Potential of AOD Retrieval Using Atmospheric Emitted Radiance Interferometer (AERI)
Abstract
:1. Introduction
2. Instrumentations
2.1. Atmospheric Emitted Radiance Interferometer
2.2. Global Atmosphere Watch Precision-Filter Radiometer
3. Methodology
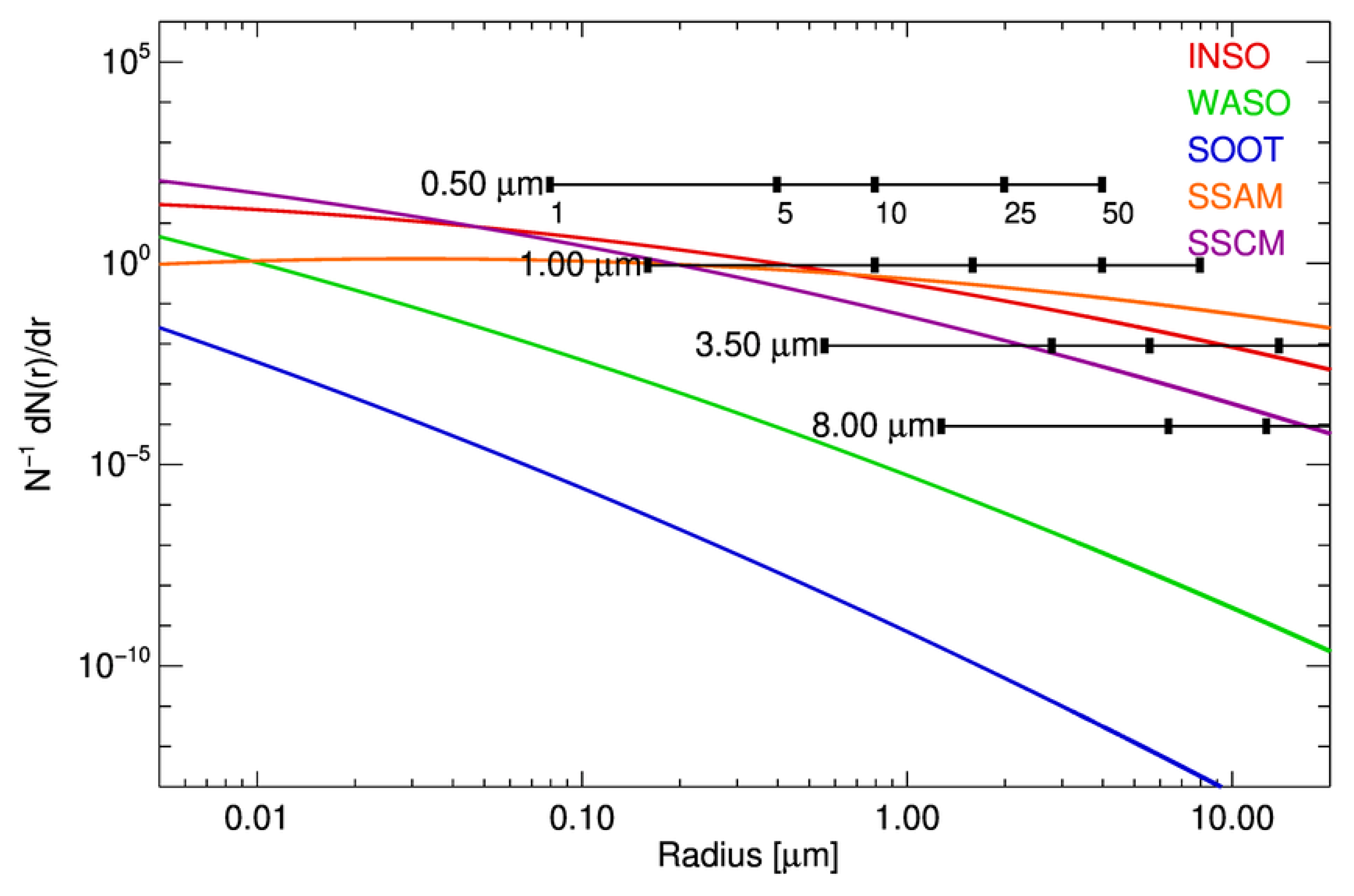
3.1. Radiative Transfer Model
3.2. Optimal Estimation Method
4. Results
4.1. Sensitivity Test
4.2. Verification of AOD Retreival Algorithm: Case Study
5. Discussion
6. Summary and Conclusions
Supplementary Materials
Author Contributions
Funding
Institutional Review Board Statement
Informed Consent Statement
Data Availability Statement
Acknowledgments
Conflicts of Interest
Abbreviations
| AERI | Atmospheric Emitted Radiance Interferometer |
| AOD | Aerosol Optical Depth |
| ARAOE | Aerosol Optical Depth Retrieval Algorithm from AERI using the Optical Estimation Method |
| ARM | Atmospheric Radiation Measurement |
| AMY | AnMYeon |
| CA | Continental Average |
| CALIOP | Cloud-Aerosol Lidar with Orthogonal Polarization |
| CALIPSO | Cloud-Aerosol Lidar and Infrared Pathfinder Satellite Observation |
| DISORT | Discrete Ordinates Radiative Transfer |
| DFS | Degrees of Freedom for the Signal |
| ECMWF | European Centre for Medium-Range Weather Forecasts |
| ERA-5 | ECMWF Reanalysis version 5 |
| ESRL | Earth System Research Laboratory |
| FWHM | Full Width at Half Maximum |
| FTIR | Fourier Transfer Infrared |
| GAW-PFR | Global Atmosphere Watch Precision-Filter Radiometer |
| HITRAN | HIgh-Resolution Transmission molecular absorption database |
| INSO | Water-Insoluble |
| KGAWO | Korea Global Atmosphere Watch Observatory |
| KMA | Korean Meteorological Administration |
| LBLRTM | Line-By-Line Radiative Transfer Model |
| LP | Levenberg Parameter |
| MC | Maritime Clean |
| MLS | Middle Latitude Summer |
| MLW | Middle Latitude Winter |
| MODIS | Moderate-Resolution Imaging Spectroradiometer |
| MT_CKD | MlawerTobinCloughKneizysDavies |
| MWR | Microwave Radiometer |
| NOAA | National Oceanic and Atmospheric Administration |
| OEM | Optimal Estimation Method |
| OMAERUV | OMI Near-Ultraviolet Aerosol Retrieval Algorithm |
| OMI | Ozone Monitoring Instrument |
| OPAC | Optical Properties of Aerosols and Clouds |
| PWV | Precipitable Water Vapor |
| RMSE | Root Mean Square Error |
| RU | Radiance Units |
| SKYNET | Sky Radiometer Network |
| SSEC | Space Science and Engineering Center |
| SURFRAD | Surface Radiation Budget Observing Network |
| TROPoe | Tropospheric Optimal Estimation Retrieval Algorithm |
| UR | Urban |
| US76 | U.S. Committee on Extension to the Standard Atmosphere 1976 |
| WACCM | Whole Atmosphere Community Climate Model |
| WASO | Water-Soluble |
| WFR-Chem | Weather Research and Forecasting Model Coupled with Chemistry |
| WMO | World Meteorological Organization |
