Direct Assimilation of Chinese FY-3E Microwave Temperature Sounder-3 Radiances in the CMA-GFS: An Initial Study
Abstract
1. Introduction
2. Materials and Methods
2.1. CMA-GFS 4D-Var System
2.2. FY-3E MWTS-3 Observations
2.3. Cloud Detection
2.4. The Initial Evaluation of Observation Bias and Error
2.5. Channel Selection
2.6. Quality Control Based on Scan and Surface Characteristics
2.7. Bias Correction
2.7.1. Scan Bias Correction
2.7.2. Air-Mass Bias Correction
3. Results
3.1. Experimental Design
3.2. Analysis and Forecast of the Cycling Experiments
3.2.1. Characteristics of Data after Quality Control and Bias Correction
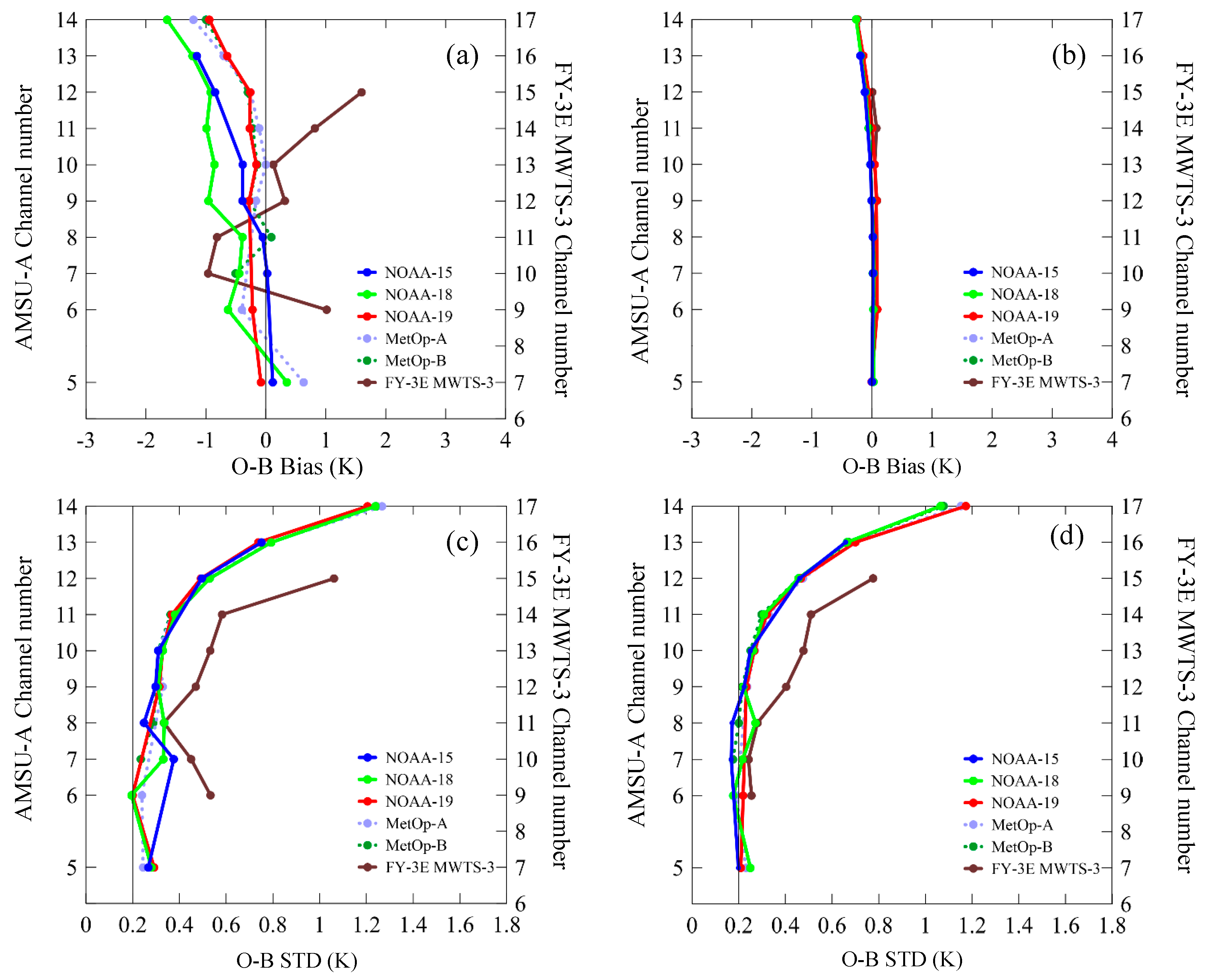
3.2.2. Comparisons of Observation Biases and Errors between MWTS-3 and Other Microwave Temperature Sounders
3.2.3. Analysis and Forecast
4. Discussion
5. Conclusions
Author Contributions
Funding
Data Availability Statement
Acknowledgments
Conflicts of Interest
References
- Andersson, E.; Pailleux, J.; Thepaut, J.N.; Eyre, J.R.; McNally, A.P.; Kelly, G.A.; Courtier, P. Use of cloud-cleared radiances in three-four-dimensional variational data assimilation. Q. J. R. Meteorol. Soc. 1994, 120, 627–653. [Google Scholar] [CrossRef]
- Courtier, P.; Andersson, E.; Heckley, W.; Vasiljevic, D.; Hamrud, M.; Hollingsworth, A.; Rabier, F.; Fisher, M.; Pailleux, J. The ECMWF implementation of three-dimensional variational assimilation (3D-Var). I. Formulation. Q. J. R. Meteorol. Soc. 1998, 124, 1783–1807. [Google Scholar] [CrossRef]
- Derber, J.C.; Wu, W.S. The use of TOVS cloud-cleared radiances in the NCEP SSI analysis system. Mon. Weather Rev. 1998, 126, 2287–2299. [Google Scholar] [CrossRef]
- McNally, A.P.; Derber, J.C.; Wu, W.; Katz, B.B. The use of TOVS level-1b radiances in the NCEP SSI analysis system. Q. J. R. Meteorol. Soc. 2000, 126, 689–724. [Google Scholar] [CrossRef]
- Okamoto, K.; Kazumori, M.; Owada, H. The assimilation of ATOVS radiances in the JMA global analysis system. J. Meteor. Soc. 2005, 83, 201–217. [Google Scholar] [CrossRef][Green Version]
- Baker, N.L.; Daley, R. Observation and background adjoint sensitivity in the adaptive observation-targeting problem. Q. J. R. Meteorol. Soc. 2000, 126, 1431–1454. [Google Scholar] [CrossRef]
- Fourrié, N.; Doerenbecher, A.; Bergot, T.; Joly, A. Adjoint sensitivity of the forecast to TOVS observations. Q. J. R. Meteorol. Soc. 2002, 128, 2759–2777. [Google Scholar] [CrossRef]
