, J.; Qin, J.; Cui, Q.; Lu, H.; La, Z.; Han, M.; Tang, W. Evaluation of SMAP, SMOS, and AMSR2 soil moisture retrievals against observations from two networks on the Tibetan Plateau. J. Geophys. Res. Atmos. 2017, 122, 5780–5792. [Google Scholar] [CrossRef]
- Dente, L.; Su, Z.; Wen, J. Validation of SMOS soil moisture products over the Maqu and Twente regions. Sensors 2012, 12, 9965–9986. [Google Scholar] [CrossRef]
- Kang, J.; Jin, R.; Li, X.; Zhang, Y. Error decomposition of remote sensing soil moisture products based on the triple-collocation method introducing an unbiased reference dataset: A case study on the Tibetan Plateau. Remote Sens. 2020, 12, 3087. [Google Scholar] [CrossRef]
- Zeng, J.; Li, Z.; Chen, Q.; Bi, H.; Qiu, J.; Zou, P. Evaluation of remotely sensed and reanalysis soil moisture products over the Tibetan Plateau using in-situ observations. Remote Sens. Environ. 2015, 163, 91–110. [Google Scholar] [CrossRef]
- Zhang, Q.; Fan, K.; Singh, V.; Sun, P.; Shi, P. Evaluation of remotely sensed and reanalysis soil moisture against in situ observations on the Himalayan-Tibetan Plateau. J. Geophys. Res. Atmos. 2018, 123, 7132–7148. [Google Scholar] [CrossRef]
- Dente, L.; Vekerdy, Z.; Wen, J.; Su, Z. Maqu network for validation of satellite-derived soil moisture products. Int. J. Appl. Earth Obs. 2012, 17, 55–65. [Google Scholar] [CrossRef]
- Li, C.; Lu, H.; Yang, K.; Han, M.; Wright, J.S.; Chen, Y.; Yu, L.; Xu, S.; Huang, X.; Gong, W. The evaluation of SMAP enhanced soil moisture products using high-resolution model simulations and in-situ observations on the Tibetan Plateau. Remote Sens. 2018, 10, 535. [Google Scholar] [CrossRef] [Green Version]
- Li, N.; Zhao, P.; Wang, J.; Deng, Y. Estimation of surface heat fluxes over the central Tibetan Plateau using the maximum entropy production model. J. Geophys. Res. Atmos. 2019, 124, 6827–6840. [Google Scholar] [CrossRef] [Green Version]
- Li, Z.; Yu, G.; Xiao, X.; Li, Y.; Zhao, X.; Ren, C.; Zhang, L.; Fu, Y. Modeling gross primary production of alpine ecosystems in the Tibetan Plateau using MODIS images and climate data. Remote Sens. Environ. 2007, 107, 510–519. [Google Scholar] [CrossRef]
- Ma, Y.; Hu, Z.; Xie, Z.; Ma, W.; Wang, B.; Chen, X.; Li, M.; Zhong, L.; Sun, F.; Gu, L.; et al. A long-term (2005–2016) dataset of hourly integrated land–atmosphere interaction observations on the Tibetan Plateau. Earth Syst. Sci. Data. 2020, 12, 2937–2957. [Google Scholar] [CrossRef]
- Bob, S.; Yang, K. Time-Lapse Observation Dataset of Soil Temperature and Humidity on the Tibetan Plateau (2008–2016); CSTR: 18406.11.Soil.tpdc.270110; National Tibetan Plateau Data Center: Beijing, China, 2019. [Google Scholar] [CrossRef]
- Su, Z.; Rosnay, P.; Wen, J.; Wang, L.; Zeng, Y. Evaluation of ECMWF’s soil moisture analyses using observations on the Tibetan Plateau. J. Geophys. Res. Atmos. 2013, 118, 5304–5318. [Google Scholar] [CrossRef] [Green Version]
- van der Velde, R.; Su, Z.; van Oevelen, P.; Wen, J.; Ma, Y.; Salama, M. Soil moisture mapping over the central part of the Tibetan Plateau using a series of ASAR WS images. Remote Sens. Environ. 2012, 120, 175–187. [Google Scholar] [CrossRef]
- Su, Z.; Wen, J.; Dente, L.; van der Velde, R.; Wang, L.; Ma, Y.; Yang, K.; Hu, Z. The Tibetan Plateau observatory of plateau scale soil moisture and soil temperature (Tibet-Obs) for quantifying uncertainties in coarse resolution satellite and model products. Hydrol. Earth Syst. Sci. 2011, 15, 2303–2316. [Google Scholar] [CrossRef] [Green Version]
- Brust, C.; Kimball, J.S.; Manetaet, M.P.; Jencso, K.; He, M.; Reichle, R.H. Using SMAP Level-4 soil moisture to constrain MOD16 evapotranspiration over the contiguous USA. Remote Sens. Environ. 2021, 255, 112277. [Google Scholar] [CrossRef]