| WORCC | World Optical Depth Research and Calibration Center |
References
- Charlson, R.J.; Schwartz, S.E.; Hales, J.M.; Cess, R.D.; Coakely, J.J.; Hansen, J.E.; Hofmann, D.J. Climate forcing by anthropogenic aerosols. Science 1992, 255, 423–430. [Google Scholar] [CrossRef] [PubMed]
- Panicker, A.S.; Lee, D.I.; Kumkar, Y.V.; Kim, D.; Maki, M.; Uyeda, H. Decadal climatological trends of aerosol optical parameters over three different environments in South Korea. Int. J. Clim. 2013, 33, 1909–1916. [Google Scholar] [CrossRef] [Green Version]
- Stocker, T.F.; Qin, D.; Plattner, G.K.; Tignor, M.M.B.; Allen, S.K.; Boschung, J.; Nauels, A.; Xia, Y.; Bex, V.; Midgley, P.M. Climate Change 2013 the Physical Science Basis: Working Group I Contribution to the Fifth Assessment Report of the Intergovernmental Panel on Climate Change; Cambridge University Press: Cambridge, UK; New York, NY, USA, 2013; ISBN 9781107415324. [Google Scholar]
- Choi, H.; Lee, K.-M.; Seo, J.; Bae, J. The Influence of Atmospheric Composition on Polarization in the GEMS Spectral Region. Asia-Pac. J. Atmos. Sci. 2021, 57, 587–603. [Google Scholar] [CrossRef]
- Jung, Y.; Kim, J.; Kim, W.; Boesch, H.; Lee, H.; Cho, C.; Goo, T.Y. Impact of aerosol property on the accuracy of a CO2 retrieval algorithm from satellite remote sensing. Remote Sens. 2016, 8, 322. [Google Scholar] [CrossRef] [Green Version]
- Patadia, F.; Levy, R.C.; Mattoo, S. Correcting for trace gas absorption when retrieving aerosol optical depth from satellite observations of reflected shortwave radiation. Atmos. Meas. Tech. 2018, 11, 3205–3219. [Google Scholar] [CrossRef] [Green Version]
- Cooper, M.J.; Martin, R.V.; Hammer, M.S.; McLinden, C.A. An Observation-Based Correction for Aerosol Effects on Nitrogen Dioxide Column Retrievals Using the Absorbing Aerosol Index. Geophys. Res. Lett. 2019, 46, 8442–8452. [Google Scholar] [CrossRef]
- Lee, J.H.; Yasuko, Y.; Bardara, J.T.; Philip, K.H.; Richard, L.P.; Paul, J.L.; James, C.O. Identification of Sources Contributing to Mid Atlantic Regional Aerosol. J. Air Waste Manag. Assoc. 2002, 52, 1186–1205. [Google Scholar] [CrossRef] [PubMed]
- Hess, M.; Koepke, P.; Schult, I. Optical Properties of Aerosols and Clouds: The software package OPAC. Bull. Am. Meteorol. Soc. 1998, 79, 831–844. [Google Scholar] [CrossRef]
- Matsui, H. Development of a global aerosol model using a two-dimensional sectional method: 1. Model design. J. Adv. Model. Earth Syst. 2017, 9, 1921–1947. [Google Scholar] [CrossRef]
- Gasteiger, J.; Wiegner, M. MOPSMAP v1.0: A versatile tool for the modeling of aerosol optical properties. Geosci. Model Dev. 2018, 11, 2739–2762. [Google Scholar] [CrossRef] [Green Version]
- Pan, X.; Ichoku, C.; Chin, M.; Bian, H.; Darmenov, A.; Colarco, P.; Ellison, L.; Kucsera, T.; da Silva, A.; Wang, J.; et al. Six global biomass burning emission dataset: Intercomparison and application in one global aerosol model. Atmos. Chem. Phys. 2020, 20, 969–994. [Google Scholar] [CrossRef] [Green Version]