- Langland, R.H.; Baker, A.L. Estimation of observation impact using the NRL atmospheric variational data assimilation adjoint system. Tellus A 2004, 56, 189–201. [Google Scholar] [CrossRef]
- Cardinali, C. Monitoring observation impact on short-range forecast. Q. J. R. Meteorol. Soc. 2009, 135, 239–250. [Google Scholar] [CrossRef]
- Gelaro, R.; Langland, R.H.; Pellerin, S.; Todling, R. The THORPEX observation impact intercomparison experiment. Mon. Weather Rev. 2010, 138, 4009–4025. [Google Scholar] [CrossRef]
- Dong, C.H.; Yang, J.; Yang, Z.D.; Lu, N.M.; Shi, J.M.; Zhang, P.; Liu, Y.J.; Cai, B.; Zhang, W. An overview of a new Chinese weather satellite FY-3A. Bull. Am. Meteorol. Soc. 2009, 90, 1531–1544. [Google Scholar] [CrossRef]
- Zhang, P.; Yang, J.; Dong, C.H.; Lu, N.M.; Yang, Z.D.; Shi, J.M. General introduction on payloads, ground segment and data application of Fengyun 3A. Front. Earth. Sci. 2009, 3, 367–373. [Google Scholar]
- You, R.; Gu, S.; Guo, Y.; Chen, W.; Yang, H. Long-term calibration and accuracy assessment of the FengYun-3 Microwave Temperature Sounder radiance measurements. IEEE Trans. Geosci. Remote Sens. 2012, 50, 4854–4859. [Google Scholar] [CrossRef]
- Zou, X.; Wang, X.; Weng, F.; Guan, L. Assessments of Chinese FengYun Microwave Temperature Sounder (MWTS) measurements for weather and climate applications. J. Atmos. Ocean. Technol. 2011, 28, 1206–1227. [Google Scholar] [CrossRef]
- Li, J.; Zou, X. A quality control procedure for FY-3A MWTS measurements with emphasis on cloud detection using VIRR cloud fraction. J. Atmos. Ocean. Technol. 2013, 30, 1704–1715. [Google Scholar] [CrossRef][Green Version]
- Li, J.; Zou, X. Impact of FY-3A MWTS radiances on prediction in GRAPES with comparison of two quality control schemes. Front. Earth Sci. 2014, 8, 251–263. [Google Scholar] [CrossRef]
- Li, J.Z.Q.; Liu, G. A new generation of Chinese FY-3C microwave sounding measurements and the initial assessments of its observations. Int. J. Remote Sens. 2016, 37, 4035–4058. [Google Scholar] [CrossRef]
- Li, J.; Liu, G. Assimilation of Chinese FengYun 3B Microwave Temperature Sounder radiances into Global GRAPES system with an improved cloud detection threshold. Front. Earth Sci. 2016, 10, 145–158. [Google Scholar] [CrossRef]