- Reichle, R.H.; Crow, W.T.; Koster, R.D.; Sharif, H.O.; Mahanama, S.P.P. Contribution of soil moisture retrievals to land data assimilation products. Geophys. Res. Lett. 2008, 35, 568–569. [Google Scholar] [CrossRef] [Green Version]
- Xu, L.; Chen, N.; Zhang, X.; Moradkhani, H.; Zhang, C.; Hu, C. In-situ and triple-collocation based evaluations of eight global root zone soil moisture products. Remote Sens. Environ. 2021, 254, 112248. [Google Scholar] [CrossRef]
- Yee, M.S.; Walker, J.P.; Rüdiger, C.; Parinussa, R.M.; Koike, T.; Kerr, Y.H. A comparison of SMOS and AMSR2 soil moisture using representative sites of the OzNet monitoring network. Remote Sens. Environ. 2017, 195, 297–312. [Google Scholar] [CrossRef]
- Wang, J.; Jiang, L.; Cui, H.; Wang, G.; Yang, J.; Liu, X.; Su, X. Evaluation and analysis of SMAP, AMSR2 and MEaSUREs freeze/thaw products in China. Remote Sens. Environ. 2020, 242, 111734. [Google Scholar] [CrossRef]
- Zhang, H.; Chang, L.; Zhang, L.; Wang, Y.; Li, Y.; Wang, X. NDVI dynamic changes and their relationship with meteorological factors and soil moisture. Environ. Earth Sci. 2018, 77, 582. [Google Scholar] [CrossRef]
- Spennemann, P.C.; Rivera, J.A.; Saulo, A.C.; Penalba, O.C. A comparison of GLDAS soil moisture anomalies against standardized precipitation index and multisatellite estimations over south America. J. Hydrometeorol. 2015, 16, 158–171. [Google Scholar] [CrossRef]
- Olauson, J. ERA5: The new champion of wind power modelling? Renew. Energy 2018, 126, 322–331. [Google Scholar] [CrossRef] [Green Version]
- Xing, Z.; Fan, L.; Zhao, L.; Lannoy, G.D.; Frappart, F.; Peng, J.; Li, X.; Zeng, J.; Al-Yaari, A.; Yang, K. A first assessment of satellite and reanalysis estimates of surface and root-zone soil moisture over the permafrost region of Qinghai-Tibet Plateau. Remote Sens. Environ. 2021, 265, 112666. [Google Scholar] [CrossRef]
- Al-Yaari, A.; Wigneron, J.P.; Dorigo, W.; Colliander, A.; Pellarin, T.; Hahn, S.; Mialon, A.; Richaume, P.; Fernandez-Moran, R.; Fan, L.; et al. Assessment and inter-comparison of recently developed/reprocessed microwave satellite soil moisture products using ISMN ground-based measurements. Remote Sens. Environ. 2019, 224, 289–303. [Google Scholar] [CrossRef]
- Guerschman, J.P.; Hill, M.J.; Renzullo, L.J.; Barrett, D.J.; Marks, A.S.; Botha, E.J. Estimating fractional cover of photosynthetic vegetation, non-photosynthetic vegetation and bare soil in the Australian tropical savanna region upscaling the EO-1 Hyperion and MODIS sensors. Remote Sens. Environ. 2009, 113, 928–945. [Google Scholar] [CrossRef]
- Fu, Y.; Zheng, Z.; Yu, G.; Hu, Z.; Sun, X.; Shi, P.; Wang, Y.; Zhao, X. Environmental influences on carbon dioxide fluxes over three grassland ecosystems in China. Biogeosciences 2009, 6, 2879–2893. [Google Scholar] [CrossRef] [Green Version]
- Wang, G.; Zhang, X.; Yinglan, A.; Duan, A.; Xue, B.; Liu, T. A spatio-temporal cross comparison framework for the accuracies of remotely sensed soil moisture products in a climate-sensitive grassland region. J. Hydrol. 2021, 597, 126089. [Google Scholar] [CrossRef]
- Jung, C.; Lee, Y.; Cho, Y.; Kim, S. A study of spatial soil moisture estimation using a multiple linear regression model and MODIS land surface temperature data corrected by conditional merging. Remote Sens. 2017, 9, 870. [Google Scholar] [CrossRef] [Green Version]










| Cover Period | Variable | Temporal Reso | Sites Number | Depth | |
|---|---|---|---|---|---|
| TIPEX-III | 2015–2016 | SM | daily | 32 | 0–10 cm |
| Pali | 2015–2016 | SM | 1 h | 16 | 0–5 cm |
| Shiquanhe | 2015–2016 | SM | 15 min | 6 | 0–5 cm |
| Naqu | 2015–2016 | SM | 15 min | 4 | 0–5 cm |