- Holben, B.N.; Tanré, D.; Smirnov, A.; Eck, T.F.; Slusker, I.; Abuhassan, N.; Newcomb, W.W.; Schafer, J.S.; Chatenet, B.; Lavenue, N.; et al. An emerging ground-based aerosol climatology: Aerosol optical depth from AERONET. J. Geophys. Res. 2001, 106, 12067–12097l. [Google Scholar] [CrossRef]
- Mishchenko, M.I.; Geogdzhayev, I.V.; Rossow, W.B.; Cairns, B.; Carlson, B.E.; Lacis, A.A.; Liu, L.; Travis, L.D. Long-term satellite record reveals likely recent aerosol trend. Science 2007, 315, 1543. [Google Scholar] [CrossRef] [Green Version]
- Torres, O.; Bhartia, P.K.; Herman, J.R.; Sinyuk, A.; Ginoux, P.; Holben, B. A Long-Term Record of Aerosol Optical Depth from TOMS Observations and Comparison to AERONET Measurements. J. Atmos. Sci. 2002, 59, 398–413. [Google Scholar] [CrossRef] [Green Version]
- Remer, L.A.; Kaufman, Y.J.; Tanré, D.; Mattoo, S.; Chu, D.A.; Martins, J.V.; Li, R.-R.; Ichoku, C.; Levy, R.C.; Kleidman, R.G.; et al. The MODIS Aerosol Algorithm, Products, and Validation. J. Atmos. Sci. 2005, 62, 947–973. [Google Scholar] [CrossRef] [Green Version]
- Levy, R.C.; Munchak, L.A.; Mattoo, S.; Patadia, F.; Remer, L.A.; Holz, R.E. Towards a long-term global aerosol optical depth record: Applying a consistent aerosol retrieval algorithm to MODIS and VIIRS-observed reflectance. Atmos. Meas. Tech. 2015, 8, 4083–4110. [Google Scholar] [CrossRef] [Green Version]
- Torres, O.; Tanskanen, A.; Veihelmann, B.; Ahn, C.; Braak, R.; Bhartia, P.K.; Veefkind, P.; Levelt, P. Aerosols and surface UV products from Ozone Monitoring Instrument observations: An overview. J. Geophys. Res. 2007, 112, D24S47. [Google Scholar] [CrossRef] [Green Version]
- Torres, O.; Ahn, C.; Chen, Z. Improvements to the OMI near-UV aerosol algorithm using A-train CALIOP and AIRS observations. Atmos. Meas. Tech. 2013, 6, 3257–3270. [Google Scholar] [CrossRef] [Green Version]
- Dubovik, O.; Smirnov, A.; Holben, B.N.; King, M.D.; Kaufman, Y.J.; Eck, T.F.; Slutsker, L. Accuracy assessments of aerosols optical properties retrieved from AERONET sun and sky-radiance measurements. J. Geophys. Res. 2000, 105, 9791–9806. [Google Scholar] [CrossRef] [Green Version]
- Dubovik, O.; Holben, B.N.; Eck, T.F.; Smirnov, A.; Kaufman, Y.J.; King, M.D.; Tanré, D.; Slutsker, I. Variability of absorption and optical properties of key aerosol types observed in worldwide location. J. Atmos. Sci. 2002, 59, 590–608. [Google Scholar] [CrossRef]
- Jethva, H.; Torres, O.; Yoshida, Y. Accuracy Assessment of MODIS Land Aerosol Optical Thickness Algorithms using AERONET Measurements. Atm. Meas. Technol. 2019, 12, 4291–4307. [Google Scholar] [CrossRef] [Green Version]
