New Chung-Li Ionosonde in Taiwan: System Description and Preliminary Results
Abstract
:1. Introduction
2. System Description
3. Autoscaling Algorithm
3.1. Background Noise and Interference Filtering Processing
3.2. Two-Dimensional Autocorrelation
3.3. Ionospheric Modeling
3.4. True Height Analysis
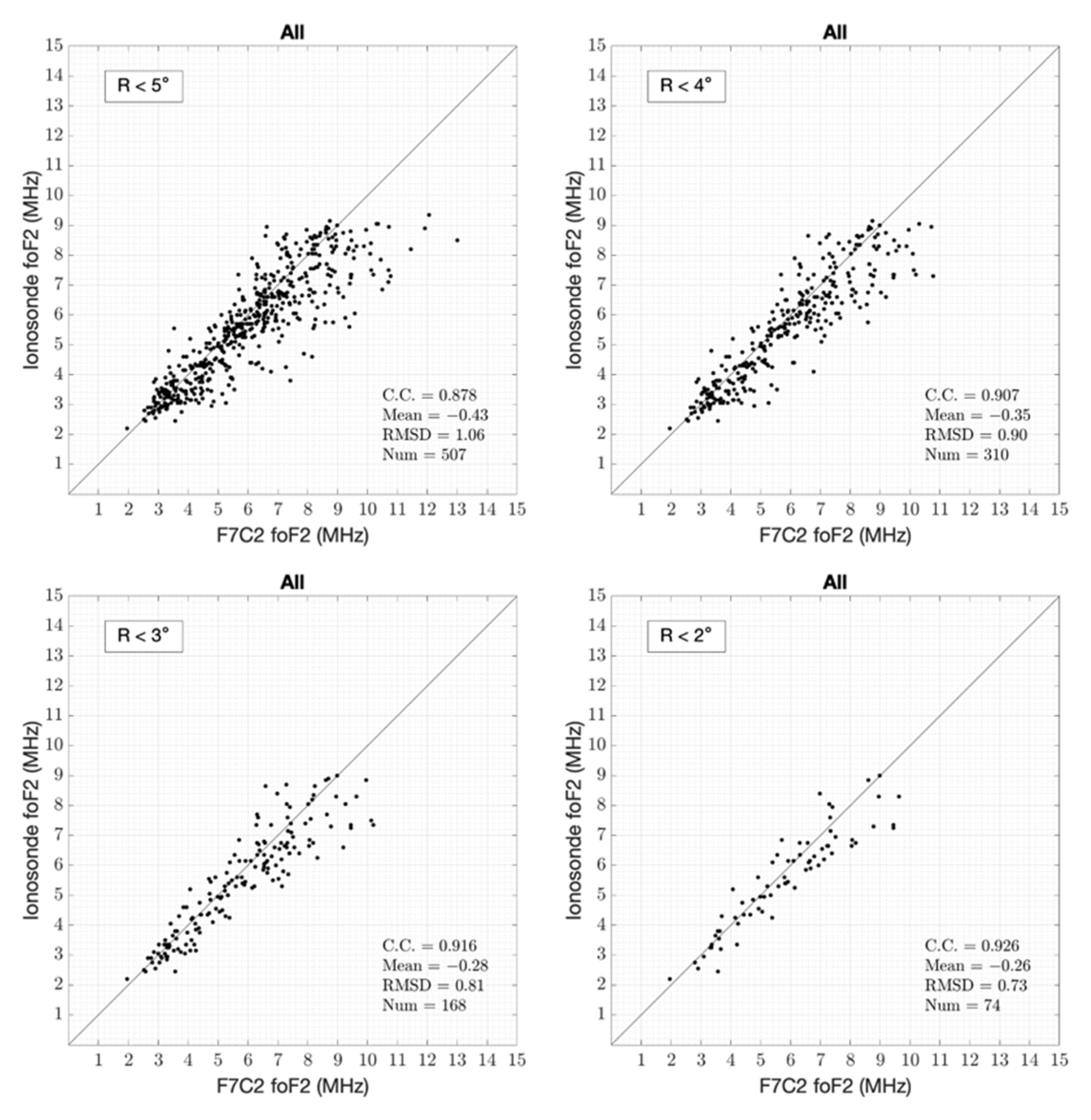
4. Preliminary Results
5. Discussion
6. Conclusions
Author Contributions
Funding
Institutional Review Board Statement
Informed Consent Statement
Data Availability Statement
Acknowledgments
Conflicts of Interest
References
- Davies, K. Ionospheric Radio Wave Propagation; P. Peregrinus on behalf of the Institution of Electrical Engineers: London, UK, 1989. [Google Scholar]
- Reinisch, B.W.; Huang, X. Automatic calculation of electron density profiles from digital ionograms: 3. Processing of bottomside ionograms. Radio Sci. 1983, 18, 477–492. [Google Scholar] [CrossRef]
- Galkin, I.A.; Reinisch, B.W.; Ososkov, G.A.; Zaznobina, E.G.; Neshyba, S.P. Feedback neural networks for artist ionogram processing. Radio Sci. 1996, 31, 1119–1128. [Google Scholar] [CrossRef]
- Pezzopane, M.; Scotto, C. The INGV software for the automatic scaling of foF2 and MUF(3000)F2 from ionograms: A comparison with ARTIST 4.01 from Rome data. J. Atmos. Sol.-Terr. Phys. 2005, 67, 1063–1073. [Google Scholar] [CrossRef]
- Galkin, I.A.; Reinisch, B.W. The New ARTIST 5 for All Digisondes; University of Massachusetts Lowell Center for Atmospheric Research: Lowell, MA, USA, 2008. [Google Scholar]
- Zabotin, N.A.; Wright, J.W.; Zhbankov, G.A. NeXtYZ: Three-dimensional electron density inversion for dynasonde ionograms. Radio Sci. 2006, 41. [Google Scholar] [CrossRef] [Green Version]
- Pezzopane, M.; Scotto, C. A method for automatic scaling of F1 critical frequencies from ionograms. Radio Sci. 2008, 43. [Google Scholar] [CrossRef] [Green Version]
- Scotto, C.; Pezzopane, M. A Software for Automatic Scaling of foF2 and MUF(3000) F2 From Ionograms. 2002, pp. 17–24. Available online: http://old.ursi.org/proceedings/procGA02/papers/p1018.pdf (accessed on 1 March 2022).
- Scotto, C.; Pezzopane, M.; Zolesi, B. Estimating the vertical electron density profile from an ionogram: On the passage from true to virtual heights via the target function method. Radio Sci. 2012, 47. [Google Scholar] [CrossRef]
- Tsai, L.C.; Barkey, F.T. Ionogram analysis of ionograms: A generalized formulation. Radio Sci. 2000, 35, 1173–1186. [Google Scholar] [CrossRef] [Green Version]