- Lu, Q.; Bell, W.; Bauer, P.; Bormann, N.; Peubey, C. An Initial Evaluation of FY-3A Satellite Data; ECMWF Technical Memoranda Number 631; ECMWF: Reading, UK, 2010. [Google Scholar]
- Lu, Q.; Bell, W. Evaluation of FY-3B Data and an Assessment of Passband Shifts in AMSU-A and MSU during the Period 1978–2012; Interim Report of Visiting Scientist mission NWP_11_05, Document NWPSAF-EC-VS-023, Version 0.1, 28; Met. Office: Exeter, UK, 2012.
- Zhang, P.; Hu, X.Q.; Lu, Q.F.; Zhu, A.J.; Lin, M.Y.; Sun, L.; Chen, L.; Xu, N. FY-3E: The first operational meteorological satellite mission in an early morning orbit. Adv. Atmos. Sci. 2021, 39, 1–8. [Google Scholar] [CrossRef]
- Qian, X.; Qin, Z.; Li, J.; Han, Y.; Liu, G. Preliminary Evaluation of FY-3E Microwave Temperature Sounder Performance Based on Observation Minus Simulation. Remote Sens. 2022, 14, 2250. [Google Scholar] [CrossRef]
- Chen, D.H.; Xue, J.S.; Yang, X.S.; Zhang, H.L.; Shen, X.S.; Hu, J.L.; Wang, Y.; Ji, L.R.; Chen, J.B. New generation of multi-scale NWP system (GRAPES): General scientific design. Chin. Sci. Bull. 2008, 53, 3433–3445. [Google Scholar] [CrossRef]
- Xue, J.S.; Chen, D.H. Numerical Prediction System Design and Application of Science GRAPES; Science Press: Beijing, China, 2008. [Google Scholar]
- Xue, J.S.; Zhuang, S.Y.; Zhu, G.F.; Zhang, H.; Liu, Z.Q.; Liu, Y.; Zhuang, Z.R. Scientific design and preliminary results of three-dimensional variational data assimilation system of GRAPES. Chin. Sci. Bull. 2008, 53, 3446–3457. [Google Scholar] [CrossRef]
- Zhang, L.; Liu, Y.; Liu, Y.; Gong, J.; Lu, H.; Jin, Z.; Tian, W.; Liu, G.; Zhou, B.; Zhao, B. The operational global four-dimensional variational data assimilation system at the China Meteorological Administration. Q. J. R. Meteorol. Soc. 2019, 145, 1882–1896. [Google Scholar] [CrossRef]
- Navon, I.M.; Legler, D.M. Conjugate gradient methods for large scale minimization in meteorology. Mon. Weather Rev. 1987, 115, 1479–1502. [Google Scholar] [CrossRef]
- Saunders, R.W.; Matricardi, M.; Brunel, P. An Improved Fast Radiative Transfer Model for Assimilation of Satellite Radiance Observations. Q. J. R. Meteorol. Soc. 1999, 125, 1407–1425. [Google Scholar] [CrossRef]
- Weng, F.; Zhao, L.; Ferraro, R.R.; Poe, G.; Li, X.; Grody, N.C. Advanced microwave sounding unit cloud and precipitation algorithms. Radio Sci. 2003, 38, 8068. [Google Scholar] [CrossRef]