- Xu, Q.; Obradovic, Z.; Han, B.; Li, Y.; Braverman, A.; Vucetic, S. Improving aerosol retrieval accuracy by integrating AERONET, MISR, and MODIS data. In Proceedings of the 2005 7th International Conference on Information Fusion, Philadelphia, PA, USA, 25–28 July 2005; Volume 1, p. 7. [Google Scholar] [CrossRef] [Green Version]
- Zhang, H.; Chen, S.; Jiang, N.; Wang, W.; Zhange, X.; Liu, J.; Zang, Z.; Wu, D.; Yuan, T.; Luo, Y.; et al. Difference in Sulfate Aerosol Radiative Forcing between the Daytime and Nighttime over East Asia Using the Weather Research and Forecasting model coupled with Chemistry (WRF-Chem) model. Atmosphere 2018, 9, 441. [Google Scholar] [CrossRef] [Green Version]
- Knuteson, R.O.; Revercomb, H.E.; Best, F.A.; Ciganovich, N.C.; Dedecker, R.G.; Dirkx, T.P.; Ellington, S.C.; Feltz, W.F.; Garcia, R.K.; Howell, H.B. Atmospheric Emitted Radiance Interferometer. Part I: Instrument design. J. Atmos. Ocean. Technol. 2004, 21, 1763–1776. [Google Scholar] [CrossRef]
- Knuteson, R.O.; Revercomb, H.E.; Best, F.A.; Ciganovich, N.C.; Dedecker, R.G.; Dirkx, T.P.; Ellington, S.C.; Feltz, W.F.; Garcia, R.K.; Howell, H.B. Atmospheric Emitted Radiance Interferometer. Part II: Instrument Performance. J. Atmos. Ocean. Technol. 2004, 21, 1777–1789. [Google Scholar] [CrossRef]
- Turner, D.D.; Tobin, D.C.; Clough, S.A.; Brown, P.D.; Ellingson, R.G.; Mlawer, E.J.; Knuteson, R.O.; Revercomb, H.E.; Shippert, T.R.; Smith, W.K. The QME AERI LBLRTM: A closure experiment for downwelling high spectral resolution infrared radiance. J. Atmos. Sci. 2004, 61, 2657–2675. [Google Scholar] [CrossRef]
- Yurganov, L.; McMillan, W.; Wilson, C.; Fischer, M.; Biraud, S.; Sweeney, C. Carbon monoxide mixing ratios over Oklahoma between 2002 and 2009 retrieved from Atmospheric Emitted Radiance Interferomter spectra. Atmos. Meas. Tech. 2010, 3, 1319–1331. [Google Scholar] [CrossRef] [Green Version]
- Gero, P.J.; Turner, D.D. Long-Term Trends in Downwelling Spectral Infrared Radiance over the U.S. Southern Great Plains. J. Clim. 2011, 24, 4831–4843. [Google Scholar] [CrossRef]
- Turner, D.D.; Löhnert, U. Information content and uncertainties in thermodynamic profiles and liquid cloud properties retrieved from the ground-based Atmospheric Emitted Radiance Interferometer (AERI). J. Appl. Meteorol. Clim. 2014, 53, 752–771. [Google Scholar] [CrossRef]
- Turner, D.D.; Blumberg, W.G. Improvements to the AERIoe Thermodynamic Profile Retrieval Algorithm. IEEE J. Sel. Top. Appl. Earth Obs. Remote Sens. 2018, 12, 1339–1354. [Google Scholar] [CrossRef]
- Turner, D.D. Ground-based infrared retrievals of optical depth, effective radius, and composition of airborne mineral dust above the Sahel. J. Geophys. Res. 2008, 113. [Google Scholar] [CrossRef] [Green Version]