| Maqu | 2015–2016 | SM | 15 min | 8 | 0–5 cm |
| AWS | 2015–2016 | LST, Rainfall | daily | 21 | - |
| Variables | Cover Period | Temporal Reso | Spatial Reso | Depth | |
|---|---|---|---|---|---|
| AMSR2 | SM | 2015–2016 | daily | 10 km | 1–2 cm |
| SMAP | SM | 2015–2016 | 15-min | 9 km | 3–5 cm |
| GLDAS-Noah | SM | 2015–2016 | 15-min | 0.25° | 0–10 cm |
| ERA5 | SM | 2015–2016 | hourly | 0.25° | 0–7 cm |
| MODIS | NDVI | 2015–2016 | 16-day | 250 m | - |
| Periods | AMSR2 | SMAP | GLDAS-Noah | ERA5 |
|---|---|---|---|---|
| April–May | 24 | 40 | 29 | 32 |
| June–August | 58 | 59 | 61 | 55 |
| September–October | 52 | 56 | 59 | 56 |
| April–October | 57 | 62 | 62 | 63 |
| Periods | Variables | Observations | AMSR2 | SMAP | GLDAS-Noah | ERA5 |
|---|---|---|---|---|---|---|
| April–May | Rainfall | 0.31 *** | 0.26 ** | 0.27 ** | 0.02 | 0.10 |
| NDVI | 0.31 *** | 0.56 *** | 0.23 * | 0.16 | 0.56 *** | |
| LST | 0.16 | 0.48 *** | 0.21 * | 0.28 ** | 0.54 *** | |
| June–August | Rainfall | 0.45 *** | 0.68 *** | 0.55 *** | 0.46 *** | 0.61 *** |
| NDVI | 0.15 * | −0.047 | 0.30 *** | 0.36 *** | 0.12 | |
| LST | −0.56 *** | −0.59 *** | −0.56 *** | −0.38 *** | −0.64 *** | |
| September–October | Rainfall | 0.55 *** | 0.76 *** | 0.73 *** | 0.74 *** | 0.69 *** |
| NDVI | 0.41 *** | 0.75 *** | 0.58 *** | 0.91 *** | 0.45 *** | |
| LST | 0.22 * | 0.64 *** | 0.40 *** | 0.81 *** | 0.45 *** | |
| April–October | Rainfall | 0.46 *** | 0.64 *** | 0.48 *** | 0.48 *** | 0.58 *** |
| NDVI | 0.52 *** | 0.68 *** | 0.65 *** | 0.71 *** | 0.64 *** | |
| LST | 0.18 *** | 0.52 *** | 0.23 *** | 0.42 *** | 0.39 *** |
| Period | Variables | Observations | AMSR2 | SMAP | GLDAS-Noah | ERA5 |
|---|---|---|---|---|---|---|
| April–May | Rainfall | 0.33 *** | 0.44 *** | 0.51 *** | 0.37 *** | 0.07 |
| NDVI | −0.09 | −0.02 | −0.33 * | −0.45 ** | 0.55 *** | |
| LST | 0.39 *** | 0.57 *** | 0.59 *** | 0.76 *** | 0.23 | |
| June–August | Rainfall | 0.05 | 0.43 *** | 0.22 ** | 0.29 *** | 0.24 ** |
| NDVI | 0.22 *** | 0.01 | 0.36 *** | 0.57 *** | 0.19 *** | |
| LST | −0.56 *** | −0.30 *** | −0.45 *** | −0.16 * | −0.50 *** | |
| September–October | Rainfall | 0.45 *** | 0.58 *** | 0.56 *** | 0.40 *** | 0.37 *** |
| NDVI | 0.60 *** | 0.10 | 0.41 *** | 0.20 *** | 0.53 *** | |
| LST | −0.37 *** | 0.40 *** | −0.12 | 0.54 *** | −0.04 | |
| April–October | Rainfall | 0.25 *** | 0.55 *** | 0.32 *** | 0.29 *** | 0.39 *** |
| NDVI | 0.67 *** | 0.24 *** | 0.71 *** | 0.58 *** | 0.53 *** | |
| LST | −0.37 *** | 0.18 *** | −0.31 *** | −0.03 | 0.01 |
Publisher’s Note: MDPI stays neutral with regard to jurisdictional claims in published maps and institutional affiliations. |
© 2022 by the authors. Licensee MDPI, Basel, Switzerland. This article is an open access article distributed under the terms and conditions of the Creative Commons Attribution (CC BY) license (https://creativecommons.org/licenses/by/4.0/).
Share and Cite
Li, N.; Zhou, C.; Zhao, P. The Validation of Soil Moisture from Various Sources and Its Influence Factors in the Tibetan Plateau. Remote Sens. 2022, 14, 4109. https://doi.org/10.3390/rs14164109
Li N, Zhou C, Zhao P. The Validation of Soil Moisture from Various Sources and Its Influence Factors in the Tibetan Plateau. Remote Sensing. 2022; 14(16):4109. https://doi.org/10.3390/rs14164109
Chicago/Turabian StyleLi, Na, Changyan Zhou, and Ping Zhao. 2022. "The Validation of Soil Moisture from Various Sources and Its Influence Factors in the Tibetan Plateau" Remote Sensing 14, no. 16: 4109. https://doi.org/10.3390/rs14164109
APA StyleLi, N., Zhou, C., & Zhao, P. (2022). The Validation of Soil Moisture from Various Sources and Its Influence Factors in the Tibetan Plateau. Remote Sensing, 14(16), 4109. https://doi.org/10.3390/rs14164109