- Grody, N.; Zhao, J.; Ferraro, R.; Weng, F.; Boers, R. Determination of precipitable water and cloud liquid water over oceans from the NOAA 15 advanced microwave sounding unit. J. Geophys. Res. 2001, 106, 2943–2953. [Google Scholar] [CrossRef]
- Klaes, D.; Schraidt, R. The European ATOVS and AVHRR processing package (AAPP). In Proceedings of the 10th International TOVS Study Conference (ITSC X), Boulder, CO, USA, 27 January–2 February 1999. [Google Scholar]
- Errico, R.M.; Bauer, P.; Mahfouf, J.-F. Issues regarding the assimilation of cloud and precipitation data. J. Atmos. Sci. 2007, 64, 3785–3798. [Google Scholar] [CrossRef]
- Geer, A.J.; Bauer, P. Enhanced Use of All-Sky Microwave Observations Sensitive to Water Vapour, Cloud and Precipitation; ECMWF Technical Memoranda 620; ECMWF: Reading, UK, 2010. [Google Scholar]
- Geer, A.J.; Lonitz, K.; Weston, P.; Kazumori, M.; Okamoto, K.; Zhu, Y.; Liu, E.H.; Collard, A.; Bell, W.; Migliorini, S.; et al. All-sky satellite data assimilation at operational weather forecasting centres. Q. J. R. Meteor. Soc. 2018, 144, 1191–1217. [Google Scholar] [CrossRef]
- Lorenc, A.C. Analysis methods for numerical weather prediction. Q. J. R. Meteor. Soc. 1986, 112, 1177–1194. [Google Scholar] [CrossRef]
- Harris, B.A.; Kelly, G. A satellite radiance-bias correction scheme for data assimilation. Q. J. R. Meteorol. Soc. 2001, 127, 1453–1468. [Google Scholar] [CrossRef]
- Liu, Z.Q.; Zhang, F.Y.; Wu, X.B.; Xue, J. A regional atovs radiance-bias correction scheme for rediance assimilation. Acta Meteorol. Sin. 2007, 65, 113–123. [Google Scholar]
- Isaksen, L.; Vasiljevic, D.; Dee, D.P.; Healy, S. Bias Correction of Aircraft Data Implemented in November 2011; ECMWF Newsletter, No. 131; ECMWF: Reading, UK, 2012; pp. 6–7. [Google Scholar]
- Dee, D.P. Variational bias correction of radiance data in the ECMWF system. In Proceedings of the ECMWF Workshop on Assimilation of High Spectral Resolution Sounders in NWP, Reading, UK, 28 June–1 July 2004; pp. 97–112. [Google Scholar]
- Dee, D.P. Bias and data assimilation. Q. J. R. Meteorol. Soc. 2005, 131, 3323–3343. [Google Scholar] [CrossRef]













| Channel Number | Center Frequency (GHz) | Bandwidth (MHz) | Polarization | NEΔT (K) | 