- Oh, Y.S.; Kenea, S.T.; Goo, T.Y.; Chung, K.S.; Rhee, J.S.; Ou, M.L.; Byun, Y.H.; Wennberg, P.O.; Kiel, M.; Digangi, J.P.; et al. Characteristics of greenhouse gas concentrations derived from ground-based FTS spectra at Anmyeondo, South Korea. Atmos. Meas. Tech. 2018, 11, 2361–2374. [Google Scholar] [CrossRef] [Green Version]
- Lee, H.; Han, S.-O.; Ryoo, S.-B.; Lee, J.-S.; Lee, G.-W. The measurement of atmospheric CO2 at KMA GAW regional stations, its characteristics, and compositions with other East Asian sites. Atmos. Chem. Phys. 2019, 19, 2149–2163. [Google Scholar] [CrossRef] [Green Version]
- Choi, J.H.; Joo, S.M.; Um, J.S. Cross-Correlation Analysis between GOSAT and CO2 Concentration observed by KGAWC Station. J. Korean Soc. Geospat. Inf. Syst. 2014, 22, 11–16. [Google Scholar] [CrossRef]
- Wehrli, C. Calibrations of filter radiometers for determination of atmospheric optical depth. Metrologia 2000, 37, 419. [Google Scholar] [CrossRef]
- Cuevas, E.; Romero-Campos, P.M.; Kouremeti, N.; Kazadzis, S.; García, R.D.; Barreto, A.; Guirado-Fuentes, C.; Ramos, R.; Toledano, C.; Almansa, F.; et al. Aerosol Optical Depth comparison between GAW-PFR and AERONET-Cimel radiometers from long term (2005–2015) 1 min synchronous measurements. Atmos. Meas. Tech. 2019, 12, 4309–4337. [Google Scholar] [CrossRef]
- Kazadzis, S.; Kouremeti, N.; Diémoz, H.; Gröbner, J.; Forgan, B.W.; Campanelli, M.; Estellés, V.; Lantz, K.; Michalsky, J.; Carlund, T.; et al. Results from the 4th WMO Filter Radiomter Compariosn for aerosol optical depth measurements. Atmos. Chem. Phys. Discuss 2017, 18, 1105. [Google Scholar] [CrossRef] [Green Version]
- Kazadzis, S.; Kouremeti, N.; Nyeki, S.; Gröbner, J.; Wehrli, C. The World Optical Depth Research and Calibration Center (WORCC) quality assurance and quality control of GAW-PFR AOD measurements. Geosci. Instrum. Method. Data Syst. 2018, 7, 35–53. [Google Scholar] [CrossRef] [Green Version]
- Turner, D.D.; Ackerman, S.A.; Baum, B.A.; Revercomb, H.E.; Yang, P. Cloud phase determination using ground-based AERI observations at SHEBA. J. Appl. Meteorol. 2003, 42, 701–715. [Google Scholar] [CrossRef] [Green Version]
- Clough, S.A.; Iacono, M.J.; Moncet, J.L. Line-by-line calculations of atmospheric fluxes and cooling rates: Application to water vapor. J. Geophysc. Res. 1992, 97, 761–785. [Google Scholar] [CrossRef]
- Clough, S.A.; Shephard, M.W.; Mlawer, E.J.; Delamere, J.S.; Iacono, M.J.; Cady-Pereira, K.; Boukabara, S.; Brown, P.D. Atmospheric radiative transfer modeling: A summary of the AER codes. J. Q. Spectrosc. Radiat. Transf. 2005, 91, 233–244. [Google Scholar] [CrossRef]
- Stamnes, K.; Tsay, S.-C.; Jayaweera, K. Numerically stable algorithm for discrete-ordinate-method radiative transfer in multiple scattering and emitting layered media. Appl. Opt. 1988, 27, 2502–2509. [Google Scholar] [CrossRef]