- Pillat, V.; Guimarães, L.; Fagundes, P.; Silva, J. A computational tool for ionosonde CADI’s ionogram analysis. Comput. Geosci. 2013, 52, 372–378. [Google Scholar] [CrossRef]
- Ding, Z.-H.; Ning, B.-Q.; Wan, W.-X. Real-time automatic scaling and analysis of ionospheric ionogram parameters. Chin. J. Geophys. 2007, 50, 837–847. [Google Scholar] [CrossRef]
- Jiang, C.H.; Yang, G.B.; Zhao, Z.Y.; Zhang, Y.N.; Zhu, P.; Sun, H.Q. An automatic scaling technique for obtaining F2 parameters and F1 critical frequency from vertical incidence ionograms. Radio Sci. 2013, 48, 739–751. [Google Scholar] [CrossRef]
- Jiang, C.H.; Yang, G.B.; Zhao, Z.Y.; Zhang, Y.N.; Zhu, P.; Sun, H.Q.; Zhou, C. A method for the automatic calculation of electron density profiles from vertical incidence ionograms. J. Atmos. Sol.-Terr. Phys. 2014, 107, 20–29. [Google Scholar] [CrossRef]
- Jiang, C.H.; Yang, G.B.; Lan, T.C.; Zhu, P.; Song, H.; Zhou, C.; Cui, X.; Zhao, Z.Y.; Zhang, Y.N. Improvement of automatic scaling of vertical incidence ionograms by simulated annealing. J. Atmos. Sol.-Terr. Phys. 2015, 133, 178–184. [Google Scholar] [CrossRef]
- Norman, R.J. An Inversion Technique for obtaining Quasi-Parabolic layer parameters from VI Ionogram. In Proceedings of the 2003 International Conference on Radar, Adelaide, Australia, 3–5 September 2003. [Google Scholar]
- Sun, J.X.; Zhang, J.; Wang, S.; Gong, Z.Q.; Fang, G.Y. Multi-quasi-parabolic ionosphere model with EF-valley. Ann. Geophys. 2016, 59, A0213. [Google Scholar] [CrossRef]
- Chu, Y.-H.; Su, C.-L.; Ko, H.-T. A global survey of COSMIC ionospheric peak electron density and its height: A comparison with ground-based ionosonde measurements. Adv. Space Res. 2010, 4, 431–439. [Google Scholar] [CrossRef]
- Hu, L.; Ning, B.; Liu, L.; Zhao, B.; Li, G.; Wu, B.; Huang, Z.; Hao, X.; Chang, S.; Wu, Z. Validation of COSMIC ionospheric peak parameters by the measurements of an ionosonde chain in China. Ann. Geophys. 2014, 32, 1311–1319. [Google Scholar] [CrossRef] [Green Version]
- Shaikh, M.M.; Notarpietro, R.; Nava, B. The impact of spherical symmetry assumption on radio occultation data inversion in the ionosphere: An assessment study. Adv. Space Res. 2014, 53, 599–608. [Google Scholar] [CrossRef]















| Parameters | Values |
|---|---|
| Frequency range (MHz) | 2–30 |
| Frequency steps (kHz) | 50, 100 |
| Pulse length (μs) | 166.4, 204. 8, 332. 8, 409.6 |
| Pulse coding | 13-bit Barker code, or 16-bit Complementary Code, or single pulse |
| Chip width (μs) | 12.8, 25.6 |
| Pulse waveform | Trapezoid or Gaussian |
| Inter-pulse period (ms) | 4.096, 8.192 |