|---|---|---|---|---|
| 1 | 23.8 | 270 | QH | 0.3 | 
| 2 | 31.4 | 180 | QH | 0.35 | 
| 3 | 50.3 | 180 | QV | 0.35 | 
| 4 | 51.76 | 400 | QV | 0.3 | 
| 5 | 52.8 | 400 | QV | 0.3 | 
| 6 | 53.246 ± 0.08 | 2 × 140 | QV | 0.35 | 
| 7 | 53.596 ± 0.115 | 2 × 170 | QV | 0.3 | 
| 8 | 53.948 ± 0.081 | 2 × 142 | QV | 0.35 | 
| 9 | 54.40 | 400 | QV | 0.3 | 
| 10 | 54.94 | 400 | QV | 0.3 | 
| 11 | 55.50 | 330 | QV | 0.3 | 
| 12 | 57.290 | 330 | QV | 0.6 | 
| 13 | 57.290 ± 0.217 | 2 × 78 | QV | 0.7 | 
| 14 | 57.290 ± 0.3222 ± 0.048 | 4 × 36 | QV | 0.8 | 
| 15 | 57.290 ± 0.3222 ± 0.022 | 4 × 16 | QV | 1.0 | 
| 16 | 57.290 ± 0.3222 ± 0.010 | 4 × 8 | QV | 1.2 | 
| 17 | 57.290 ± 0.3222 ± 0.0045 | 4 × 3 | QV | 2.1 | 
| EXP | Observation Data | 
|---|---|
| CTL1 | Conventional data | 
| CTL2 | Conventional data+ NOAA-15/18/19 AMSU-A+ NOAA-18/19 MHS+ MetOp-A/B AMSU-A/MHS/IASI+ NPP ATMS + FY-3C/D MWHS-2/MWRI + FY-3D MWTS-2/HIRAS + FY-3C/D GNOS + COSMIC RO, etc | 
| TEST1 | CTL1+FY-3E MWTS-3 | 
| TEST2 | CTL2+FY-3E MWTS-3 | 
| Publisher’s Note: MDPI stays neutral with regard to jurisdictional claims in published maps and institutional affiliations. | 
© 2022 by the authors. Licensee MDPI, Basel, Switzerland. This article is an open access article distributed under the terms and conditions of the Creative Commons Attribution (CC BY) license (https://creativecommons.org/licenses/by/4.0/).
Share and Cite
Li, J.; Qian, X.; Qin, Z.; Liu, G. Direct Assimilation of Chinese FY-3E Microwave Temperature Sounder-3 Radiances in the CMA-GFS: An Initial Study. Remote Sens. 2022, 14, 5943. https://doi.org/10.3390/rs14235943
Li J, Qian X, Qin Z, Liu G. Direct Assimilation of Chinese FY-3E Microwave Temperature Sounder-3 Radiances in the CMA-GFS: An Initial Study. Remote Sensing. 2022; 14(23):5943. https://doi.org/10.3390/rs14235943
Chicago/Turabian StyleLi, Juan, Xiaoli Qian, Zhengkun Qin, and Guiqing Liu. 2022. "Direct Assimilation of Chinese FY-3E Microwave Temperature Sounder-3 Radiances in the CMA-GFS: An Initial Study" Remote Sensing 14, no. 23: 5943. https://doi.org/10.3390/rs14235943
APA StyleLi, J., Qian, X., Qin, Z., & Liu, G. (2022). Direct Assimilation of Chinese FY-3E Microwave Temperature Sounder-3 Radiances in the CMA-GFS: An Initial Study. Remote Sensing, 14(23), 5943. https://doi.org/10.3390/rs14235943
 
        


 
       