- Stamnes, K.; Tsay, S.-C.; Wiscombe, W.; Laszlo, I. DISORT, a General-Purpose Fortran Program for Discrete-Ordinate-Method Radiatvie Transfer in Scattering and Emitting Layered Media; Documentation of Methodology, Technical Report; Department of Physics and Engineering Physics, Stevens Institute of Technology: Hoboken, NJ, USA, 2000. [Google Scholar]
- Rothman, L.S.; Gordon, I.E. The HITRAN Molecular Database. AIP Conf. Proc. 2013, 1545, 223–231. [Google Scholar] [CrossRef] [Green Version]
- Lechevallier, L.; Vasilchenko, S.; Grilli, R.; Mondelain, D.; Romanini, D.; Campargue, A. The water vapour self-continuum absorption in the infrared atmospheric windows: New laser measurements near 3.3 and 2.0 μm. Atmos. Meas. Tech. 2018, 11, 2159–2171. [Google Scholar] [CrossRef] [Green Version]
- Wells, R.J. Rapid approximation to the Voight/Faddeeva function and its derivatives. J. Q. Spectrosc. Radiat. Transf. 1999, 62, 29–48. [Google Scholar] [CrossRef]
- Hayasaka, T.; Satake, S.; Shimizu, A.; Sugimoto, N.; Matsui, I.; Aoki, K.; Muraji, Y. Vertical distribution and optical properties of aerosols observed over Japan during the Atmospheric Brown CloudsEast Asia Regional Experement 2005. J. Geophys. Res. Atmos. 2007, 112, D22S35. [Google Scholar] [CrossRef]
- Deepak, A.; Gerber, H.E. (Eds.) Report of the Experts Meeting on Aerosols and Their Climatic Effects; WCP-55: Geneva, Switzerland, 1983. [Google Scholar]
- Schuster, G.L.; Dubovik, O.; Holben, B.N. Angstrom exponent and bimodal aerosol size distributions. J. Geophys. Res. 2006, 111, D07207. [Google Scholar] [CrossRef] [Green Version]
- Marsh, D.; Mills, M.; Kinnison, D.E.; Lamarque, J.-F. Climate change from 1850 to 2005 simulated in CESM1 (WACCM). J. Clim. 2013, 26, 7372–7391. [Google Scholar] [CrossRef] [Green Version]
- Petty, G.W. A First Course in Atmospheric Radiation; Sondog Publishing: Madison, WI, USA, 2006. [Google Scholar]
- Taylor, K.E. Summarizing multiple aspects of model performance in a single diagram. J. Geophys. Res. 2001, 106, 7183–7192. [Google Scholar] [CrossRef]
- Yu, H.; Chin, M.; Winker, D.M.; Omar, A.H.; Liu, Z.; Kittaka, C.; Diehl, T. Global view of aerosol vertical distributions from CALIPSO lidar measurements and GOCART simualations: Regional and seasonal variations. J. Geophys. Res. 2010, 115, D00H30. [Google Scholar]
- Matthias, V.; Balis, D.; Bösenberg, J.; Eixmann, R.; Iarlori, M.; Komguem, L.; Mattis, I.; Papayannis, A.; Pappalardo, G.; Perrone, M.R.; et al. Vertical aerosol distribution over Europe: Statistical analysis of Raman lidar data from 10 European Aerosol Research Lidar Network (EARLINET) stations. J. Geophys. Res. 2004, 109, D18201. [Google Scholar] [CrossRef]
- Turner, D.D.; Ferrare, R.A.; Brasseur, L.A. Average Aerosol Extinction and Water Vapor Profiles Over the Southern Great Plains. Geophys. Res. Lett. 2001, 28, 4441–4444. [Google Scholar] [CrossRef]