| Pulse repetition frequency (Hz) | 122, 244 |
| Number of pulses transmitted per frequency | 32 |
| Maximum duty cycle (%) | 7.5 |
| Height range (km) | 70–1221 |
| Height resolution (km) | 1.92, 3.84 |
| Peak pulse power (W) | 10–600 |
| Ionogram process time (s) | 294.13 |
| Radius (deg) | c.c. | RMSD (MHz) | (MHz) | ||||||
|---|---|---|---|---|---|---|---|---|---|
| All | Day | Night | All | Day | Night | All | Day | Night | |
| 5 | 0.88 | 0.75 | 0.80 | 1.06 | 1.23 | 0.68 | −0.43 | −0.53 | −0.26 |
| 4 | 0.91 | 0.82 | 0.84 | 0.90 | 1.03 | 0.64 | −0.35 | −0.41 | −0.26 |
| 3 | 0.92 | 0.83 | 0.92 | 0.81 | 0.98 | 0.44 | −0.28 | −0.35 | −0.17 |
| 2 | 0.93 | 0.85 | 0.94 | 0.73 | 0.88 | 0.37 | −0.26 | −0.36 | −0.09 |
| Radius (deg) | c.c. | RMSD (km) | (km) | ||||||
|---|---|---|---|---|---|---|---|---|---|
| All | Day | Night | All | Day | Night | All | Day | Night | |
| 5 | 0.70 | 0.48 | 0.80 | 28.45 | 30.40 | 24.63 | −10.66 | −12.93 | −6.63 |
| 4 | 0.76 | 0.55 | 0.84 | 25.64 | 27.57 | 22.14 | −9.8 | −10.78 | −6.83 |
| 3 | 0.77 | 0.56 | 0.87 | 24.66 | 27.13 | 19.84 | −10.16 | −12.35 | −6.48 |
| 2 | 0.80 | 0.62 | 0.89 | 22.39 | 24.18 | 18.73 | −11.06 | −13.65 | −6.41 |
Publisher’s Note: MDPI stays neutral with regard to jurisdictional claims in published maps and institutional affiliations. |
© 2022 by the authors. Licensee MDPI, Basel, Switzerland. This article is an open access article distributed under the terms and conditions of the Creative Commons Attribution (CC BY) license (https://creativecommons.org/licenses/by/4.0/).
Share and Cite
Ke, K.-J.; Su, C.-L.; Kuong, R.-M.; Chen, H.-C.; Lin, H.-S.; Chiu, P.-H.; Ko, C.-Y.; Chu, Y.-H. New Chung-Li Ionosonde in Taiwan: System Description and Preliminary Results. Remote Sens. 2022, 14, 1913. https://doi.org/10.3390/rs14081913
Ke K-J, Su C-L, Kuong R-M, Chen H-C, Lin H-S, Chiu P-H, Ko C-Y, Chu Y-H. New Chung-Li Ionosonde in Taiwan: System Description and Preliminary Results. Remote Sensing. 2022; 14(8):1913. https://doi.org/10.3390/rs14081913
Chicago/Turabian StyleKe, Kai-Jun, Ching-Lun Su, Ruey-Ming Kuong, Hsyang-Chan Chen, Hung-Shi Lin, Po-Hsun Chiu, Ching-Yuan Ko, and Yen-Hsyang Chu. 2022. "New Chung-Li Ionosonde in Taiwan: System Description and Preliminary Results" Remote Sensing 14, no. 8: 1913. https://doi.org/10.3390/rs14081913
APA StyleKe, K.-J., Su, C.-L., Kuong, R.-M., Chen, H.-C., Lin, H.-S., Chiu, P.-H., Ko, C.-Y., & Chu, Y.-H. (2022). New Chung-Li Ionosonde in Taiwan: System Description and Preliminary Results. Remote Sensing, 14(8), 1913. https://doi.org/10.3390/rs14081913