- Noh, Y.M.; Kim, Y.J.; Choi, B.C.; Murayama, T. Aerosol lidar ratio characteristics measured by a multi-wavelength Raman lidar system at Anmeyon Island, Korea. Atmos. Res. 2007, 86, 76–87. [Google Scholar] [CrossRef]
- Turner, D.D. Arctic mixed-phase cloud properties from AERI lidar observations: Algorithm and results from SHEBA. J. Appl. Meteorol. 2005, 44, 427–444. [Google Scholar] [CrossRef]
- Hollweg, H.-D.; Bakan, S.; Taylor, J.P. Is the aerosol emission detectable in the thermal infrared? J. Geophys. Res. 2006, 111, D15. [Google Scholar] [CrossRef] [Green Version]












| Aerosol Type | Components | rmod | rmin | rmax | σ | Ni | ni | Z (km) |
|---|---|---|---|---|---|---|---|---|
| Continental Averaged (CA) | WASO | 0.0212 | 0.005 | 20.0 | 2.24 | 7000 | 0.458 | 8 |
| INSO | 0.471 | 0.005 | 20.0 | 2.51 | 0.4 | 0.261 × 10−4 | ||
| SOOT | 0.0118 | 0.005 | 20.0 | 2.00 | 8300 | 0.542 | ||
| Urban (UR) | WASO | 0.0212 | 0.005 | 20.0 | 2.24 | 28,000 | 0.177 | 8 |
| INSO | 0.471 | 0.005 | 20.0 | 2.51 | 1.5 | 0.949 × 10−5 | ||
| SOOT | 0.0118 | 0.005 | 20.0 | 2.00 | 130,000 | 0.823 | ||
| Maritime Clean (MC) | WASO | 0.0212 | 0.005 | 20.0 | 2.24 | 1500 | 0.987 | 1 |
| SSAM | 0.209 | 0.005 | 20.0 | 2.03 | 20 | 0.132 × 10−7 | ||
| SSCM | 1.75 | 0.005 | 60.0 | 2.03 | 3.2 × 10−3 | 0.211 × 10−5 |
| State Vector | Starting Wavenumber (cm−1) | Ending Wavenumber (cm−1) |
|---|---|---|
| Temperature | 612.0 | 618.0 |
| 624.0 | 660.0 | |
| 674.0 | 713.0 | |
| Water-vapor mixing ratio | 538.0 | 588.0 |
| AOD | 770.9 | 774.8 |
| 785.9 | 790.7 | |
| 809.0 | 812.9 | |
| 815.3 | 824.4 | |
| 828.3 | 834.6 | |
| 842.8 | 848.1 | |
| 860.1 | 864.0 | |
| 872.2 | 877.5 | |
| 891.9 | 895.8 | |
| 898.2 | 905.4 | |
| 926.6 | 939.7 | |
| 959.9 | 964.3 |
Publisher’s Note: MDPI stays neutral with regard to jurisdictional claims in published maps and institutional affiliations. |
© 2022 by the authors. Licensee MDPI, Basel, Switzerland. This article is an open access article distributed under the terms and conditions of the Creative Commons Attribution (CC BY) license (https://creativecommons.org/licenses/by/4.0/).
Share and Cite
Seo, J.; Choi, H.; Oh, Y. Potential of AOD Retrieval Using Atmospheric Emitted Radiance Interferometer (AERI). Remote Sens. 2022, 14, 407. https://doi.org/10.3390/rs14020407
Seo J, Choi H, Oh Y. Potential of AOD Retrieval Using Atmospheric Emitted Radiance Interferometer (AERI). Remote Sensing. 2022; 14(2):407. https://doi.org/10.3390/rs14020407
Chicago/Turabian StyleSeo, Jongjin, Haklim Choi, and Youngsuk Oh. 2022. "Potential of AOD Retrieval Using Atmospheric Emitted Radiance Interferometer (AERI)" Remote Sensing 14, no. 2: 407. https://doi.org/10.3390/rs14020407
APA StyleSeo, J., Choi, H., & Oh, Y. (2022). Potential of AOD Retrieval Using Atmospheric Emitted Radiance Interferometer (AERI). Remote Sensing, 14(2), 407. https://doi.org/10.3390/rs14020407

